Seasonal and Annual Rainfall Variability and Their Impact on Rural Water Supply Services in the Wami River Basin, Tanzania
Abstract
1. Introduction
2. Methods and Data
2.1. Study Area
- The unimodal rainfall region covers the western and south-western parts [one wet period lasts November–December–January–February–March–April (NDJFMA)] and;
- The bimodal rainfall region includes the eastern and north-eastern part of the basin [two wet periods: October–November–December (OND) and March–April–May (MAM)].
2.2. Data and Methods
2.2.1. Statistical Test for Trend Analysis
- These statistics are considered to work with a dataset that has more substantial variances;
- They can be useful for interval, ordinal, nominal, and ratio data;
- The test is not affected, even if the deviation of the dataset is extreme;
- The test can be successfully applied to the skewed dataset.
Simple Linear Regression
Significance of Trend
Magnitude of Trend
2.2.2. Water Point Mapping System
3. Results
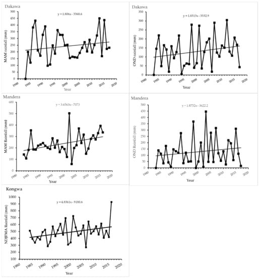
3.1. The Trend of Annual and Seasonal Rainfall Data
3.2. Magnitude and Significance of Trend Analysis 1983–2017
3.3. Dry and Wet Seasonal Variation and Use of Water Points
3.3.1. Dry and Wet Seasonal Variation of Water Point Status
3.3.2. Dry and Wet Seasonal Variation of Water Quantity at Water Points
3.3.3. Seasonal Variation of Water Quality at Water Points
4. Discussion
5. Conclusions
Author Contributions
Funding
Acknowledgments
Conflicts of Interest
References
- Kipkorir, E.C. Analysis of rainfall climate on the Njemps Flats, Baringo District, Kenya. J. Arid Environ. 2002, 50, 445–458. [Google Scholar] [CrossRef]
- Gautam, M. Managing drought in sub-Saharan Africa: Policy Perspectives. In Proceedings of the 2006 Drought: Economic Consequences and Policies for Mitigation at the IAAE Conference, Queensland, Australia, 12–18 August 2006. [Google Scholar]
- Nyatuame, M.; Owusu-Gyimah, V.; Ampiaw, F. Statistical Analysis of Rainfall Trend for the Volta Region in Ghana. Int. J. Atmos. Sci. 2014, 2014, 203245. [Google Scholar] [CrossRef]
- Macdonald, A.M.; Roger, C.; Calow, D.M.; Macdonald, W.G.; Brighid, Ó.D. What impact will climate change have on rural groundwater supplies in Africa? Hydrol. Sci. J. 2009, 54, 690–703. [Google Scholar] [CrossRef]
- World Bank. Poverty and Climate Change: Reducing the Vulnerability of the Poor Through Adaptation; World Bank: Washington, DC, USA, 2003. [Google Scholar]
- IPCC Summary for Policymakers. Climate change 2013: The physical science basis. In Contribution of Working Group I to the Fifth Assessment Report of the Intergovernmental Panel on Climate Change; Stocker, T.F., Qin, D., Plattner, G.K., Tignor, M., Allen, S.K., Boschung, J., Nauels, A., Xia, Y., Bex, V., Midgley, P.M., Eds.; Cambridge University Press: Cambridge, UK; New York, NY, USA, 2013; pp. 1–30. [Google Scholar]
- McCarthy, J.J. Climate Change: Impacts, Adaptation, and Vulnerability. In Contribution of Working Group II to the Third Assessment Report of the Intergovernmental Panel on Climate Change; Cambridge University Press: Cambridge, UK, 2001. [Google Scholar]
- Abbaspour, K.C.; Monireh, F.; Samaneh, S.G.; Hong, Y. Assessing the impact of climate change on water resources in Iran. Water Resour. Res. 2009, 45, 114. [Google Scholar] [CrossRef]
- Chhibber, A.; Laajaj, R. Disaster, Climate change and economic development in Sub-Saharan Africa: Lesson and directions. J. Afr. Econ. 2008, 17, ii7–ii49. [Google Scholar] [CrossRef]
- IPCC Core Writing Team. Climate Change 2007: Synthesis Report. In The Contribution of Working Groups I, II and III to the Fourth Assessment Report of the Intergovernmental Panel on Climate Change; Pachauri, R.K., Reisinger, A., Eds.; IPCC: Geneva, Switzerland, 2007; p. 104. [Google Scholar]
- Ekstreom, M.; Fowler, H.J.; Kilsby, C.G.; Jones, P.D. New estimates of future changes in extreme rainfall across the UK using regional climate model integrations: Future estimates and use in impact studies. J. Hydrol. 2005, 300, 234–251. [Google Scholar] [CrossRef]
- Frei, C.; Sch€oll, R.; Fukutome, S.; Schmidli, J.; Vidale, P.L. Future change of precipitation extremes in Europe: Intercomparison of scenarios from regional climate models. J. Geophys. Res. 2006, 111, 318. [Google Scholar] [CrossRef]
- Kirono, D.G.C.; Kent, D.M.; Hennessy, K.J.; Mpelasoka, F. Characteristics of Australian droughts under enhanced greenhouse conditions: Results from 14 global climate models. J. Arid Environ. 2011, 75, 566–575. [Google Scholar] [CrossRef]
- Lenderink, G.; Buishand, A.; Van Deursen, W. Estimates of future discharges of the river Rhine using two scenario methodologies: Direct versus delta approach. Hydrology. Earth Syst. Sci. 2007, 11, 1145–1159. [Google Scholar] [CrossRef]
- May, W. Potential future changes in the characteristics of daily precipitation in Europe simulated by the HIRHAM regional climate model. Climatol. Dyn. 2008, 30, 581–603. [Google Scholar] [CrossRef]
- Vrochidou, A.E.K.; Tsanis, I.K.; Grillakis, M.G.; Koutroulis, A.G. The impact of climate change on hydrometeorological droughts at a basin scale. J. Hydrol. 2013, 476, 290–301. [Google Scholar] [CrossRef]
- Georgakakos, A.; Fleming, P.; Dettinger, M.; Peters-Lidard, C.; Terese, T.C.; Richmond, K.; Reckhow, K.; White, D. Ch. 3: Water Resources. In Climate Change Impacts in the United States: The Third National Climate Assessment; Melilo, J.M., Richmond, T., Yohe, G.W., Eds.; U.S. Global Change Research Program: Washington, DC, USA, 2014; pp. 69–112. [Google Scholar]
- Calow, R.; MacDonald, C.; Nicol, M.; Robins, N.S. Groundwater security and drought in Africa: Linking availability access and demand. J. Ground Water 2010, 48, 246–256. [Google Scholar] [CrossRef] [PubMed]
- Bisung, E.; Elliott, S.J.; Abudho, B.; Schuster-Wallace, C.J.; Karanja, D.M. Dreaming of toilets: Using photovoice to explore knowledge, attitudes and practices around water-health linkages in rural Kenya. Health Place 2015, 31, 208–215. [Google Scholar] [CrossRef]
- Kostyla, C.; Bain, R.; Cronk, R.; Bartram, J. Seasonal variation of faecal contamination in drinking water sources in developing countries: A systematic review. Sci. Total Environ. 2015, 514, 333–343. [Google Scholar] [CrossRef] [PubMed]
- Ngongondo, C.S. An analysis of long-term rainfall variability, trends and groundwater availability in the Mulunguzi river catchment area, Zomba mountain, Southern Malawi. Quat. Int. 2006, 148, 45–50. [Google Scholar] [CrossRef]
- Conway, D.; Aurelia, P.; Sandra, A.; Hamisai, H.; Claudine, D.; Gil, M. Rainfall and water resources variability in Sub Saharan Africa during the 20th century. J. Hydrometeorol. 2008, 10, 41–59. [Google Scholar] [CrossRef]
- Onyenechere, E.C.; Azuwike, D.O.; Enwereuzor, A.I. Effect of rainfall variability on water supply in Ikeduru, L.G.A of Imo State, Nigeria. Int. Multidiscip. J. 2011, 5, 223–241. [Google Scholar] [CrossRef]
- Nyakundi, R.M.; Makokha, M.; Mwangi, J.K.; Obiero, C. Impact of Rainfall Variability on Groundwater Levels in Ruiru Municipality. Afr. J. Sci. Technol. Innov. Dev. 2014, 7, 329–335. [Google Scholar] [CrossRef]
- Kombo, A.K.; Kanyama, A. Effect of Climate change and variability on water supply in Zanzibar. Int. J. Mar. Atmos. Earth Sci. 2015, 3, 1–16. [Google Scholar]
- Amber, L.P.; Zwickle, A.; Namanya, J.; Rzotkiewicz, A.; Mwita, E. Seasonal Shifts in Primary Water Source Type: A Comparison of Largely Pastoral Communities in Uganda and Tanzania. Int. J. Environ. Res. Public Health 2016, 13, 169. [Google Scholar]
- Kwon, H.H.; Casey, B.; Kaiqin, X.; Upmanu, L. Seasonal and annual maximum streamflow forcasting using climate information: Application to the Three Gorges Dam in Yangtze River basin, China. Hydrol. Sci. J. 2009, 54, 582–595. [Google Scholar] [CrossRef]
- Oteze, G.E.; Fayose, S.A. Regional development in the Hydrogeology of the Chad basin. Water Resour. 1998, 1, 9–29. [Google Scholar]
- McDonald, A.T.; Kay, D. Water resources: Issues and strategies; Longman Scientific & Technical, Wiley: Harlow, UK, 1988. [Google Scholar]
- Cech, T.V. Principles of Water Resources: History, Development, Management and Policy, 2nd ed.; Wiley: New York, NY, USA, 2003. [Google Scholar]
- Kabat, P.; Van Schaik, H. Climate Change the Water Rules: How Water Managers Can Cope with Today’s Climate Variability and Tomorrow Climate Change. World Water Assessment Programme. In World Water Development Report; World Water Assessment Programme; UNESCO: Paris, France, 2003. [Google Scholar]
- Montanari, A.; Zhou, Y.F.; D’Orsi, M.F.; Bolotin-Fukuhara, M.; Frontali, L.; Francinsa, S. Panta Rhei, Everything Flows: Change in hydrology and society; the IAHS scientific decade 2013–2022. Hydrol. Sci. J. 2013, 58, 1256–1275. [Google Scholar] [CrossRef]
- Wambura, F.J.; Ottfried, D.; Gunnar, L. Evaluation of spatiotemporal patterns of remotely sensed evapotranspiration to infer information about hydrological behaviour in a data-scarce region. Water 2017, 9, 333. [Google Scholar] [CrossRef]
- JICA RUWASA-CAD II. The Study on Water Resources Management and Development in Wami/Ruvu Basin in the United Republic of Tanzania (RUWASA-CAD); Technical Report for Ministry of Water and Livestock Development 2002; National Water Policy: Dar es Salaam, Tanzania, 2013. [Google Scholar]
- Sen, P.K. Estimates of the regression coefficient based on Kendall’s tau. J. Am. Stat. Assoc. 1968, 63, 1379–1389. [Google Scholar] [CrossRef]
- Mann, H. B Non-parametric tests against trend. Econ. J. Econ. Soc. 1945, 13, 245–259. [Google Scholar]
- Kendall, M.G. Rank Correlation Methods; Charles Griffin: London, UK, 1975. [Google Scholar]
- Dinpashoh, Y.; Mirabbasi, R.; Jhajharia, D.; Abianeh, H.Z.; Mostafaeipour, A. Effect of short-term and long-term persistence on the identification of temporal trends. J. Hydrol. Eng. 2013, 19, 617–625. [Google Scholar] [CrossRef]
- Scheff, S.W. Fundamental Statistical Principles for the Neurobiologist: A Survival Guide; Academic Press: Cambridge, MA, USA, 2016. [Google Scholar]
- Helsel, D.R.; Hirsch, R.M. Statistical Methods in Water Resources; Elsevier: Amsterdam, The Netherlands, 1992. [Google Scholar]
- Sahu, R.K.; Khare, D.E. Spatial and temporal analysis of rainfall trend for 30 districts of a coastal state (Odisha) of India. Int. J. Geol. Earth Environ. Sci. 2015, 5, 40–53. [Google Scholar]
- Libiseller, C.; Grimvall, A. Performance of partial Mann–Kendall tests for trend detection in the presence of covariates. Env. Metr. 2002, 13, 71–84. [Google Scholar] [CrossRef]
- Hirsch, R.M.; Slack, J.R.; Smith, R.A. Techniques of trend analysis for monthly water quality data. Water Resour. Res. 1982, 18, 107–121. [Google Scholar] [CrossRef]
- Xu, Z.X.; Li, J.Y.; Liu, C.M. Long term trend analysis for major climate variables in the Yellow River basin. Hydrol. Process. 2000, 21, 1935–1948. [Google Scholar] [CrossRef]
- Karpouzos, D.K.; Kavalieratou, S.; Babajimopoulos, C. Trend analysis of rainfall data in Pieria Region. Eur. Water 2010, 30, 31–40. [Google Scholar]
- Stoupy, O.; Sudgen, S. Halving the number of people without access to safe water by 2015: A Malawian perspective. In Part 2: New Indicators for the Millennium Development Goal; WaterAid: London, UK, 2003. [Google Scholar]
- Welle, K. Learning for advocacy and good practice: WaterAid water point mapping. In Report of Findings Based on Country Visits to Malawi and Tanzania; WaterAid: London, UK, 2005. [Google Scholar]
- Nyitambe, J.E. Water point mapping initiative: The case of rural water supply in Tanzania. In Proceedings of the International Kick-Off Workshop, Advancing a Nexus Approach to the Sustainable Management of Water, Soil and Waste, Dresden, Germany, 11–12 November 2013; Unuflores: Dresden, Germany, 2014; pp. 106–118. [Google Scholar]
- Tussupova, K.; Hjorth, P.; Berndtsson, R. Access to Drinking Water and Sanitation in Rural Kazakhstan. Int. J. Environ. Res. Public Health 2016, 13, 1115. [Google Scholar] [CrossRef] [PubMed]
- Shaheed, A.; Orgill, J.; Montgomery, M.A.; Marc, A.; Jeuland, M.A.; Brownd, J. Why “improved” water sources are not always safe. Bull. World Health Organ. 2014, 92, 283–289. [Google Scholar] [CrossRef] [PubMed]
- Wegner, A. Domestic Water Supply in Rural Việt Nam—Between Self-Supply and Piped Schemes. Ph.D. Thesis, The Faculty of Civil Engineering, Geo and Environmental Science, Karlsruhe Institute of Technology, Karlsruhe, Germany, 2015. [Google Scholar]
- Ayoade, J.O. Forecasting and managing demand for water in Nigeria. In Proceedings of the 27th Annual Conference of the Nigerian Geographical Association, Nsukka, Nigeria, 27 April–1 May 1986. [Google Scholar]
- Chima, G.N. Rural Water Supply in Isiala Ngwa Local Government Area of Imo State. Master’s Thesis, Department of Geography, University of Nigeria, Nsukka, Nigeria, 1989. [Google Scholar]
- Uzoma, E.C. Rural Water Supplies in Enugu State: A Comparative Analysis. Master’s Thesis, Department of Geography, University of Nigeria, Nsukka, Nigeria, 1996. [Google Scholar]
- Rurinda, J.; Mapfumo, P.; Van Wijk, M.T.; Mtambanengwe, F.; Rufino, M.C.; Chikowo, R.; Giller, K.E. Sources of vulnerability to a variable and changing climate among smallholder households in Zimbabwe: A participatory analysis. Clim. Risk Manag. 2014, 3, 65–78. [Google Scholar] [CrossRef]
- Singh, P.K.; Nair, A. Livelihood vulnerability assessment to climate variability and change using fuzzy cognitive mapping approach. Clim. Chang. 2014, 127, 475–491. [Google Scholar] [CrossRef]
- Kyei-Mensah, C.; Kyerematen, R.; Adu-Acheampong, S. Impact of Rainfall Variability on Crop Production within the Worobong Ecological Area of Fanteakwa District, Ghana. Adv. Agric. 2019, 2019, 7930127. [Google Scholar] [CrossRef]
- Thornton, P.K.; Ericksen, P.J.; Herrero, M.; Challinor, A.J. Climate variability and vulnerability to climate change: A review. Glob. Chang. Biol. 2014, 20, 3313–3328. [Google Scholar] [CrossRef]
- Borgomeo, E.; Vadheim, B.; Woldeyes, F.B.; Alamirew, T.; Tamru, S.; Charles, K.J.; Kebede, S.; Walker, O. The Distributional and Multi-Sectoral Impacts of Rainfall Shocks: Evidence from Computable General Equilibrium Modelling for the Awash Basin, Ethiopia. Ecol. Econ. 2018, 146, 621–632. [Google Scholar] [CrossRef]
- Misra, A.K. Climate change and challenges of water and food security. Int. J. Sustain. Built Environ. 2014, 3, 153–165. [Google Scholar] [CrossRef]
- World Health Organisation. Global Water Supply and Sanitation Assessment; WHO 2000 Report; WHO: New York, NY, USA, 2000. [Google Scholar]
- Howard, G.; Calow, R.; MacDonad, A.; Batram, J. Climate change and Water and Sanitation: Likely Impacts and emerging Trends for Action. Annu. Rev. Environ. Resour. 2016, 41, 253–276. [Google Scholar] [CrossRef]
- Ojwang’, G.O.; Agatsiva, J.; Situma, C. Analysis of Climate Change and Variability Risks in the Smallholder Sector: Case Studies of the Laikipia and Narok Districts Representing Major Agro-Ecological Zones in Kenya; Department of Resource Surveys and Remote Sensing (DRSRS) in Collaboration with the Food and Agriculture Organization of the United Nations: Rome, Italy, 2010. [Google Scholar]
- World Health Organisation. Water Safety in Distribution Systems; WHO Press: Geneva, Switzerland, 2014. [Google Scholar]
- Behailu, B.M.; Hukka, J.; Katko, T. Service Failures of Rural Water Supply Systems in Ethiopia and Their Policy Implications. Public Work. Manag. Policy 2017, 22, 179–196. [Google Scholar] [CrossRef]
- Machado, A.V.; Dos Santos, J.A.; Alves, L.M.; Quindeler, N.S. Contributions of Organizational Levels in Community Management Models of Water Supply in Rural Communities: Cases from Brazil and Ecuador. Water 2019, 11, 537. [Google Scholar] [CrossRef]
- Butler, J.R.A.; Bohensky, E.L.; Darbas, T.; Kirono, D.; Wise, R.M.; Sutaryono, Y. Building capacity for adaptation pathways in eastern Indonesian islands: Synthesis and lessons learned. Clim. Risk Manag. 2016, 12, A1–A10. [Google Scholar] [CrossRef]
- Wise, R.M.; Fazey, I.; Stafford, M.; Smith, S.E.; Park, H.C.; Eakin, E.R.M.; van Gardenen, A.; Campbell, B. Reconceptualising adaptation to climate change as part of pathways of change and response. Glob. Environ. Chang. 2014, 28, 325–336. [Google Scholar] [CrossRef]
- Srinivasan, G.; Rafiusra, K.M.; Subbiah, A.R. Climate information requirements for community—Level risk management and adaptation. Clim. Res. 2011, 47, 5–12. [Google Scholar] [CrossRef]
- Kirono, D.G.C.; Larson, S.; Tjandraatmadja, G.; Leitch, A.; Neumann, L.; Maheepala, S.; Barkey, R.; Achmad, A.; Selintung, M. Adapting to climate change through urban water management: A participatory case study in Indonesia. Reg. Environ. Chang. 2014, 14, 355–367. [Google Scholar] [CrossRef]
- Ifabiyi, I.P.; Ashaolu, E.D. Analysis of the impacts of rainfall variability on public water supply in ILORIN, Nigeria. J. Meteorol. Clim. Sci. 2013, 11, 18–26. [Google Scholar]
- Carter, R.C.; Ross, I. Beyond ‘functionality’ of handpump-supplied rural water services in developing countries. Waterlines 2016, 35, 94–110. [Google Scholar] [CrossRef]
- Alexander, K.T.; Tesfaye, Y.; Dreibelbis, R.; Abaire, B.; Freeman, M.C. Governance and functionality of community water schemes in rural Ethiopia. Int. J. Public Health 2015, 60, 977–986. [Google Scholar] [CrossRef] [PubMed]
- Whittington, D.; Davis, J.; Prokopy, L.; Komives, K.; Thorsten, R.; Lukacs, H.; Wakeman, W. How well is the demand-driven, community management model for rural water supply systems doing? Evidence from Bolivia, Peru and Ghana. Water Policy 2009, 11, 696–718. [Google Scholar] [CrossRef]
- Foster, T.; Shantz, A.; Lala, S.; Willetts, J. Factors associated with operational sustainability of rural water supplies in Cambodia. Environ. Sci. Water Res. Technol. 2018, 4, 1577–1588. [Google Scholar] [CrossRef]
- Bloemen, P.; Reeder, T.; Zevenbergen, C.; Rijke, J.; Kingsborough, A. Lessons learned from applying adaptation pathways in flood risk management and challenges for the further development of this approach. Mitig. Adapt. Strateg. Glob. Chang. 2018, 23, 1083–1108. [Google Scholar] [CrossRef] [PubMed]
- Mubiru, D.N.; Radeny, M.; Kyazze, F.B.; Zziwa, A.; Lwasa, J.; Kinyangi, J.; Mungai, C. Climate trends, risks and coping strategies in smallholder farming systems in Uganda. Clim. Risk Manag. 2018, 22, 4–21. [Google Scholar] [CrossRef]
- Butler, J.R.A.; Suadnya, W.; Puspadi, K.; Sutaryono, Y.; Wise, R.M.; Skewes, T.D.; Kirono, D.; Bohensky, E.L.; Handayani, T.; Habibi, P.; et al. Framing the application of adaptation pathways for rural livelihoods and global change in Eastern Indonesian islands. Glob. Environ. Chang. 2014, 28, 368–382. [Google Scholar] [CrossRef]
- Foster, T. Predictors of sustainability for community-managed handpumps in Sub-Saharan Africa: Evidence from Liberia, Sierra Leone, and Uganda. Environ. Sci. Technol. 2013, 21, 12037–12046. [Google Scholar] [CrossRef]









| Querying | Description |
|---|---|
| Functional | Reference to the functionality of a water point indicating that it yields water regularly and is used daily |
| Non-Functional | Reference to the functionality of a water point indicating that it does not yield water for any reason (hardware problem, dry source, or poor management) |
| Sufficient | A dimensionless quantity to which no physical dimension is applicable and where the amount of water satisfies human needs (based on user perspective) |
| Insufficient | A dimensionless quantity to which no physical dimension is applicable and where the amount of water does not satisfy human needs |
| Dry | Waterpoint characterized by an absence of water |
| Good water quality | A qualitative statement on the condition of water relative to the desires of human needs based on user perspective referred to as clear water which does not taste salty |
| Poor water quality | A qualitative statement on the condition of water relative to the desires of human needs based on user perspective referred to as salty, colored, and/or fluoride water |
| Station | Seasonal/ Annual | Z-Statistics | Sen’s Slope (mm/year) | p-Value | Trend |
|---|---|---|---|---|---|
| Kongwa | NDJFMA | 0.993 | 3.97 | 0.080 | Increasing |
| Annual | 0.568 | 5.3 | 0.028 | Increasing | |
| Dakawa | MAM | 0.229 | 4.1 | 0.004 | Increasing |
| OND | 0.019 | 0.758 | 0.468 | Increasing | |
| Annual | 0.038 | 5.2 | 0.080 | Increasing | |
| Mandera | MAM | 0.494 | 1.662 | 0.495 | Increasing |
| OND | 0.017 | 1.268 | 0.406 | Increasing | |
| Annual | 0.804 | 3.082 | 0.236 | Increasing |
| Tap Water Access | ||||
|---|---|---|---|---|
| Dry Season Responses (%) | Wet Season Responses (%) | |||
| Access | No Access | Access | No Access | |
| Tap | 38 | 62 | 68 | 32 |
| Vendor | - | 15 | - | 3 |
| River/Spring/Dam | - | 47 | - | - |
| Rain harvest | - | - | - | 29 |
| Source of Income | ||||
| Dry Season Responses (%) | Wet Season Responses (%) | |||
| Affected | Not Affected | Affected | Not Affected | |
| Farming | 66 | 34 | 0 | 100 |
| Business | 27 | 73 | 7 | 93 |
| Employment | 9 | 91 | 0 | 100 |
| Livestock | 85 | 15 | 2 | 98 |
| Main Water Use | ||||
| Dry Season Responses (%) | Wet Season Responses (%) | |||
| Affected | Not Affected | Affected | Not Affected | |
| Domestic | 78 | 22 | 5 | 95 |
| Livestock | 95 | 5 | 0 | 100 |
| House gardening | 98 | 2 | 0 | 100 |
| Status | ||||
|---|---|---|---|---|
| Dry Season | Wet Season | |||
| Number | Percentage (%) | Number | Percentage (%) | |
| Functional | 1259 | 33 | 1946 | 51 |
| Non-functional | 2556 | 67 | 1869 | 49 |
| Quantity | ||||
|---|---|---|---|---|
| Dry Season | Wet Season | |||
| Number | Percentage (%) | Number | Percentage (%) | |
| Sufficient | 1640 | 43 | 2556 | 67 |
| Insufficient | 1488 | 39 | 572 | 15 |
| Dry | 687 | 18 | 687 | 18 |
| Quality | ||||
|---|---|---|---|---|
| Dry Season | Wet Season | |||
| Number | Percentage (%) | Number | Percentage (%) | |
| Good | 2594 | 68 | 1679 | 44 |
| Poor | 1221 | 32 | 2136 | 56 |
© 2019 by the authors. Licensee MDPI, Basel, Switzerland. This article is an open access article distributed under the terms and conditions of the Creative Commons Attribution (CC BY) license (http://creativecommons.org/licenses/by/4.0/).
Share and Cite
Twisa, S.; Buchroithner, M.F. Seasonal and Annual Rainfall Variability and Their Impact on Rural Water Supply Services in the Wami River Basin, Tanzania. Water 2019, 11, 2055. https://doi.org/10.3390/w11102055
Twisa S, Buchroithner MF. Seasonal and Annual Rainfall Variability and Their Impact on Rural Water Supply Services in the Wami River Basin, Tanzania. Water. 2019; 11(10):2055. https://doi.org/10.3390/w11102055
Chicago/Turabian StyleTwisa, Sekela, and Manfred F. Buchroithner. 2019. "Seasonal and Annual Rainfall Variability and Their Impact on Rural Water Supply Services in the Wami River Basin, Tanzania" Water 11, no. 10: 2055. https://doi.org/10.3390/w11102055
APA StyleTwisa, S., & Buchroithner, M. F. (2019). Seasonal and Annual Rainfall Variability and Their Impact on Rural Water Supply Services in the Wami River Basin, Tanzania. Water, 11(10), 2055. https://doi.org/10.3390/w11102055

