Evaluation of Unified Algorithms for Remote Sensing of Chlorophyll-a and Turbidity in Lake Shinji and Lake Nakaumi of Japan and the Vaal Dam Reservoir of South Africa under Eutrophic and Ultra-Turbid Conditions
Abstract
1. Introduction
2. Materials and Methods
2.1. Study Area and Field Survey
2.2. Chlorophyll-a and Turbidity Algorithms
2.3. Accuracy Assessment
2.4. Simulated Satellite Data
3. Results
3.1. In Situ Measurements of Water Quality and Rrs
3.2. Algorithm Evaluation Using Field Spectra
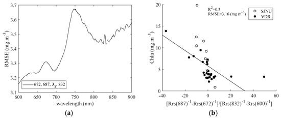
3.2.1. Chla Algorithm
3.2.2. Turbidity Algorithm
3.3. Algorithm Evaluation Using Simulated Sentinel-2 Data
4. Discussion
4.1. Evaluation of Chla Algorithm
4.2. Evaluation of Turbidity Algorithm
4.3. Feasibilities of Chla and Turbidity Estimation Using the Sentinel-2 MSI Band
5. Conclusions
- As a unified Chla model in SJNU and VDR, we obtained strong correlation (R2 = about 0.7, RMSE = 2 mg m−3, N = 38) between Rrs(687)/Rrs(672) (2-BM) or [Rrs−1(687) − Rrs−1(672)] × Rrs(832) (3-BM) and estimated Chla.
- As a unified turbidity model in SJNU and VDR, we obtained strong correlation (R2 = about 0.7, RMSE = about 260 NTU, N = 38) between Rrs(763)/Rrs(821) (2-BM) or Rrs(810) − [Rrs(730) + Rrs(770)]/2 (3-BM) and estimated turbidity.
- As a Chla model confined to the MSI frequency band, we obtained strong correlation (R2 = 0.51, RMSE = 9.8 mg m−3, N = 28) between 2-BM using MSI Bands 4 and 5 (Rrs(740) and Rrs(775)) and estimated turbidity.
- As a turbidity model confined to the MSI frequency band, we obtained strong correlation (R2 = 0.77, RMSE = 0.77, 223 NTU, N = 28) between 2-BM using MSI Bands 6 and 7 (Rrs(740) and Rrs(775)) and estimated turbidity.
- The method using the slopes of Rrs(560) and Rrs(665) and the slopes of Rrs(775) and Rrs(865) (that is, judgment above and below the 1:1 line) was effective at spectrally separating SJNU data and VDR data.
Author Contributions
Acknowledgments
Conflicts of Interest
Appendix A
| Chla | Turb | Rrs (nm) × 10−5 | |||||||||
|---|---|---|---|---|---|---|---|---|---|---|---|
| Date | Station | (mg m−3) | (NTU) | 443 | 490 | 560 | 705 | 740 | 775 | 842 | 865 |
| 15 July 2016 | SJNU | ||||||||||
| S-6 | 19.7 | 3 | 4093 | 3859 | 4199 | 3547 | 2969 | 2974 | 2977 | 2947 | |
| S-3 | 6.0 | 3 | 6465 | 6248 | 6942 | 6212 | 5957 | 6044 | 6012 | 6086 | |
| S-1 | 7.4 | 3 | 5669 | 5591 | 6660 | 5851 | 5759 | 5867 | 5685 | 5887 | |
| N-6 | 9.1 | 2 | 5137 | 4866 | 5736 | 4400 | 4228 | 4225 | 4039 | 4165 | |
| N-1 | 7.7 | 6 | 5446 | 5694 | 6948 | 5945 | 5675 | 5138 | 4814 | 4851 | |
| Ohashi-Mid | 6.8 | 3 | 4463 | 4553 | 5301 | 4249 | 3938 | 3752 | 3518 | 3602 | |
| 12 September 2016 | SJNU | ||||||||||
| S-6 | 12.2 | 2 | 4685 | 4801 | 5593 | 3999 | 3166 | 3249 | 3204 | 3250 | |
| S-3 | 11.5 | 1 | 9472 | 9614 | 11,007 | 8440 | 6444 | 6331 | 6220 | 6100 | |
| S-1 | 10.4 | 0 | 5526 | 5587 | 6516 | 4848 | 3731 | 3750 | 3641 | 3632 | |
| Ohashi-Mid | 0.8 | 1 | 5573 | 5731 | 5796 | 3533 | 3290 | 3463 | 3443 | 3526 | |
| 28 October 2016 | VDR | ||||||||||
| Stn3 | 3.2 | 386 | 7042 | 6959 | 7176 | 6163 | 4409 | 4258 | 3642 | 3472 | |
| Stn4 | 2.9 | 704 | 7279 | 7918 | 9215 | 8773 | 5723 | 5525 | 4728 | 4370 | |
| Stn5 | 2.5 | 857 | 3946 | 4050 | 4349 | 3746 | 2644 | 2730 | 2397 | 2287 | |
| Stn6 | 3.7 | 870 | 5785 | 6143 | 6884 | 6067 | 3866 | 3836 | 3266 | 3007 | |
| Stn7 | 3.1 | 657 | 4511 | 4551 | 4724 | 3936 | 2738 | 2740 | 2341 | 2183 | |
| Stn8 | 4.0 | 817 | 4108 | 4240 | 4587 | 3799 | 2286 | 2280 | 1829 | 1654 | |
| Stn9 | 2.9 | 727 | 4767 | 5123 | 5791 | 4811 | 2678 | 2689 | 2087 | 1883 | |
| Stn13 | 7.2 | 1578 | 7689 | 8073 | 8725 | 8767 | 7619 | 8382 | 7908 | 7561 | |
| Stn14 | 6.1 | 1621 | 7892 | 8496 | 9627 | 9990 | 7845 | 8422 | 7374 | 6924 | |
| Stn15 | 6.7 | 1410 | 6723 | 7517 | 8744 | 8887 | 6383 | 6869 | 5860 | 5390 | |
| Stn16 | 9.6 | 1014 | 6136 | 7255 | 9058 | 8475 | 4987 | 5224 | 4207 | 3831 | |
| Stn17 | 2.9 | 799 | 6007 | 6338 | 6941 | 6077 | 3892 | 4004 | 3372 | 3183 | |
| Stn18 | 3.9 | 672 | 3610 | 4169 | 5165 | 4710 | 2751 | 2921 | 2359 | 2194 | |
| Stn19 | 4.4 | 533 | 2612 | 2892 | 3402 | 3043 | 1848 | 1950 | 1595 | 1487 | |
| Stn20 | 13.7 | 1388 | 2627 | 2903 | 3569 | 3150 | 1839 | 1900 | 1508 | 1393 | |
| Stn21 | 10.6 | 606 | 3836 | 4075 | 4603 | 3899 | 2443 | 2523 | 2172 | 2072 | |
| Stn22 | 9.2 | 906 | 3753 | 4057 | 4659 | 3897 | 2313 | 2451 | 2083 | 1969 | |
| Stn23 | 11.3 | 723 | 5314 | 5529 | 6154 | 5703 | 3920 | 3799 | 3133 | 2951 | |
| 27 March 2017 | VDR | ||||||||||
| Stn.21 | 4.5 | 106 | 6059 | 6986 | 8588 | 7727 | 4315 | 4046 | 2977 | 2639 | |
| Stn.22 | 3.9 | 106 | 7063 | 7948 | 9715 | 8948 | 5083 | 4741 | 3709 | 3313 | |
| Stn.16 | 3.7 | 114 | 4815 | 5263 | 6250 | 5553 | 3251 | 3057 | 2325 | 2099 | |
| Stn.15 | 4.0 | 112 | 5980 | 6572 | 7966 | 7144 | 4276 | 4015 | 3100 | 2826 | |
| New-1 | 3.8 | 130 | 3682 | 4145 | 5188 | 4654 | 2469 | 2295 | 1596 | 1373 | |
| Stn.17 | 3.7 | 135 | 4078 | 4669 | 5940 | 5331 | 2761 | 2567 | 1736 | 1462 | |
| Stn.8 | 3.3 | 146 | 4433 | 4931 | 6027 | 5241 | 2668 | 2468 | 1682 | 1437 | |
| Stn.4 | 3.3 | 142 | 3201 | 3543 | 4265 | 3687 | 1909 | 1770 | 1213 | 1031 | |
| Stn.3′ | 3.2 | 137 | 2854 | 2974 | 3382 | 2789 | 1444 | 1335 | 910 | 778 | |
| New-2 | 3.2 | 146 | 7172 | 8525 | 10,916 | 9631 | 4840 | 4461 | 3044 | 2594 | |
References
- Shiklomanov, I.A. World Water Resources. A New Appraisal and Assessment for the 21st Century; UNESCO: Paris, France, 1998. [Google Scholar]
- Simis, S.G.; Ruiz-Verdú, A.; Domínguez-Gómez, J.A.; Peña-Martinez, R.; Peters, S.W.; Gons, H.J. Influence of phytoplankton pigment composition on remote sensing of cyanobacterial biomass. Remote Sens. Environ. 2007, 106, 414–427. [Google Scholar] [CrossRef]
- Yamamuro, M.; Koike, I. Diel changes of nitrogen species in surface and overlying water of an estuarine lake in summer: Evidence for benthic-pelagic coupling. Limnol. Oceanogr. 1994, 39, 1726–1733. [Google Scholar] [CrossRef]
- Nakamura, Y.; Kerciku, F. Effects of filter-feeding bivalves on the distribution of water quality and nutrient cycling in a eutrophic coastal lagoon. J. Mar. Syst. 2000, 26, 209–221. [Google Scholar] [CrossRef]
- Uye, S.; Shimazu, T.; Yamamuro, M.; Ishitobi, Y.; Kamiya, H. Geographical and seasonal variations in mesozooplankton abundance and biomass in relation to environmental parameters in Lake Shinji–Ohashi River–Lake Nakaumi brackish-water system, Japan. J. Mar. Syst. 2000, 26, 193–207. [Google Scholar] [CrossRef]
- Kunii, H.; Minamoto, K. Temporal and spatial variation in the macrophyte distribution in coastal lagoon Lake Nakaumi and its neighboring waters. J. Mar. Syst. 2000, 26, 223–231. [Google Scholar] [CrossRef]
- Senga, Y.; Seike, Y.; Mochida, K.; Fujinaga, K.; Okumura, M. Nitrous oxide in brackish lakes Shinji and Nakaumi, Japan. Limnology 2001, 2, 129–136. [Google Scholar] [CrossRef]
- Yamamuro, M.; Hiratsuka, J.I.; Ishitobi, Y.; Hosokawa, S.; Nakamura, Y. Ecosystem shift resulting from loss of eelgrass and other submerged aquatic vegetation in two estuarine lagoons, Lake Nakaumi and Lake Shinji, Japan. J. Oceanogr. 2006, 62, 551–558. [Google Scholar] [CrossRef]
- Sugahara, S.; Kamiya, H.; Suyama, Y.; Senga, Y.; Ayukawa, K.; Okumura, M.; Seike, Y. Influence of hypersaturated dissolved oxygenated water on the elution of hydrogen sulfide and methane from sediment in the dredged area in polyhaline Lake Nakaumi. Landsc. Ecol. Eng. 2015, 11, 269–282. [Google Scholar] [CrossRef]
- Taylor, J.C.; van Vuuren, M.J.; Pieterse, A.J.H.; Kriel, J.P. The role of tile Hendrik Verwoerd Dam in the Orange River Project. Civ. Eng. = Siviele Ingenieurswese 1972, 14, 51–61. [Google Scholar]
- Braune, E.; Rogers, K.H. Vaal River Catchment: Problems and Research Needs; National Scientific Programmes Unit; CSIR: Pretoria, South Africa, 1987. [Google Scholar]
- Grobler, D.C.; Toerien, D.F.; Rossouw, J.N. A review of sediment/water quality interaction with particular reference to the Vaal River system. Water S. Afr. 1987, 13, 15–22. [Google Scholar]
- Taylor, J.C.; van Vuuren, M.J.; Pieterse, A.J.H. The application and testing of diatom-based indices in the Vaal and Wilge Rivers, South Africa. Water S. Afr. 2007, 33, 51–59. [Google Scholar] [CrossRef]
- Naicker, K.; Cukrowska, E.; McCarthy, T.S. Acid mine drainage arising from gold mining activity in Johannesburg, South Africa and environs. Environ. Pollut. 2003, 122, 29–40. [Google Scholar] [CrossRef]
- McCarthy, T.S. The impact of acid mine drainage in South Africa. S. Afr. J. Sci. 2011, 107, 1–7. [Google Scholar] [CrossRef]
- Jury, M.R. Economic impacts of climate variability in South Africa and development of resource prediction models. J. Appl. Meteorol. 2002, 41, 46–55. [Google Scholar] [CrossRef]
- Matthews, M.W. A current review of empirical procedures of remote sensing in inland and near-coastal transitional waters. Int. J. Remote Sens. 2011, 32, 6855–6899. [Google Scholar] [CrossRef]
- Mittenzwey, K.H.; Ullrich, S.; Gitelson, A.A.; Kondratiev, K.Y. Determination of chlorophyll a of inland waters on the basis of spectral reflectance. Limnol. Oceanogr. 1992, 37, 147–149. [Google Scholar] [CrossRef]
- Gitelson, A.A. The peak near 700 nm on radiance spectra of algae and water: Relationships of its magnitude and position with chlorophyll concentration. Int. J. Remote Sens. 1992, 13, 3367–3373. [Google Scholar] [CrossRef]
- Dall’Olmo, G.; Gitelson, A.A. Effect of bio-optical parameter variability on the remote estimation of chlorophyll-a concentration in turbid productive waters: Experimental results. Appl. Opt. 2005, 44, 412–422. [Google Scholar] [CrossRef] [PubMed]
- Yang, W.; Matsushita, B.; Chen, J.; Fukushima, T. Estimating constituent concentrations in case II waters from MERIS satellite data by semi-analytical model optimizing and look-up tables. Remote Sens. Environ. 2011, 115, 1247–1259. [Google Scholar] [CrossRef]
- Le, C.; Li, Y.; Zha, Y.; Sun, D.; Huang, C.; Lu, H. A four-band semi-analytical model for estimating chlorophyll a in highly turbid lakes: The case of Taihu Lake, China. Remote Sens. Environ. 2009, 113, 1175–1182. [Google Scholar] [CrossRef]
- Le, C.; Hu, C.; Cannizzaro, J.; English, D.; Muller-Karger, F.; Lee, Z. Evaluation of chlorophyll-a remote sensing algorithms for an optically complex estuary. Remote Sens. Environ. 2013, 129, 75–89. [Google Scholar] [CrossRef]
- Chen, Z.; Hu, C.; Muller-Karger, F. Monitoring turbidity in Tampa Bay using MODIS/Aqua 250-m imagery. Remote Sens. Environ. 2007, 109, 207–220. [Google Scholar] [CrossRef]
- Nechad, B.; Ruddick, K.G.; Park, Y. Calibration and validation of a generic multisensor algorithm for mapping of total suspended matter in turbid waters. Remote Sens. Environ. 2010, 114, 854–866. [Google Scholar] [CrossRef]
- Kallio, K.; Kutser, T.; Hannonen, T.; Koponen, S.; Pulliainen, J.; Vepsäläinen, J.; Pyhälahti, T. Retrieval of water quality from airborne imaging spectrometry of various lake types in different seasons. Sci. Total Environ. 2001, 268, 59–77. [Google Scholar] [CrossRef]
- Doxaran, D.; Froidefond, J.M.; Castaing, P.; Babin, M. Dynamics of the turbidity maximum zone in a macrotidal estuary (the Gironde, France): Observations from field and MODIS satellite data. Estuar. Coast. Shelf Sci. 2009, 81, 321–332. [Google Scholar] [CrossRef]
- Letelier, R.M.; Abbott, M.R. An analysis of chlorophyll fluorescence algorithms for the Moderate Resolution Imaging Spectrometer (MODIS). Remote Sens. Environ. 1996, 58, 215–223. [Google Scholar] [CrossRef]
- Kutser, T.; Paavel, B.; Verpoorter, C.; Ligi, M.; Soomets, T.; Toming, K.; Casal, G. Remote sensing of black lakes and using 810 nm reflectance peak for retrieving water quality parameters of optically complex waters. Remote Sens. 2016, 8, 497. [Google Scholar] [CrossRef]
- Shen, F.; Zhou, Y.X.; Li, D.J.; Zhu, W.J.; Suhyb Salama, M. Medium resolution imaging spectrometer (MERIS) estimation of chlorophyll-a concentration in the turbid sediment-laden waters of the Changjiang (Yangtze) Estuary. Int. J. Remote Sens. 2010, 31, 4635–4650. [Google Scholar] [CrossRef]
- Hu, C.; Chen, Z.; Clayton, T.D.; Swarzenski, P.; Brock, J.C.; Muller–Karger, F.E. Assessment of estuarine water-quality indicators using MODIS medium-resolution bands: Initial results from Tampa Bay, FL. Remote Sens. Environ. 2004, 93, 423–441. [Google Scholar] [CrossRef]
- Matthews, M.W.; Bernard, S.; Winter, K. Remote sensing of cyanobacteria-dominant algal blooms and water quality parameters in Zeekoevlei, a small hypertrophic lake, using MERIS. Remote Sens. Environ. 2010, 114, 2070–2087. [Google Scholar] [CrossRef]
- Olmanson, L.G.; Brezonik, P.L.; Bauer, M.E. Airborne hyperspectral remote sensing to assess spatial distribution of water quality characteristics in large rivers: The Mississippi River and its tributaries in Minnesota. Remote Sens. Environ. 2013, 130, 254–265. [Google Scholar] [CrossRef]
- Oyama, Y.; Matsushita, B.; Fukushima, T.; Matsushige, K.; Imai, A. Application of spectral decomposition algorithm for mapping water quality in a turbid lake (Lake Kasumigaura, Japan) from Landsat TM data. ISPRS J. Photogramm. Remote Sens. 2009, 64, 73–85. [Google Scholar] [CrossRef]
- Mobley, C.D. Estimation of the remote-sensing reflectance from above-surface measurements. Appl. Opt. 1999, 38, 7442–7455. [Google Scholar] [CrossRef] [PubMed]
- Tan, J.; Cherkauer, K.A.; Chaubey, I. Using hyperspectral data to quantify water-quality parameters in the Wabash River and its tributaries, Indiana. Int. J. Remote Sens. 2015, 36, 5466–5484. [Google Scholar] [CrossRef]
- Oki, K.; Yasuoka, Y.; Tamura, Y. Estimation of chlorophyll-a and suspended solids concentration in rich concentration water area with remote sensing technique. J. Remote Sens. Soc. Jpn. 2001, 21, 449–457. [Google Scholar]
- Thiemann, S.; Kaufmann, H. Lake water quality monitoring using hyperspectral airborne data—A semiempirical multisensor and multitemporal approach for the Mecklenburg Lake District, Germany. Remote Sens. Environ. 2002, 81, 228–237. [Google Scholar] [CrossRef]
- Gitelson, A.A.; Schalles, J.F.; Hladik, C.M. Remote chlorophyll-a retrieval in turbid, productive estuaries: Chesapeake Bay case study. Remote Sens. Environ. 2007, 109, 464–472. [Google Scholar] [CrossRef]
- Zimba, P.V.; Gitelson, A. Remote estimation of chlorophyll concentration in hyper-eutrophic aquatic systems: Model tuning and accuracy optimization. Aquaculture 2006, 256, 272–286. [Google Scholar] [CrossRef]
- Qiu, Z. A simple optical model to estimate suspended particulate matter in Yellow River Estuary. Opt. Express 2013, 21, 27891–27904. [Google Scholar] [CrossRef] [PubMed]
- Hou, X.; Feng, L.; Duan, H.; Chen, X.; Sun, D.; Shi, K. Fifteen-year monitoring of the turbidity dynamics in large lakes and reservoirs in the middle and lower basin of the Yangtze River, China. Remote Sens. Environ. 2017, 190, 107–121. [Google Scholar] [CrossRef]
- Chen, J.; Zhu, W.; Tian, Y.Q.; Yu, Q.; Zheng, Y.; Huang, L. Remote estimation of colored dissolved organic matter and chlorophyll-a in Lake Huron using Sentinel-2 measurements. J. Appl. Remote Sens. 2017, 11, 036007. [Google Scholar] [CrossRef]
- Ha, N.T.T.; Thao, N.T.P.; Koike, K.; Nhuan, M.T. Selecting the Best Band Ratio to Estimate Chlorophyll-a Concentration in a Tropical Freshwater Lake Using Sentinel 2A Images from a Case Study of Lake Ba Be (Northern Vietnam). ISPRS Int. J. Geo-Inf. 2017, 6, 290. [Google Scholar] [CrossRef]
- Takahashi, W.; Kawamura, H.; Omura, T.; Furuya, K. Detecting red tides in the eastern Seto inland sea with satellite ocean color imagery. J. Oceanogr. 2009, 65, 647–656. [Google Scholar] [CrossRef]













| Area | Coast Line | Water Volume | Average Depth | |
|---|---|---|---|---|
| Locations | (km2) | (km) | (km3) | (m) |
| Lake Shinji | 79 | 48 | 0.34 | 4.5 |
| Lake Nakaumi | 86 | 64 | 0.36 | 5.4 |
| Vaal Dam Reservoir | 321 | 880 | 2.54 | 22.5 |
| Water Quality Parameters | Model Name | Algorithm Style | Original References |
|---|---|---|---|
| Chla | C1 | Rrs(λ2)/Rrs(λ1) | [18,19] |
| C2 | (Rrs(λ1)−1 − Rrs(λ2)−1) × R(λ3) | [20,21] | |
| C3 | [Rrs(λ1)−1 − Rrs(λ2)−1]/[Rrs(λ4)−1 − Rrs(λ3)−1] | [22,23] | |
| Turbidity | T1 | R(λ5) | [24,25] |
| T2 | R(λ6)/R(λ7) | [26,27] | |
| T3 | R(λ8) − [R(λ9) + R(λ10)]/2 | [29] |
| Spatial | ||||
|---|---|---|---|---|
| Satellite | Sensor | Launch | Resolution (m) | Center Wavelength (nm) |
| Sentinel-2 | MSI | February 2016 | 10/20*/60** | 443**, 490, 560, 665, 705*, 740*, 775*, 842, 865* |
| Locations | Date | Chla | Turbidity | |||
|---|---|---|---|---|---|---|
| (mg m−3) | (NTU) | |||||
| Min | Max | Min | Max | N | ||
| L. Shinji and L. Nakaumi (SJNU) | 15 July 2016 | 4.7 | 19.8 | 2.1 | 5.9 | 6 |
| 12 September 2016 | 0.8 | 12.5 | 0.0 | 2.3 | 4 | |
| Vaal Dam Reservoir (VDR) | 26 October 2016 | 2.1 | 13.8 | 386 | 1678 | 18 |
| 27 March 2017 | 3.0 | 4.6 | 106 | 146 | 10 | |
| Model | RMSE | |||
|---|---|---|---|---|
| Name | Algorithm | R2 | (mg m−3) | n |
| C1 | Chla = 146.5 × [Rrs(687)/Rrs(672)] − 141.9 | 0.69 | 2.1 | 38 |
| C2 | Chla = 245.2 × [Rrs(687)−1 − Rrs(672)−1] × Rrs(832) + 4.266 | 0.73 | 2.0 | 38 |
| C3 | Chla = −0.1784 × [Rrs(687)−1 − Rrs(672)−1]/[Rrs(832)−1 − Rrs(600)−1] + 5.777 | 0.30 | 5.2 | 38 |
| Model | RMSE | |||
|---|---|---|---|---|
| name | Algorithm | R2 | (NTU) | n |
| T1 | Turb = 10,613 × Rrs(814) + 22.281 | 0.17 | 443 | 38 |
| T2 | Turb = 6834.7 × Rrs(821)/Rrs(763) − 6632.2 | 0.72 | 257 | 38 |
| T3 | Turb = 114,642 × (Rrs(810) − [Rrs(730) + Rrs(770)]/2) + 361.95 | 0.70 | 267 | 38 |
© 2018 by the authors. Licensee MDPI, Basel, Switzerland. This article is an open access article distributed under the terms and conditions of the Creative Commons Attribution (CC BY) license (http://creativecommons.org/licenses/by/4.0/).
Share and Cite
Sakuno, Y.; Yajima, H.; Yoshioka, Y.; Sugahara, S.; Abd Elbasit, M.A.M.; Adam, E.; Chirima, J.G. Evaluation of Unified Algorithms for Remote Sensing of Chlorophyll-a and Turbidity in Lake Shinji and Lake Nakaumi of Japan and the Vaal Dam Reservoir of South Africa under Eutrophic and Ultra-Turbid Conditions. Water 2018, 10, 618. https://doi.org/10.3390/w10050618
Sakuno Y, Yajima H, Yoshioka Y, Sugahara S, Abd Elbasit MAM, Adam E, Chirima JG. Evaluation of Unified Algorithms for Remote Sensing of Chlorophyll-a and Turbidity in Lake Shinji and Lake Nakaumi of Japan and the Vaal Dam Reservoir of South Africa under Eutrophic and Ultra-Turbid Conditions. Water. 2018; 10(5):618. https://doi.org/10.3390/w10050618
Chicago/Turabian StyleSakuno, Yuji, Hiroshi Yajima, Yumi Yoshioka, Shogo Sugahara, Mohamed A. M. Abd Elbasit, Elhadi Adam, and Johannes George Chirima. 2018. "Evaluation of Unified Algorithms for Remote Sensing of Chlorophyll-a and Turbidity in Lake Shinji and Lake Nakaumi of Japan and the Vaal Dam Reservoir of South Africa under Eutrophic and Ultra-Turbid Conditions" Water 10, no. 5: 618. https://doi.org/10.3390/w10050618
APA StyleSakuno, Y., Yajima, H., Yoshioka, Y., Sugahara, S., Abd Elbasit, M. A. M., Adam, E., & Chirima, J. G. (2018). Evaluation of Unified Algorithms for Remote Sensing of Chlorophyll-a and Turbidity in Lake Shinji and Lake Nakaumi of Japan and the Vaal Dam Reservoir of South Africa under Eutrophic and Ultra-Turbid Conditions. Water, 10(5), 618. https://doi.org/10.3390/w10050618

