Time-Lapse Photography of the Edge-of-Water Line Displacements of a Sandbar as a Proxy of Riverine Morphodynamics
Abstract
1. Introduction
2. Materials and Methods
2.1. Case Study
2.2. Time-Lapse Photography
2.3. Numerical Modeling
3. Methodology
3.1. Time-Lapse Photography
3.2. Bathymetric Data and ADCP Campaign
3.3. Water Level Data
3.4. Model Implementation
4. Results
4.1. Edge-of-Water Line Evolution Monitored with the Camera
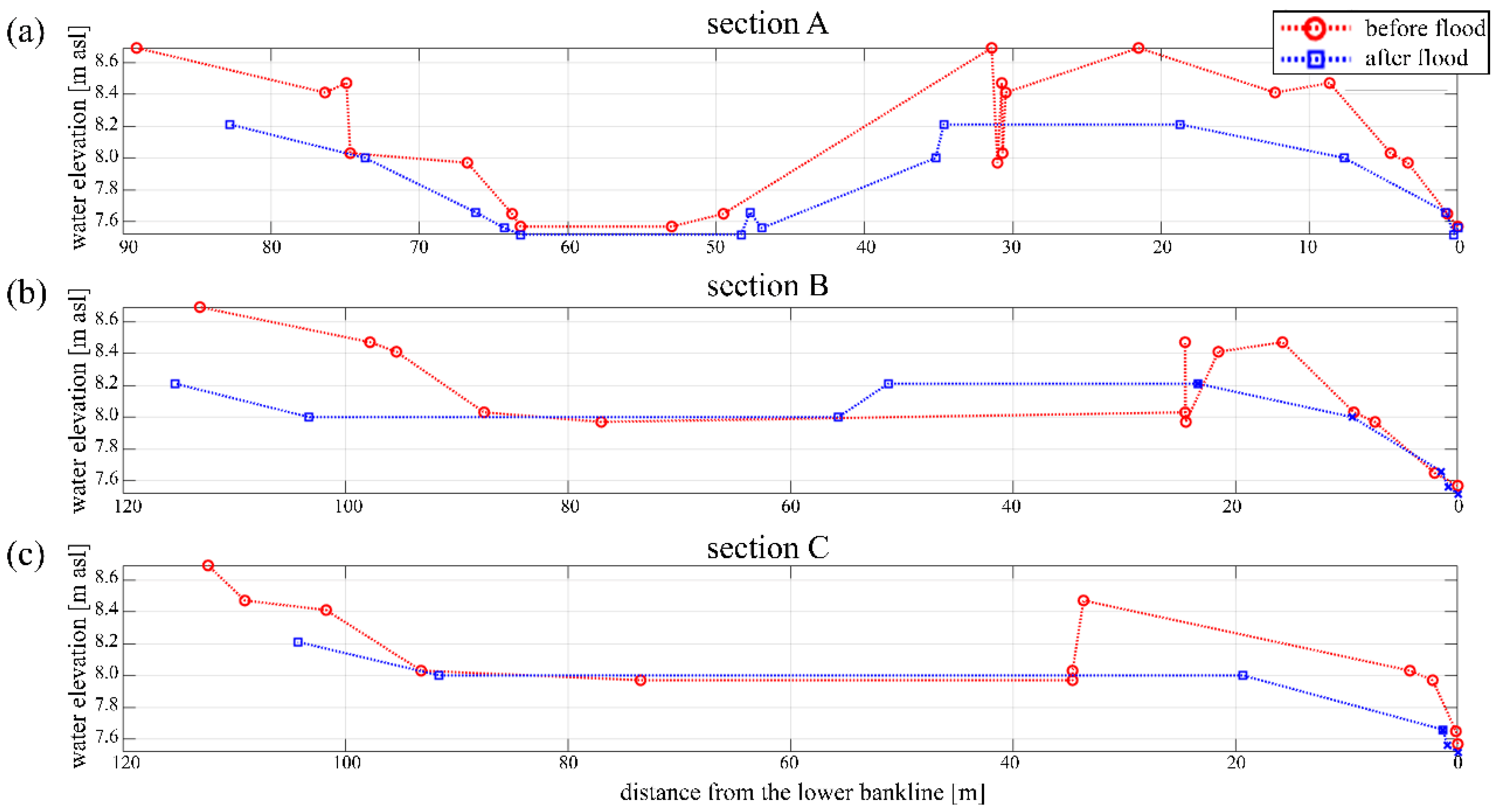
4.2. Modeled Evolution of the River Bed
5. Discussion
6. Conclusions
Author Contributions
Acknowledgments
Conflicts of Interest
References
- Marion, A.; Nikora, V.; Puijalon, S.; Bouma, T.; Koll, K.; Ballio, F.; Tait, S.; Zaramella, M.; Sukhodolov, A.; O’Hare, M.T.; et al. Aquatic interfaces: A hydrodynamic and ecological perspective. J. Hydraul. Res. 2014, 52, 744–758. [Google Scholar] [CrossRef]
- Gurnell, A.M.; Corenblit, D.; García de Jalón, D.; González del Tánago, M.; Grabowski, R.C.; O’Hare, M.T.; Szewczyk, M. A Conceptual Model of Vegetation–hydrogeomorphology Interactions within River Corridors. River Res. Appl. 2016, 32, 142–163. [Google Scholar] [CrossRef]
- Nones, M.; Di Silvio, G. Modeling of River Width Variations Based on Hydrological, Morphological, and Biological Dynamics. J. Hydraul. Eng. 2016, 142, 04016012. [Google Scholar] [CrossRef]
- Vesipa, R.; Camporeale, C.; Ridolfi, L. Effect of river flow fluctuations on riparian vegetation dynamics: Processes and models. Adv. Water Resour. 2017, 110, 29–50. [Google Scholar] [CrossRef]
- Scorpio, V.; Zen, S.; Bertoldi, W.; Surian, N.; Mastronunzio, M.; Dai Prà, E.; Zolezzi, G.; Comiti, F. Channelization of a large Alpine river: What is left of its original morphodynamics? Earth Surf. Process. Landf. 2018, 43, 1044–1062. [Google Scholar] [CrossRef]
- Amitrano, D.; Di Martino, G.; Iodice, A.; Riccio, D.; Ruello, G.; Ciervo, F.; Papa, M.N.; Koussoubè, Y. Effectiveness of high-resolution SAR for water resource management in low-income semi-arid countries. Int. J. Remote Sens. 2014, 35, 70–88. [Google Scholar] [CrossRef]
- Domeneghetti, A. On the use of SRTM and altimetry data for flood modeling in data-sparse regions. Water Resour. Res. 2016, 52, 2901–2918. [Google Scholar] [CrossRef]
- Payne, C.; Panda, S.; Prakash, A. Remote Sensing of River Erosion on the Colville River, North Slope Alaska. Remote Sens. 2018, 10, 397. [Google Scholar] [CrossRef]
- Schwenk, J.; Khandelwal, A.; Fratkin, M.; Kumar, V.; Foufoula-Georgiou, E. High spatiotemporal resolution of river planform dynamics from Landsat: The RivMAP toolbox and results from the Ucayali River. Earth Space Sci. 2017, 4, 46–75. [Google Scholar] [CrossRef]
- Moretto, J.; Rigon, E.; Mao, L.; Picco, L.; Delai, F.; Lenzi, M.A. Channel adjustments and island dynamics in the Brenta River (Italy) over the last 30 years. River Res. Appl. 2014, 30, 719–732. [Google Scholar] [CrossRef]
- Nones, M.; Gerstgraser, C. Morphological changes of a restored reach: The case of the Spree River, Cottbus, Germany. In Hydrodynamic and Mass Transport at Freshwater Aquatic Interfaces, 167–182 GeoPlanet: Earth and Planetary Sciences; Rowiński, P., Marion, A., Eds.; Springer International Publishing: Cham, Switzerland, 2016. [Google Scholar]
- Spiekermann, R.; Betts, H.; Dymond, J.; Basher, L. Volumetric measurement of river bank erosion from sequential historical aerial photography. Geomorphology 2017, 296, 193–208. [Google Scholar] [CrossRef]
- Langhammer, J.; Bernsteinová, J.; Miřijovský, J. Building a High-Precision 2D Hydrodynamic Flood Model Using UAV Photogrammetry and Sensor Network Monitoring. Water 2017, 9, 861. [Google Scholar] [CrossRef]
- Micheletti, N.; Chandler, J.H.; Lane, S.N. Investigating the geomorphological potential of freely available and accessible structure-from-motion photogrammetry using a smartphone. Earth Surf. Process. Landf. 2015, 40, 473–486. [Google Scholar] [CrossRef]
- Archetti, R.; Paci, A.; Carniel, S.; Bonaldo, D. Optimal index related to the shoreline dynamics during a storm: The case of Jesolo beach. Nat. Hazards Earth Syst. Sci. 2016, 16, 1107–1122. [Google Scholar] [CrossRef]
- Pyle, C.J.; Richards, K.S.; Chandler, J.H. Digital photogrammetric monitoring of river bank erosion. Photogramm. Rec. 1997, 15, 753–764. [Google Scholar] [CrossRef]
- Chandler, J.H. Effective application of automated digital photogrammetry for geomorphological research. Earth Surf. Process. Landf. 1999, 24, 51–63. [Google Scholar] [CrossRef]
- Stojic, M.; Chandler, J.H.; Ashmore, P.; Luce, J. The assessment of sediment transport rates by automated digital photogrammetry. Photogramm. Eng. Remote Sens. 1998, 64, 387–395. [Google Scholar]
- Aarninkhof, S.G.J.; Turner, I.L.; Dronkers, T.D.T.; Caljouw, M.; Nipius, L. A video-based technique for mapping intertidal beach bathymetry. Coast. Eng. 2003, 49, 275–289. [Google Scholar] [CrossRef]
- Kroon, A.; Davidson, M.A.; Aarninkhof, S.G.J.; Archetti, R.; Armaroli, C.; Gonzalez, M.; Medri, S.; Osorio, A.; Aagaard, T.; Holman, R.A.; et al. Application of remote sensing video systems for coastline management problems. Coast. Eng. 2007, 54, 493–505. [Google Scholar] [CrossRef]
- Archetti, R. Quantifying the evolution of a beach protected by low crested structures using video monitoring. J. Coast. Res. 2009, 25, 884–899. [Google Scholar] [CrossRef]
- Archetti, R.; Romagnoli, C. Analysis of the effects of different storm events on shoreline dynamics of an artificially embayed beach. Earth Surf. Process. Landf. 2011, 36, 1449–1463. [Google Scholar] [CrossRef]
- Archetti, R.; Zanuttigh, B. Integrated monitoring of the hydro-morphodynamics of a beach protected by low crested detached breakwaters. Coast. Eng. 2010, 57, 879–891. [Google Scholar] [CrossRef]
- Domeneghetti, A.; Carisi, F.; Castellarin, A.; Brath, A. Evolution of flood risk over large areas: Quantitative assessment for the Po River. J. Hydrol. 2015, 527, 809–823. [Google Scholar] [CrossRef]
- Schumann, G.J.-P.; Domeneghetti, A. Exploiting the proliferation of current and future satellite observations of rivers. Hydrol. Process. 2016, 30, 2891–2896. [Google Scholar] [CrossRef]
- Nones, M.; Pugliese, A.; Domeneghetti, A.; Guerrero, M. Po River morphodynamics modelled with the open-source code iRIC. In Free Surface Flows and Transport Processes. GeoPlanet: Earth and Planetary Sciences; Kalinowska, M., Mrokowska, M., Rowiński, P., Eds.; Springer: Cham, Switzerland, 2018. [Google Scholar]
- Amorosi, A.; Maselli, V.; Trincardi, F. Onshore to offshore anatomy of a late Quaternary source-to-sink system (Po Plain-Adriatic Sea, Italy). Earth-Sci. Rev. 2016, 153, 212–237. [Google Scholar] [CrossRef]
- Syvitski, J.P.M.; Kettner, A.J. On the flux of water and sediment into the Northern Adriatic Sea. Cont. Shelf Res. 2007, 27, 296–308. [Google Scholar] [CrossRef]
- Cozzi, S.; Giani, M. River water and nutrient discharge in the Northern Adriatic Sea: Current importance and long-term changes. Cont. Shelf Res. 2011, 31, 1881–1893. [Google Scholar] [CrossRef]
- Montanari, A. Hydrology of the Po River: Looking for changing patterns in river discharge. Hydrol. Earth Syst. Sci. 2012, 16, 3739–3747. [Google Scholar] [CrossRef]
- Cati, L. Idrografia e Idrologia del Po; Ufficio Idrografico del Po: Parma, Italy, 1981. (In Italian) [Google Scholar]
- Guerrero, M.; Lamberti, A. Flow Field and Morphology Mapping Using ADCP and Multibeam Techniques: Survey in the Po River. J. Hydraul. Eng. 2011, 137. [Google Scholar] [CrossRef]
- Lamberti, A.; Schippa, L. Studio dell’abbassamento del fiume Po: Previsioni trentennali di abbassamento a Cremona. In Navigazione Interna; Azienda Regionale per i Porti di Cremona e Mantova: Cremona, Italy, 1994. (In Italian) [Google Scholar]
- Lanzoni, S. Evoluzione morfologica recente dell’asta principale del Po. In Proceedings of the Convegni dei Lincei; Giornata Mondiale dell’Acqua, Accademia Nazionale dei Lincei: Roma, Italy, 2012. (In Italian) [Google Scholar]
- Surian, N.; Rinaldi, M. Morphological response to river engineering and management in alluvial channels in Italy. Geomorphology 2003, 50, 307–326. [Google Scholar] [CrossRef]
- Zanchini, F. Metodi di Rilievo degli Argini Mediante Utilizzo di Tecniche Geomatiche Integrate: Isola Boschina, Ostiglia, Mantova. Master’s Thesis, University of Bologna, Italy, 2017. (In Italian). [Google Scholar]
- Astori, B.; Solaini, L. Fotogrammetria. Clup: Milano, Italy, 1974. (In Italian) [Google Scholar]
- Guerrero, M.; Lamberti, A. Clouds image processing for velocity acquisition. In Proceedings of the 32nd IAHR Congress, Venice, Italy, 1–6 July 2007. [Google Scholar]
- Nelson, J.M.; Shimizu, Y.; Abe, T.; Asahi, K.; Gamou, M.; Inoue, T.; Iwasaki, T.; Kakinuma, T.; Kawamura, S.; Kimura, I.; et al. The international river interface cooperative: Public domain flow and morphodynamics software for education and applications. Adv. Water Resour. 2016, 93, 62–74. [Google Scholar] [CrossRef]
- iRIC Software. Mflow_02 Solver Manuals. 2014. Available online: http://i-ric.org (accessed on 8 May 2018).
- Nezu, I.; Nakagawa, H. Turbulence in Open-Channel Flow; IAHR Monograph, Belkema: Rotterdam, The Netherlands, 1993. [Google Scholar]
- Lomax, H.; Pulliam, T.H.; Zingg, D.W. Fundamentals of Computational Fluid Dynamics; Springer: Berlin/Heidelberg, Germany, 2013. [Google Scholar]
- Guerrero, M.; Di Federico, V.; Lamberti, A. Calibration of a 2-D morphodynamic model using water–sediment flux maps derived from an ADCP recording. J. Hydroinform. 2013, 15, 813–828. [Google Scholar] [CrossRef]
- Ashida, K.; Michiue, M. Studies on Bed Load Transportation for Nonuniform Sediment and River Bed Variation; Disaster Prevention Research Institute Annuals: Kyoto, Japan, 1972; 14p. [Google Scholar]
- Garcia, M.H.; Parker, G. Entrainment of bed sediment into suspension. J. Hydraul. Eng. 1991, 144, 414–435. [Google Scholar] [CrossRef]
- Rouse, H. Modern conception of the mechanics of turbulence. Trans. ASCE 1937, 102, 463–543. [Google Scholar]
- Agenzia Interregionale per il Fiume Po—AIPO. Rilievo Sezioni Topografiche Trasversali Nella Fascia B del Fiume Po, Dalla Confluenza con il Ticino al Mare; AIPO: Parma, Italy, 2005. (In Italian) [Google Scholar]
- Nones, M.; Guerrero, M.; Conevski, S.; Rüther, N.; Di Federico, V. The acoustic backscatter at two well-spaced grazing angles to characterize moving sediments at riverbed. In Proceedings of the XXXVI Convegno Nazionale di Idraulica e Costruzioni Idrauliche, Ancona, Italy, 12–14 September 2018. [Google Scholar]
- Donchyts, G.; Baart, F.; Winsemius, H.; Gorelick, N.; Kwadijk, J.; van de Giesen, N. Earth’s surface water change over the past 30 years. Nat. Clim. Chang. 2016, 6, 810–813. [Google Scholar] [CrossRef]
- Passalacqua, P.; Belmont, P.; Staley, D.M.; Simley, J.D.; Arrowsmith, J.R.; Bode, C.A.; Crosby, C.; DeLong, S.B.; Glenn, N.F.; Kelly, S.A.; et al. Analyzing high resolution topography for advancing the understanding of mass and energy transfer through landscapes: A review. Earth-Sci. Rev. 2015, 148, 174–193. [Google Scholar] [CrossRef]
- Rusnák, M.; Sládek, J.; Kidová, A.; Lehotský, M. Template for high-resolution river landscape mapping using UAV technology. Measurement 2018, 115, 139–151. [Google Scholar] [CrossRef]
- Legleiter, C.J.; Roberts, D.A.; Lawrence, R.L. Spectrally based remote sensing of river bathymetry. Earth Surf. Process. Landf. 2009, 34, 1039–1059. [Google Scholar] [CrossRef]
- Legleiter, C.J. Remote measurement of river morphology via fusion of LiDAR topography and spectrally based bathymetry. Earth Surf. Process. Landf. 2012, 37, 499–518. [Google Scholar] [CrossRef]
- Kelly, S.A.; Belmont, P. High Resolution Monitoring of River Bluff Erosion Reveals Failure Mechanisms and Geomorphically Effective Flows. Water 2018, 10, 394. [Google Scholar] [CrossRef]
- Lichti, D.D.; Skaloud, J. Registration and calibration. In Airborne and Terrestrial Laser Scanning; Vosselman, G., Maas, H.-G., Eds.; CRC Press Inc.: Boca Raton, FL, USA, 2010; pp. 83–133. [Google Scholar]
- Nones, M. River restoration: The need for a better monitoring agenda. In Proceedings of the 13th International Symposium on River Sedimentation, Stuttgart, Germany, 19–22 September 2016; pp. 908–913. [Google Scholar]











© 2018 by the authors. Licensee MDPI, Basel, Switzerland. This article is an open access article distributed under the terms and conditions of the Creative Commons Attribution (CC BY) license (http://creativecommons.org/licenses/by/4.0/).
Share and Cite
Nones, M.; Archetti, R.; Guerrero, M. Time-Lapse Photography of the Edge-of-Water Line Displacements of a Sandbar as a Proxy of Riverine Morphodynamics. Water 2018, 10, 617. https://doi.org/10.3390/w10050617
Nones M, Archetti R, Guerrero M. Time-Lapse Photography of the Edge-of-Water Line Displacements of a Sandbar as a Proxy of Riverine Morphodynamics. Water. 2018; 10(5):617. https://doi.org/10.3390/w10050617
Chicago/Turabian StyleNones, Michael, Renata Archetti, and Massimo Guerrero. 2018. "Time-Lapse Photography of the Edge-of-Water Line Displacements of a Sandbar as a Proxy of Riverine Morphodynamics" Water 10, no. 5: 617. https://doi.org/10.3390/w10050617
APA StyleNones, M., Archetti, R., & Guerrero, M. (2018). Time-Lapse Photography of the Edge-of-Water Line Displacements of a Sandbar as a Proxy of Riverine Morphodynamics. Water, 10(5), 617. https://doi.org/10.3390/w10050617

