Decrease in Snow Cover over the Aysén River Catchment in Patagonia, Chile
Abstract
1. Introduction
2. Study Area
3. Data
3.1. Remote Sensing
3.2. In Situ Information
4. Methods
4.1. Remote-Sensing Processing
4.2. Snow Covered Area (SCA)
4.3. Seasonal Trend Analysis
4.4. SCA and In Situ Data
5. Results
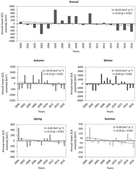
5.1. SCA
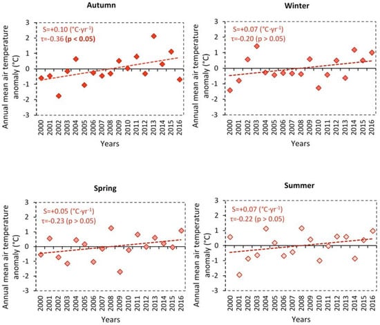
5.2. Seasonal Trend Analysis
5.3. SCA and In Situ Data
6. Discussion
7. Conclusions
Author Contributions
Acknowledgments
Conflicts of Interest
References
- IPCC (Intergovernmental Panel on Climate Change). Part A: Global and Sectoral Aspects. In Climate Change 2014: Impacts, Adaptation, and Vulnerability; Contribution of Working Group II to the Fifth Assessment Report of the Intergovernmental Panel on Climate Change; Cambridge University Press: Cambridge, UK; New York, NY, USA, 2014. [Google Scholar]
- Bates, B.; Kundzewicz, Z.W.; Wu, S.; Palutikof, J. Climate Change and Water; Technical Paper VI; Intergovernmental Panel on Climate Change (IPCC): Geneva, Switzerland, 2008; pp. 210–225. [Google Scholar]
- Peng, S.; Piao, S.; Ciais, P.; Friedlingstein, P.; Zhou, L.; Wang, T. Change in snow phenology and its potential feedback to temperature in the Northern Hemisphere over the last three decades. Environ. Res. Lett. 2013, 8, 1–10. [Google Scholar] [CrossRef]
- Casassa, G.; Haeberli, W.; Jones, G.; Kaser, G.; Ribstein, P.; Rivera, A.; Schneider, C. Current status of Andean glaciers. Glob. Planet. Chang. 2007, 59, 1–9. [Google Scholar] [CrossRef]
- Durán-Alarcón, C.; Gevaert, C.M.; Mattar, C.; Jiménez-Muñoz, J.C.; Pasapera-Gonzales, J.J.; Sobrino, J.A.; Silvia-Vidal, Y.; Fashe-Raymundo, O.; Chavez-Espiritu, T.W.; Santillan-Portilla, N.; et al. Recent trends on glacier area retreat over the group of Nevados Caullaraju-Pastoruri (Cordillera Blanca, Peru) using Landsat imagery. J. S. Am. Earth Sci. 2015, 59, 19–26. [Google Scholar] [CrossRef]
- Rivera, A.; Acuña, C.; Casassa, G.; Bown, F. Use of remotely sensed and field data to estimate the contribution of Chilean glaciers to eustatic sea-level rise. Ann. Glaciol. 2002, 34, 367–372. [Google Scholar] [CrossRef]
- Rivera, A.; Bown, F. Recent glacier variations on active ice capped volcanoes in the Southern Volcanic Zone (37°–46° S), Chilean Andes. J. S. Am. Earth Sci. 2013, 45, 345–356. [Google Scholar] [CrossRef]
- Key, J.; Goodison, B.; Schöner, W.; Godøy, Ø.; Ondráš, M.; Snorrason, Á. A Global Cryosphere Watch. Arctic 2015, 68, 48–58. [Google Scholar] [CrossRef]
- Stern, N. The economics of climate change. Am. Econ. Rev. 2008, 98, 1–37. [Google Scholar] [CrossRef]
- Dozier, J. Spectral Signature of Alpine Snow Cover from the Landsat Thematic Mapper. Remote Sens. Environ. 1989, 28, 9–22. [Google Scholar] [CrossRef]
- Hall, D.K.; Riggs, G.A.; Salomonson, V.V. Development of methods for mapping global snow cover using moderate resolution imaging spectroradiometer data. Remote Sens. Environ. 1995, 54, 127–140. [Google Scholar] [CrossRef]
- Dietz, A.J.; Kuenzer, C.; Gessner, U.; Dech, S. Remote sensing of snow—A review of available methods. Int. J. Remote Sens. 2012, 33, 4094–4134. [Google Scholar] [CrossRef]
- König, M.; Winther, J.G.; Isaksson, E. Measuring snow and glacier ice properties from satellite. Rev. Geophys. 2001, 39, 1–27. [Google Scholar] [CrossRef]
- Frei, A.; Tedesco, M.; Lee, S.; Foster, J.; Hall, D.K.; Kelly, R.; Robinson, D.A. A review of global satellite-derived snow products. Adv. Space Res. 2012, 50, 1007–1029. [Google Scholar] [CrossRef]
- Barry, R.G. Chapter 5: Regional cases studies. In Mountain Weather and Climate, 3rd ed.; University of Colorado: Boulder, CO, USA, 2008; pp. 421–426. [Google Scholar]
- Gascoin, S.; Lhermitte, S.; Kinnard, C.; Bortels, K.; Liston, G.E. Wind effects on snow cover in Pascua-Lama, Dry Andes of Chile. Adv. Water Resour. 2013, 55, 25–39. [Google Scholar] [CrossRef]
- Masiokas, M.H.; Villalba, R.; Luckman, B.H.; Le Quesne, C.; Aravena, J.C. Snowpack variations in the central Andes of Argentina and Chile, 1951–2005: Large-scale atmospheric influences and implications for water resources in the region. J. Clim. 2006, 19, 6334–6352. [Google Scholar] [CrossRef]
- Stehr, A.; Aguayo, M. Snow cover dynamics in Andean watersheds of Chile (32.0–39.5° S) during the years 2000–2016. Hydrol. Earth Syst. Sci. 2017, 21, 5111–5126. [Google Scholar] [CrossRef]
- Lopez, P.; Sirguey, P.; Arnaud, Y.; Pouyaud, B.; Chevallier, P. Snow cover monitoring in the Northern Patagonia Icefield using MODIS satellite images (2000–2006). Glob. Planet. Chang. 2008, 61, 103–116. [Google Scholar] [CrossRef]
- Silva, E. Patagonia, without Dams! Lessons of a David vs. Goliath campaign. Extr. Ind. Soc. 2016, 3, 947–957. [Google Scholar] [CrossRef]
- Bozkurt, D.; Rojas, M.; Boisier, J.P.; Valdivieso, J. Climate change impacts on hydroclimatic regimes and extremes over Andean basins in central Chile. Hydrol. Earth Syst. Sci. Discuss. 2017. [Google Scholar] [CrossRef]
- Dai, A. Increasing drought under global warming in observations and models. Nat. Clim. Chang. 2013, 3, 52–58. [Google Scholar] [CrossRef]
- Delgado, L.E.; Sepúlveda, M.B.; Marín, V.H. Provision of ecosystem services by the Aysén watershed, Chilean Patagonia, to rural households. Ecosyst. Serv. 2013, 5, 102–109. [Google Scholar] [CrossRef]
- DGA (Dirección General de Aguas). Cuenca del Río Aysén: Diagnóstico y Clasificación de los Cursos y Cuerpos de Agua Según Objetivos de Calidad. 2004. Available online: http://portal.mma.gob.cl/wp-content/uploads/2017/12/Aysen.pdf (accessed on 2 January 2007).
- Torres-Gómez, M.; Delgado, L.E.; Marín, V.H.; Bustamante, R.O. Estructura del paisaje a lo largo de gradientes urbano-rurales en la cuenca del río Aisén (Región de Aisén, Chile). Rev. Chil. Hist. Nat. 2009, 82, 73–82. [Google Scholar] [CrossRef]
- Rondanelli-Reyes, M.J.; Troncoso-Castro, J.M.; León, C.A. Historia vegetal reciente en Patagonia occidental. Análisis palinológico de Laguna Cea (45°40′ S, 72°14′ W), Coyhaique, Chile. Polibotánica 2011, 32, 163–178. [Google Scholar]
- Bizama, G.; Torrejón, F.; Aguayo, M.; Muñoz, M.D.; Echeverría, C.; Urrutia, R. Pérdida y fragmentación del bosque nativo en la cuenca del río Aysén (Patagonia-Chile) durante el siglo XX. Rev. Geogr. Norte Gd. 2011, 49, 125–138. [Google Scholar] [CrossRef]
- Campuzano, F.J.; Leitão, P.C.; Gonçalves, M.I.; Marin, V.; Tironi, H. Hydrodynamical vertical 2D model for the Aysen Fjord. In Perspectives on Integrated Coastal Zone Management in South America; Neves, R., Baretta, J.W., Mateus, M., Eds.; IST Press: Lisboa, Portugal, 2008; pp. 555–566. [Google Scholar]
- Klein, A.G.; Barnett, A.C. Validation of daily MODIS snow cover maps of the Upper Rio Grande River Basin for the 2000–2001 snow year. Remote Sens. Environ. 2003, 86, 162–176. [Google Scholar] [CrossRef]
- Riggs, G.A.; Hall, D.K.; Salomonson, V.V. MODIS Snow Products User Guide to Collection 5. 2006. Available online: https://modis-snow-ice.gsfc.nasa.gov/uploads/sug_c5.pdf (accessed on 2 January 2007).
- Hall, D.K.; Riggs, G.A. Accuracy assessment of the MODIS snow products. Hydrol. Process. 2007, 21, 1534–1547. [Google Scholar] [CrossRef]
- Muster, S.; Langer, M.; Abnizova, A.; Young, K.L.; Boike, J. Spatio-temporal sensitivity of MODIS land surface temperature anomalies indicates high potential for large-scale land cover change detection in Arctic permafrost landscapes. Remote Sens. Environ. 2015, 168, 1–12. [Google Scholar] [CrossRef]
- Sen, P.K. Estimates of the regression coefficient based on Kendall’s tau. J. Am. Stat. Assoc. 1968, 63, 1379–1389. [Google Scholar] [CrossRef]
- Gilbert, R.O. Sen’s Nonparametric Estimator of Slope. In Statistical Methods for Environmental Pollution Monitoring; John Wiley and Sons: Hoboken, NJ, USA, 1987; pp. 217–219. [Google Scholar]
- Mann, H.B. Non-parametric tests against trend. Econometrica 1945, 13, 245–259. [Google Scholar] [CrossRef]
- Kendall, M.G. Rank Correlation Methods; Griffin: Oxford, UK, 1975. [Google Scholar]
- Hess, A.; Iyer, H.; Malm, W. Linear trend analysis: A comparison of methods. Atmos. Environ. 2001, 35, 5211–5222. [Google Scholar] [CrossRef]
- Barnett, T.P.; Adam, J.C.; Lettenmaier, D.P. Potential impacts of a warming climate on water availability in snow-dominated regions. Nature 2005, 438, 303–309. [Google Scholar] [CrossRef] [PubMed]
- López-Moreno, J.I.; García-Ruiz, J.M. Influence of snow accumulation and snowmelt on streamflow in the central Spanish Pyrenees/Influence de l’accumulation et de la fonte de la neige sur les écoulements dans les Pyrénées centrales espagnoles. Hydrol. Sci. J. 2004, 49, 802. [Google Scholar] [CrossRef]
- Zheng, W.; Du, J.; Zhou, X.; Song, M.; Bian, G.; Xie, S.; Feng, X. Vertical distribution of snow cover and its relation to temperature over the Manasi River Basin of Tianshan Mountains, Northwest China. J. Geogr. Sci. 2017, 27, 403–419. [Google Scholar] [CrossRef]
- Zhou, X.; Xie, H.; Hendrickx, M.H.J. Statistical evaluation of remotely sensed snow-cover products with constraints from streamflow and SNOTEL measurements. Remote Sens. Environ. 2005, 94, 214–231. [Google Scholar] [CrossRef]
- Huang, X.; Liang, T.; Zhang, X.; Guo, Z. Validation of MODIS snow cover products using Landsat and ground measurements during the 2001–2005 snow seasons over northern Xinjiang, China. Int. J. Remote Sens. 2011, 32, 133–152. [Google Scholar] [CrossRef]
- Wang, X.; Xie, H.; Liang, T. Evaluation of MODIS snow cover and cloud mask and its application in Northern Xinjiang, China. Remote Sens. Environ. 2008, 112, 1497–1513. [Google Scholar] [CrossRef]
- Simic, A.; Fernandes, R.; Brown, R.; Romanov, P.; Park, W. Validation of VEGETATION, MODIS, and GOES+ SSM/I snow-cover products over Canada based on surface snow depth observations. Hydrol. Process. 2004, 18, 1089–1104. [Google Scholar] [CrossRef]
- Rittger, K.; Painter, T.H.; Dozier, J. Assessment of methods for mapping snow cover from MODIS. Adv. Water Resour. 2013, 51, 367–380. [Google Scholar] [CrossRef]
- Yang, D.; Robinson, D.; Zhao, Y.; Estilow, T.; Ye, B. Streamflow response to seasonal snow cover extent changes in large Siberian watersheds. J. Geophys. Res. Atmos. 2003, 108, 1–21. [Google Scholar] [CrossRef]
- Tang, Z.; Wang, J.; Li, H.; Yan, L. Spatiotemporal changes of snow cover over the Tibetan plateau based on cloud-removed moderate resolution imaging spectroradiometer fractional snow cover product from 2001 to 2011. J. Appl. Remote Sens. 2013, 7, 073582. [Google Scholar] [CrossRef]
- Zhang, G.; Xie, H.; Yao, T.; Liang, T.; Kang, S. Snow cover dynamics of four lake basins over Tibetan Plateau using time series MODIS data (2001–2010). Water Resour. Res. 2012, 48, 1–25. [Google Scholar] [CrossRef]
- Garreaud, R.D.; Alvarez-Garreton, C.; Barichivich, J.; Boisier, J.P.; Duncan, C.; Galleguillos, M.; Zambrano-Bigiarini, M. The 2010–2015 megadrought in central Chile: Impacts on regional hydroclimate and vegetation. Hydrol. Earth Syst. Sci. 2017, 21, 6307–6327. [Google Scholar] [CrossRef]
- Cai, W.; Borlace, S.; Lengaigne, M.; Van Rensch, P.; Collins, M.; Vecchi, G.; England, M.H. Increasing frequency of extreme El Niño events due to greenhouse warming. Nat. Clim. Chang. 2014, 4, 111–116. [Google Scholar] [CrossRef]
- Malmros, J.K.; Mernild, S.H.; Wilson, R.; Tagesson, T.; Fensholt, R. Snow cover and snow albedo changes in the central Andes of Chile and Argentina from daily MODIS observations (2000–2016). Remote Sens. Environ. 2018, 209, 240–252. [Google Scholar] [CrossRef]
- Mernild, S.H.; Liston, G.E.; Kane, D.L.; Knudsen, N.T.; Hasholt, B. Snow, runoff, and mass balance modeling for the entire Mittivakkat Glacier (1998–2006), Ammassalik Island, SE Greenland. Geogr. Tidsskr.-Dan. J. Geogr. 2008, 108, 121–136. [Google Scholar] [CrossRef]
- Vicuña, S.; Meza, F.J. Los nuevos desafíos para la gestión de los recursos hídricos en Chile en el marco del cambio global; Centro de Políticos Publicas de la Pontificia Universidad Católica de Chile: Santiago, Chile, 2012. [Google Scholar]









| Station Type * | Station Name | Latitude | Longitude | Altitude (m.a.s.l.) | Data Availability During Period (%) |
|---|---|---|---|---|---|
| M | Villa Mañihuales | 45°10′24″ | 72°08′52″ | 150 | 88.79 |
| M | Estancia Baño Nuevo | 45°16′01″ | 71°31′45″ | 700 | 93.70 |
| M | Ñirehuao | 45°16′14″ | 71°42′33″ | 535 | 74.98 |
| M | Villa Ortega | 45°22′19″ | 71°58′56″ | 550 | 46.46 |
| M | Puerto Aysén | 45°24′02″ | 72°42′00″ | 10 | 71.90 |
| M | El Balseo | 45°24′13″ | 72°29′16″ | 25 | 96.49 |
| M | Rio Aysén en Puerto Aysén | 45°24′21″ | 72°37′23″ | 32 | 86.39 |
| M | Coyhaique Alto | 45°28′49″ | 71°36′16″ | 730 | 77.28 |
| M | Coyhaique CONAF | 45°33′04″ | 72°03′32″ | 340 | 84.38 |
| M | Coyhaique (Escuela Agricola) | 45°34′26″ | 72°01′43″ | 343 | 83.40 |
| M | Puerto Aysén Ad. | 45°23′58″ | 72°40′38″ | 10 | 75.70 |
| M | Teniente Vidal, Coyhaique Ad. | 45°35′38″ | 72°06′31″ | 310 | 100.00 |
| M | Balmaceda Ad. | 45°54′46″ | 71°41′39″ | 517 | 100.00 |
| F | Rio Aysén en Puerto Aysén | 45°24′21″ | 72°37′23″ | 32 | 93.64 |
| Original Product | Reclassified Product | ||
|---|---|---|---|
| Value | Description | Value | Description |
| 0 | Missing data | 50 | Clouds |
| 1 | Undetermined | 50 | Clouds |
| 11 | Night | 50 | Clouds |
| 25 | Land | 25 | No snow |
| 37 | Continental water body | 25 | No snow |
| 39 | Ocean | 25 | No snow |
| 50 | Cloud | 50 | Clouds |
| 100 | Ice lake | 200 | Snow |
| 200 | Snow | 200 | Snow |
| 254 | Saturated sensor | 50 | Clouds |
| 255 | Full | 50 | Clouds |
© 2018 by the authors. Licensee MDPI, Basel, Switzerland. This article is an open access article distributed under the terms and conditions of the Creative Commons Attribution (CC BY) license (http://creativecommons.org/licenses/by/4.0/).
Share and Cite
Pérez, T.; Mattar, C.; Fuster, R. Decrease in Snow Cover over the Aysén River Catchment in Patagonia, Chile. Water 2018, 10, 619. https://doi.org/10.3390/w10050619
Pérez T, Mattar C, Fuster R. Decrease in Snow Cover over the Aysén River Catchment in Patagonia, Chile. Water. 2018; 10(5):619. https://doi.org/10.3390/w10050619
Chicago/Turabian StylePérez, Tomás, Cristian Mattar, and Rodrigo Fuster. 2018. "Decrease in Snow Cover over the Aysén River Catchment in Patagonia, Chile" Water 10, no. 5: 619. https://doi.org/10.3390/w10050619
APA StylePérez, T., Mattar, C., & Fuster, R. (2018). Decrease in Snow Cover over the Aysén River Catchment in Patagonia, Chile. Water, 10(5), 619. https://doi.org/10.3390/w10050619

