Effects of Mulched Drip Irrigation on Soil Moisture and Groundwater Recharge in the Xiliao River Plain, China
Abstract
1. Introduction
2. Materials and Methods
2.1. Experimental Site
2.2. Design and Measurement
2.3. Establishment of Soil Water Flow Model
2.4. Data Analysis
3. Results
3.1. Variations in Measured Soil Water Content
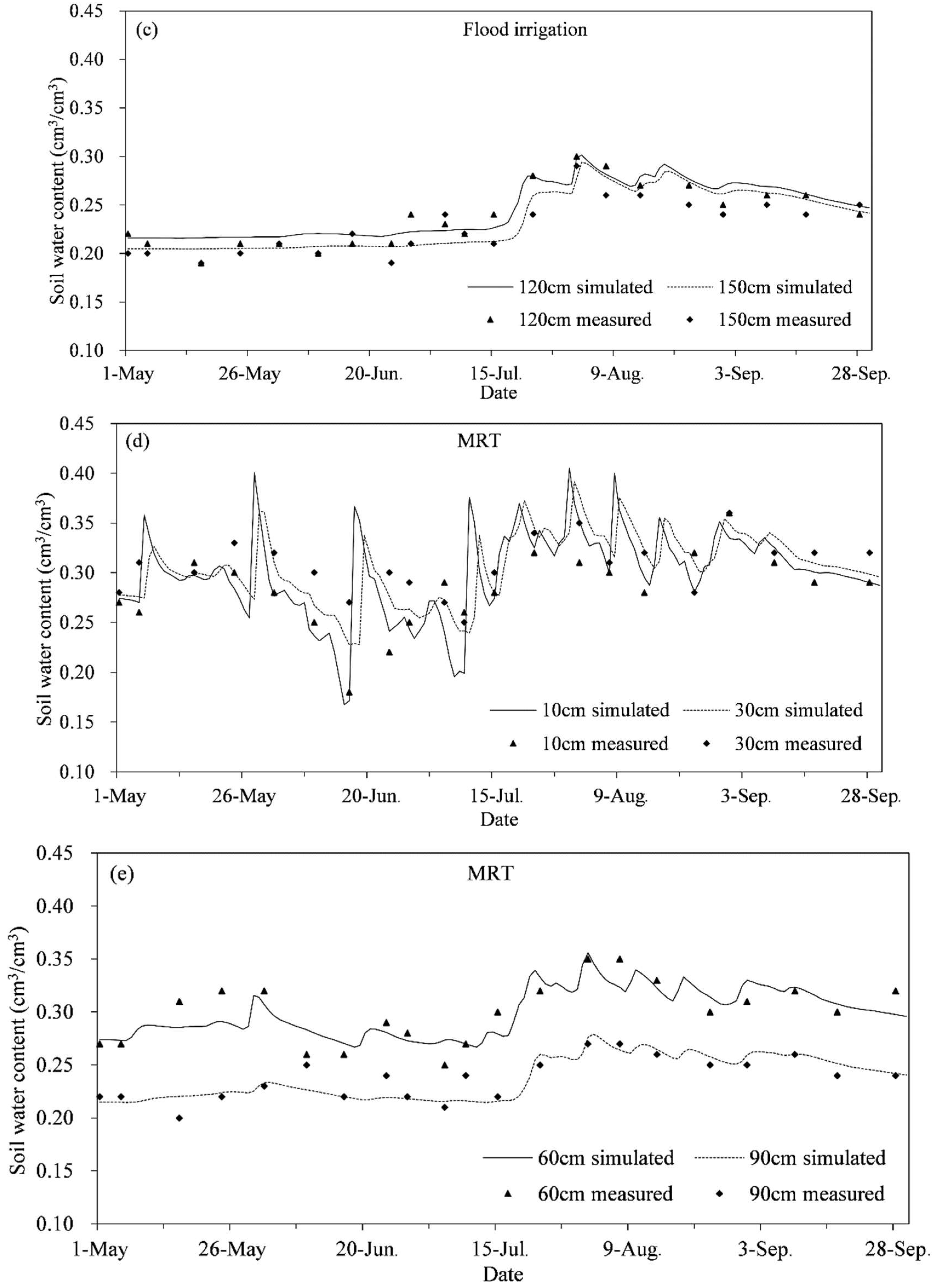
3.2. Model Calibration and Validation
3.3. Water Balance under Different Irrigation Methods
3.4. Soil Water Movement Simulation during the Growing Season
3.4.1. Variations in Water Fluxes
3.4.2. Variations in Infiltration Depth
Stage with no Significant Difference
Stage with Significant Difference
4. Discussion
4.1. Effects of Mulched Drip Irrigation
4.2. Implication for the Change in Irrigation Method
5. Conclusions
Author Contributions
Funding
Acknowledgments
Conflicts of Interest
References
- Han, M.; Zhao, C.Y.; Feng, G.; Yan, Y.Y.; Sheng, Y. Evaluating the effects of mulch and irrigation amount on soil water distribution and root zone water balance using Hydrus-2D. Water 2015, 7, 2622–2640. [Google Scholar] [CrossRef]
- Wang, Z.M.; Jin, M.G.; Šimůnek, J.; Genuchten, M.T.V. Evaluation of mulched drip irrigation for cotton in arid northwest China. Irrig. Sci. 2014, 32, 15–27. [Google Scholar] [CrossRef]
- Zhang, Y.Q.; Wang, J.D.; Gong, S.H.; Xu, D.; Sui, J.; Wu, Z.D.; Mo, Y. Effects of film mulching on evapotranspiration, yield and water use efficiency of a maize field with drip irrigation in northeastern China. Agric. Water Manag. 2018, 205, 90–99. [Google Scholar] [CrossRef]
- Qin, S.J.; Li, S.E.; Kang, S.Z.; Du, T.S.; Tong, L.; Ding, R.S. Can the drip irrigation under film mulch reduce crop evapotranspiration and save water under the sufficient irrigation condition? Agric. Water Manag. 2016, 177, 128–137. [Google Scholar] [CrossRef]
- Zhang, G.Q.; Liu, C.W.; Xiao, C.H.; Xie, R.Z.; Ming, B.; Hou, P.; Liu, G.Z.; Xu, W.J.; Shen, D.P.; Wang, K.R.; et al. Optimizing water use efficiency and economic return of super high yield spring maize under drip irrigation and plastic mulching in arid areas of China. Field Crops Res. 2017, 211, 137–146. [Google Scholar] [CrossRef]
- Chakraboyty, D.; Nagarajan, S.; Aggarwal, P.; Gupta, V.K.; Tomar, R.K.; Garg, R.N.; Sahoo, R.N.; Sarkar, A.; Chopra, U.K.; Sarma, K.S.S.; et al. Effect of mulching on soil and plant water status: and the growth and yield of wheat (Triticum aestivum L.) in a semi-arid environment. Agric. Water Manag. 2008, 95, 1323–1334. [Google Scholar] [CrossRef]
- Zhou, L.M.; Li, F.M.; Jin, S.L.; Song, Y.J. How two ridges and the furrow mulched with plastic film affect soil water: Soil temperature and yield of maize on the semiarid Loess Plateau of China. Field Crops Res. 2009, 113, 41–47. [Google Scholar] [CrossRef]
- Han, D.M.; Zhou, T.T. Soil water movement in the unsaturated zone of an inland arid region: Mulched drip irrigation experiment. J. Hydrol. 2018, 559, 13–29. [Google Scholar] [CrossRef]
- Selim, T.; Bouksila, F.; Berndtsson, R.; Persson, M. Soil water and salinity distribution under different treatments of drip irrigation. Soil Sci. Soc. Am. J. 2013, 77, 1144–1156. [Google Scholar] [CrossRef]
- Qi, Z.J.; Feng, H.; Zhao, Y.; Zhang, T.B.; Yang, A.Z.; Zhang, Z.X. Spatial distribution and simulation of soil moisture and salinity under mulched drip irrigation combined with tillage in an arid saline irrigation district, Northwest China. Agric. Water Manag. 2018, 201, 219–231. [Google Scholar] [CrossRef]
- Cetin, M.; Kirda, C. Spatial and temporal changes of soil salinity in a cotton field irrigated with low-quality water. J. Hydrol. 2003, 272, 238–249. [Google Scholar] [CrossRef]
- Ngouajio, M.; Wang, G.; Goldy, R. Withholding of drip irrigation between transplanting and flowering increases the yield of field-grown tomato under plastic mulch. Agric. Water Manag. 2007, 87, 285–291. [Google Scholar] [CrossRef]
- Wang, F.X.; Wu, X.X.; Shock, C.C.; Chu, L.Y.; Gu, X.X.; Xue, X. Effects of drip irrigation regimes on potato tuber yield and quality under plastic mulch in arid northwestern China. Field Crop Res. 2011, 122, 78–84. [Google Scholar] [CrossRef]
- Wei, Q.; Hu, C.S.; Oenema, O. Soil mulching significantly enhances yields and water and nitrogen use efficiencies of maize and wheat: A meta-analysis. Sci. Rep. 2015, 5, 16–21. [Google Scholar] [CrossRef]
- Reyes-Cabrera, J.; Zotarelli, L.; Dukes, M.D.; Rowland, D.L.; Sargent, S.A. Soil moisture distribution under drip irrigation and seepage for potato production. Agric. Water Manag. 2016, 169, 183–192. [Google Scholar] [CrossRef]
- Luo, S.S.; Zhu, L.; Liu, J.L.; Bu, L.D.; Yue, S.C.; Shen, Y.F.; Li, S.Q. Sensitivity of soil organic carbon stocks and fractions to soil surface mulching in semiarid armland. Eur. J. Soil Biol. 2015, 67, 35–42. [Google Scholar] [CrossRef]
- Whalley, W.R. Considerations on the use of time-domain reflectometry (TDR) for measuring soil water content. Eur. J. Soil Sci. 2010, 44, 1–9. [Google Scholar] [CrossRef]
- Evett, S.R.; Parkin, G.W. Advances in soil water content sensing: The continuing maturation of technology and theory. Vadose Zone J. 2005, 4, 986–991. [Google Scholar] [CrossRef]
- Wang, P.; Song, X.F.; Han, D.M.; Zhang, Y.H.; Liu, X. A study of root water uptake of crops indicated by hydrogen and oxygen stable isotopes: A case in Shanxi Province, China. Agric. Water Manag. 2010, 97, 475–482. [Google Scholar] [CrossRef]
- Richards, L. Capillary conduction of liquid in porous media. Physics 1931, 1, 318–333. [Google Scholar] [CrossRef]
- Feddes, R.A.; Kowalik, P.J.; Zaradny, H. Simulation of Field Water Use and Crop Yield; John Wiley & Sons: New York, NY, USA, 1978. [Google Scholar]
- Vrugt, J.A.; Hopmans, J.W.; Šimunek, J. Calibration of a two-dimensional root water uptake model. Fluid Phase Equilib. 2001, 65, 1027–1037. [Google Scholar] [CrossRef]
- Allen, R.G.; Pereira, L.S.; Smith, M.; Raes, D.; Wright, J.L. Fao-56 dual crop coefficient method for estimating evaporation from soil and application extensions. J. Irrig. Drain. Eng. 2005, 131, 2–13. [Google Scholar] [CrossRef]
- Van Genuchten, M.T. A closed-form equation for predicting the hydraulic conductivity of unsaturated soils. Soil Sci. Soc. Am. J. 1980, 44, 892–898. [Google Scholar] [CrossRef]
- Mualem, Y. A new model for predicting the hydraulic conductivity of unsaturated porous media. Water Resour. Res. 1976, 12, 513–522. [Google Scholar] [CrossRef]
- Feng, Y.; Gong, D.Z.; Mei, X.R.; Hao, W.P.; Tang, D.H.; Cui, N.B. Energy balance and partitioning in partial plastic mulched and non-mulched maize fields on the Loess Plateau of China. Agric. Water Manag. 2017, 191, 193–206. [Google Scholar] [CrossRef]
- Li, X.Y.; Shi, H.B.; Šimůnek, J.; Gong, X.W.; Peng, Z.Y. Modeling soil water dynamics in a drip-irrigated intercropping field under plastic mulch. Irrig. Sci. 2015, 33, 289–302. [Google Scholar] [CrossRef]
- Liu, Y.; Li, Y.F.; Li, J.S.; Yan, H.J. Effects of mulched drip irrigation on water and heat conditions in field and maize yield in sub-humid region of northeast China. Trans. Chin. Soc. Agric. Mach. 2015, 46, 93–104. (In Chinese) [Google Scholar] [CrossRef]
- Zhao, H.; Xiong, Y.C.; Li, F.M.; Wang, R.Y.; Qiang, S.C.; Yao, T.F.; Mo, F. Plastic film mulch for half growing-season maximized wue and yield of potato via moisture-temperature improvement in a semi-arid agroecosystem. Agric. Water Manag. 2012, 104, 68–78. [Google Scholar] [CrossRef]
- Hu, Q.L.; Yang, Y.H.; Han, S.M.; Yang, Y.M.; Ai, Z.P.; Wang, J.S.; Ma, F.Y. Identifying changes in irrigation return flow with gradually intensified water-saving technology using hydrus for regional water resources management. Agric. Water Manag. 2017, 194, 33–47. [Google Scholar] [CrossRef]
- Zhang, Z.; Hu, H.; Tian, F.; Yao, X.; Sivapalan, M. Groundwater dynamics under water saving irrigation and implications for sustainable water management in an oasis: Tarim river basin of western China. Hydrol. Earth Syst. Sci. 2014, 18, 3951–3967. [Google Scholar] [CrossRef]
- Ming, G.H.; Tian, F.Q.; Hu, H.C. Effect of water table depth on soil water and salt dynamics and soil salt accumulation characteristics under mulched drip irrigation. Trans. Chin. Soc. Agric. Eng. 2018, 34, 90–97, (In Chinese with English Abstract). [Google Scholar] [CrossRef]
- Yang, H.S.; Liu, J.; Liang, H.Y. Change characteristics of climate and water resources in West Liaohe River Plain. Chin. J. Appl. Ecol. 2009, 20, 84–90, (In Chinese with English Abstract). [Google Scholar] [CrossRef]
- Ren, D.Y.; Xu, X.; Engel, B.; Huang, G.H. Growth responses of crops and natural vegetation to irrigation and water table changes in an agro-ecosystem of Hetao, upper yellow river basin: Scenario analysis on maize, sunflower, watermelon and tamarisk. Agric. Water Manag. 2018, 199, 93–104. [Google Scholar] [CrossRef]









| Depth (cm) | Particles Size Distribution (%) | Soil | ||
|---|---|---|---|---|
| Sand | Silt | Clay | ||
| 0–40 | 53.1 | 36.4 | 10.5 | Loam |
| 40–80 | 60.9 | 32.5 | 6.6 | Sandy loam |
| 80–150 | 73.4 | 20.9 | 5.7 | Sandy loam |
| 150–200 | 67.6 | 25.3 | 7.1 | Sandy loam |
| >200 | 85.5 | 8.9 | 5.6 | Loamy sand |
| Irrigation Method | Mulched Drip Irrigation | Flood Irrigation | ||
|---|---|---|---|---|
| Schedule and Amount | Date | Amount (mm) | Date | Amount (mm) |
| 2016/5/6 | 19 | 2016/5/6 | 31 | |
| 2016/5/28 | 43 | 2016/5/28 | 72 | |
| 2016/6/17 | 43 | 2016/6/17 | 72 | |
| 2016/7/10 | 43 | 2016/7/10 | 72 | |
| 2016/7/30 | 40 | 2016/7/30 | 67 | |
| 2016/8/8 | 40 | 2016/8/8 | 67 | |
| Depth (cm) | θr (cm3·cm−3) | θs (cm3·cm−3) | α (cm−1) | n | Ks (cm·day−1) | l |
|---|---|---|---|---|---|---|
| 0–40 | 0.051 | 0.410 | 0.009 | 1.35 | 14.8 | 0.5 |
| 40–80 | 0.049 | 0.387 | 0.011 | 1.28 | 15.9 | 0.5 |
| 80–150 | 0.045 | 0.331 | 0.015 | 1.31 | 25.7 | 0.5 |
| 150–200 | 0.044 | 0.333 | 0.02 | 1.31 | 23.4 | 0.5 |
| >200 | 0.041 | 0.342 | 0.017 | 1.36 | 27.3 | 0.5 |
| Soil Depth (cm) | Flood Irrigation | Mulched Drip Irrigation | |||||||
|---|---|---|---|---|---|---|---|---|---|
| MRT | MBF | ||||||||
| 10 | 0.022 | 0.089 | 0.58 | 0.017 | 0.085 | 0.59 | 0.019 | 0.074 | 0.65 |
| 30 | 0.015 | 0.056 | 0.83 | 0.018 | 0.071 | 0.35 | 0.012 | 0.050 | 0.76 |
| 60 | 0.014 | 0.058 | 0.71 | 0.014 | 0.054 | 0.67 | 0.013 | 0.052 | 0.60 |
| 90 | 0.010 | 0.052 | 0.81 | 0.008 | 0.047 | 0.67 | 0.009 | 0.050 | 0.65 |
| 120 | 0.009 | 0.048 | 0.86 | 0.010 | 0.052 | 0.66 | 0.011 | 0.057 | 0.50 |
| 150 | 0.012 | 0.062 | 0.72 | 0.008 | 0.046 | 0.75 | 0.009 | 0.047 | 0.76 |
| Water Balance Component (mm) | Flood Irrigation | Mulched Drip Irrigation |
|---|---|---|
| Root water uptake | 359.8 | 365.9 |
| Evaporation | 130.6 | 60.2 |
| Drainage | 55.8 | 20.4 |
| Storage Change | 128.1 | 75.3 |
| Irrigation | 381 | 228 |
| Rainfall | 297.7 | 297.7 |
© 2018 by the authors. Licensee MDPI, Basel, Switzerland. This article is an open access article distributed under the terms and conditions of the Creative Commons Attribution (CC BY) license (http://creativecommons.org/licenses/by/4.0/).
Share and Cite
Jin, X.; Chen, M.; Fan, Y.; Yan, L.; Wang, F. Effects of Mulched Drip Irrigation on Soil Moisture and Groundwater Recharge in the Xiliao River Plain, China. Water 2018, 10, 1755. https://doi.org/10.3390/w10121755
Jin X, Chen M, Fan Y, Yan L, Wang F. Effects of Mulched Drip Irrigation on Soil Moisture and Groundwater Recharge in the Xiliao River Plain, China. Water. 2018; 10(12):1755. https://doi.org/10.3390/w10121755
Chicago/Turabian StyleJin, Xiaohui, Minjian Chen, Yumiao Fan, Long Yan, and Fang Wang. 2018. "Effects of Mulched Drip Irrigation on Soil Moisture and Groundwater Recharge in the Xiliao River Plain, China" Water 10, no. 12: 1755. https://doi.org/10.3390/w10121755
APA StyleJin, X., Chen, M., Fan, Y., Yan, L., & Wang, F. (2018). Effects of Mulched Drip Irrigation on Soil Moisture and Groundwater Recharge in the Xiliao River Plain, China. Water, 10(12), 1755. https://doi.org/10.3390/w10121755
