A Simple Method for Estimating Field Crop Evapotranspiration from Pot Experiments
Abstract
1. Introduction
2. Materials and Methods
2.1. Experimental Site
2.2. Experimental Design
2.2.1. Pot Experiments
2.2.2. Lysimeter Experiments
2.2.3. Measurements
2.3. Methods for Correcting ET in the Pot Experiments
2.3.1. Density Corrections
2.3.2. Area Corrections
2.3.3. Biomass Correction
2.3.4. Requirements and Procedures for Upscaling ET from Pot Experiments
- Requirements: At least three pots must be used. First, a normal pot with crops and without cover must serve as a basis for ET correction. Second, a pot with a cover must be used to obtain the ratio coefficient between transpiration and aboveground dry biomass of a specific crop. Finally, a pot with bare soil must be used to determine soil evaporation levels under corresponding soil moisture conditions. For closely planted crops, the last pot can be removed for the negligible portion of evaporation in ET during growing seasons.
- Measurements: Changes in pot weight must be measured using at least a 0.1 mm resolution, because daily cropland ET is normally several or tens of mm. The frequency of weighing is dependent on the time scale used to measure the targeted field. Crop densities and the harvested aboveground biomass amount in pots and the targeted field must be measured. The representative area of one plant can be obtained from the inverse of the crop density.
- Procedures: First, calculate the original ET in the pots. Second, correct the ET in the normal pot and the aboveground dry biomass amounts in the pots with covers using Equation (1) based on the crop density of the targeted field. Third, correct the density-corrected ET using Equation (2) according to the representative area per plant in the targeted field. Finally, correct the area-corrected ET using Equation (3) based on the actual amounts of the harvested aboveground dry biomass in the targeted field.
2.4. Statistical Analysis
3. Results and Discussion
3.1. Soil Water Control in Pots and Lysimeters
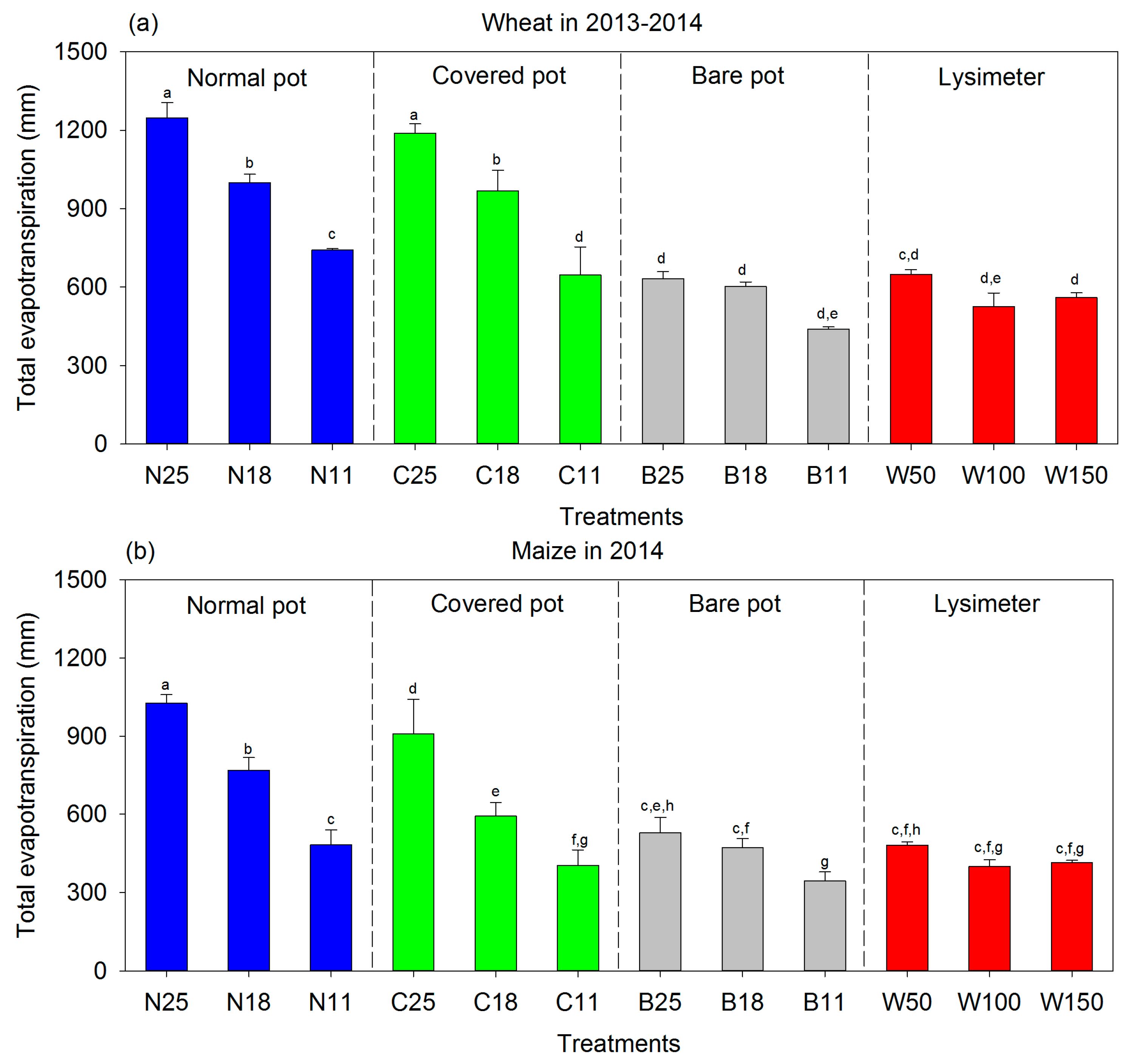
3.2. Crop Growth and Uncorrected Evapotranspiration
3.3. Relationship between Aboveground Biomass and Transpiration
3.4. Corrected Evapotranspiration from the Pot Experiments
4. Conclusions
Author Contributions
Funding
Conflicts of Interest
References
- Yee, M.S.; Pauwels, V.R.N.; Daly, E.; Beringer, J.; Rudiger, C.; McCabe, M.F.; Walker, J.P. A comparison of optical and microwave scintillometers with eddy covariance derived surface heat fluxes. Agric. For. Meteorol. 2015, 213, 226–239. [Google Scholar] [CrossRef]
- Steinwand, A.L.; Harrington, R.F.; Or, D. Water balance for Great Basin phreatophytes derived from eddy covariance, soil water, and water table measurements. J. Hydrol. 2006, 329, 595–605. [Google Scholar] [CrossRef]
- Evett, S.R.; Schwartz, R.C.; Howell, T.A.; Baumhardt, R.L.; Copeland, K.S. Can weighing lysimeter ET represent surrounding field ET well enough to test flux station measurements of daily and sub-daily ET? Adv. Water Resour. 2012, 50, 79–90. [Google Scholar] [CrossRef]
- Gebler, S.; Hendricks Franssen, H.J.; Pütz, T.; Post, H.; Schmidt, M.; Vereecken, H. Actual evapotranspiration and precipitation measured by lysimeters: A comparison with eddy covariance and tipping bucket. Hydrol. Earth Syst. Sci. Discuss. 2014, 11, 13797–13841. [Google Scholar] [CrossRef]
- Irmak, S.; Skaggs, K.E.; Chatterjee, S. A review of the bowen ratio surface energy balance method for quantifying evapotranspiration and other energy fluxes. Trans. ASABE 2014, 57, 1657–1674. [Google Scholar]
- Zeggaf, A.T.; Takeuchi, S.; Dehghanisanij, H.; Anyoji, H.; Yano, T. A Bowen ratio technique for partitioning energy fluxes between maize transpiration and soil surface evaporation. Agron. J. 2008, 100, 988–996. [Google Scholar] [CrossRef]
- Allen, R.G.; Pereira, L.S.; Raes, D.; Smith, M. Crop Evapotranspiration. Guidelines for Computing Crop Water Requirements; FAO (Food and Agriculture Organization): Rome, Italy, 1998. [Google Scholar]
- Pereira, L.S.; Allen, R.G.; Smith, M.; Raes, D. Crop evapotranspiration estimation with FAO56: Past and future. Agric. Water Manag. 2015, 147, 4–20. [Google Scholar] [CrossRef]
- Djaman, K.; Balde, A.B.; Sow, A.; Muller, B.; Irmak, S.; N’Diaye, M.K.; Manneh, B.; Moukoumbi, Y.D.; Futakuchi, K.; Saito, K. Evaluation of sixteen reference evapotranspiration methods under sahelian conditions in the Senegal River Valley. J. Hydrol. Reg. Stud. 2015, 3, 139–159. [Google Scholar] [CrossRef]
- Monteith, J.L. Evaporation and environment. Symp. Soc. Exp. Biol. 1965, 19, 205–234. [Google Scholar]
- Shuttleworth, W.J.; Wallace, J.S. Evaporation from Sparse Crops—An Energy Combination Theory. Q. J. R. Meteorol. Soc. 1985, 111, 839–855. [Google Scholar] [CrossRef]
- Brenner, A.J.; Incoll, L.D. The effect of clumping and stomatal response on evaporation from sparsely vegetated shrublands. Agric. For. Meteorol. 1997, 84, 187–205. [Google Scholar] [CrossRef]
- Augenstein, M.; Goeppert, N.; Goldscheider, N. Characterizing soil water dynamics on steep hillslopes from long-term lysimeter data. J. Hydrol. 2015, 529, 795–804. [Google Scholar] [CrossRef]
- Putz, T.; Kiese, R.; Wollschlager, U.; Groh, J.; Rupp, H.; Zacharias, S.; Priesack, E.; Gerke, H.H.; Gasche, R.; Bens, O.; et al. TERENO-SOILCan: A lysimeter-network in Germany observing soil processes and plant diversity influenced by climate change. Environ. Earth Sci 2016, 75. [Google Scholar] [CrossRef]
- Alfieri, J.G.; Kustas, W.P.; Prueger, J.H.; Hipps, L.E.; Evett, S.R.; Basara, J.B.; Neale, C.M.U.; French, A.N.; Colaizzi, P.; Agam, N.; et al. On the discrepancy between eddy covariance and lysimetry-based surface flux measurements under strongly advective conditions. Adv. Water Resour. 2012, 50, 62–78. [Google Scholar] [CrossRef]
- Ding, R.; Kang, S.; Li, F.; Zhang, Y.; Tong, L.; Sun, Q. Evaluating eddy covariance method by large-scale weighing lysimeter in a maize field of northwest China. Agric. Water Manag. 2010, 98, 87–95. [Google Scholar] [CrossRef]
- Unlu, M.; Kanber, R.; Kapur, B. Comparison of soybean evapotranspirations measured by weighing lysimeter and Bowen ratio-energy balance methods. Afr. J. Biotechnol. 2010, 9, 4700–4713. [Google Scholar]
- Zhang, Z.; Tian, F.; Hu, H.; Yang, P. A comparison of methods for determining field evapotranspiration: Photosynthesis system, sap flow, and eddy covariance. Hydrol. Earth Syst. Sci. 2014, 18, 1053–1072. [Google Scholar] [CrossRef]
- Allen, R.G.; Pereira, L.S.; Howell, T.A.; Jensen, M.E. Evapotranspiration information reporting: I. Factors governing measurement accuracy. Agric. Water Manag. 2011, 98, 899–920. [Google Scholar] [CrossRef]
- Esmaeilzade-Moridani, M.; Kamkar, B.; Galeshi, S.; Ghaderifar, F.; Da Silva, J.A.T. Leaf Expansion and Transpiration Responses of Millet Species to Soil Water Deficit. Pedosphere 2015, 25, 834–843. [Google Scholar] [CrossRef]
- Halperin, O.; Gebremedhin, A.; Wallach, R.; Moshelion, M. High-throughput physiological phenotyping and screening system for the characterization of plant–environment interactions. Plant J. 2016. [Google Scholar] [CrossRef]
- Liu, C.M.; Zhang, X.Y.; Zhang, Y.Q. Determination of daily evaporation and evapotranspiration of winter wheat and maize by large-scale weighing lysimeter and micro-lysimeter. Agric. For. Meteorol. 2002, 111, 109–120. [Google Scholar] [CrossRef]
- Ruiz-Penalver, L.; Vera-Repullo, J.A.; Jimenez-Buendia, M.; Guzman, I.; Molina-Martinez, J.M. Development of an innovative low cost weighing lysimeter for potted plants: Application in lysimetric stations. Agric. Water Manag. 2015, 151, 103–113. [Google Scholar] [CrossRef]
- Wu, Y.Z.; Huang, M.B.; Warrington, D.N. Growth and transpiration of maize and winter wheat in response to water deficits in pots and plots. Environ. Exp. Bot. 2011, 71, 65–71. [Google Scholar] [CrossRef]
- Wu, Y.-Z.; Huang, M.-B.; Warrington, D.N. Responses of Different Physiological Indices for Maize (Zea mays) to Soil Water Availability. Pedosphere 2011, 21, 639–649. [Google Scholar] [CrossRef]
- Ray, J.D.; Sinclair, T.R. The effect of pot size on growth and transpiration of maize and soybean during water deficit stress. J. Exp. Bot. 1998, 49, 1381–1386. [Google Scholar] [CrossRef]
- Wang, S.P.; Okamoto, G.; Hirano, K.; Lu, J.; Zhang, C.X. Effects of restricted rooting volume on vine growth and berry development of Kyoho grapevines. Am. J. Enol. Viticult. 2001, 52, 248–253. [Google Scholar]
- Ronchi, C.P.; DaMatta, F.M.; Batista, K.D.; Moraes, G.A.B.K.; Loureiro, M.E.; Ducatti, C. Growth and photosynthetic down-regulation in Coffea arabica in response to restricted root volume. Funct. Plant Biol. 2006, 33, 1013–1023. [Google Scholar] [CrossRef]
- Shi, K.; Hu, W.H.; Dong, D.K.; Zhou, Y.H.; Yu, J.Q. Low O2 supply is involved in the poor growth in root-restricted plants of tomato (Lycopersicon esculentum Mill.). Environ. Exp. Bot. 2007, 61, 181–189. [Google Scholar] [CrossRef]
- Townend, J.; Dickinson, A.L. A Comparison of Rooting Environments in Containers of Different Sizes. Plant Soil 1995, 175, 139–146. [Google Scholar] [CrossRef]
- Ben-Gal, A.; Karlberg, L.; Jansson, P.E.; Shani, U. Temporal robustness of linear relationships between production and transpiration. Plant Soil 2003, 251, 211–218. [Google Scholar] [CrossRef]
- Steduto, P.; Hsiao, T.C.; Fereres, E. On the conservative behavior of biomass water productivity. Irrig. Sci. 2007, 25, 189–207. [Google Scholar] [CrossRef]
- Kool, D.; Agam, N.; Lazarovitch, N.; Heitman, J.L.; Sauer, T.J.; Ben-Gal, A. A review of approaches for evapotranspiration partitioning. Agric. For. Meteorol. 2014, 184, 56–70. [Google Scholar] [CrossRef]
- Zhou, S.; Yu, B.F.; Zhang, Y.; Huang, Y.F.; Wang, G.Q. Partitioning evapotranspiration based on the concept of underlying water use efficiency. Water Resour Res 2016, 52, 1160–1175. [Google Scholar] [CrossRef]
- Huang, P.; Zhang, J.B.; Zhu, A.N.; Xin, X.L.; Zhang, C.Z.; Ma, D.H.; Yang, S.; Mirza, Z.; Wu, S.J. Coupled water and nitrogen (N) management as a key strategy for the mitigation of gaseous N losses in the Huang-Huai-Hai Plain. Biol. Fert. Soils 2015, 51, 333–342. [Google Scholar] [CrossRef]
- Li, X.P.; Zhang, J.B.; Liu, J.T.; Liu, J.L.; Zhu, A.N.; Lv, F.; Zhang, C.Z. A modified checkbook irrigation method based on GIS-coupled model for regional irrigation scheduling. Irrig. Sci. 2011, 29, 115–126. [Google Scholar] [CrossRef]
- Huang, P.; Zhang, J.B.; Ma, D.H.; Wen, Z.F.; Wu, S.J.; Garland, G.; Pereira, E.I.P.; Zhu, A.N.; Xin, X.L.; Zhang, C.Z. Atmospheric deposition as an important nitrogen load to a typical agro-ecosystem in the Huang-Huai-Hai Plain. 2. Seasonal and inter-annual variations and their implications (2008–2012). Atmos Environ 2016, 129, 1–8. [Google Scholar] [CrossRef]
- Allen, R.G.; Fisher, D.K. Low-Cost Electronic Weighing Lysimeters. Trans. ASAE 1990, 33, 1823–1833. [Google Scholar] [CrossRef]
- Allen, R.G.; Pruitt, W.O.; Jensen, M.E.; Burman, R.D. Environmental requirements of lysimeters. In Lysimeters for Evapotranspiration and Environmental Measurements; Allen, R.G., Howell, T.A., Pruitt, W.O., Walter, I.A., Jensen, M.E., Eds.; ASCE: New York, NY, USA, 1991; pp. 170–181. [Google Scholar]
- Allen, R.G.; Pereira, L.S.; Smith, M.; Raes, D.; Wright, J.L. FAO-56 dual crop coefficient method for estimating evaporation from soil and application extensions. J. Irrig. Drain. Eng. 2005, 131, 2–13. [Google Scholar] [CrossRef]
- Rosa, R.D.; Paredes, P.; Rodrigues, G.C.; Alves, I.; Fernando, R.M.; Pereira, L.S.; Allen, R.G. Implementing the dual crop coefficient approach in interactive software. 1. Background and computational strategy. Agric. Water Manag. 2012, 103, 8–24. [Google Scholar] [CrossRef]
- Zhang, B.; Liu, Y.; Xu, D.; Zhao, N.; Lei, B.; Rosa, R.D.; Paredes, P.; Paco, T.A.; Pereira, L.S. The dual crop coefficient approach to estimate and partitioning evapotranspiration of the winter wheat-summer maize crop sequence in North China Plain. Irrig. Sci. 2013, 31, 1303–1316. [Google Scholar] [CrossRef]
- Zhao, N.; Liu, Y.; Cai, J.; Paredes, P.; Rosa, R.D.; Pereira, L.S. Dual crop coefficient modelling applied to the winter wheat-summer maize crop sequence in North China Plain: Basal crop coefficients and soil evaporation component. Agric. Water Manag. 2013, 117, 93–105. [Google Scholar] [CrossRef]
- Li, S.; Kang, S.Z.; Zhang, L.; Li, F.S.; Zhu, Z.L.; Zhang, B.Z. A comparison of three methods for determining vineyard evapotranspiration in the and desert regions of northwest China. Hydrol. Process. 2008, 22, 4554–4564. [Google Scholar] [CrossRef]
- Kang, S.Z.; Gu, B.J.; Du, T.S.; Zhang, J.H. Crop coefficient and ratio of transpiration to evapotranspiration of winter wheat and maize in a semi-humid region. Agric. Water Manag. 2003, 59, 239–254. [Google Scholar] [CrossRef]
- Xu, L.K.; Hsiao, T.C. Predicted versus measured photosynthetic water-use efficiency of crop stands under dynamically changing field environments. J. Exp. Bot. 2004, 55, 2395–2411. [Google Scholar] [CrossRef]
- Dignat, G.; Welcker, C.; Sawkins, M.; Ribaut, J.M.; Tardieu, F. The growths of leaves, shoots, roots and reproductive organs partly share their genetic control in maize plants. Plant Cell Environ. 2013, 36, 1105–1119. [Google Scholar] [CrossRef]
- Ericsson, T. Growth and shoot—Root ratio of seedlings in relation to nutrient availability. Plant Soil 1995, 168, 205–214. [Google Scholar] [CrossRef]
- Feller, C.; Favre, P.; Janka, A.; Zeeman, S.C.; Gabriel, J.P.; Reinhardt, D. Mathematical Modeling of the Dynamics of Shoot-Root Interactions and Resource Partitioning in Plant Growth. PLoS ONE 2015, 10. [Google Scholar] [CrossRef]
- Guswa, A.J. Effect of plant uptake strategy on the water-optimal root depth. Water Resour. Res. 2010, 46. [Google Scholar] [CrossRef]
- Rudd, K.; Albertson, J.D.; Ferrari, S. Optimal root profiles in water-limited ecosystems. Adv. Water Resour. 2014, 71, 16–22. [Google Scholar] [CrossRef]
- Schymanski, S.J.; Sivapalan, M.; Roderick, M.L.; Beringer, J.; Hutley, L.B. An optimality-based model of the coupled soil moisture and root dynamics. Hydrol. Earth Syst. Sci. 2008, 12, 913–932. [Google Scholar] [CrossRef]
- Kasperbauer, M.J.; Hunt, P.G. Root size and shoot root ratio as influenced by light environment of the shoot. J. Plant Nutr. 1992, 15, 685–697. [Google Scholar] [CrossRef]
- Francisco, J.V.; Victor, O.S.; Elias, F. Chapter 12 Plant Density and Competition. In Principles of Agronomy for Sustainable Agriculture; Francisco, J.V., Elias, F., Eds.; Springer International Publishing: Cham, Switzerland, 2016; pp. 159–167. [Google Scholar]











| Soil Depth (cm) | BK | pH | OM | TP * | TK * | TN * | Sand | Silt | Clay | θs | θf | θwp |
|---|---|---|---|---|---|---|---|---|---|---|---|---|
| (g cm−3) | (g kg−1) | (%) | (%) | |||||||||
| 0–20 | 1.20 | 8.86 | 11.82 | 0.80 | 21.3 | 0.60 | 47.0 | 31.7 | 21.3 | 43.59 | 31.86 | 5.50 |
| 20–40 | 1.54 | 9.01 | 5.86 | 0.59 | 22.9 | 0.44 | 39.9 | 33.9 | 26.2 | 42.04 | 30.84 | 5.50 |
| 40–60 | 1.35 | 8.58 | 8.22 | 0.59 | 22.9 | 0.44 | 8.7 | 38.4 | 52.9 | 49.17 | 44.63 | 6.80 |
| 60–80 | 1.42 | 8.52 | 6.92 | 0.59 | 22.9 | 0.44 | 5.3 | 59.2 | 35.5 | 46.34 | 42.97 | 5.20 |
| 80–100 | 1.43 | 8.84 | 4.00 | 0.60 | 19.8 | 0.19 | 13.0 | 72.2 | 14.8 | 46.19 | 41.95 | 3.55 |
| 100–180 | 1.41 | 9.03 | 3.25 | 0.60 | 19.8 | 0.19 | 23.2 | 66.6 | 10.2 | 46.91 | 44.79 | 3.50 |
| Treatment | Wheat | Maize | |||||||
|---|---|---|---|---|---|---|---|---|---|
| N | N/A (m−2) | A/N (10−4 m2) | M (kg m−2) | N | N/A (m−2) | A/N (m2) | M (kg m−2) | ||
| Lysimeter | Mean | 1848 | 1232 | 8.12 | 1.46 | 12 | 8 | 0.1250 | 1.89 |
| PotPotPot | N11 | 102 | 1467 | 6.82 | 0.89 | 1 | 14 | 0.0697 | 0.71 |
| N18 | 104 | 1495 | 6.69 | 1.32 | 1 | 14 | 0.0697 | 1.66 | |
| N25 | 115 | 1649 | 6.06 | 1.55 | 1 | 14 | 0.0697 | 2.55 | |
| Time Scale | ET-Correction | Wheat (mm) | Maize (mm) | ||||
|---|---|---|---|---|---|---|---|
| N11 | N18 | N25 | N11 | N18 | N25 | ||
| 1 day | No correction | 1.43 | 3.00 | 4.56 | 2.46 | 3.72 | 6.02 |
| Density correction | 1.12 | 1.29 | 2.01 | 2.49 | 1.68 | 2.20 | |
| Area correction | 1.24 | 1.20 | 1.57 | 2.44 | 1.82 | 2.15 | |
| Biomass correction | 1.30 | 1.31 | 1.42 | 1.83 | 1.79 | 2.10 | |
| 3 days | No correction | 1.24 | 2.92 | 4.52 | 1.34 | 3.16 | 5.59 |
| Density correction | 0.89 | 1.11 | 1.90 | 2.28 | 1.31 | 1.92 | |
| Area correction | 1.04 | 1.00 | 1.43 | 2.23 | 1.51 | 1.89 | |
| Biomass correction | 1.12 | 1.14 | 1.27 | 1.48 | 1.46 | 1.84 | |
© 2018 by the authors. Licensee MDPI, Basel, Switzerland. This article is an open access article distributed under the terms and conditions of the Creative Commons Attribution (CC BY) license (http://creativecommons.org/licenses/by/4.0/).
Share and Cite
Lu, Y.; Ma, D.; Chen, X.; Zhang, J. A Simple Method for Estimating Field Crop Evapotranspiration from Pot Experiments. Water 2018, 10, 1823. https://doi.org/10.3390/w10121823
Lu Y, Ma D, Chen X, Zhang J. A Simple Method for Estimating Field Crop Evapotranspiration from Pot Experiments. Water. 2018; 10(12):1823. https://doi.org/10.3390/w10121823
Chicago/Turabian StyleLu, Yunxuan, Donghao Ma, Xiaomin Chen, and Jiabao Zhang. 2018. "A Simple Method for Estimating Field Crop Evapotranspiration from Pot Experiments" Water 10, no. 12: 1823. https://doi.org/10.3390/w10121823
APA StyleLu, Y., Ma, D., Chen, X., & Zhang, J. (2018). A Simple Method for Estimating Field Crop Evapotranspiration from Pot Experiments. Water, 10(12), 1823. https://doi.org/10.3390/w10121823
