The Spatiotemporal Variation Trends of Major Air Pollutants in Beijing from 2014 to 2023
Abstract
1. Introduction
2. Materials and Methods
2.1. Overview of Beijing
2.2. Data Sources
2.3. Measurement Method and Monitoring Points
2.4. Evaluation Analysis
3. Results
3.1. Annual Variation Trends and Analysis of Major Air Pollutant Concentrations in Beijing
3.2. The Annual Average Concentrations of Major Air Pollutants in the Five Study Regions and One Traffic Monitoring Area
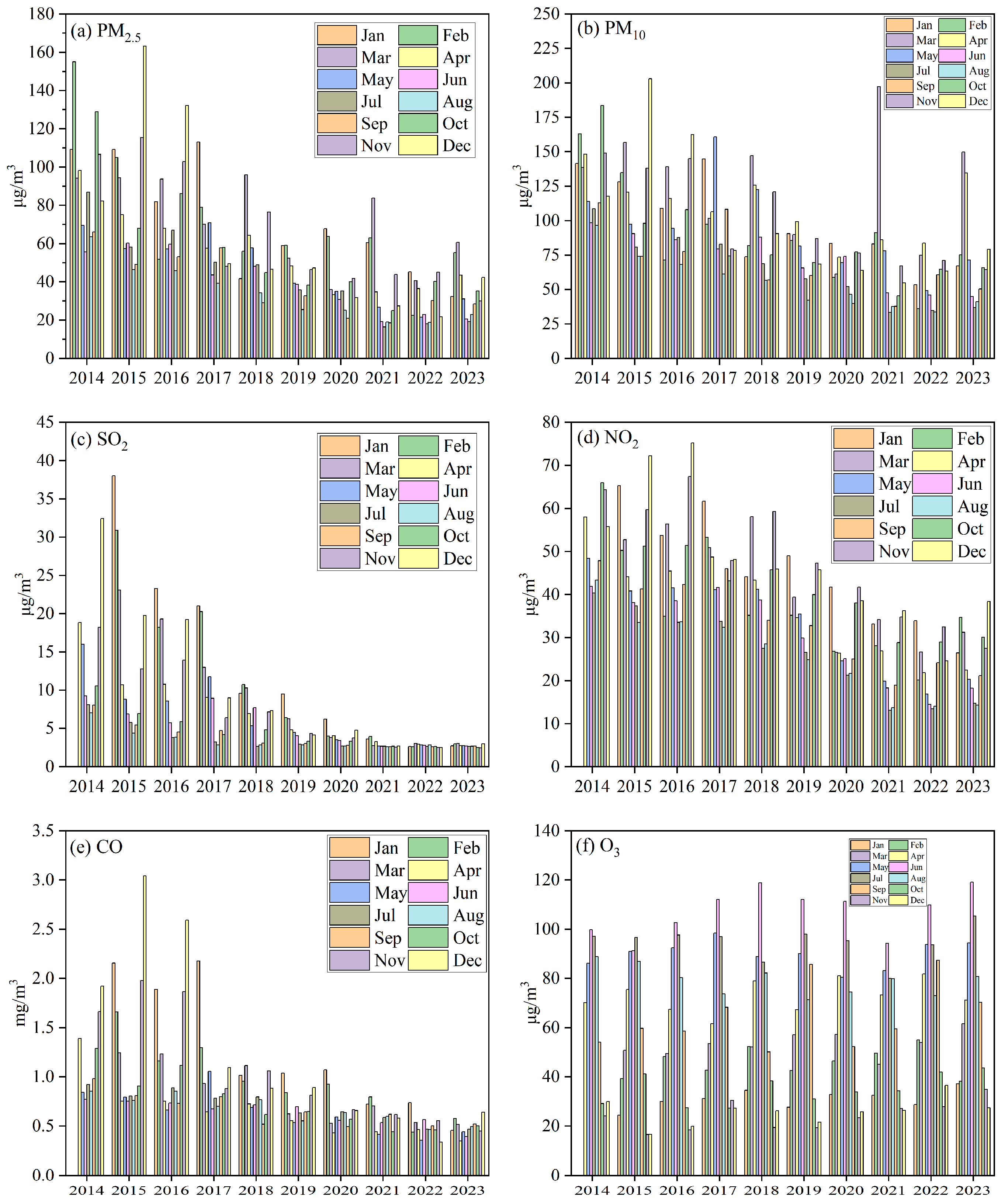
3.3. The Monthly Average Concentration Trends and Analysis of Major Air Pollutants in the Whole City
3.4. Pearson Correlation Analysis Between the Six Major Pollutants
4. Discussion
4.1. Effectiveness of Air Pollutant Control in Beijing
4.2. Influencing Factors on Changes in Pollutant Concentrations
4.3. Analysis of Interrelationships Among Pollutants
5. Conclusions
- Significant decline in primary pollutant concentrations: Concentrations of PM2.5, PM10, SO2, NO2, and CO have generally declined year by year. This reflects the effectiveness of Beijing’s pollution control strategies, including stricter emission standards, industrial transformation, and clean energy initiatives.
- Clear seasonal patterns: PM2.5, PM10, SO2, NO2, and CO exhibit a “high in winter and spring, low in summer and autumn” pattern due to heating emissions and poor dispersion conditions. O3, in contrast, peaks in summer due to strong solar radiation and high temperatures, forming a “summer-high, winter-low” trend.
- Multiple influencing factors contribute to pollutant variation: Pollution levels are influenced by a combination of topography, meteorological conditions (such as wind speed, temperature, and solar radiation), population density, and traffic emissions. For instance, the basin-like terrain of Beijing restricts pollutant dispersion, while summer weather promotes O3 formation.
- Strong correlations among primary pollutants; weak negative correlation with O3: PM2.5, PM10, SO2, NO2, and CO are strongly positively correlated, indicating similar sources or co-evolution. O3, however, shows weak negative correlations with these pollutants, highlighting its complex photochemical origin. Although typically anticorrelated with CO, under photochemical smog conditions, CO can contribute to O3 production via oxidation in the presence of NOx and sunlight.
Author Contributions
Funding
Institutional Review Board Statement
Informed Consent Statement
Data Availability Statement
Conflicts of Interest
References
- Li, S.; Feng, K.; Li, M. Identifying the main contributors of air pollution in Beijing. J. Clean. Prod. 2017, 163, S359–S365. [Google Scholar] [CrossRef]
- Zhang, W.; Zhang, J.; Wang, F.; Jiang, H.; Wang, J.; Jiang, L. Spatial Agglomeration of Industrial Air Pollutant Emission in Beijing-Tianjin-Hebei Region. Urban Stud. 2017, 24, 81–87. [Google Scholar]
- Han, X.; Guo, Q.; Lang, Y.; Li, S.; Li, Y.; Guo, Z.; Hu, J.; Wei, R.; Tian, L.; Wan, Y. Seasonal and long-term trends of sulfate, nitrate, and ammonium in PM2.5 in Beijing: Implication for air pollution control. Environ. Sci. Pollut. Res. 2020, 27, 23730–23741. [Google Scholar] [CrossRef]
- Chai, W.; Wang, S.; You, Y.; Hou, Y.; Zhang, T.; Wang, J. Analysis of a typical air pollution process in Beijing based on lidar detection. Chin. J. Quantum Electron. 2019, 36, 93–100. [Google Scholar]
- Zhou, X.; Santana Jimenez, Y.; Perez Rodriguez, J.V.; Maria Hernandez, J. Air pollution and tourism demand: A case study of Beijing, China. Int. J. Tour. Res. 2019, 21, 747–757. [Google Scholar] [CrossRef]
- Panagi, M.; Fleming, Z.L.; Monks, P.S.; Ashfold, M.J.; Wild, O.; Holaway, M.; Zhang, Q.; Squires, F.A.; Vande Hey, J. Investigating the regional contributions to air pollution in Beijing: A dispersion modelling study using CO as a tracer. Atmos. Chem. Phys. 2020, 20, 2825–2838. [Google Scholar] [CrossRef]
- Yang, H.; Lam, J.C.; Victor, O.L.; Reiner, D. A Bayesian LSTM model to evaluate the effects of air pollution control regulations in Beijing, China. Environ. Sci. Policy 2021, 115, 26–34. [Google Scholar]
- Zhang, F.; Xu, N.; Wang, L.; Tan, Q. The Effect of Air Pollution on the Healthy Growth of Cities: An Empirical Study of the Beijing-Tianjin-Hebei Region. Appl. Sci. 2020, 10, 3699. [Google Scholar] [CrossRef]
- Battista, G.; Vollaro, E.L.; Vollaro, R.L. Analysis of the Main Anthropogenic Sources’ Contribution to Pollutant Emissions in the Lazio Region, Italy. Appl. Sci. 2021, 11, 7936. [Google Scholar] [CrossRef]
- Cichowicz, R.; Dobrzanski, M. Analysis of Air Pollution around a CHP Plant: Real Measurements vs. Computer Simulations. Energies 2022, 15, 553. [Google Scholar] [CrossRef]
- Lin, J.C.; Fasoli, B.; Mitchell, L.; Bares, R.; Hopkins, F.; Thompson, T.M.; Alvarez, R.A. Towards hyperlocal source identification of pollutants in cities by combining mobile measurements with atmospheric modeling. Atmos. Environ. 2023, 311, 119995. [Google Scholar] [CrossRef]
- Luo, Y.; Xu, L.; Li, Z.; Zhou, X.; Zhang, X.; Wang, F.; Peng, J.; Cao, C.; Chen, Z.; Yu, H. Air pollution in heavy industrial cities along the northern slope of the Tianshan Mountains, Xinjiang: Characteristics, meteorological influence, and sources. Environ. Sci. Pollut. Res. 2023, 30, 55092–55111. [Google Scholar] [CrossRef] [PubMed]
- Ali-Taleshi, M.S.; Bakhtiari, A.R.; Masiol, M. The possible emission sources and atmospheric photochemical processes of air pollutants in Tehran, Iran: The role of micrometeorological factors on the air quality. Air Qual. Atmos. Health 2024, 17, 525–539. [Google Scholar] [CrossRef]
- Kumari, S.; Jain, M.K.; Elumalai, S.P. Assessment of Pollution and Health Risks of Heavy Metals in Particulate Matter and Road Dust Along the Road Network of Dhanbad, India. J. Health Pollut. 2021, 11, 210305. [Google Scholar] [CrossRef]
- Kim, J.H.; Lee, S.; Hong, Y. Modification Effect of PARP4 and ERCC1 Gene Polymorphisms on the Relationship between Particulate Matter Exposure and Fasting Glucose Level. Int. J. Environ. Res. Public Health 2022, 19, 6241. [Google Scholar] [CrossRef]
- Gou, A.; Tan, G.; Ding, X.; Wang, J.; Lv, X.; Gou, C. Urban-rural difference in the lagged effects of PM2.5 and PM10 on COPD mortality in Chongqing, China. BMC Public Health 2023, 23, 1270. [Google Scholar]
- Xie, Y.; Gou, Y.; Ge, A. Effect of Source Emission Control Measures on Source of Atmospheric PM2.5 during “Parade Blue” Period. Atmosphere 2023, 14, 1639. [Google Scholar] [CrossRef]
- Xie, Y.; Gao, Y. The health impact of PM2.5 and O3 in Beijing modified by infiltration factors from 2014 to 2022. Environ. Monit. Assess. 2024, 196, 1143. [Google Scholar] [CrossRef]
- Hossain, M.S.; Frey, H.C.; Louie, P.K.; Lau, A.K. Combined effects of increased O3 and reduced NO2 concentrations on short-term air pollution health risks in Hong Kong. Environ. Pollut. 2021, 270, 116280. [Google Scholar] [CrossRef]
- Lei, R.; Nie, D.; Zhang, S.; Yu, Y.; Ge, X.; Song, N. Spatial and temporal characteristics of air pollutants and their health effects in China during 2019–2020. J. Environ. Manag. 2022, 317, 115460. [Google Scholar] [CrossRef]
- Azimi, F.; Hafezi, F.; Ghaderpoori, M.; Kamarehie, B.; Karami, M.A.; Sorooshian, A.; Baghani, A.N. Temporal characteristics and health effects related to NO2, O3, and SO2 in an urban area of Iran. Environ. Pollut. 2024, 349, 123975. [Google Scholar] [CrossRef] [PubMed]
- Jadoon, S.; Nawazish, S.; Mahmood, Q.; Rafique, A.; Sohail, S.; Zaidi, A. Exploring Health Impacts of Occupational Exposure to Carbon Monoxide in the Labour Community of Hattar Industrial Estate. Atmosphere 2022, 13, 406. [Google Scholar] [CrossRef]
- Hampson, N.B. Carbon monoxide poisoning mortality in the United States from 2015–2021. Clin. Toxicol. 2023, 61, 483–491. [Google Scholar] [CrossRef] [PubMed]
- Li, X.; Li, Y. The impact of perceived air pollution on labour supply: Evidence from China. J. Environ. Manag. 2022, 306, 114455. [Google Scholar] [CrossRef]
- Zhao, R.; Liang, D.; Pam, Y.; Du, Q. Air Pollution and Employee Protection: The Moderating Effect of Public Attention and Environmental Regulations. Sustainability 2022, 14, 11529. [Google Scholar] [CrossRef]
- Zhang, X.; Ma, C.; Li, X.; Xiong, L.; Nie, S. Assessing the Impact of Air Pollution on Inbound Tourism along the Yangtze River across Space and Time. Int. J. Environ. Res. Public Health 2022, 19, 10944. [Google Scholar] [CrossRef]
- Niu, Y.; Chen, R.; Kan, H. Air Pollution, Disease Burden, and Health Economic Loss in China. Adv. Exp. Med. Biol. 2017, 1017, 233–242. [Google Scholar]
- Hu, Y.; Shen, Y.; Zhou, J.; Gong, J. Air pollution and urban economic growth: A study based on dynamic models. Glob. Nest J. 2024, 26, 06549. [Google Scholar]
- Lu, S.; Jiang, Y.; Zhao, Y.; Li, S.; Chen, B. Variation Characteristics of Air Pollutants in Urban Area of Beijing before, during and after 2014 Meeting of APEC. Environ. Sci. Technol. 2017, 40, 40–47. [Google Scholar]
- Chen, J.; Peng, J.; Xu, Y. Spatiotemporal Distribution and Health Impacts of PM2.5 and O3 in Beijing, from 2014 to 2020. Chin. J. Environ. Sci. 2021, 42, 4071–4082. [Google Scholar]
- Liu, B.; Li, Q.; Sun, R.; Dong, R.; Wang, S.; Hao, J. Pollution Characteristics and Factors Influencing the Reduction in Ambient PM2.5 in Beijing from 2018 to 2020. Chin. J. Environ. Sci. 2023, 44, 2409–2420. [Google Scholar]
- GB 3095-2012; Ambient Air Quality Standards. The Ministry of Environmental Protection of the People’s Republic of China: Bejing, China, 2012.
- HJ 664-2013; Technical Regulation for Selection of Ambient Air Quality Monitoring Stations (on Trial). The Ministry of Environmental Protection of the People’s Republic of China: Bejing, China, 2013.
- Wang, P.; Wang, M.; Zhou, M.; He, J.; Feng, X.; Du, X.; Wang, Y.; Wang, Y. The Benefits of the Clean Heating Plan on Air Quality in the Beijing-Tianjin-Hebei Region. Atmosphere 2022, 13, 555. [Google Scholar] [CrossRef]
- Li, B.; Sun, Y.; Zheng, W.; Zhang, H.; Jurasz, J.; Du, T.; Wang, Y. Evaluating the role of clean heating technologies in rural areas in improving the air quality. Appl. Energy 2021, 289, 116693. [Google Scholar] [CrossRef]
- Li, F.; Gu, J.; Xin, J.; Schnelle-Kreis, J.; Wang, Y.; Liu, Z.; Shen, R.; Michalke, B.; Abbaszade, G.; Zimmermann, R. Characteristics of chemical profile, sources and PAH toxicity of PM2.5 in beijing in autumn-winter transit season with regard to domestic heating, pollution control measures and meteorology. Chemosphere 2021, 276, 130143. [Google Scholar] [CrossRef]
- Niu, Y.; Yan, Y.; Chai, J.; Zhang, X.; Xu, Y.; Duan, X.; Wu, J.; Peng, L. Effects of regional transport from different potential pollution areas on volatile organic compounds (VOCs) in Northern Beijing during non-heating and heating periods. Sci. Total Environ. 2022, 836, 155465. [Google Scholar] [CrossRef]
- Wang, Q.; Liu, L. Study on the air pollution and economic growth in the work resumption of the COVID-19. Environ. Dev. Sustain. 2025, 27, 5339–5367. [Google Scholar] [CrossRef]
- Li, Y.; Wu, Z.; Ji, Y.; Chen, T.; Li, H.; Gao, R.; Xue, L.; Wang, Y.; Zhao, Y.; Yang, X. Comparison of the ozone formation mechanisms and VOCs apportionment in different ozone pollution episodes in urban Beijing in 2019 and 2020: Insights for ozone pollution control strategies. Sci. Total Environ. 2024, 908, 168332. [Google Scholar] [CrossRef]
- Golitsyn, G.S.; Grechko, E.I.; Wang, G.; Wang, P.; Dzhola, A.V.; Emilenko, A.S.; Kopeikin, V.M.; Rakitin, V.S.; Safronov, A.N.; Fokeeva, E.V. Studying the pollution of Moscow and Beijing atmospheres with carbon monoxide and aerosol. Izv. Atmos. Ocean. Phys. 2015, 51, 1–11. [Google Scholar] [CrossRef]
- Wang, C.; Miao, X.; Fang, M.; Chen, Y.; Jin, T. The improvement of Beijing ambient air quality resulting from the upgrade of vehicle emission standards. Arch. Environ. Prot. 2024, 50, 109–121. [Google Scholar] [CrossRef]
- Shen, Y.; Wu, T.; Jing, Y.; Li, R.; Cui, Y.; Liu, X.; Fan, S.; Zhai, J.; Cao, X.; Wan, Y.; et al. Investigation on air pollutants and carbon dioxide emissions from motor vehicles in Beijing based on COPERT model. J. Environ. Eng. Technol. 2021, 11, 1075–1082. [Google Scholar]
- Wang, W.; He, Y.; Gao, J.; Cao, L.; Ding, H.; Liu, C.; Tang, H.; Chen, Y.; Zhang, Y. Spatial and temporal variations, and socioeconomic drivers of air quality: Case study of the Beijing-Tianjin-Hebei urban agglomeration. Environ. Res. Commun. 2024, 6, 125026. [Google Scholar] [CrossRef]
- Wen, W.; Deng, Z.; Ma, X.; Xing, Y.; Pan, C.; Liu, Y.; Zhang, H.; Tharaka, W.; Hua, T.; Shen, L. Analysis of the synergistic benefits of typical technologies for pollution reduction and carbon reduction in the iron and steel industry in the Beijing-Tianjin-Hebei region. Sci. Rep. 2024, 14, 12413. [Google Scholar] [CrossRef] [PubMed]
- Liu, X.; Guo, H.; Zeng, L.; Lyu, X.; Wang, Y.; Zeren, Y.; Yang, J.; Zhang, L.; Zhao, S.; Li, J.; et al. Photochemical ozone pollution in five Chinese megacities in summer 2018. Sci. Total Environ. 2021, 801, 149603. [Google Scholar] [CrossRef]
- Tang, Y.; Yao, Q.; Cai, Z.; Ding, J.; Fan, W.; Yang, X.; Han, S. Exploring Formation of Ozone in Typical Cities in Beijing-Tianjin-Hebei Region Using Process Analysis. Chin. J. Environ. Sci. 2022, 43, 2917–2927. [Google Scholar]
- Zhang, L.; Wang, L.; Liu, B.; Tang, G.; Liu, B.; Li, X.; Sun, Y.; Li, M.; Chen, X.; Wang, Y.; et al. Contrasting effects of clean air actions on surface ozone concentrations in different regions over Beijing from May to September 2013–2020. Sci. Total Environ. 2023, 903, 166182. [Google Scholar] [CrossRef]
- Yang, Z.; Qin, T.; Wang, J.; Tang, J. Analysis of Pollution Characteristics and Influencing Factors of Air Pollutants in Beijing and Tianjin, China. J. Environ. Prot. Ecol. 2021, 22, 933–945. [Google Scholar]
- Yin, X.; Pu, W.; Wang, J.; Liu, X.; Qiao, L. Characteristics of Two Pollution Episodes Before and After City Heating in Beijing from February to March of 2019. Chin. J. Environ. Sci. 2021, 42, 2110–2120. [Google Scholar]
- Yang, Z.; Yang, X.; Xu, C.; Wang, Q. The Effect of Meteorological Features on Pollution Characteristics of PM2.5 in the South Area of Beijing, China. Atmosphere 2023, 14, 1753. [Google Scholar] [CrossRef]
- Qin, L.; Zhai, M.; Cheng, H. Indoor air pollution from the household combustion of coal: Tempo-spatial distribution of gaseous pollutants and semi-quantification of source contribution. Sci. Total Environ. 2023, 882, 163502. [Google Scholar] [CrossRef]
- Li, Y.; Tang, J.; Ji, Y.; Wang, Y.; Li, H.; Gao, R. Comparative Analysis of Ambient Ozone and Its Background Concentration in Beijing in Recent Years. Chin. J. Environ. Sci. 2025, 46, 1275–1284. [Google Scholar]




| Time | 2014 | 2015 | 2016 | 2017 | 2018 | 2019 | 2020 | 2021 | 2022 | 2023 | Trend (%·yr−1) | 95% CI |
|---|---|---|---|---|---|---|---|---|---|---|---|---|
| PM2.5 (μg/m3) | 92.9 | 83.4 | 74.9 | 61.4 | 53.6 | 43.5 | 38.4 | 36.5 | 30.2 | 35.1 | −9.3 ± 0.7 * | (−10.0, −8.6) |
| PM10 (μg/m3) | 130.9 | 116.3 | 105.3 | 97.8 | 92.2 | 74.8 | 64.7 | 54.7 | 55.9 | 73.4 | −6.2 ± 0.9 * | (−7.1, −5.3) |
| SO2 (μg/m3) | 14.3 | 14.5 | 11.4 | 9.5 | 6.5 | 4.7 | 3.8 | 2.9 | 2.7 | 2.7 | −15.4 ± 2.1 * | (−17.5, −13.3) |
| NO2 (μg/m3) | 51.8 | 48.9 | 47.8 | 45.7 | 41.8 | 36.7 | 29.8 | 25.5 | 22.6 | 24.9 | −7.8 ± 0.6 * | (−8.4, −7.2) |
| CO (mg/m3) | 1.18 | 1.30 | 1.21 | 0.99 | 0.82 | 0.70 | 0.65 | 0.59 | 0.49 | 0.48 | −8.1 ± 0.8 * | (−8.9, −7.3) |
| O3 (μg/m3) | 64.3 | 57.4 | 57.6 | 60.3 | 60.7 | 60.3 | 59.5 | 57.1 | 65.3 | 65.3 | +0.5 ± 0.4 | (−0.3, +1.3) |
| PM2.5 | PM10 | SO2 | NO2 | CO | O3 | |
|---|---|---|---|---|---|---|
| PM2.5 | 1 | |||||
| PM10 | 0.974 ** | 1 | ||||
| SO2 | 0.990 ** | 0.961 ** | 1 | |||
| NO2 | 0.943 ** | 0.947 ** | 0.941 ** | 1 | ||
| CO | 0.965 ** | 0.921 ** | 0.981 ** | 0.953 ** | 1 | |
| O3 | −0.207 | −0.07 | −0.237 | −0.295 | −0.397 | 1 |
| PM2.5 | PM10 | SO2 | NO2 | CO | O3 | |
|---|---|---|---|---|---|---|
| PM2.5 | 1 | |||||
| PM10 | 0.892 ** | 1 | ||||
| SO2 | 0.740 ** | 0.618 ** | 1 | |||
| NO2 | 0.877 ** | 0.779 ** | 0.717 ** | 1 | ||
| CO | 0.873 ** | 0.675 ** | 0.816 ** | 0.806 ** | 1 | |
| O3 | −0.395 ** | −0.280 ** | −0.299 ** | −0.532 ** | −0.444 ** | 1 |
Disclaimer/Publisher’s Note: The statements, opinions and data contained in all publications are solely those of the individual author(s) and contributor(s) and not of MDPI and/or the editor(s). MDPI and/or the editor(s) disclaim responsibility for any injury to people or property resulting from any ideas, methods, instructions or products referred to in the content. |
© 2025 by the authors. Licensee MDPI, Basel, Switzerland. This article is an open access article distributed under the terms and conditions of the Creative Commons Attribution (CC BY) license (https://creativecommons.org/licenses/by/4.0/).
Share and Cite
Xie, Y.; Zhao, J. The Spatiotemporal Variation Trends of Major Air Pollutants in Beijing from 2014 to 2023. Atmosphere 2025, 16, 494. https://doi.org/10.3390/atmos16050494
Xie Y, Zhao J. The Spatiotemporal Variation Trends of Major Air Pollutants in Beijing from 2014 to 2023. Atmosphere. 2025; 16(5):494. https://doi.org/10.3390/atmos16050494
Chicago/Turabian StyleXie, Yangyang, and Jiaqing Zhao. 2025. "The Spatiotemporal Variation Trends of Major Air Pollutants in Beijing from 2014 to 2023" Atmosphere 16, no. 5: 494. https://doi.org/10.3390/atmos16050494
APA StyleXie, Y., & Zhao, J. (2025). The Spatiotemporal Variation Trends of Major Air Pollutants in Beijing from 2014 to 2023. Atmosphere, 16(5), 494. https://doi.org/10.3390/atmos16050494
