Characterizing PM-Bound Nitrated Aromatic Compounds from Construction Machinery: Emission Factors, Optical Properties, and Toxic Equivalents
Abstract
1. Introduction
2. Methodology
2.1. Sampling
2.2. Chemical Analysis
2.3. Calculation of Emission Factors
2.4. Calculation of the Light Absorption Coefficient
2.5. Quality Control and Quality Assurance
3. Results and Discussion
3.1. Emission Factors of PM-Bound NPAHs from Forklifts and Excavators
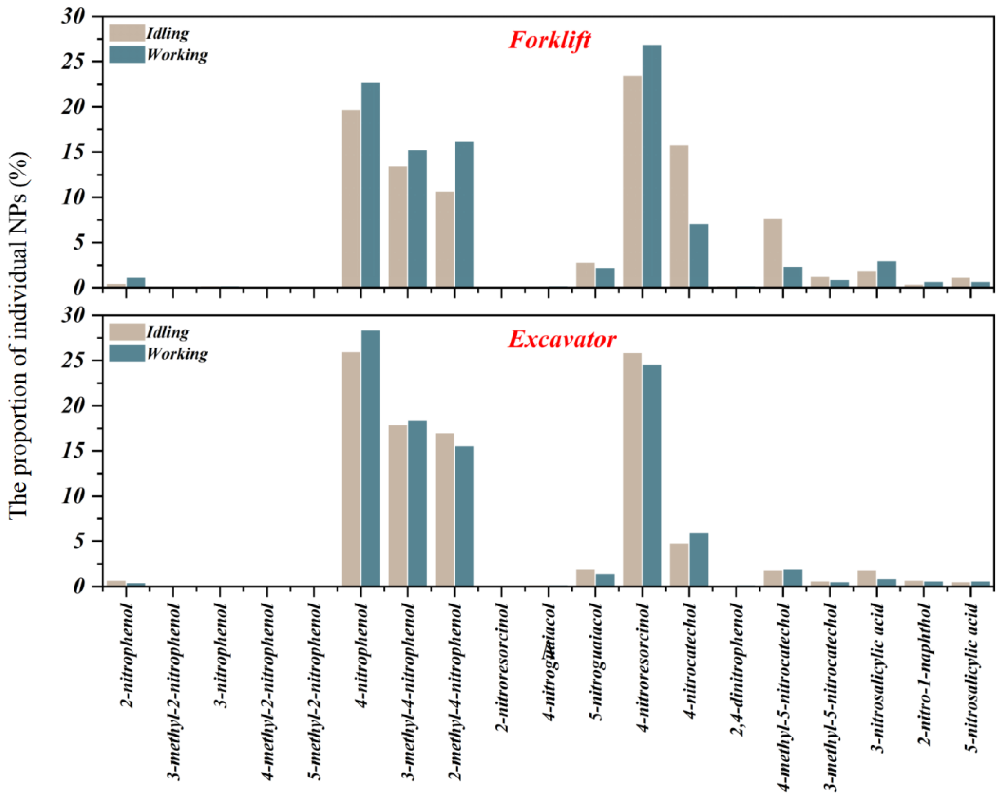
3.2. Emission Factors of PM-Bound NPs from Forklifts and Excavators
3.3. Light Absorption of PM-Bound NACs
3.4. Toxic Equivalents of PM-Bound NACs
4. Conclusions
Supplementary Materials
Author Contributions
Funding
Institutional Review Board Statement
Informed Consent Statement
Data Availability Statement
Acknowledgments
Conflicts of Interest
References
- Kawanaka, Y.; Matsumoto, E.; Wang, N.; Yun, S.-J.; Sakamoto, K. Contribution of nitrated polycyclic aromatic hydrocarbons to the mutagenicity of ultrafine particles in the roadside atmosphere. Atmos. Environ. 2008, 42, 7423–7428. [Google Scholar] [CrossRef]
- Øvrevik, J.; Refsnes, M.; Holme, J.A.; Schwarze, P.E.; Låg, M. Mechanisms of chemokine responses by polycyclic aromatic hydrocarbons in bronchial epithelial cells: Sensitization through toll-like receptor-3 priming. Toxicol. Lett. 2013, 219, 125–132. [Google Scholar] [CrossRef] [PubMed]
- González-Flecha, B. Oxidant mechanisms in response to ambient air particles. Mol. Asp. Med. 2004, 25, 169–182. [Google Scholar] [CrossRef]
- Vinzents, P.S.; Møller, P.; Sørensen, M.; Knudsen, L.E.; Hertel, O.; Jensen, F.P.; Schibye, B.; Loft, S. Personal exposure to ultrafine particles and oxidative DNA damage. Environ. Health Perspect. 2005, 113, 1485–1490. [Google Scholar] [CrossRef] [PubMed]
- Kalberer, M.; Rothen-Rutishauser, B.; Dällenbach, K.; Sauvain, J.-J. Oxidative Properties of Atmospheric Particles and their Biological Effects. Chimia 2024, 78, 734–738. [Google Scholar] [CrossRef] [PubMed]
- Feng, Y.; Ramanathan, V.; Kotamarthi, V.R. Brown carbon: A significant atmospheric absorber of solar radiation? Atmos. Chem. Phys. 2013, 13, 8607–8621. [Google Scholar] [CrossRef]
- Laskin, A.; Laskin, J.; Nizkorodov, S.A. Chemistry of atmospheric brown carbon. Chem. Rev. 2015, 115, 4335–4382. [Google Scholar] [CrossRef]
- Lin, P.; Aiona, P.K.; Li, Y.; Shiraiwa, M.; Laskin, J.; Nizkorodov, S.A.; Laskin, A. Molecular characterization of brown carbon in biomass burning aerosol particles. Environ. Sci. Technol. 2016, 50, 11815–11824. [Google Scholar] [CrossRef]
- Huang, R.J.; Yang, L.; Cao, J.; Chen, Y.; Chen, Q.; Li, Y.; Duan, J.; Zhu, C.; Dai, W.; Wang, K.; et al. Brown carbon aerosol in urban Xi’an, northwest China: The composition and light absorption properties. Environ. Sci. Technol. 2018, 52, 6825–6833. [Google Scholar] [CrossRef]
- Huang, R.J.; Yang, L.; Shen, J.; Yuan, W.; Gong, Y.; Guo, J.; Cao, W.; Duan, J.; Ni, H.; Zhu, C.; et al. Water-insoluble organics dominate brown carbon in wintertime urban aerosol of China: Chemical characteristics and optical properties. Environ. Sci. Technol. 2020, 54, 7836–7847. [Google Scholar] [CrossRef]
- Yuan, W.; Huang, R.J.; Yang, L.; Wang, T.; Duan, J.; Guo, J.; Ni, H.; Chen, Y.; Chen, Q.; Li, Y.; et al. Measurement report: PM2.5-bound nitrated aromatic compounds in Xi’an, Northwest China–Seasonal variations and contributions to optical properties of brown carbon. Atmos. Chem. Phys. 2021, 21, 3685–3697. [Google Scholar] [CrossRef]
- Wang, Y.; Hu, M.; Wang, Y.; Zheng, J.; Shang, D.; Yang, Y.; Liu, Y.; Li, X.; Tang, R.; Zhu, W.; et al. The formation of nitro-aromatic compounds under high NOx and anthropogenic VOC conditions in urban Beijing, China. Atmos. Chem. Phys. 2019, 19, 7649–7665. [Google Scholar] [CrossRef]
- Iinuma, Y.; Böge, O.; Gräfe, R.; Herrmann, H. Methyl-nitrocatechols: Atmospheric tracer compounds for biomass burning secondary organic aerosols. Environ. Sci. Technol. 2010, 44, 8453–8459. [Google Scholar] [CrossRef]
- Ostojic, B.D.; Dordevic, D.S. Photochemistry of nitrated polycyclic aromatic hydrocarbons under solar radiation. Curr. Org. Chem. 2018, 22, 973–986. [Google Scholar] [CrossRef]
- Ding, Z.; Yi, Y.; Wang, W.; Zhang, Q. Atmospheric degradation of chrysene initiated by OH radical: A quantum chemical investigation. Chemosphere 2021, 263, 128267. [Google Scholar] [CrossRef]
- Kitanovski, Z.; Čusak, A.; Grgić, I.; Claeys, M. Chemical characterization of the main products formed through aqueous-phase photonitration of guaiacol. Atmos. Meas. Tech. 2014, 7, 2457–2470. [Google Scholar] [CrossRef]
- Vione, D.; Maurino, V.; Minero, C.; Pelizzetti, E. Aqueous atmospheric chemistry: Formation of 2,4-dinitrophenol upon nitration of 2-nitrophenol and 4-nitrophenol in solution. Environ. Sci. Technol. 2005, 39, 7921–7931. [Google Scholar] [CrossRef]
- Hao, X.; Zhang, X.; Cao, X.; Shen, X.; Shi, J.; Yao, Z. Characterization and carcinogenic risk assessment of polycyclic aromatic and nitro-polycyclic aromatic hydrocarbons in exhaust emission from gasoline passenger cars using on-road measurements in Beijing, China. Sci. Total Environ. 2018, 645, 347–355. [Google Scholar] [CrossRef] [PubMed]
- Cao, X.; Hao, X.; Shen, X.; Jiang, X.; Wu, B.; Yao, Z. Emission characteristics of polycyclic aromatic hydrocarbons and nitro-polycyclic aromatic hydrocarbons from diesel trucks based on on-road measurements. Atmos. Environ. 2017, 148, 190–196. [Google Scholar] [CrossRef]
- Zhao, T.; Yang, L.; Huang, Q.; Zhang, W.; Duan, S.; Gao, H.; Wang, W. PM2.5-bound polycyclic aromatic hydrocarbons (PAHs) and nitrated-PAHs (NPAHs) emitted by gasoline vehicles: Characterization and health risk assessment. Sci. Total Environ. 2020, 727, 138631. [Google Scholar] [CrossRef]
- Zhao, T.; Yang, L.; Huang, Q.; Zhang, Y.; Bie, S.; Li, J.; Zhang, W.; Duan, S.; Gao, H.; Wang, W. PM2.5-bound polycyclic aromatic hydrocarbons (PAHs) and their derivatives (nitrated-PAHs and oxygenated-PAHs) in a road tunnel located in Qingdao, China: Characteristics, sources and emission factors. Sci. Total Environ. 2020, 720, 137521. [Google Scholar] [CrossRef]
- Perrone, M.G.; Carbone, C.; Faedo, D.; Ferrero, L.; Maggioni, A.; Sangiorgi, G.; Bolzacchini, E. Exhaust emissions of polycyclic aromatic hydrocarbons, n-alkanes and phenols from vehicles coming within different European classes. Atmos. Environ. 2014, 82, 391–400. [Google Scholar] [CrossRef]
- Noya, Y.; Mikami, Y.; Taneda, S.; Mori, Y.; Suzuki, A.K.; Ohkura, K.; Yamaki, K.; Yoshino, S.; Seki, K.-I. Improvement of an efficient separation method for chemicals in diesel exhaust particles: Analysis for nitrophenols. Environ. Sci. Pollut. Res. 2008, 15, 318–321. [Google Scholar] [CrossRef]
- Lu, C.; Wang, X.; Dong, S.; Zhang, J.; Li, J.; Zhao, Y.; Liang, Y.; Xue, L.; Xie, H.; Zhang, Q.; et al. Emissions of fine particulate nitrated phenols from various on-road vehicles in China. Environ. Res. 2019, 179, 108709. [Google Scholar] [CrossRef]
- Kirchstetter, T.W.; Novakov, T.; Hobbs, P.V. Evidence that the spectral dependence of light absorption by aerosols is affected by organic carbon. J. Geophys. Res. Atmos. 2004, 109, D21208. [Google Scholar] [CrossRef]
- Huang, W.; Huang, B.; Bi, X.; Lin, Q.; Liu, M.; Ren, Z.; Zhang, G.; Wang, X.; Sheng, G.; Fu, J. Emission of PAHs, NPAHs and OPAHs from residential honeycomb coal briquette combustion. Energy Fuels 2014, 28, 636–642. [Google Scholar] [CrossRef]
- Yang, X.; Liu, S.; Xu, Y.; Liu, Y.; Chen, L.; Tang, N.; Hayakawa, K. Emission factors of polycyclic and nitro-polycyclic aromatic hydrocarbons from residential combustion of coal and crop residue pellets. Environ. Pollut. 2017, 231, 1265–1273. [Google Scholar] [CrossRef] [PubMed]
- Wang, R.; Yousaf, B.; Sun, R.; Zhang, H.; Zhang, J.; Liu, G. Emission characterization and δ13C values of parent PAHs and nitro-PAHs in size-segregated particulate matters from coal-fired power plants. J. Hazard. Mater. 2016, 318, 487–496. [Google Scholar] [CrossRef]
- Lin, P.; Fleming, L.T.; Nizkorodov, S.A.; Laskin, J.; Laskin, A. Comprehensive molecular characterization of atmospheric brown carbon by high resolution mass spectrometry with electrospray and atmospheric pressure photoionization. Anal. Chem. 2018, 90, 12493–12502. [Google Scholar] [CrossRef]
- Olson, M.R.; Garcia, M.V.; Robinson, M.A.; Van Rooy, P.; Dietenberger, M.A.; Bergin, M.; Schauer, J.J. Investigation of black and brown carbon multiple-wavelength-dependent light absorption from biomass and fossil fuel combustion source emissions. J. Geophys. Res. Atmos. 2015, 120, 6682–6697. [Google Scholar] [CrossRef]
- Lu, C.; Wang, X.; Li, R.; Gu, R.; Zhang, Y.; Li, W.; Gao, R.; Chen, B.; Xue, L.; Wang, W. Emissions of fine particulate nitrated phenols from residential coal combustion in China. Atmos. Environ. 2019, 203, 10–17. [Google Scholar] [CrossRef]
- Zhang, J.; Yang, L.; Mellouki, A.; Chen, J.; Chen, X.; Gao, Y.; Jiang, P.; Li, Y.; Yu, H.; Wang, W. Atmospheric PAHs, NPAHs, and OPAHs at an urban, mountainous, and marine sites in Northern China: Molecular composition, sources, and ageing. Atmos. Environ. 2018, 173, 256–264. [Google Scholar] [CrossRef]
- Lyu, Y.; Su, S.; Wang, B.; Zhu, X.; Wang, X.; Zeng, E.Y.; Xing, B.; Tao, S. Seasonal and spatial variations in the chemical components and the cellular effects of particulate matter collected in Northern China. Sci. Total Environ. 2018, 627, 1627–1637. [Google Scholar] [CrossRef]
- Liu, D.; Lin, T.; Syed, J.H.; Cheng, Z.; Xu, Y.; Li, K.; Zhang, G.; Li, J. Concentration, source identification, and exposure risk assessment of PM2.5-bound parent PAHs and nitro-PAHs in atmosphere from typical Chinese cities. Sci. Rep. 2017, 7, 10398. [Google Scholar] [CrossRef]
- Teich, M.; van Pinxteren, D.; Wang, M.; Kecorius, S.; Wang, Z.; Müller, T.; Močnik, G.; Herrmann, H. Contributions of nitrated aromatic compounds to the light absorption of water-soluble and particulate brown carbon in different atmospheric environments in Germany and China. Atmos. Chem. Phys. 2017, 17, 1653–1672. [Google Scholar] [CrossRef]
- Wang, L.; Wang, X.; Gu, R.; Wang, H.; Yao, L.; Wen, L.; Zhu, F.; Wang, W.; Xue, L.; Yang, L.; et al. Observations of fine particulate nitrated phenols in four sites in northern China: Concentrations, source apportionment, and secondary formation. Atmos. Chem. Phys. 2018, 18, 4349–4359. [Google Scholar] [CrossRef]
- Li, M.; Wang, X.; Lu, C.; Li, R.; Zhang, J.; Dong, S.; Yang, L.; Xue, L.; Chen, J.; Wang, W. Nitrated phenols and the phenolic precursors in the atmosphere in urban Jinan, China. Sci. Total Environ. 2020, 714, 136760. [Google Scholar] [CrossRef] [PubMed]
- Li, X.; Yang, Y.; Liu, S.; Zhao, Q.; Wang, G.; Wang, Y. Light absorption properties of brown carbon (BrC) in autumn and winter in Beijing: Composition, formation and contribution of nitrated aromatic compounds. Atmos. Environ. 2020, 223, 117289. [Google Scholar] [CrossRef]
- Liang, Y.; Wang, X.; Dong, S.; Liu, Z.; Mu, J.; Lu, C.; Zhang, J.; Li, M.; Xue, L.; Wang, W. Size distributions of nitrated phenols in winter at a coastal site in north China and the impacts from primary sources and secondary formation. Chemosphere 2020, 250, 126256. [Google Scholar] [CrossRef]
- Yang, Y.; Li, X.; Shen, R.; Liu, Z.; Ji, D.; Wang, Y. Seasonal variation and sources of derivatized phenols in atmospheric fine particulate matter in North China Plain. J. Environ. Sci. 2020, 89, 136–144. [Google Scholar] [CrossRef]
- Wei, C.; Han, Y.; Bandowe, B.A.M.; Cao, J.; Huang, R.-J.; Ni, H.; Tian, J.; Wilcke, W. Occurrence, gas/particle partitioning and carcinogenic risk of polycyclic aromatic hydrocarbons and their oxygen and nitrogen containing derivatives in Xi’an, central China. Sci. Total Environ. 2015, 505, 814–822. [Google Scholar] [CrossRef]
- Wang, J.; Xu, H.; Guinot, B.; Li, L.; Ho, S.S.H.; Liu, S.; Li, X.; Cao, J. Concentrations, sources and health effects of parent, oxygenated- and nitrated- polycyclic aromatic hydrocarbons (PAHs) in middle-school air in Xi’an, China. Atmos. Res. 2017, 192, 1–10. [Google Scholar] [CrossRef]
- Niu, X.; Ho, K.F.; Chuang, H.C.; Sun, J.; Huang, Y.; Hu, T.; Xu, H.; Duan, J.; Lui, K.H.; Cao, J. Comparison of cytotoxicity induced by PM2.5-bound polycyclic aromatic compounds from different environments in Xi’an, China. Atmos. Environ. 2019, 216, 116929. [Google Scholar] [CrossRef]
- Zhuo, S.; Du, W.; Shen, G.; Wang, R.; Pan, X.; Li, T.; Han, Y.; Li, Y.; Pan, B.; Peng, X.; et al. Urban air pollution and health risks of parent and nitrated polycyclic aromatic hydrocarbons in two megacities, southwest China. Atmos. Environ. 2017, 166, 441–453. [Google Scholar] [CrossRef]
- Hu, H.; Tian, M.; Zhang, L.; Yang, F.; Peng, C.; Chen, Y.; Shi, G.; Yao, X.; Jiang, C.; Wang, J. Sources and gas-particle partitioning of atmospheric parent, oxygenated, and nitrated polycyclic aromatic hydrocarbons in a humid city in southwest China. Atmos. Environ. 2019, 206, 1–10. [Google Scholar] [CrossRef]
- Jung, S.; Kim, S.; Lim, Y.; Lee, J.; Chung, T.; Hong, H.; Mun, S.; Lee, S.; Jang, W.; Lim, J. Emission characteristics of hazardous air pollutants from construction equipment. Aerosol Air Qual. Res. 2020, 20, 2012–2024. [Google Scholar] [CrossRef]
- Li, C.; Cui, M.; Zheng, J.; Chen, Y.; Liu, J.; Ou, J.; Tang, M.; Sha, Q.; Yu, F.; Liao, S.; et al. Variability in real-world emissions and fuel consumption by diesel construction vehicles and policy implications. Sci. Total Environ. 2021, 786, 147256. [Google Scholar] [CrossRef]
- Wang, F.; Li, Z.; Zhang, K.; Di, B.; Hu, B. An overview of non-road equipment emissions in China. Atmos. Environ. 2016, 132, 283–289. [Google Scholar] [CrossRef]
- Peng, Z.; Ge, Y.; Tan, J.; Fu, M.; Wang, X.; Chen, M.; Lu, Y.; Wu, Y. Real-world emission from in-use construction equipment in China. Aerosol Air Qual. Res. 2016, 16, 1893–1902. [Google Scholar] [CrossRef]
- Zhang, Q.; Yang, L.; Ma, C.; Zhang, Y.; Wu, L.; Mao, H. Emission characteristics and chemical composition of particulate matter emitted by typical non-road construction machinery. Atmos. Pollut. Res. 2020, 11, 679–685. [Google Scholar] [CrossRef]
- Cui, M.; Chen, Y.; Li, C.; Yin, J.; Li, J.; Zheng, J. Parent and methyl polycyclic aromatic hydrocarbons and n-alkanes emitted by construction machinery in China. Sci. Total Environ. 2021, 775, 144759. [Google Scholar] [CrossRef]
- Duan, L.; Hsieh, Y.L.; Lin, S.L.; Mansor, W.N.W.; Bin Mansor, M.I.A.; Lee, H.; Huang, C.-E.; Chao, H.-R.; Song, M.; Song, M. Unignorable emissions and potential health effects of unregulated pollutants from nonroad engines using greener fuels–A review. Aerosol Air Qual. Res. 2024, 24, 240074. [Google Scholar] [CrossRef]
- Wu, Z.; Zhang, Y.; He, J.; Chen, H.; Huang, X.; Wang, Y.; Yu, X.; Yang, W.; Zhang, R.; Zhu, M.; et al. Dramatic increase in reactive volatile organic compound (VOC) emissions from ships at berth after implementing the fuel switch policy in the Pearl River Delta Emission Control Area. Atmos. Chem. Phys. 2020, 20, 1887–1900. [Google Scholar] [CrossRef]
- Zhang, R.; Li, S.; Fu, X.; Pei, C.; Wang, J.; Wu, Z.; Xiao, S.; Huang, X.; Zeng, J.; Song, W.; et al. Emissions and light absorption of PM2.5-bound nitrated aromatic compounds from on-road vehicle fleets. Environ. Pollut. 2022, 312, 120070. [Google Scholar] [CrossRef]
- Zhang, R.; Song, W.; Zhang, Y.; Wang, X.; Fu, X.; Li, S. Particulate nitrated aromatic compounds from corn straw burning: Compositions, optical properties and potential health risks. Environ. Pollut. 2023, 323, 121332. [Google Scholar] [CrossRef]
- Fang, L.; Zhang, R.; Li, S.; Song, W.; Chen, D.; Wang, X. Size-segregated nitrated aromatic compounds in PM10 and potential health risks in Guangzhou, South China. Atmos. Environ. 2025, 350, 121145. [Google Scholar] [CrossRef]
- Hecobian, A.; Zhang, X.; Zheng, M.; Frank, N.; Edgerton, E.S.; Weber, R.J. Water-soluble organic aerosol material and the light-absorption characteristics of aqueous extracts measured over the Southeastern United States. Atmos. Chem. Phys. 2010, 10, 5965–5977. [Google Scholar] [CrossRef]
- Li, X.; Wang, S.; Duan, L.; Hao, J.; Nie, Y. Carbonaceous aerosol emissions from household biofuel combustion in China. Environ. Sci. Technol. 2009, 43, 6076–6081. [Google Scholar] [CrossRef]
- Paputapeck, M.C.; Marano, R.S.; Schuetzle, D.; Riley, T.L.; Hampton, C.V.; Prater, T.J.; Skewes, L.M.; Jensen, T.E.; Ruehle, P.H.; Bosch, L.C.; et al. Determination of nitrated polynuclear aromatic hydrocarbons in particulate extracts by using capillary column gas-chromatography with nitrogen selective detection. Anal. Chem. 1983, 55, 1946–1954. [Google Scholar] [CrossRef]
- Arey, J.; Zielinska, B.; Atkinson, R.; Winer, A.M.; Ramdahl, T.; Pitts, J.N. The formation of nitro-PAH from the gas-phase reactions of fluoranthene and pyrene with the OH radical in the presence of NOx. Atmos. Environ. (1967) 1986, 20, 2339–2345. [Google Scholar] [CrossRef]
- Schulte, J.K.; Fox, J.R.; Oron, A.P.; Larson, T.V.; Simpson, C.D.; Paulsen, M.; Beaudet, N.; Kaufman, J.D.; Magzamen, S. Neighborhood-scale spatial models of diesel exhaust concentration profile using 1-nitropyrene and other nitroarenes. Environ. Sci. Technol. 2015, 49, 13422–13430. [Google Scholar] [CrossRef]
- Alves, C.A.; Vicente, A.M.P.; Gomes, J.; Nunes, T.; Duarte, M.; Bandowe, B. Polycyclic aromatic hydrocarbons (PAHs) and their derivatives (oxygenated-PAHs, nitrated-PAHs and azaarenes) in size-fractionated particles emitted in an urban road tunnel. Atmos. Res. 2016, 180, 128–137. [Google Scholar] [CrossRef]
- Carrara, M.; Niessner, R. Impact of a NO2-regenerated diesel particulate filter on PAH and NPAH emissions from an EURO IV heavy duty engine. J. Environ. Monit. 2011, 13, 3373–3379. [Google Scholar] [CrossRef]
- Li, W.; Wang, C.; Shen, H.; Su, S.; Shen, G.; Huang, Y.; Zhang, Y.; Chen, Y.; Chen, H.; Lin, N.; et al. Concentrations and origins of nitro-polycyclic aromatic hydrocarbons and oxy-polycyclic aromatic hydrocarbons in ambient air in urban and rural areas in northern China. Environ. Pollut. 2015, 197, 156–164. [Google Scholar] [CrossRef]
- Ma, L.; Li, B.; Liu, Y.; Sun, X.; Fu, D.; Sun, S.; Thapa, S.; Geng, J.; Qi, H.; Zhang, A.; et al. Characterization, sources and risk assessment of PM2.5-bound polycyclic aromatic hydrocarbons (PAHs) and nitrated PAHs (NPAHs) in Harbin, a cold city in Northern China. J. Clean. Prod. 2020, 264, 121673. [Google Scholar] [CrossRef]
- Zhang, L.; Hu, B.; Liu, X.; Luo, Z.; Xing, R.; Li, Y.; Xiong, R.; Li, G.; Cheng, H.; Lu, Q.; et al. Variabilities in primary N-containing aromatic compound emissions from residential solid fuel combustion and implications for source tracers. Environ. Sci. Technol. 2022, 56, 13622–13633. [Google Scholar] [CrossRef]
- Tian, J.; Wang, Q.; Ni, H.; Wang, M.; Zhou, Y.; Han, Y.; Shen, Z.; Pongpiachan, S.; Zhang, N.; Zhao, Z.; et al. Emission characteristics of primary brown carbon absorption from biomass and coal burning: Development of an optical emission inventory for China. J. Geophys. Res. Atmos. 2019, 124, 1879–1893. [Google Scholar] [CrossRef]
- Xie, M.; Hays, M.D.; Holder, A.L. Light-absorbing organic carbon from prescribed and laboratory biomass burning and gasoline vehicle emissions. Sci. Rep. 2017, 7, 7318. [Google Scholar] [CrossRef] [PubMed]
- Zhang, R.; Li, S.; Fu, X.; Pei, C.; Huang, Z.; Wang, Y.; Chen, Y.; Yan, J.; Wang, J.; Yu, Q.; et al. Emissions and light absorption of carbonaceous aerosols from on-road vehicles in an urban tunnel in south China. Sci. Total Environ. 2021, 790, 148220. [Google Scholar] [CrossRef] [PubMed]
- Tang, J.; Li, J.; Su, T.; Han, Y.; Mo, Y.; Jiang, H.; Cui, M.; Jiang, B.; Chen, Y.; Tang, J.; et al. Molecular compositions and optical properties of dissolved brown carbon in biomass burning, coal combustion, and vehicle emission aerosols illuminated by excitation-emission matrix spectroscopy and Fourier transform ion cyclotron resonance mass spectrometry analysis. Atmos. Chem. Phys. 2020, 20, 2513–2532. [Google Scholar]
- Nisbet, I.C.T.; Lagoy, P.K. Toxic equivalency factors (TEFs) for polycyclic aromatic hydrocarbons (PAHs). Regul. Toxicol. Pharmacol. 1992, 16, 290–300. [Google Scholar] [CrossRef] [PubMed]
- Durant, J.L.; Busby, W.F., Jr.; Lafleur, A.L.; Penman, B.W.; Crespi, C.L. Human cell mutagenicity of oxygenated, nitrated and unsubstituted polycyclic aromatic hydrocarbons associated with urban aerosols. Mutat. Res./Genet. Toxicol. 1996, 371, 123–157. [Google Scholar] [CrossRef] [PubMed]
- Zhao, J.; Zhang, Y.; Wang, T.; Sun, L.; Yang, Z.; Lin, Y.; Chen, Y.; Mao, H. Characterization of PM2.5-bound polycyclic aromatic hydrocarbons and their derivatives (nitro-and oxy-PAHs) emissions from two ship engines under different operating conditions. Chemosphere 2019, 225, 43–52. [Google Scholar] [CrossRef] [PubMed]
- Office of Environmental Health Hazard Assessment (OEHHA). Health Assessment Part B. Benzo[a]pyrene as a Toxic Air Contaminant. OEHHA. 1994. Available online: http://www.arb.ca.gov/toxics/id/summary/bap.pdf (accessed on 30 October 2025).




| Sources | Construction Machinery | Biomass Burning | Vehicle Emission | Coal Combustion |
|---|---|---|---|---|
| This Study | [55] | [54] | [26] | |
| 1-nitronaphthalene | 0.2% | 0.5% | 0.5% | 2.6% |
| 2-nitronaphthalene | 0.2% | 1.1% | 0.6% | 1.9% |
| 2-nitrobiphenyl | 5.6% | 1.8% | 0.4% | 36.0% |
| 3-nitrobiphenyl | 0.1% | 1.4% | 0.4% | 0.2% |
| 4-nitrobiphenyl | 4.6% | 6.6% | 6.2% | 7.7% |
| 3-nitrodibenzofuran | 1.8% | 2.7% | 17.5% | 3.4% |
| 5-nitroacenaphthene | 20.3% | 1.2% | 1.2% | 6.4% |
| 2-nitrofluorene | 0.3% | 1.9% | 0.4% | 1.0% |
| 9-nitroanthracene | 1.4% | 4.7% | 4.4% | 3.9% |
| 9-nitrophenanthrene | 8.8% | 2.9% | 1.8% | 0.4% |
| 2-nitrodibenzothiophene | 2.8% | 3.8% | 8.9% | 6.8% |
| 3-nitrophenanthrene | 0.4% | 1.8% | 1.3% | 1.7% |
| 2-nitroanthracene | 0.6% | 3.2% | 3.4% | 3.5% |
| 2-nitrofluoranthene | 0.2% | 1.6% | 1.6% | - |
| 3-nitrofluoranthene | 4.3% | 2.2% | 4.0% | 2.6% |
| 1-nitropyrene | 15.8% | 1.7% | 5.9% | 5.8% |
| 2-nitropyrene | 5.0% | 13.3% | 5.1% | - |
| 2,7-Dinitrofluorene | 2.4% | 1.6% | 3.9% | 2.8% |
| 2,7-Dinitro-9-fluorenone | 0.2% | 1.4% | 1.7% | - |
| 2,8-Dinitrodibenzothiophene | 1.6% | 5.7% | 19.0% | 3.9% |
| 7-nitrobenz(a)anthracene | 0.6% | 5.1% | 2.9% | 2.9% |
| 6-nitrochrysene | 0.3% | 1.6% | 0.8% | 1.0% |
| 1,3-dinitropyrene | 7.5% | 5.8% | 1.5% | 0.4% |
| 1,6-dinitropyrene | 7.6% | 13.4% | 1.7% | 0.0% |
| 1,8-dinitropyrene | 7.3% | 9.6% | 2.3% | 4.2% |
| 6-nitrobenz(a)pyrene | 0.0% | 3.2% | 2.7% | 0.4% |
| Sources | Construction Machinery | Biomass Burning | Vehicle Emission | Coal Combustion |
|---|---|---|---|---|
| This Study | [55] | [54] | [31] | |
| 2-nitrophenol | 0.6% | 1.3% | 2.4% | - |
| 3-methyl-2-nitrophenol | 0.0% | 0.4% | 0.3% | - |
| 3-nitrophenol | 0.1% | 1.7% | 0.3% | - |
| 4-methyl-2-nitrophenol | 0.1% | 0.4% | 0.0% | - |
| 5-methyl-2-nitrophenol | 0.0% | 0.4% | 0.1% | - |
| 4-nitrophenol | 25.8% | 21.2% | 14.8% | 8.1% |
| 3-methyl-4-nitropheno | 17.2% | 11.0% | 20.4% | 4.5% |
| 2-methyl-4-nitrophenol | 15.6% | 8.5% | 23.7% | 3.9% |
| 2-nitroresorcinol | 0.0% | 0.5% | 0.1% | - |
| 4-nitroguaiacol | 0.2% | 1.4% | 1.3% | - |
| 5-nitroguaiacol | 1.8% | 0.5% | 3.2% | - |
| 4-nitroresorcinol | 25.2% | 25.4% | 0.7% | - |
| 4-nitrocatechol | 6.8% | 14.1% | 4.3% | 19.2% |
| 2,4-dinitrophenol | 0.2% | 2.4% | 20.9% | 4.0% |
| 4-methyl-5-nitrocatechol | 2.6% | 5.0% | 1.8% | 15.8% |
| 3-methyl-5-nitrocatechol | 0.7% | - | - | - |
| 3-nitrosalicylic acid | 1.7% | 2.0% | 1.0% | 5.0% |
| 2-nitro-1-naphthol | 0.6% | 1.4% | 2.2% | - |
| 5-nitrosalicylic acid | 0.7% | 2.5% | 2.5% | 8.0% |
| 3-methyl-6-nitrocatechol | - | - | - | 17.0% |
| 3-methyl-5-nitrocatechol | - | - | - | 14.6% |
Disclaimer/Publisher’s Note: The statements, opinions and data contained in all publications are solely those of the individual author(s) and contributor(s) and not of MDPI and/or the editor(s). MDPI and/or the editor(s) disclaim responsibility for any injury to people or property resulting from any ideas, methods, instructions or products referred to in the content. |
© 2025 by the authors. Licensee MDPI, Basel, Switzerland. This article is an open access article distributed under the terms and conditions of the Creative Commons Attribution (CC BY) license (https://creativecommons.org/licenses/by/4.0/).
Share and Cite
Zhang, R.; Li, S.; Peng, L.; Zhang, Q.; Wang, J.; Luo, D.; Liu, Z.; He, Q. Characterizing PM-Bound Nitrated Aromatic Compounds from Construction Machinery: Emission Factors, Optical Properties, and Toxic Equivalents. Atmosphere 2025, 16, 1365. https://doi.org/10.3390/atmos16121365
Zhang R, Li S, Peng L, Zhang Q, Wang J, Luo D, Liu Z, He Q. Characterizing PM-Bound Nitrated Aromatic Compounds from Construction Machinery: Emission Factors, Optical Properties, and Toxic Equivalents. Atmosphere. 2025; 16(12):1365. https://doi.org/10.3390/atmos16121365
Chicago/Turabian StyleZhang, Runqi, Sheng Li, Long Peng, Qiongwei Zhang, Jun Wang, Datong Luo, Zhan Liu, and Qiusheng He. 2025. "Characterizing PM-Bound Nitrated Aromatic Compounds from Construction Machinery: Emission Factors, Optical Properties, and Toxic Equivalents" Atmosphere 16, no. 12: 1365. https://doi.org/10.3390/atmos16121365
APA StyleZhang, R., Li, S., Peng, L., Zhang, Q., Wang, J., Luo, D., Liu, Z., & He, Q. (2025). Characterizing PM-Bound Nitrated Aromatic Compounds from Construction Machinery: Emission Factors, Optical Properties, and Toxic Equivalents. Atmosphere, 16(12), 1365. https://doi.org/10.3390/atmos16121365

