Biometeorological Conditions in Poznań, Poland: Insights from In Situ Summer Data
Abstract
1. Introduction
- To characterize summer thermal conditions in Poznań (including the frequency of hot events), considering their spatial variability and temporal fluctuations;
- To determine the spatial variability in bioclimatic conditions based on HD in the city;
- To assess the biometeorological conditions during heat waves and to evaluate heat stress related to high-temperature and high-humidity conditions in different types of LCZs in Poznań.
2. Study Area, Data, and Methods
2.1. Study Area
2.2. Data and Methods
3. Results
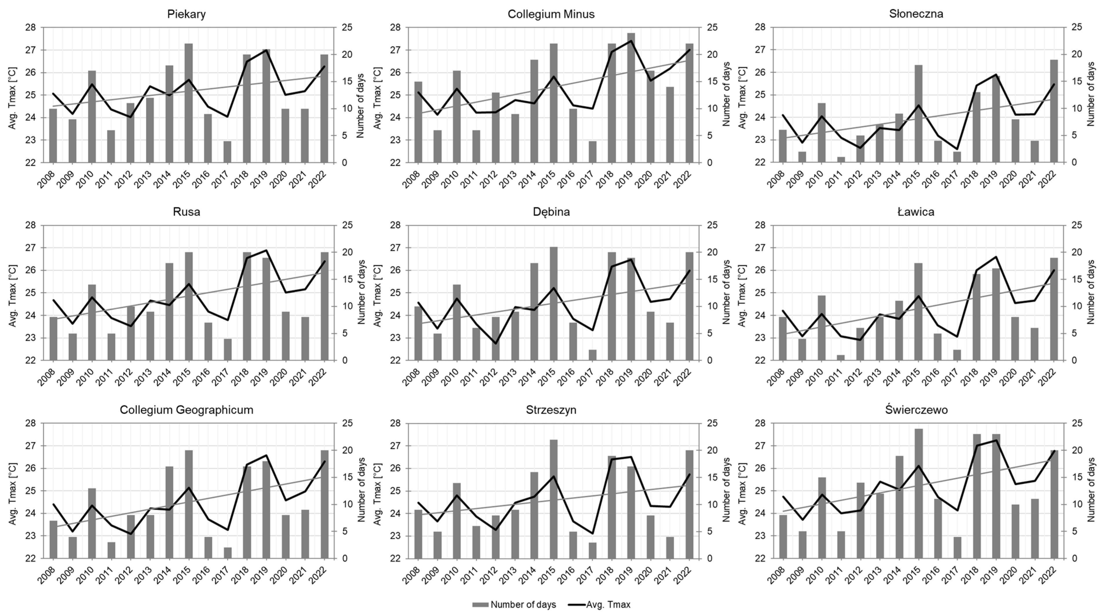
3.1. Characteristics of Climatic Conditions
3.2. Characteristics of Bioclimatic Conditions
4. Discussion
5. Conclusions
Author Contributions
Funding
Institutional Review Board Statement
Informed Consent Statement
Data Availability Statement
Conflicts of Interest
References
- Michelozzi, P.; de Donato, F.; Accetta, G.; Forastiere, F.; D’Ovidio, M.; Perucci, C.; Kalkstein, L.S. Impact of heat waves on mortality—Rome, Italy, June–August 2003. Morb. Mortal. Wkly. Rep. 2004, 53, 369–371. [Google Scholar]
- Vandentorren, S.; Suzan, R.; Medina, S.; Pascal, M.; Maulpoix, A.; Cohen, J.C.; Ledrans, M. Mortality in 13 French Cities During the August 2003 Heat Wave. Am. J. Public Health 2004, 94, 1518–1520. [Google Scholar] [CrossRef] [PubMed]
- Grumm, R.H. The Central European and Russian heat event of July—August 2010. Bull. Am. Meteorol. Soc. 2011, 92, 1285–1296. [Google Scholar] [CrossRef]
- Otto, F.E.L.; Massey, N.; Van Oldenborgh, G.J.; Jones, R.G.; Allan, M.R. Reconciling two approaches to attribution of the 2010 Russian heat wave. Geophys. Res. Lett. 2012, 39, L04702. [Google Scholar] [CrossRef]
- WMO Report. Available online: https://library.wmo.int/records/item/57564-wmo-atlas-of-mortality-and-economic-losses-from-weather-climate-and-water-extremes-1970-2019 (accessed on 10 November 2023).
- Barriopedro, D.; Fischer, E.M.; Luterbacher, J.; Trigo, R.M.; García-Herrera, R. The hot summer of 2010: Redrawing the temperature record map of Europe. Science 2011, 332, 220–224. [Google Scholar] [CrossRef] [PubMed]
- Hoy, A.; Hänsel, S.; Maugeri, M. An endless summer: 2018 heat episodes in Europe in the context of secular temperature variability and change. Int. J. Climatol. 2020, 40, 6315–6336. [Google Scholar] [CrossRef]
- Sulikowska, A.; Wypych, A. How Unusual Were June 2019 Temperatures in the Context of European Climatology? Atmosphere 2020, 11, 697. [Google Scholar] [CrossRef]
- Tomczyk, A.M.; Bednorz, E. The extreme year—analysis of thermal conditions in Poland in 2018. Theor. Appl. Climatol. 2020, 139, 251–260. [Google Scholar] [CrossRef]
- Yiou, P.; Cattiaux, J.; Faranda, D.; Kadygrov, N.; Jézéquel, A.; Naveau, P.; Ribes, A.; Robin, Y.; Thao, S.; van Oldenborgh, G.J.; et al. Analyses of the Northern European summer heatwave of 2018. Bull. Am. Meteorol. Soc. 2020, 101, S35–S40. [Google Scholar] [CrossRef]
- Zahradníček, P.; Brázdil, R.; Štěpánek, P.; Trnka, M. Reflections of global warming in trends of temperature characteristics in the Czech Republic, 1961–2019. Int. J. Climatol. 2021, 41, 1211–1229. [Google Scholar] [CrossRef]
- Lhotka, O.; Kyselý, J. The 2021 European Heat Wave in the Context of Past Major Heat Waves. Earth Space Sci. 2022, 9, e2022EA002567. [Google Scholar] [CrossRef]
- Available online: https://www.worldbank.org/en/topic/urbandevelopment/overview (accessed on 10 November 2023).
- Niedźwiedź, T. (Ed.) Dictionary of Meteorology; Polish Geophysical Society; IMGW: Warszawa, Poland, 2003; p. 495. [Google Scholar]
- Błażejczyk, A.; Błażejczyk, K.; Baranowski, J.; Kuchcik, M. Heat stress mortality and desired adaptation responses of healthcare system in Poland. Int. J. Biometeorol. 2018, 62, 307–318. [Google Scholar] [CrossRef] [PubMed]
- Naumann, G.; Russo, S.; Formetta, G.; Ibarreta, D.; Forzieri, G.; Girardello, M.; Feyen, L. Global Warming and Human Impacts of Heat and Cold Extremes in the EU; Publications Office of the European Union: Luxembourg, 2020. [Google Scholar]
- Borg, M.A.; Xiang, J.; Anikeeva, O.; Pisaniello, D.; Hansen, A.; Zander, K.; Dear, K.; Sim, M.R.; Bi, P. Occupational heat stress and economic burden: A review of global evidence. Environ. Res. 2021, 195, 110781. [Google Scholar] [CrossRef] [PubMed]
- Lorencová, E.K.; Whitham, C.E.L.; Bašta, P.; Harmáčková, Z.V.; Štěpánek, P.; Zahradníček, P.; Farda, A.; Vačkář, D. Participatory climate change impact assessment in three Czech cities: The case of heatwaves. Sustainability 2018, 10, 1906. [Google Scholar] [CrossRef]
- Zhang, Y.; Ayyub, B.M. Urban Heat Projections in a Changing Climate: Washington, DC, Case Study. ASCE-ASME J. Risk Uncertain. Eng. Syst. Part A Civ. Eng. 2018, 4, 04018032. [Google Scholar] [CrossRef]
- Oke, T.R.; Mills, G.; Christen, A.; Voogt, J.A. Urban Climates; Cambridge University Press: Cambridge, UK, 2017. [Google Scholar]
- IPCC. Climate Change 2021: The Physical Science Basis. Contribution of Working Group I to the Sixth Assessment Report of the Intergovernmental Panel on Climate Change; IPCC: Geneva, Switzerland, 2021. [Google Scholar]
- Zhang, G.; Zeng, G.; Liang, X.Z.; Huang, C. Increasing heat risk in China’s urban agglomerations. Environ. Res. Lett. 2021, 16, 064073. [Google Scholar] [CrossRef]
- Gabriel, K.M.A.; Endlicher, W.R. Urban and rural mortality rates during heat waves in Berlin and Brandenburg, Germany. Environ. Pollut. 2011, 159, 2044–2050. [Google Scholar] [CrossRef] [PubMed]
- Heaviside, C.; Vardoulakis, S.; Cai, X.M. Attribution of mortality to the urban heat island during heatwaves in the West Midlands, UK. Environ. Health 2016, 15, 49–59. [Google Scholar] [CrossRef]
- Wouters, H.; De Ridder, K.; Poelmans, L.; Willems, P.; Brouwers, J.; Hosseinzadehtalaei, P.; Tabari, H.; Vanden Broucke, S.; van Lipzig, N.P.M.; Demuzere, M. Heat stress increase under climate change twice as large in cities as in rural areas: A study for a densely populated midlatitude maritime region. Geophys. Res. Lett. 2017, 44, 8997–9007. [Google Scholar] [CrossRef]
- Graczyk, D.; Kundzewicz, Z.W.; Choryński, A.; Førland, E.J.; Pińskwar, I.; Szwed, M. Heat-related mortality during hot summers in Polish cities. Theor. Appl. Climatol. 2019, 136, 1259–1273. [Google Scholar] [CrossRef]
- Lhotka, O.; Kyselý, J.; Farda, A. Climate change scenarios of heat waves in Central Europe and their uncertainties. Theor. Appl. Climatol. 2018, 131, 1043–1054. [Google Scholar] [CrossRef]
- Junk, J.; Goergen, K.; Krein, A. Future heat waves in different European capitals based on climate change indicators. Int. J. Environ. Res. Public Health 2019, 19, 3959. [Google Scholar] [CrossRef] [PubMed]
- Tomczyk, A.M.; Piniewski, M.; Eini, M.R.; Bednorz, E. Projections of changes in maximum air temperature and hot days in Poland. Int. J. Climatol. 2022, 42, 5242–5254. [Google Scholar] [CrossRef]
- Półrolniczak, M.; Tomczyk, A.M.; Kolendowicz, L. Thermal Conditions in the City of Poznań (Poland) during Selected Heat Waves. Atmosphere 2018, 9, 11. [Google Scholar] [CrossRef]
- Tomczyk, A.M.; Półrolniczak, M.; Kolendowicz, L. Cold Waves in Poznań (Poland) and Thermal Conditions in the City during Selected Cold Waves. Atmosphere 2018, 9, 208. [Google Scholar] [CrossRef]
- Półrolniczak, M.; Kolendowicz, L.; Majkowska, A.; Czernecki, B. The influence of atmospheric circulation on the intensity of urban heat island and urban cold island in Poznań, Poland. Theor. Appl. Climatol. 2017, 127, 611–625. [Google Scholar] [CrossRef]
- Majkowska, A.; Kolendowicz, L.; Półrolniczak, M.; Hauke, J.; Czernecki, B. The urban heat island in the city of Poznań as derived from Landsat 5 TM. Theor. Appl. Climatol. 2017, 128, 769–783. [Google Scholar] [CrossRef]
- Leconte, F.; Bouyer, J.; Claverie, R.; Pétrissans, M. Using Local Climate Zone scheme for UHI assessment: Evaluation of the method using mobile measurements. Build. Environ. 2015, 83, 39–49. [Google Scholar] [CrossRef]
- Loridan, T.; Grimmond, C. Characterisation of energy flux partitioning in urban environments: Links with surface seasonal properties. J. Appl. Meteorol. Climatol. 2012, 51, 219–241. [Google Scholar] [CrossRef]
- Oke, T. Initial Guidance to Obtain Representative Meteorological Observations at Urban Sites; World Meteorological Organization: Geneva, Switzerland, 2004; Volume 81. [Google Scholar]
- Stewart, I.; Oke, T. Local Climate Zones for urban temperature studies. Bull. Am. Meteorol. Soc. 2012, 93, 1879–1900. [Google Scholar] [CrossRef]
- Ardiyansyah, A.; Munir, A.; Gabric, A. The Utilization of Land Surface Temperature Information as an Input for Coastal City. IOP Conf. Ser. Earth Environ. Sci. 2021, 921, 012004. [Google Scholar] [CrossRef]
- Cao, Q.; Huang, H.; Hong, Y.; Huang, X.; Wang, S.; Wang, L.; Wang, L. Modeling intra-urban differences in thermal environments and heat stress based on local climate zones in central Wuhan. Build. Environ. 2022, 225, 109625. [Google Scholar] [CrossRef]
- Xiang, Y.; Cen, Q.; Peng, C.; Huang, C.; Wu, C.; Teng, M.; Zhou, Z. Surface urban heat island mitigation network construction utilizing source-sink theory and local climate zones. Build. Environ. 2023, 243, 110717. [Google Scholar] [CrossRef]
- Cilek, M.U.; Cilek, A. Analyses of land surface temperature (LST) variability among local climate zones (LCZs) comparing Landsat-8 and ENVI-met model data. Sustain. Cities Soc. 2021, 69, 102877. [Google Scholar] [CrossRef]
- Zhao, Z.; Sharifi, A.; Dong, X.; Shen, L.; He, B.J. Spatial variability and temporal heterogeneity of surface urban heat island patterns and the suitability of local climate zones for land surface temperature characterization. Remote Sens. 2021, 13, 4338. [Google Scholar] [CrossRef]
- Mushore, T.D.; Mutanga, O.; Odindi, J. Determining the Influence of Long Term Urban Growth on Surface Urban Heat Islands Using Local Climate Zones and Intensity Analysis Techniques. Remote Sens. 2022, 14, 2060. [Google Scholar] [CrossRef]
- Bechtel, B.; Alexander, P.J.; Böhner, J.; Ching, J.; Conrad, O.; Feddema, J.; Mills, G.; See, L.; Stewart, I. Mapping Local Climate Zones for a Worldwide Database of the Form and Function of Cities. ISPRS Int. J. Geo-Inf. 2015, 4, 199–219. [Google Scholar] [CrossRef]
- Oliveira, A.; Lopes, A.; Niza, S. Local climate zones classification method from Copernicus land monitoring service datasets: An ArcGIS-based toolbox. MethodsX 2020, 7, 101150. [Google Scholar] [CrossRef] [PubMed]
- Oliveira, A.; Lopes, A.; Niza, S. Local climate zones in five southern European cities: An improved GIS-based classification method based on Copernicus data. Urban Clim. 2020, 33, 100631. [Google Scholar] [CrossRef]
- Demuzere, M.; Kittner, J.; Bechtel, B. LCZ Generator: A Web Application to Create Local Climate Zone Maps. Front. Environ. Sci. 2021, 9, 637455. [Google Scholar] [CrossRef]
- Janků, Z.; Dobrovolný, P. Heat Waves Amplify the Urban Canopy Heat Island in Brno, Czechia. Meteorology 2022, 1, 477–494. [Google Scholar] [CrossRef]
- Yi, C.; Kwon, H.G.; Yang, H. Spatial temperature differences in local climate zones of Seoul metropolitan area during a heatwave. Urban Clim. 2022, 41, 101012. [Google Scholar] [CrossRef]
- Golbabaei, F.; Heidari, H.; Shamsipour, A. The assessment of thermal conditions using humidex in different weather conditions: A case in different climates of Iran. J. Health Sci. Surveill. Syst. 2021, 9, 127–134. [Google Scholar]
- Scoccimarro, E.; Fogli, P.G.; Gualdi, S. The role of humidity in determining scenarios of perceived temperature extremes in Europe. Environ. Res. Lett. 2017, 12, 114029. [Google Scholar] [CrossRef]
- Středová, H.; Středa, T.; Litschmann, T. Smart tools of urban climate evaluation for smart spatial planning. Morav. Geogr. Rep. 2015, 23, 47–57. [Google Scholar] [CrossRef]
- Giannopoulou, K.; Livada, I.; Santamouris, M. The influence of air temperature and humidity on human thermal comfort over the greater Athens area. Sustain. Cities Soc. 2014, 10, 184–194. [Google Scholar] [CrossRef]
- Mekis, É.; Vincent, L.A.; Shephard, M.W.; Xuebin, Z. Observed trends in severe weather conditions based on humidex, wind chill, and heavy rainfall events in Canada for 1953–2012. Atmos. Ocean. 2015, 53, 383–397. [Google Scholar] [CrossRef]
- Alfano, F.R.D.A.; Palella, B.I.; Riccio, G. Thermal environment assessment reliability using temperature—Humidity indices. Ind. Health 2010, 49, 95–106. [Google Scholar] [CrossRef] [PubMed]
- Infusino, E.; Caloiero, T.; Fusto, F.; Calderaro, G.; Brutto, A.; Tagarelli, G. Characterization of the 2017 summer heat waves and their effects on the population of an area of southern Italy. Int. J. Environ. Res. Public Health 2021, 18, 970. [Google Scholar] [CrossRef]
- Godfrey, R.; Julien, M. Urbanisation and Health. Clin. Med. J. R. Coll. Physicians Lond. 2005, 5, 137–141. [Google Scholar] [CrossRef]
- Mauree, D.; Naboni, E.; Coccolo, S.; Perera, A.T.D.; Nik, V.M.; Scartezzini, J.L. A Review of Assessment Methods for the Urban Environment and Its Energy Sustainability to Guarantee Climate Adaptation of Future Cities. Renew. Sustain. Energy Rev. 2019, 112, 733–746. [Google Scholar] [CrossRef]
- Richling, A.; Solon, J.; Macias, A.; Balon, J.; Borzyszkowski, J.; Kistowski, M. (Eds.) Regionalna Geografia Fizyczna Polski; Bogucki Wydawnictwo Naukowe: Poznań, Poland, 2021. [Google Scholar]
- Główny Urząd Statystyczny. Rocznik Statystyczny Rzeczypospolitej Polskiej; Główny Urząd Statystyczny: Ciechanow, Poland, 2023. [Google Scholar]
- Kottek, M.; Grieser, J.; Beck, C.; Rudolf, B.; Rubel, F. World map of the Koppen-Geiger climate classification updated. Meteorol. Z. 2006, 15, 259–263. [Google Scholar] [CrossRef] [PubMed]
- Tomczyk, A.M. Temperatura powietrza. In Atlas klimatu Polski (1991–2020); Tomczyk, A.M., Bednorz, E., Eds.; Bogucki Wydawnictwo Naukowe: Poznań, Poland, 2022. [Google Scholar]
- Rebetez, M.; Reinhard, M. Monthly air temperature trends in Switzerland 1901–2000 and 1975–2004. Theor. Appl. Climatol. 2008, 91, 27–34. [Google Scholar] [CrossRef]
- Dobrovolnỳ, P.; Brázdil, R.; Valášek, H.; Kotyza, O.; Macková, J.; Halíčková, M. A standard paleoclimatological approach to temperature reconstruction in historical climatology: An example from the Czech Republic, AD 1718–2007. Int. J. Climatol. 2009, 29, 1478–1492. [Google Scholar] [CrossRef]
- Leijonhufvud, L.; Wilson, R.; Moberg, A.; Söderberg, J.; Retsö, D.; Söderlind, U. Five centuries of Stockholm winter/spring temperatures reconstructed from documentary evidence and instrumental observations. Clim. Chang. 2010, 101, 109–141. [Google Scholar] [CrossRef]
- Mikkonen, S.; Laine, M.; Mäkelä, H.; Gregow, H.; Tuomenvirta, H.; Lahtinen, M.; Laaksonen, A. Trends in the average temperature in Finland, 1847–2013. Stoch. Environ. Res. Risk A 2015, 29, 1521–1529. [Google Scholar] [CrossRef]
- Pospieszyńska, A.; Przybylak, R. Air temperature changes in Toruń (central Poland) from 1871 to 2010. Theor. Appl. Climatol. 2019, 135, 707–724. [Google Scholar] [CrossRef]
- NOAA. Available online: https://www.ncei.noaa.gov/access/monitoring/climate-at-a-glance/global/time-series (accessed on 20 January 2024).
- Kolendowicz, L.; Czernecki, B.; Półrolniczak, M.; Taszarek, M.; Tomczyk, A.M.; Szyga-Pluta, K. Homogenization of air temperature and its long-term trends in Poznań (Poland) for the period 1848–2016. Theor. Appl. Climatol. 2019, 136, 1357–1370. [Google Scholar] [CrossRef]
- Bryś, K.; Bryś, T. Reconstruction of the 217-year (1791–2007) Wrocław air temperature and precipitation series. Bull. Geogr. Phys. Geogr. 2010, 3, 121–171. [Google Scholar] [CrossRef]
- Werner, R.; Valev, D.; Danov, D.; Guineva, V. Study of structural break points in global and hemispheric temperature series by piecewise regression. Adv. Space Res. 2015, 56, 2323–2334. [Google Scholar] [CrossRef]
- Markowicz, K.M.; Zawadzka-Manko, O.; Posyniak, M. A large reduction of direct aerosol cooling over Poland in the last decades. Int. J. Climatol. 2022, 42, 4129–4146. [Google Scholar] [CrossRef]
- Bednorz, E. Opady atmosferyczne. In Atlas Klimatu Polski (1991–2020); Tomczyk, A.M., Bednorz, E., Eds.; Bogucki Wydawnictwo Naukowe: Poznań, Poland, 2022. [Google Scholar]
- Bednorz, E. Pokrywa śnieżna. In Atlas Klimatu Polski (1991–2020); Tomczyk, A.M., Bednorz, E., Eds.; Bogucki Wydawnictwo Naukowe: Poznań, Poland, 2022. [Google Scholar]
- Fricke, A.C.; Pongrácz, B.R.; Unger, A.J. Comparison of Daily and Monthly Intra-urban Thermal Reactions Based on LCZ Classification Using Surface and Air Temperature Data. Geogr. Pannonica 2022, 26, 1–11. [Google Scholar] [CrossRef]
- World Meteorological Organization. Guide to Instruments and Methods of Observation; World Meteorological Organization—WMO: Geneva, Switzerland, 2018. [Google Scholar]
- Perkins, S.E.; Alexander, L.V. On the measurement of heat waves. J. Clim. 2013, 26, 4500–4517. [Google Scholar] [CrossRef]
- Kyselý, J. Temporal fluctuations in heat waves at Prague–Klementinum, the Czech Republic, from 1901–1997 and their relationships to atmospheric circulation. Int. J. Climatol. 2002, 22, 33–50. [Google Scholar] [CrossRef]
- Porębska, M.; Zdunek, M. Analysis of extreme temperature events in Central Europe related to high pressure blocking situations in 2001–2011. Meteorol. Z. 2013, 22, 533–540. [Google Scholar] [CrossRef] [PubMed]
- IPCC. Climate Change 2007 the Physical Science Basis. Contribution of Working Group I to the Fourth Assessment Report of the Intergovernmental Panel in Climate Change; Cambridge University Press: Cambridge, UK, 2007. [Google Scholar]
- Masterton, J.M.; Richardson, F.A. Humidex: A Method of Quantifying Human Discomfort Due to Excessive Heat and Humidity; Environment Canada, Atmospheric Environment: Gatineau, QC, Canada, 1979.
- Koźmiński, C.; Michalska, B. Bioclimatology Exercises; Wydawnictwo Naukowe Uniwersytetu Szczecińskiego: Szczecin, Poland, 2013. [Google Scholar]
- Błażejczyk, K.; Błażejczyk, M. BioKlima Ver.2.6; Polish Academy of Sciences: Warsaw, Poland, 2006. [Google Scholar]
- Diaconescu, E.; Sankare, H.; Chow, K.; Murdock, T.Q.; Cannon, A.J. A short note on the use of daily climate data to calculate Humidex heat-stress indices. Int. J. Climatol. 2023, 43, 837–849. [Google Scholar] [CrossRef]
- Beck, C.; Straub, A.; Breitner, S.; Cyrys, J.; Philipp, A.; Rathmann, J.; Jacobeit, J. Air temperature characteristics of local climate zones in the Augsburg urban area (Bavaria, southern Germany) under varying synoptic conditions. Urban Clim. 2018, 25, 152–166. [Google Scholar] [CrossRef]
- Oxoli, D.; Ronchetti, G.; Minghini, M.; Molinari, M.E.; Lotfian, M.; Sona, G.; Brovelli, M.A. Measuring urban land cover influence on air temperature through multiple Geo-Data—The case of Milan, Italy. ISPRS Int. J. Geo-Inf. 2018, 7, 421. [Google Scholar] [CrossRef]
- Stewart, I.D.; Oke, T.R.; Krayenhoff, E.S. Evaluation of the ‘local climate zone’scheme using temperature observations and model simulations. Int. J. Climatol. 2014, 34, 1062–1080. [Google Scholar] [CrossRef]
- Skarbit, N.; Gál, T.; Unger, J. Airborne surface temperature differences of the different Local Climate Zones in the urban area of a medium sized city. In Proceedings of the 2015 Joint Urban Remote Sensing Event (JURSE), Lausanne, Switzerland, 30 March–1 April 2015. [Google Scholar]
- Walawender, J. Application of LANDSAT satellite data and GIS techniques for estimation of thermal conditions in urban area (using an example of Krakow agglomeration). Pr. Geogr. 2009, 122, 81–98. [Google Scholar]
- Kuchcik, M.; Błażejczyk, K.; Milewski, P.; Szmyd, J. Urban climate research in Warsaw: The results of microclimatic network measurements. Geogr. Pol. 2014, 87, 491–504. [Google Scholar] [CrossRef]
- Mackey, C.W.; Lee, X.; Smith, R.B. Remotely Sensing the Cooling Effects of City Scale Efforts to Reduce Urban Heat Island. Build. Environ. 2012, 49, 348–358. [Google Scholar] [CrossRef]
- Norton, B.A.; Coutts, A.M.; Livesley, S.J.; Harris, R.J.; Hunter, A.M.; Williams, N.S.G. Planning for Cooler Cities: A Framework to Prioritise Green Infrastructure to Mitigate High Temperatures in Urban Landscapes. Landsc. Urban Plan. 2015, 134, 127–138. [Google Scholar] [CrossRef]
- Aram, F.; Higueras García, E.; Solgi, E.; Mansournia, S. Urban Green Space Cooling Effect in Cities. Heliyon 2019, 5, e01339. [Google Scholar] [CrossRef] [PubMed]
- Gago, E.J.; Roldan, J.; Pacheco-Torres, R.; Ordóñez, J. The City and Urban Heat Islands: A Review of Strategies to Mitigate Adverse Effects. Renew. Sustain. Energy Rev. 2013, 25, 749–758. [Google Scholar] [CrossRef]
- Ichim, P.; Sfîcă, L. The influence of urban climate on bioclimatic conditions in the city of Iași, Romania. Sustainability 2022, 12, 9652. [Google Scholar] [CrossRef]
- Ma, F.; Yuan, X.; Jiao, Y.; Ji, P. Unprecedented Europe Heat in June–July 2019: Risk in the Historical and Future Context. Geophys. Res. Lett. 2020, 47, L087809. [Google Scholar] [CrossRef]
- Matzarakis, A.; Muthers, S.; Graw, K. Thermische Belastung von Bewohnern in Städten bei Hitzewellen am Beispiel von Freiburg (Breisgau). Bundesgesundheitsbl. 2020, 63, 1004–1012. [Google Scholar] [CrossRef] [PubMed]
- Tomczyk, A.M. Bioclimatic Conditions of June 2019 in Poland on a Multi-Year Background (1966–2019). Atmosphere 2021, 12, 1117. [Google Scholar] [CrossRef]
- Krzyżewska, A.; Dyer, J. The August 2015 mega-heatwave in Poland in the context of past events. Weather 2018, 73, 207–214. [Google Scholar] [CrossRef]
- Tomczyk, A.M.; Bednorz, E. Heat waves in Central Europe and tropospheric anomalies of temperature and geopotential heights. Int. J. Climatol. 2019, 39, 4189–4205. [Google Scholar] [CrossRef]
- Tomczyk, A.M.; Bednorz, E.; Matzarakis, A. Human-biometeorological conditions during heat waves in Poland. Int. J. Climatol. 2020, 40, 5043–5055. [Google Scholar] [CrossRef]
- Tomczyk, A.M.; Matzarakis, A. Characteristic of bioclimatic conditions in Poland based on Physiologically Equivalent Temperature. Int. J. Biometeorol. 2023, 67, 1991–2009. [Google Scholar] [CrossRef] [PubMed]
- Shevchenko, O.; Snizhko, S.; Zapototskyi, S.; Matzarakis, A. Biometeorological Conditions during the August 2015 Mega-Heat Wave and the Summer 2010 Mega-Heat Wave in Ukraine. Atmosphere 2022, 13, 99. [Google Scholar] [CrossRef]
- Tomczyk, A.M.; Bednorz, E. Thermal stress during heat waves and cold spells in Poland. Weather Clim. Extremes 2023, 42, 100612. [Google Scholar] [CrossRef]
- Kuchcik, M. Mortality and thermal environment (UTCI) in Poland—Long-term, multi-city study. Int. J. Biometeorol. 2021, 65, 1529–1541. [Google Scholar] [CrossRef]






| HD [°C] | Levels of Thermo-Humidity Discomfort |
|---|---|
| 20.0–29.9 | Comfort |
| 30.0–39.9 | Slight discomfort |
| 40.0–45.9 | Great discomfort |
| 46.0–54.9 | Dangerous |
| ≥55.0 | Heat stroke imminent |
| Air Temperature | ||||||
|---|---|---|---|---|---|---|
| Location | Tmax | Lowest Average Tmax | Highest Average Tmax | |||
| Average [°C] | Changes [°C/Decade] | Value [°C] | Year | Value [°C] | Year | |
| Piekary | 25.2 | 1.0 | 24.0 | 2012 | 27.0 | 2019 |
| Collegium Minus | 25.4 | 1.7 * | 24.1 | 2009 | 27.4 | 2019 |
| Słoneczna | 23.9 | 1.2 * | 22.6 | 2017 | 25.9 | 2019 |
| Rusa | 24.9 | 1.5 * | 23.5 | 2012 | 26.9 | 2019 |
| Dębina | 24.5 | 1.3 * | 22.8 | 2012 | 26.5 | 2019 |
| Ławica | 24.3 | 1.6 * | 22.9 | 2012 | 26.6 | 2019 |
| Collegium Geographicum | 24.5 | 1.6 * | 23.1 | 2012 | 26.6 | 2019 |
| Strzeszyn | 24.6 | 0.9 | 23.1 | 2017 | 26.5 | 2019 |
| Świerczewo | 25.2 | 1.6* | 23.7 | 2009 | 27.2 | 2019 |
| Hot days | ||||||
| Location | Number of hot days | Lowest number of hot days | Highest number of hot days | |||
| Average | Changes [days/decade] | Value | Year | Value | Year | |
| Piekary | 13 | 3.8 | 4 | 2017 | 22 | 2015 |
| Collegium Minus | 15 | 6.7 | 4 | 2017 | 24 | 2019 |
| Słoneczna | 8 | 5.6 | 1 | 2011 | 19 | 2022 |
| Rusa | 12 | 3.6 | 4 | 2017 | 20 | 2015, 2018, 2022 |
| Dębina | 12 | 3.3 | 2 | 2017 | 21 | 2015 |
| Ławica | 9 | 5.8 | 1 | 2011 | 19 | 2022 |
| Collegium Geographicum | 11 | 5.6 | 2 | 2017 | 20 | 2015, 2022 |
| Strzeszyn | 11 | 2.7 | 3 | 2017 | 22 | 2015 |
| Świerczewo | 14 | 6.0 | 4 | 2017 | 24 | 2015 |
| Location | Heat Waves | Longest Heat Wave | ||
|---|---|---|---|---|
| Number | Total Duration [Days] | Duration | Date | |
| Piekary | 25 | 98 | 9 | 9–17.07.2010 |
| Collegium Minus | 26 | 115 | 9 | 9–17.07.2010 |
| Słoneczna | 14 | 55 | 8 | 10–17.07.2010 |
| Rusa | 23 | 91 | 9 | 9–17.07.2010 |
| Dębina | 23 | 90 | 9 | 9–17.07.2010 |
| Ławica | 15 | 61 | 9 | 9–17.07.2010 |
| Collegium Geographicum | 19 | 78 | 8 | 10–17.07.2010 |
| Strzeszyn | 20 | 83 | 9 | 9–17.07.2010 |
| Świerczewo | 27 | 108 | 9 | 9–17.07.2010 |
| Location | HD | Lowest Average HD | Highest Average HD | |||
|---|---|---|---|---|---|---|
| Average [°C] | Changes [°C/Decade] | Value [°C] | Year | Value [°C] | Year | |
| Piekary | 28.0 | 1.9 * | 25.4 | 2008 | 30.6 | 2019 |
| Collegium Minus | 27.9 | 2.2 * | 25.3 | 2008 | 31.3 | 2019 |
| Słoneczna | 27.0 | 2.1 * | 24.8 | 2008 | 29.8 | 2019 |
| Rusa | 27.6 | 3.0 * | 24.9 | 2008 | 30.5 | 2019 |
| Dębina | 27.6 | 2.4 * | 25.3 | 2008 | 30.4 | 2019 |
| Ławica | 25.3 | 1.5 * | 24.1 | 2008 | 27.5 | 2019 |
| Collegium Geographicum | 26.8 | 1.8 * | 25.1 | 2008 | 28.9 | 2019 |
| Strzeszyn | 27.9 | 2.5 * | 25.2 | 2008 | 30.6 | 2019 |
| Świerczewo | 27.7 | 2.1 * | 25.3 | 2008 | 30.2 | 2019 |
| Location | Average HD [°C] | Lowest Average HD | Highest Average HD | Highest HD | |||
|---|---|---|---|---|---|---|---|
| Value [°C] | Date | Value [°C] | Date | Value [°C] | Date | ||
| Piekary | 38.2 | 33.3 | 25–30.07.2008 | 41.7 | 6–8.08.2015 | 44.7 | 25.06.2016 |
| Collegium Minus | 38.0 | 32.5 | 25.07–1.08.2008 | 41.9 | 10–12.06.2019 | 46.0 | 26.06.2019 |
| Słoneczna | 38.0 | 32.5 | 25–28.07.2008 | 39.9 | 6–8.08.2015 | 42.2 | 21.07.2022 |
| Rusa | 38.3 | 33.5 | 25–28.07.2008 | 41.2 | 6–8.08.2015 | 43.5 | 8.08.2015 |
| Dębina | 38.8 | 33.8 | 25–29.07.2008 | 42.8 | 6–8.08.2015 | 45.2 | 25.06.2016 |
| Ławica | 34.8 | 31.8 | 25–28.07.2008 | 36.7 | 6–8.08.2015 | 38.7 | 8.08.2015 |
| Collegium Geographicum | 37.1 | 32.5 | 25–28.07.2008 | 39.8 | 6–8.08.2015 | 41.6 | 9.08.2018 |
| Strzeszyn | 38.7 | 33.2 | 25–29.07.2008 | 41.6 | 6–12.08.2015 | 45.3 | 12.08.2015 |
| Świerczewo | 37.7 | 33.5 | 25–28.07.2008 | 40.7 | 6–12.08.2015 | 43.9 | 25.06.2016 |
Disclaimer/Publisher’s Note: The statements, opinions and data contained in all publications are solely those of the individual author(s) and contributor(s) and not of MDPI and/or the editor(s). MDPI and/or the editor(s) disclaim responsibility for any injury to people or property resulting from any ideas, methods, instructions or products referred to in the content. |
© 2024 by the authors. Licensee MDPI, Basel, Switzerland. This article is an open access article distributed under the terms and conditions of the Creative Commons Attribution (CC BY) license (https://creativecommons.org/licenses/by/4.0/).
Share and Cite
Półrolniczak, M.; Tomczyk, A.M.; Bednorz, E. Biometeorological Conditions in Poznań, Poland: Insights from In Situ Summer Data. Atmosphere 2024, 15, 448. https://doi.org/10.3390/atmos15040448
Półrolniczak M, Tomczyk AM, Bednorz E. Biometeorological Conditions in Poznań, Poland: Insights from In Situ Summer Data. Atmosphere. 2024; 15(4):448. https://doi.org/10.3390/atmos15040448
Chicago/Turabian StylePółrolniczak, Marek, Arkadiusz Marek Tomczyk, and Ewa Bednorz. 2024. "Biometeorological Conditions in Poznań, Poland: Insights from In Situ Summer Data" Atmosphere 15, no. 4: 448. https://doi.org/10.3390/atmos15040448
APA StylePółrolniczak, M., Tomczyk, A. M., & Bednorz, E. (2024). Biometeorological Conditions in Poznań, Poland: Insights from In Situ Summer Data. Atmosphere, 15(4), 448. https://doi.org/10.3390/atmos15040448

