Size-Segregated Characteristics of Organic Carbon (OC) and Elemental Carbon (EC) in Marine Aerosol in the Northeastern South China Sea
Abstract
1. Introduction
2. Materials and Methods
2.1. Sample Collection
2.2. Sample Analysis
2.3. Method of Calculation
3. Results and Discussion
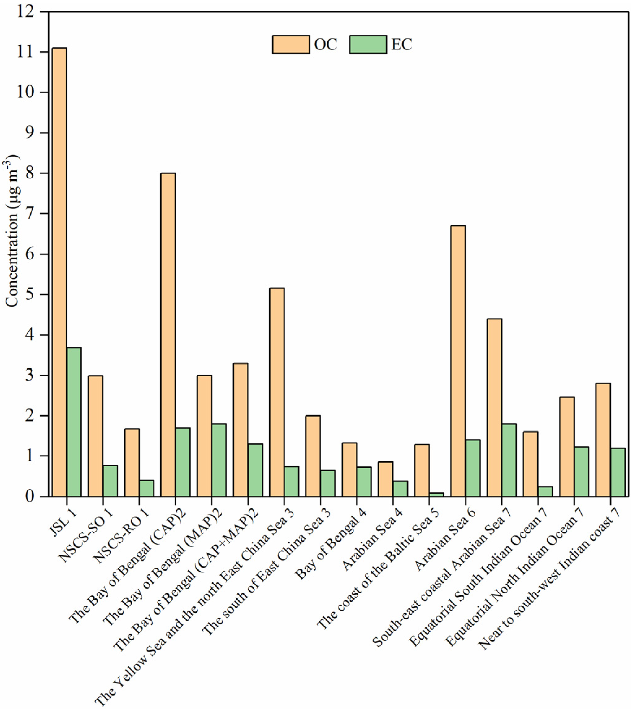
3.1. The Concentrations of OC and EC in PM10
3.2. Characteristics of OC and EC in Size-Segregated Particles
3.2.1. OC and EC Concentrations at Different Particle-Size Bins
3.2.2. OC and EC Mass Size Distribution
3.2.3. OC and EC Fragments in Size-Segregated Particles
3.3. The Relationship between OC and EC
4. Conclusions
Author Contributions
Funding
Institutional Review Board Statement
Informed Consent Statement
Data Availability Statement
Acknowledgments
Conflicts of Interest
References
- Poschl, U. Atmospheric aerosols: Composition, transformation, climate and health effects. Angew. Chem. Int. Ed. 2005, 44, 7520–7540. [Google Scholar] [CrossRef] [PubMed]
- Guo, Y. Characteristics of size-segregated carbonaceous aerosols in the Beijing-Tianjin-Hebei region. Environ. Sci. Pollut. Res. 2016, 23, 13918–13930. [Google Scholar] [CrossRef] [PubMed]
- Tao, J.; Zhang, L.; Cao, J.; Zhang, R. A review of current knowledge concerning PM2.5 chemical composition, aerosol optical properties and their relationships across China. Atmos. Chem. Phys. 2017, 17, 9485–9518. [Google Scholar] [CrossRef]
- Chung, S.H.; Seinfeld, J.H. Global distribution and climate forcing of carbonaceous aerosols. J. Geophys. Res. Atmos. 2002, 107, D19. [Google Scholar] [CrossRef]
- Zhao, P.; Dong, F.; Yang, Y.; He, D.; Zhao, X.; Zhang, W.; Yao, Q.; Liu, H. Characteristics of carbonaceous aerosol in the region of Beijing, Tianjin, and Hebei, China. Atmos. Environ. 2013, 71, 389–398. [Google Scholar] [CrossRef]
- Wang, L.; Zhou, X.; Ma, Y.; Cao, Z.; Wu, R.; Wang, W. Carbonaceous aerosols over China-review of observations, emissions, and climate forcing. Environ. Sci. Pollut. R. 2016, 23, 1671–1680. [Google Scholar] [CrossRef]
- Daellenbach, K.R.; Stefenelli, G.; Bozzetti, C.; Vlachou, A.; Fermo, P.; Gonzalez, R.; Piazzalunga, A.; Colombi, C.; Canonaco, F.; Hueglin, C.; et al. Long-term chemical analysis and organic aerosol source apportionment at nine sites in central Europe: Source identification and uncertainty assessment. Atmos. Chem. Phys. 2017, 17, 13265–13282. [Google Scholar] [CrossRef]
- Wang, H.; Zhang, L.; Yao, X.; Cheng, I.; Dabek-Zlotorzynska, E. Identification of decadal trends and associated causes for organic and elemental carbon in PM2.5 at Canadian urban sites. Environ. Int. 2022, 159, 107031. [Google Scholar] [CrossRef]
- Contini, D.; Vecchi, R.; Viana, M. Carbonaceous Aerosols in the Atmosphere. Atmosphere 2018, 9, 181. [Google Scholar] [CrossRef]
- Bhowmik, H.S.; Naresh, S.; Bhattu, D.; Rastogi, N.; Prevot, A.S.H.; Tripathi, S.N. Temporal and spatial variability of carbonaceous species (EC; OC; WSOC and SOA) in PM2.5 aerosol over five sites of Indo-Gangetic Plain. Atmos. Pollut. Res. 2021, 12, 375–390. [Google Scholar] [CrossRef]
- Ye, Z.; Li, Q.; Ma, S.; Zhou, Q.; Gu, Y.; Su, Y.; Chen, Y.; Chen, H.; Wang, J.; Ge, X. Summertime Day-Night Differences of PM2.5 Components (Inorganic Ions, OC, EC, WSOC, WSON, HULIS, and PAHs) in Changzhou, China. Atmosphere 2017, 8, 189. [Google Scholar] [CrossRef]
- Zhang, F.; Guo, H.; Chen, Y.; Matthias, V.; Zhang, Y.; Yang, X.; Chen, J. Size-segregated characteristics of organic carbon (OC), elemental carbon (EC) and organic matter in particulate matter (PM) emitted from different types of ships in China. Atmos. Chem. Phys. 2020, 20, 1549–1564. [Google Scholar] [CrossRef]
- Massabo, D.; Prati, P.; Canepa, E.; Bastianini, M.; Van Eijk, A.M.J.; Missamou, T.; Piazzola, J. Characterization of carbonaceous aerosols over the Northern Adriatic Sea in the JERICO-NEXT project framework. Atmos. Environ. 2020, 228, 117449. [Google Scholar] [CrossRef]
- Cesari, D.; Merico, E.; Dinoi, A.; Gambaro, A.; Morabito, E.; Gregoris, E.; Barbaro, E.; Feltracco, M.; Alebic-Juretic, A.; Odorcoc, D.; et al. An inter-comparison of size segregated carbonaceous aerosol collected by low-volume impactor in the port-cities of Venice (Italy) and Rijeka (Croatia). Atmos. Pollut. Res. 2020, 11, 1705–1714. [Google Scholar] [CrossRef]
- Bardouki, H.; Liakakou, H.; Economou, C.; Sciare, J.; Smolik, J.; Zdimal, V.; Eleftheriadis, K.; Lazaridis, M.; Dye, C.; Mihalopoulos, N. Chemical composition of size-resolved atmospheric aerosols in the eastern Mediterranean during summer and winter. Atmos. Environ. 2003, 37, 195–208. [Google Scholar] [CrossRef]
- Li, S.; Zhu, M.; Yang, W.; Tang, M.; Huang, X.; Yu, Y.; Fang, H.; Yu, X.; Yu, Q.; Fu, X.; et al. Filter-based measurement of light absorption by brown carbon in PM2.5 in a megacity in South China. Sci. Total. Environ. 2018, 633, 1360–1369. [Google Scholar] [CrossRef] [PubMed]
- Wang, F.; Feng, T.; Guo, Z.; Li, Y.; Lin, T.; Rose, N.L. Sources and dry deposition of carbonaceous aerosols over the coastal East China Sea: Implications for anthropogenic pollutant pathways and deposition. Environ. Pollut. 2019, 245, 771–779. [Google Scholar] [CrossRef]
- Eleftheriadis, K.; Colbeck, I.; Housiadas, C.; Lazaridis, M.; Mihalopoulos, N.; Mitsakou, C.; Smolík, J.; Ždímal, V. Size distribution, composition and origin of the submicron aerosol in the marine boundary layer during the eastern Mediterranean “SUB-AERO” experiment. Atmos. Environ. 2006, 40, 6245–6260. [Google Scholar] [CrossRef]
- Piazzola, J.; Sellegri, K.; Bourcier, L.; Mallet, M.; Tedeschi, G.; Missamou, T. Physicochemical characteristics of aerosols measured in the spring time in the Mediterranean coastal zone. Atmos. Environ. 2012, 54, 545–556. [Google Scholar] [CrossRef]
- Bougiatioti, A.; Zarmpas, P.; Koulouri, E.; Antoniou, M.; Theodosi, C.; Kouvarakis, G.; Saarikoski, G.; Makela, T.; Hillamo, R.; Mihalopoulos, N. Organic, elemental and water-soluble organic carbon in size segregated aerosols, in the marine boundary layer of the Eastern Mediterranean. Atmos. Environ. 2013, 64, 251–262. [Google Scholar]
- Parent, P.; Laffon, C.; Trillaud, V.; Grauby, O.; Ferry, D.; Limoges, A.; Missamou, T.; Piazzola, J. Physicochemical Characterization of Aerosols in the Coastal Zone: Evidence of Persistent Carbon Soot in the Marine Atmospheric Boundary Layer (MABL) Background. Atmosphere 2023, 14, 291. [Google Scholar] [CrossRef]
- Sun, H.; Sun, J.; Zhu, C.; Yu, L.; Lou, Y.; Li, R.; Lin, Z. Chemical characterizations and sources of PM2.5 over the offshore Eastern China sea: Water soluble ions, stable isotopic compositions, and metal elements. Atmos. Pollut. Res. 2022, 13, 101410. [Google Scholar] [CrossRef]
- Song, S.-K.; Shon, Z.-H.; Bae, M.-S.; Cho, S.-B.; Moon, S.-H.; Kim, H.-S.; Son, Y.B.; Lee, C. Effects of natural and anthropogenic emissions on the composition and toxicity of aerosols in the marine atmosphere. Sci. Total. Environ. 2022, 806, 150928. [Google Scholar] [CrossRef] [PubMed]
- Song, J.; Zhao, Y.; Zhang, Y.; Fu, P.; Zheng, L.; Yuan, Q.; Wang, S.; Huang, X.; Xu, W.; Cao, Z.; et al. Influence of biomass burning on atmospheric aerosols over the western South China Sea: Insights from ions, carbonaceous fractions and stable carbon isotope ratios. Environ. Pollut. 2018, 242, 1800–1809. [Google Scholar] [CrossRef]
- Chang, C.-C.; Yuan, C.; Li, T.-C.; Su, Y.-L.; Tong, C.; Wu, S.-P. Chemical characteristics, source apportionment, and regional transport of marine fine particles toward offshore islands near the coastline of northwestern Taiwan Strait. Environ. Sci. Pollut. R. 2018, 25, 32332–32345. [Google Scholar] [CrossRef] [PubMed]
- Chen, L.W.A.; Chow, J.C.; Wang, X.L.; Robles, J.A.; Sumlin, B.J.; Lowenthal, D.H.; Zimmermann, R.; Watson, J.G. Multi-wavelength optical measurement to enhance thermal/optical analysis for carbonaceous aerosol. Atmos. Meas. Tech. 2015, 8, 451–461. [Google Scholar] [CrossRef]
- Turpin, B.J.; Huntzicker, J.J. Identification of secondary organic aerosol episodes and quantitation of primary and secondary organic aerosol concentrations during SCAQS. Atmos. Environ. 1995, 29, 3527–3544. [Google Scholar] [CrossRef]
- Castro, L.M.; Pio, C.A.; Harrison, R.M.; Smith, D.J.T. Carbonaceous aerosol in urban and rural European atmospheres: Estimation of secondary organic carbon concentrations. Atmos. Environ. 1999, 33, 2771–2781. [Google Scholar] [CrossRef]
- Tao, J.; Shen, Z.; Zhu, C.; Yue, J.; Cao, J.; Liu, S.; Zhu, L.; Zhang, R. Seasonal variations and chemical characteristics of sub-micrometer particles (PM1) in Guangzhou, China. Atmos. Res. 2012, 118, 222–231. [Google Scholar] [CrossRef]
- Nayak, G.; Kumar, A.; Bikkina, S.; Tiwari, S.; Sheteye, S.S.; Sudheer, A.K. Carbonaceous aerosols and their light absorption properties over the Bay of Bengal during continental outflow. Environ. Sci. Proc. Imp. 2022, 24, 72–88. [Google Scholar] [CrossRef]
- Yu, H.; Guo, T.; Wu, Z.; Lin, T.; Hu, L.; Guo, Z. Distribution and gas-particle partitioning of polycyclic aromatic hydrocarbons over the East China Sea and Yellow Sea in spring: Role of atmospheric transport transition. Sci. Total. Environ. 2021, 762, 143071. [Google Scholar] [CrossRef] [PubMed]
- Budhavant, K.; Bikkina, S.; Andersson, A.; Asmi, E.; Backman, J.; Kesti, J.; Zahid, H.; Satheesh, S.K.; Gustafsson, O. Anthropogenic fine aerosols dominate the wintertime regime over the northern Indian Ocean. Tellus B 2018, 70, 1–15. [Google Scholar] [CrossRef]
- Milukaite, A.; Kvietkus, K.; Rimselyte, I. Organic and elemental carbon in coastal aerosol of the Baltic Sea. Lith. J. Phys. 2007, 47, 203–210. [Google Scholar] [CrossRef]
- Bikkina, P.; Sarma, V.V.S.S.; Kawamura, K.; Bikkina, S.; Kunwar, B.; Sherin, C.K. Chemical characterization of wintertime aerosols over the Arabian Sea: Impact of marine sources and long-range transport. Atmos. Environ. 2020, 239, 11774. [Google Scholar] [CrossRef]
- Aswini, A.R.; Hegde, P.; Aryasree, S.; Girach, I.A.; Nair, P.R. Continental outflow of anthropogenic aerosols over Arabian Sea and Indian Ocean during wintertime: ICARB-2018 campaign. Sci. Total. Environ. 2020, 712, 135214. [Google Scholar] [CrossRef]
- Yu, X.; Yu, Q.; Zhu, M.; Tang, M.; Li, S.; Yang, W.; Zhang, Y.; Deng, W.; Li, G.; Yu, Y.; et al. Water soluble organic nitrogen (WSON) in ambient fine particles over a megacity in south China: Spatiotemporal variations and source apportionment. J. Geophys. Res. Atmos. 2017, 122, 13045–13060. [Google Scholar] [CrossRef]
- Huang, J.; Zhang, Z.; Tao, J.; Zhang, L.; Nie, F.; Fei, L. Source apportionment of carbonaceous aerosols using hourly data and implications for reducing PM2.5 in the Pearl River Delta region of South China. Environ. Res. 2022, 210, 112960. [Google Scholar] [CrossRef]
- Zhang, J.; Yang, L.; Mellouki, A.; Wen, L.; Yang, Y.; Gao, Y.; Jiang, P.; Li, Y.; Wang, W. Chemical characteristics and influence of continental outflow on PM1.0, PM2.5 and PM10 measured at Tuoji island in the Bohai Sea. Sci. Total. Environ. 2016, 573, 699–706. [Google Scholar] [CrossRef]
- Zhang, G.; Bi, X.; Chan, L.Y.; Wang, X.; Sheng, G.; Fu, J. Size-segregated chemical characteristics of aerosol during haze in an urban area of the Pearl River Delta region, China. Urban Clim. 2013, 4, 74–84. [Google Scholar] [CrossRef]
- Boreddy, S.K.R.; Hegde, P.; Aswini, A.R.; Aryasree, S. Chemical Characteristics, Size Distributions, Molecular Composition, and Brown Carbon in South Asian Outflow to the Indian Ocean. Earth Space Sci. 2021, 8, e2020EA001615. [Google Scholar]
- Kompalli, S.K.; Babu, S.N.S.; Satheesh, S.K.; Moorthy, K.K.; Das, T.; Boopathy, R.; Liu, D.; Darbyshire, E.; Allan, J.D.; Brooks, J.; et al. Seasonal contrast in size distributions and mixing state of black carbon and its association with PM1.0 chemical composition from the eastern coast of India. Atmos. Chem. Phys. 2020, 20, 3965–3985. [Google Scholar] [CrossRef]
- Bi, X.; Sheng, G.; Peng, P.; Chen, Y.; Fu, J. Size distribution of n-alkanes and polycyclic aromatic hydrocarbons (PAHs) in urban and rural atmospheres of Guangzhou, China. Atmos. Environ. 2005, 39, 477–487. [Google Scholar] [CrossRef]
- Kavouras, I.G.; Stephanou, E.G. Particle size distribution of organic primary and secondary aerosol constituents in urban, background marine, and forest atmosphere. J. Geophys. Res. Atmos. 2002, 107, AAC 7-1–AAC 7-12. [Google Scholar] [CrossRef]
- Han, Y.; Chen, Y.; Ahmad, S.; Feng, Y.; Zhang, F.; Song, W.; Cao, F.; Zhang, Y.; Yang, X.; Li, J.; et al. High time- and size-resolved measurements of PM and chemical composition from coal combustion: Implications for the EC formation process. Environ. Sci. Technol. 2018, 52, 6676–6685. [Google Scholar] [CrossRef]
- Li, A.; Wen, T.; Hua, W.; Yang, Y.; Meng, Z.; Hu, B.; Xin, J. Characterization and size distribution of carbonaceous aerosols at mountain dinghu. Huanjing Kexue 2020, 41, 3908–3917. [Google Scholar]
- He, Q.; Guo, W.; Zhang, G.; Yan, Y.; Chen, L. Characteristics and Seasonal Variations of Carbonaceous Species in PM2.5 in Taiyuan, China. Atmosphere 2015, 6, 850–862. [Google Scholar] [CrossRef]






| Particle Size (μm) | JSL | NSCS-SO | NSCS-RO | |
|---|---|---|---|---|
| Mean ± SD | Mean ± SD | Mean ± SD | ||
| OC | PM3.0 | 10.1 ± 0.63 | 2.67 ± 1.27 | 1.41 ± 0.50 |
| PM3.0–10 | 0.94 ± 0.57 | 0.31 ± 0.09 | 0.27 ± 0.11 | |
| PM10 | 11.1 ± 0.79 | 2.99 ± 1.34 | 1.68 ± 0.56 | |
| EC | PM3.0 | 3.44 ± 0.82 | 0.72 ± 0.36 | 0.40 ± 0.28 |
| PM3.0–10 | 0.25 ± 0.15 | 0.04 ± 0.08 | 0.005 ± 0.010 | |
| PM10 | 3.69 ± 0.89 | 0.77 ± 0.40 | 0.40 ± 0.29 | |
| OC/EC | <0.49 | 2.51 ± 1.46 | 2.72 ± 1.16 | 2.40 ± 0.10 |
| 0.49–0.95 | 6.14 ± 5.19 | 4.91 ± 2.72 | 3.17 ± 1.44 | |
| 0.95–1.5 | 3.53 ± 1.23 | 4.99 ± 3.46 | 2.83 ± 1.32 |
| Site | Fine (PM3.0) | Coarse (PM3.0–10) | Total (PM10) | ||||
|---|---|---|---|---|---|---|---|
| Mean | SD | Mean | SD | Mean | SD | ||
| OC | JSL | 0.53 | 0.25 | 5.62 | 0.08 | 0.59 | 0.30 |
| NSCS-SO | 0.65 | 0.15 | 5.58 | 0.35 | 0.72 | 0.15 | |
| NSCS-RO | 0.59 | 0.16 | 5.93 | 0.20 | 0.73 | 0.12 | |
| EC | JSL | 0.37 | 0.03 | 5.57 | 0.03 | 0.40 | 0.05 |
| NSCS-SO | 0.72 | 0.17 | 4.40 | 1.21 | 0.70 | 0.18 | |
| NSCS-RO | 0.65 | 0.22 | 3.53 | 1.05 | 0.65 | 0.21 | |
| Sampling Sites | Particle Size (μm) | (OC/EC) min | SOC | SOC/OC (%) |
|---|---|---|---|---|
| (μg m−3) | ||||
| JSL | <0.49 | 2.2 | 3.26± 3.28 | 47.6 ± 41.4 |
| 0.49–0.95 | 1.7 | 1.73 ± 1.59 | 50.2 ± 44.7 | |
| 0.95–1.5 | 0.9 | 0.43 ± 0.40 | 30.7 ± 27.3 | |
| PM1.5 | - | 5.42 ± 1.35 | 58.4 ± 9.72 | |
| NSCS-SO | <0.49 | 1.9 | 0.36 ± 0.45 | 25.8 ± 27.7 |
| 0.49–0.95 | 1.8 | 0.65 ± 0.62 | 49.9 ± 33.1 | |
| 0.95–1.5 | 1.8 | 0.21 ± 0.21 | 45.1 ± 35.8 | |
| PM1.5 | - | 1.08 ± 1.02 | 35.7 ± 25.4 | |
| NSCS-RO | <0.49 | 1.4 | 0.18 ± 0.02 | 24.8± 3.26 |
| 0.49–0.95 | 1.7 | 0.19 ± 0.24 | 59.8 ± 34.5 | |
| 0.95–1.5 | 1.8 | 0.12 ± 0.14 | 59.1 ± 34.6 | |
| PM1.5 | - | 0.50 ± 0.07 | 33.7 ± 6.57 |
Disclaimer/Publisher’s Note: The statements, opinions and data contained in all publications are solely those of the individual author(s) and contributor(s) and not of MDPI and/or the editor(s). MDPI and/or the editor(s) disclaim responsibility for any injury to people or property resulting from any ideas, methods, instructions or products referred to in the content. |
© 2023 by the authors. Licensee MDPI, Basel, Switzerland. This article is an open access article distributed under the terms and conditions of the Creative Commons Attribution (CC BY) license (https://creativecommons.org/licenses/by/4.0/).
Share and Cite
Liu, F.; Peng, L.; Dai, S.; Bi, X.; Shi, M. Size-Segregated Characteristics of Organic Carbon (OC) and Elemental Carbon (EC) in Marine Aerosol in the Northeastern South China Sea. Atmosphere 2023, 14, 661. https://doi.org/10.3390/atmos14040661
Liu F, Peng L, Dai S, Bi X, Shi M. Size-Segregated Characteristics of Organic Carbon (OC) and Elemental Carbon (EC) in Marine Aerosol in the Northeastern South China Sea. Atmosphere. 2023; 14(4):661. https://doi.org/10.3390/atmos14040661
Chicago/Turabian StyleLiu, Fengxian, Long Peng, Shouhui Dai, Xinhui Bi, and Meixian Shi. 2023. "Size-Segregated Characteristics of Organic Carbon (OC) and Elemental Carbon (EC) in Marine Aerosol in the Northeastern South China Sea" Atmosphere 14, no. 4: 661. https://doi.org/10.3390/atmos14040661
APA StyleLiu, F., Peng, L., Dai, S., Bi, X., & Shi, M. (2023). Size-Segregated Characteristics of Organic Carbon (OC) and Elemental Carbon (EC) in Marine Aerosol in the Northeastern South China Sea. Atmosphere, 14(4), 661. https://doi.org/10.3390/atmos14040661
