The Classification of Reflectance Anisotropy and Its Application in Albedo Retrieval
Abstract
:1. Introduction
2. Materials and Methods
2.1. Kernel-Driven BRDF Model
2.2. MODIS Database
2.3. The Classification of Reflectance Anisotropy
2.3.1. AFX and PAFX
2.3.2. Classification Strategy and Evaluate
2.4. The Effect of Reflectance Anisotropy and Observation Noise on Albedo Retrieval
2.4.1. WSA Retrieval from BRDF Archetype
2.4.2. Effect of Reflectance Anisotropy and Observation Noise
3. Results
3.1. BRDF Archetype Database Based on AFX/PAFX
3.2. The Effect of Reflectance Anisotropy on Albedo Retrieval
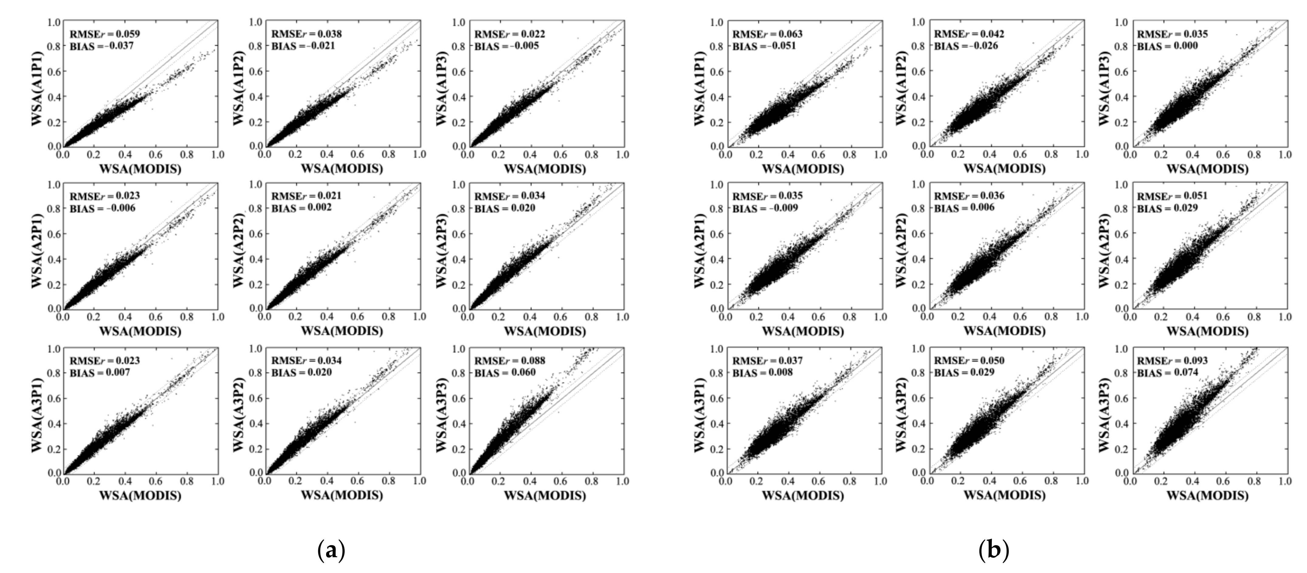
3.2.1. Albedo Retrieval from a Specific BRDF Archetype and Multi-Angular Reflectance
3.2.2. Albedo Retrieval from a Specific BRDF Archetype and a Single Directional Reflectance
3.3. The Application of the Archetype in MODIS Reflectance
4. Discussion
5. Conclusions
Author Contributions
Funding
Institutional Review Board Statement
Informed Consent Statement
Data Availability Statement
Acknowledgments
Conflicts of Interest
References
- Dickinson, R.E. Land Surface Processes and Climate—Surface Albedos and Energy Balance. In Advances in Geophysics; Elsevier: Amsterdam, The Netherlands, 1983; Volume 25, pp. 305–353. ISBN 978-0-12-018825-3. [Google Scholar]
- Dickinson, R.E. Land Processes in Climate Models. Remote Sens. Environ. 1995, 51, 27–38. [Google Scholar] [CrossRef]
- Schaaf, C.B.; Gao, F.; Strahler, A.H.; Lucht, W.; Li, X.; Tsang, T.; Strugnell, N.C.; Zhang, X.; Jin, Y.; Muller, J.-P.; et al. First Operational BRDF, Albedo Nadir Reflectance Products from MODIS. Remote Sens. Environ. 2002, 83, 135–148. [Google Scholar] [CrossRef] [Green Version]
- Nagol, J.R.; Sexton, J.O.; Kim, D.-H.; Anand, A.; Morton, D.; Vermote, E.; Townshend, J.R. Bidirectional Effects in Landsat Reflectance Estimates: Is There a Problem to Solve? ISPRS J. Photogramm. Remote Sens. 2015, 103, 129–135. [Google Scholar] [CrossRef]
- Nicodemus, F.E.; Richmond, J.C.; Hsia, J.J.; Ginsberg, I.W.; Limperis, T. Geometrical Considerations and Nomenclature for Reflectance; National Bureau of Standards: Gaithersburg, MD, USA, 1977; p. NBS MONO 160. [Google Scholar]
- Vermote, E.; Justice, C.O.; Breon, F.-M. Towards a Generalized Approach for Correction of the BRDF Effect in MODIS Directional Reflectances. IEEE Trans. Geosci. Remote Sens. 2009, 47, 898–908. [Google Scholar] [CrossRef]
- Jin, Y. Consistency of MODIS Surface Bidirectional Reflectance Distribution Function and Albedo Retrievals: 2. Validation. J. Geophys. Res. 2003, 108, 4159. [Google Scholar] [CrossRef] [Green Version]
- Bacour, C.; Bréon, F.-M. Variability of Biome Reflectance Directional Signatures as Seen by POLDER. Remote Sens. Environ. 2005, 98, 80–95. [Google Scholar] [CrossRef]
- Hautecœur, O.; Leroy, M.M. Surface Bidirectional Reflectance Distribution Function Observed at Global Scale by POLDER/ADEOS. Geophys. Res. Lett. 1998, 25, 4197–4200. [Google Scholar] [CrossRef] [Green Version]
- Shuai, Y.; Masek, J.G.; Gao, F.; Schaaf, C.B. An Algorithm for the Retrieval of 30-m Snow-Free Albedo from Landsat Surface Reflectance and MODIS BRDF. Remote Sens. Environ. 2011, 115, 2204–2216. [Google Scholar] [CrossRef]
- Jiao, Z.; Dong, Y.; Schaaf, C.B.; Chen, J.M.; Román, M.; Wang, Z.; Zhang, H.; Ding, A.; Erb, A.; Hill, M.J.; et al. An Algorithm for the Retrieval of the Clumping Index (CI) from the MODIS BRDF Product Using an Adjusted Version of the Kernel-Driven BRDF Model. Remote Sens. Environ. 2018, 209, 594–611. [Google Scholar] [CrossRef]
- Oleson, K.; Bonan, G.; Schaaf, C.; Jin, Y.; Strahler, A. Assessment of Global Climate Model Land Surface Albedo Using MODIS Data. Geophys. Res. Lett. 2003, 30. [Google Scholar] [CrossRef]
- Wang, Z.; Schaaf, C.B.; Strahler, A.H.; Chopping, M.J.; Román, M.O.; Shuai, Y.; Woodcock, C.E.; Hollinger, D.Y.; Fitzjarrald, D.R. Evaluation of MODIS Albedo Product (MCD43A) over Grassland, Agriculture and Forest Surface Types during Dormant and Snow-Covered Periods. Remote Sens. Environ. 2014, 140, 60–77. [Google Scholar] [CrossRef] [Green Version]
- Li, X.; Gao, F.; Wang, J.; Strahler, A. A Priori Knowledge Accumulation and Its Application to Linear BRDF Model Inversion. J. Geophys. Res. 2001, 106, 11925–11935. [Google Scholar] [CrossRef]
- Franch, B.; Vermote, E.F.; Claverie, M. Intercomparison of Landsat Albedo Retrieval Techniques and Evaluation against in Situ Measurements across the US SURFRAD Network. Remote Sens. Environ. 2014, 152, 627–637. [Google Scholar] [CrossRef]
- Roujean, J.-L.; Leon-Tavares, J.; Smets, B.; Claes, P.; Camacho De Coca, F.; Sanchez-Zapero, J. Surface Albedo and Toc-r 300 m Products from PROBA-V Instrument in the Framework of Copernicus Global Land Service. Remote Sens. Environ. 2018, 215, 57–73. [Google Scholar] [CrossRef]
- Roy, D.P.; Zhang, H.K.; Ju, J.; Gomez-Dans, J.L.; Lewis, P.E.; Schaaf, C.B.; Sun, Q.; Li, J.; Huang, H.; Kovalskyy, V. A General Method to Normalize Landsat Reflectance Data to Nadir BRDF Adjusted Reflectance. Remote Sens. Environ. 2016, 176, 255–271. [Google Scholar] [CrossRef] [Green Version]
- Strugnell, N.C.; Lucht, W. An Algorithm to Infer Continental-Scale Albedo from AVHRR Data, Land Cover Class, and Field Observations of Typical BRDFs. J. Clim. 2001, 14, 1360–1376. [Google Scholar] [CrossRef]
- Li, Z.; Erb, A.; Sun, Q.; Liu, Y.; Shuai, Y.; Wang, Z.; Boucher, P.; Schaaf, C. Preliminary Assessment of 20-m Surface Albedo Retrievals from Sentinel-2A Surface Reflectance and MODIS/VIIRS Surface Anisotropy Measures. Remote Sens. Environ. 2018, 217, 352–365. [Google Scholar] [CrossRef]
- He, T.; Liang, S.; Wang, D.; Cao, Y.; Gao, F.; Yu, Y.; Feng, M. Evaluating Land Surface Albedo Estimation from Landsat MSS, TM, ETM+, and OLI Data Based on the Unified Direct Estimation Approach. Remote Sens. Environ. 2018, 204, 181–196. [Google Scholar] [CrossRef]
- Zhang, X.; Jiao, Z.; Dong, Y.; He, T.; Ding, A.; Yin, S.; Zhang, H.; Cui, L.; Chang, Y.; Guo, J.; et al. Development of the Direct-Estimation Albedo Algorithm for Snow-Free Landsat TM Albedo Retrievals Using Field Flux Measurements. IEEE Trans. Geosci. Remote Sens. 2020, 58, 1550–1567. [Google Scholar] [CrossRef]
- Roy, D.P.; Li, J.; Zhang, H.K.; Yan, L.; Huang, H.; Li, Z. Examination of Sentinel-2A Multi-Spectral Instrument (MSI) Reflectance Anisotropy and the Suitability of a General Method to Normalize MSI Reflectance to Nadir BRDF Adjusted Reflectance. Remote Sens. Environ. 2017, 199, 25–38. [Google Scholar] [CrossRef]
- Roy, D.; Li, Z.; Zhang, H. Adjustment of Sentinel-2 Multi-Spectral Instrument (MSI) Red-Edge Band Reflectance to Nadir BRDF Adjusted Reflectance (NBAR) and Quantification of Red-Edge Band BRDF Effects. Remote Sens. 2017, 9, 1325. [Google Scholar] [CrossRef] [Green Version]
- Jiao, Z.; Hill, M.J.; Schaaf, C.B.; Zhang, H.; Wang, Z.; Li, X. An Anisotropic Flat Index (AFX) to Derive BRDF Archetypes from MODIS. Remote Sens. Environ. 2014, 141, 168–187. [Google Scholar] [CrossRef]
- Zhang, H.; Jiao, Z.; Chen, L.; Dong, Y.; Zhang, X.; Lian, Y.; Qian, D.; Cui, T. Quantifying the Reflectance Anisotropy Effect on Albedo Retrieval from Remotely Sensed Observations Using Archetypal BRDFs. Remote Sens. 2018, 10, 1628. [Google Scholar] [CrossRef] [Green Version]
- Lucht, W.; Schaaf, C.B.; Strahler, A.H. An Algorithm for the Retrieval of Albedo from Space Using Semiempirical BRDF Models. IEEE Trans. Geosci. Remote Sens. 2000, 38, 977–998. [Google Scholar] [CrossRef] [Green Version]
- Roujean, J.-L.; Tanré, D.; Bréon, F.-M.; Deuzé, J.-L. Retrieval of Land Surface Parameters from Airborne POLDER Bidirectional Reflectance Distribution Function during HAPEX-Sahel. J. Geophys. Res. 1997, 102, 11201–11218. [Google Scholar] [CrossRef]
- Wanner, W.; Li, X.; Strahler, A.H. On the Derivation of Kernels for Kernel-Driven Models of Bidirectional Reflectance. J. Geophys. Res. 1995, 100, 21077. [Google Scholar] [CrossRef]
- Ross, J.K. The Radiation Regime and Architecture of Plant Stands; Dr. W. Junk: Norwell, MA, USA, 1981; ISBN 0167-9406. [Google Scholar]
- Li, X.; Strahler, A.H. Geometric-Optical Bidirectional Reflectance Modeling of the Discrete Crown Vegetation Canopy: Effect of Crown Shape and Mutual Shadowing. IEEE Trans. Geosci. Remote Sens. 1992, 30, 276–292. [Google Scholar] [CrossRef]
- Liang, S.; Fang, H.; Chen, M.; Shuey, C.J.; Walthall, C.; Daughtry, C.; Morisette, J.; Schaaf, C.; Strahler, A. Validating MODIS Land Surface Reflectance and Albedo Products: Methods and Preliminary Results. Remote Sens. Environ. 2002, 83, 149–162. [Google Scholar] [CrossRef]
- Wanner, W.; Strahler, A.H.; Hu, B.; Lewis, P.; Muller, J.-P.; Li, X.; Schaaf, C.L.B.; Barnsley, M.J. Global Retrieval of Bidirectional Reflectance and Albedo over Land from EOS MODIS and MISR Data: Theory and Algorithm. J. Geophys. Res. 1997, 102, 17143–17161. [Google Scholar] [CrossRef] [Green Version]
- Cui, Y.; Mitomi, Y.; Takamura, T. An Empirical Anisotropy Correction Model for Estimating Land Surface Albedo for Radiation Budget Studies. Remote Sens. Environ. 2009, 113, 24–39. [Google Scholar] [CrossRef]
- Zhang, H.; Jiao, Z.; Dong, Y.; Li, X. Evaluation of BRDF Archetypes for Representing Surface Reflectance Anisotropy Using MODIS BRDF Data. Remote Sens. 2015, 7, 7826–7845. [Google Scholar] [CrossRef] [Green Version]
















| Band | AFX Class | AFX Ranges | PAFX Class | PAFX Range |
|---|---|---|---|---|
| Red | A1 | [0.350, 0.782] | P1 | [0.000, 1.664] |
| A2 | [0.782, 0.985] | P2 | [1.664, 5.474] | |
| A3 | [0.985, 2.090] | P3 | [5.474, 15.37] | |
| NIR | A1 | [0.336, 0.842] | P1 | [0.000, 1.736] |
| A2 | [0.842, 1.003] | P2 | [1.736, 5.593] | |
| A3 | [1.003, 1.378] | P3 | [2.769, 13.57] |
| Band | Class No. | [Fvol, Fgeo] | Class No. | [Fvol, Fgeo] | Class No. | [Fvol, Fgeo] |
|---|---|---|---|---|---|---|
| Red | A1P1 | [0.0242, 0.1327] | A1P2 | [0.1811, 0.1341] | A1P3 | [0.4395, 0.1644] |
| A2P1 | [0.0315, 0.0433] | A2P2 | [0.2231, 0.0760] | A2P3 | [0.4649, 0.0985] | |
| A3P1 | [0.0528, 0.0024] | A3P2 | [0.2153, 0.0103] | A3P3 | [0.6851, 0.0243] | |
| NIR | A1P1 | [0.0549, 0.1063] | A1P2 | [0.1981, 0.1100] | A1P3 | [0.4244, 0.1355] |
| A2P1 | [0.0551, 0.0309] | A2P2 | [0.2450, 0.0642] | A2P3 | [0.4317, 0.0806] | |
| A3P1 | [0.0764, 0.0020] | A3P2 | [0.2556, 0.0163] | A3P3 | [0.5736, 0.0271] |
Publisher’s Note: MDPI stays neutral with regard to jurisdictional claims in published maps and institutional affiliations. |
© 2022 by the authors. Licensee MDPI, Basel, Switzerland. This article is an open access article distributed under the terms and conditions of the Creative Commons Attribution (CC BY) license (https://creativecommons.org/licenses/by/4.0/).
Share and Cite
Zhao, M.; Zhang, H.; Chen, C.; Wang, C.; Liu, Y.; Li, J.; Cui, T. The Classification of Reflectance Anisotropy and Its Application in Albedo Retrieval. Atmosphere 2022, 13, 1182. https://doi.org/10.3390/atmos13081182
Zhao M, Zhang H, Chen C, Wang C, Liu Y, Li J, Cui T. The Classification of Reflectance Anisotropy and Its Application in Albedo Retrieval. Atmosphere. 2022; 13(8):1182. https://doi.org/10.3390/atmos13081182
Chicago/Turabian StyleZhao, Mengzhuo, Hu Zhang, Cancan Chen, Chenxia Wang, Yan Liu, Juan Li, and Tiejun Cui. 2022. "The Classification of Reflectance Anisotropy and Its Application in Albedo Retrieval" Atmosphere 13, no. 8: 1182. https://doi.org/10.3390/atmos13081182
APA StyleZhao, M., Zhang, H., Chen, C., Wang, C., Liu, Y., Li, J., & Cui, T. (2022). The Classification of Reflectance Anisotropy and Its Application in Albedo Retrieval. Atmosphere, 13(8), 1182. https://doi.org/10.3390/atmos13081182

