A Climatological and Synoptic Analysis of Winter Cold Spells over the Balkan Peninsula
Abstract
1. Introduction
2. Data and Methodology
2.1. Study Area
2.2. Data
2.3. Definition of Winter Cold Spells
2.4. Characteristics of Winter Cold Spells
- Duration: the number of days between the beginning and the end of the WCSP.
- Intensity: the average anomaly of the minimum temperature during the WCSP.
- Frequency: the percentage of occurrence of WCSP during our long period.
- Seriousness: a measure that incorporates the intensity and persistence (duration) of the event, as well as their effects on both human society (public health, socio-economic impact) and the natural environment.
2.5. Characteristics of Atmospheric Circulation Types
3. Results
3.1. Climatology
3.1.1. Extreme Minimum Temperatures for the Study Period 1961–2019
3.1.2. Days of Partial and Total Frost
3.2. Winter Cold Spells
Temporal Analysis of WCSPs
3.3. Atmospheric Circulation Characteristics: The Prevailing Circulation Type
The Prevailing Circulation Types during and before the WCSPs
3.4. Synoptic Analysis
3.5. Conclusions and Discussion
- As expected, the highest temperatures of the year occurred in mid-summer (July), while the lowest occurred in mid-winter (January). Regarding the geographical distribution of the temperature, the stations with the higher altitude recorded the lowest temperatures, while a gradual temperature increase was observed from the central to the coastal and southern stations of Balkan Peninsula. According to the literature, the Mediterranean Sea contributes to this distribution from north to south to a large extent, which has a beneficial effect on the climate and winters that are milder in the coastal areas. In general, the Balkan Peninsula receives mild moist Mediterranean air, which is transported by the westerly winds. On the other hand, occasionally, large-scale atmospheric circulation changes result in colder conditions, with a northerly flow from Scandinavia [45] or a northeast flow from Siberia [46]. As for the extreme minimum temperatures in the Balkans (Belgrade) during the winter, Unkašević and Tošić [47] showed that they are highly linked with the NAO index.
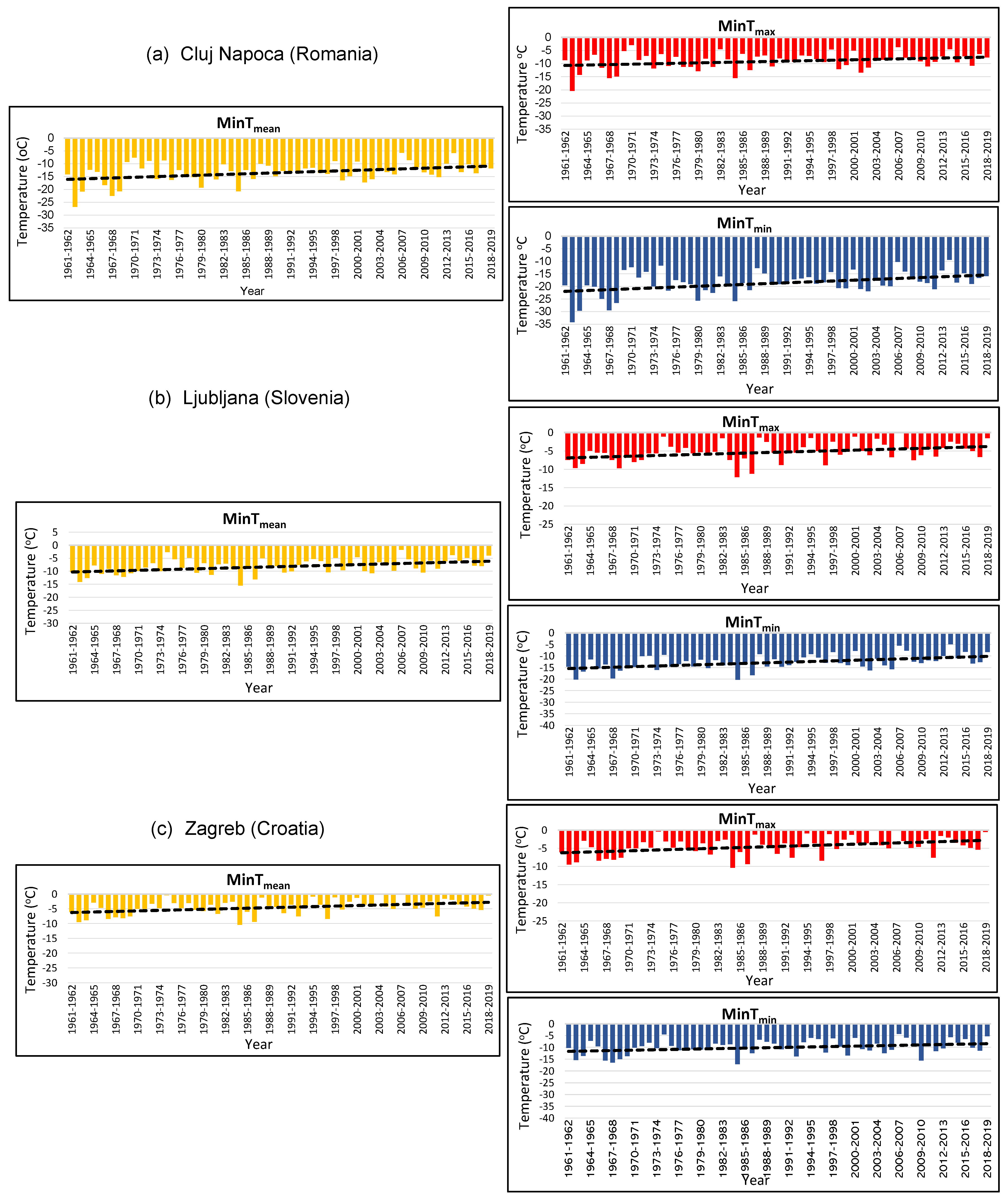
- A positive trend was observed regarding extreme minimum and maximum temperatures. This fact indicates that the minimum temperatures over the years became less extreme. On the global scale, most studies agree on the increasing trend of extreme minimum temperatures [17,19], while an increasing trend is observed at extreme maximum temperatures, but not with the same significance as the increases of extreme minimums. On a smaller scale, [48] analyzed climatic extremes in northern and central Europe, and their findings showed that both the maximum and minimum daily temperatures have increased. However, they reported that the minimum temperatures rose faster than the maximum temperatures, causing a reduction in the diurnal temperature range. Studies from central/eastern Europe [49] or in extra-Carpathian regions of Romania [50] have shown corresponding results, i.e., that the daily maximum temperature became more extreme, while the daily minimum temperature became less extreme. Focusing on southeastern Europe, and specifically the central and eastern Mediterranean, Efthymiadis et al. (2011) [51], outlined that, on an annual basis, the minimum temperatures during the winter increase more than the equivalent maximum ones. On a smaller scale, specifically for the region of Serbia, Unkašević and Tošić [47] showed that extreme temperatures in Belgrade have increased, noting that the climate in Serbia generally tends to become warmer in the future. Nevertheless, the overall tendency toward milder winters appeared in the temperature data for much of Europe, and this tendency was at least partially attributable to the predominance of the positive phase of the North Atlantic oscillation (NAO) during the 1980s and 1990s [52,53].
- The station with the highest average of frost days (Tmin ≤ 0) per year is that of Miercurea (Romania), with 135 days/year, while with the lowest is the station of Split (Croatia), with 7 days/year. On the other hand, the station with the highest average days of total frost (Tmax ≤ 0) per year is that of Zavizan (Croatia), with 63 days/year, while the stations Split and Zadar do not record total frost days. According to Frich et al. [19], on a global scale, a uniform decrease in the number of frost days occurred during the second half of the 20th century, but for the Balkan Peninsula region, there were a few increases. Karl et al. [54] have shown similar findings, reporting that, in many areas of the world, the number of frost days has decreased, but many areas of eastern Mediterranean showed a significant increase trend in the frost index on the annual scale. Additionally, a few positive trends of total number of frost days on an annual basis were found in western and southern Greece by Kostopoulou and Jones [20]. Contrarily, Unkašević and Tošić [35], in their study of the region of Serbia, found negative trends in the number of frost days for the period 1949–2012. In fact, they reported that the warming in Serbia was more related to increases in the frequency of heat waves than to the reduction in cold days.
- The frequency of the occurrence of WCSPs during the cold period of the year ranges from zero to eight WCSPs/year. The station in Zagreb (Croatia) was the one characterized by eight WCSPs during the cold year 1996–1997. The longest WCSP was recorded at Belgrade station (Serbia), with 24 days of cold temperatures from 12 January 1963 to 4 February 1963. During this long WCSP, Belgrade recorded its most extreme minimum temperatures (MinTmax −14.3 °C, MinTmin −21.0 °C, and MinTmean −17.3 °C. It is obvious that there was a statistically significant negative trend in the number of cold spells per year at the stations: Ljubljana, Split, Zadar, Zagreb, and Zavizan and 2) a statistically significant negative trend in the duration of cold spells at the stations: Cluj Napoca, Ljubljana, and Varazdin. Boccolari and Malmusi [55], in their study of the Moderna region in Italy, found that the duration index of cold spells diminished (−4.8 days per decade for 1989 to 2010). In general, for the region of Europe, Klein et al. [36] reported an increase in cold spell days during 1976–1999, in contrast to the regional warming trend during this period. Nevertheless, an overall trend towards milder winters appeared in the temperature data for much of Europe. The natural mechanisms standing behind the decreasing trend of cold spells vary. According to the present study, it is important information that the types that favor the development of WCSPs (Cne or Cse at 500 hPa) showed a decrease over time. Previous research has shown that this trend is at least partially attributable to the predominance of the positive phase of the North Atlantic oscillation (NAO+) during the 1980s and 1990s [52,53]. It is known that the negative phase of the North Atlantic Oscillation (NAO-) is associated with anomalously cold and dry winters in most of Europe, whereas the positive phase of NAO is often associated with anomalously warm and moist winters [52,56,57]. However, the NAO phase alone does not explain all aspects of the influence of atmospheric circulation over the North Atlantic on Europe [58]. According to Serreze et al. [59] and Screen [60], a direct effect is that winter extreme events in the middle latitudes that have cold air outbreaks originating from the Arctic are not as cold as they were in the past. However, atmospheric circulation is not the only explanation. According to the literature, in recent years, the water vapor content has increased in many stations, mainly in Southern Europe, rather than in Northern Europe [61,62]. As a result, longwave cooling has been reduced, raising the temperature and possibility inhibiting the formation of cold spells more frequently [61,62,63]. Finally, we acknowledge that European winter temperatures are also affected by other factors than those explicitly discussed above. Such factors include atmosphere–ocean coupling in the tropics and subtropics; shifting large-scale ocean temperature patterns; radiative forcings by greenhouse gases, aerosols, and ozone; and internal variability [64].
- During the WCSPs in the Balkans, the most important prerequisite for cold spells is the cyclonic northeastern type (Cne) or cyclonic southeastern type (Cse) at 500 hPa. At the surface, the anticyclonic northwest type (Anw) or anticyclonic northeastern type (Ane) present, in general, greater frequencies. This means more or less strong northerly advection in any case at the surface. According to Maheras et al. [65], the cyclonic type Cne presents an eastern flow and is responsible for the prevalence of low temperatures in the study region. In this circulation type, the wind blows mainly from the northerly, northwesterly sector results in colder conditions in the Balkans, with the transport of cold air masses from Scandinavia [38]. On the other hand, in most stations, the duration of WCSPs at 1000 hPa is associated with a shallow cold anticyclone (Anw). In this type, the wind over the study region prevails from the northerly sector, with higher intensity during the cold period. Plavcová and Kyselý [7] showed that, during the WCSPs, the frequency of anticyclonic types increases, while the western types do not favor the WCSPs. The same results were carried out from their subsequent study [7]. On the contrary, they also reported that the probability of extreme temperatures events reduced significantly with the prevalence of zonal westerly flow. This is probably explained by the fact that, generally, westerly winds transport mild moisture and make the climate milder.
- The start of WCSPs appears to be favored by the prevalence of the cyclonic northeastern type (Cne) at 500 hPa, 1 and 2 days before the start of WCSPs, while it is favored with the predominance of the cyclonic southeastern type (Cse) 1 and 2 days before the start of WCSPs at 1000 hPa. These results are in line with those of Plavcová and Kyselý [7], who showed that only the eastern and/or northern cyclonic types favor the start of CSPs.
- During the WCSPs at 500 hPa, both the cyclonic center at 500 hPa and the anticyclonic center at 1000 hPa are stronger, compared to the mean synoptic situation. The maps of the differences at 500 hPa showed that WCSPs relate to the negative phase of NAO, due to the weakening of the Icelandic low and the subtropical Azores high. The negative phase of NAO is associated with the cold conditions in northern Europe [47,66].
Author Contributions
Funding
Institutional Review Board Statement
Informed Consent Statement
Data Availability Statement
Acknowledgments
Conflicts of Interest
Appendix A


References
- McMichael, A.J.; Campbell-Lendrum, D.H.; Corvalan, C.F.; Ebi, K.L.; Githelo, A.; Scheraga, J.D.; Woodward, A. Climate Change and Human Health: Risks and Responses; World Health Organization: Geneva, Switzerland, 2003. [Google Scholar]
- McGregor, G.R.; Ferro, C.A.T.; Stephenson, D.B. Projected Changes in Extreme Weather and Climate Events in Europe. In Extreme Weather Events and Public Health Responses; Kirch, W., Bertollini, R., Menne, B., Eds.; Springer: Berlin/Heidelberg, Germany, 2005; pp. 13–23. ISBN 978-3-540-24417-2. [Google Scholar]
- Beniston, M.; Stephenson, D.B. Extreme Climatic Events and Their Evolution under Changing Climatic Conditions. Glob. Planet. Chang. 2004, 44, 1–9. [Google Scholar] [CrossRef]
- Vavrus, S.; Walsh, J.E.; Chapman, W.L.; Portis, D. The Behavior of Extreme Cold Air Outbreaks under Greenhouse Warming. Int. J. Climatol. 2006, 26, 1133–1147. [Google Scholar] [CrossRef]
- Kyselý, J. Influence of the Persistence of Circulation Patterns on Warm and Cold Temperature Anomalies in Europe: Analysis over the 20th Century. Glob. Planet. Chang. 2008, 62, 147–163. [Google Scholar] [CrossRef]
- Anagnostopoulou, C.; Tolika, K.; Lazoglou, G.; Maheras, P. The Exceptionally Cold January of 2017 over the Balkan Peninsula: A Climatological and Synoptic Analysis. Atmosphere 2017, 8, 252. [Google Scholar] [CrossRef]
- Plavcová, E.; Kyselý, J. Temporal Characteristics of Heat Waves and Cold Spells and Their Links to Atmospheric Circulation in EURO-CORDEX RCMs. Adv. Meteorol. 2019, 2019, 2178321. [Google Scholar] [CrossRef]
- Solomon, S.; Qin, D.; Manning, M.; Marquis, M.; Averyt, K.; Tignor, M.; Miller, H.L.; Chen, Z. IPCC Limate Change: The Physical Science Basis. In Contribution of Working Group I to the Fourth Assessment Report of the Intergov-Ernmental Panel in Climate Change; Cambridge University Press: Cambridge, UK; New York, NY, USA, 2007; p. 996. [Google Scholar]
- Trenberth, K.E.; Jones, P.D. Observations: Surface and Atmospheric Climate Change. In Contribution of Working Group I to the Fourth Assessment Report of the Intergovernmental Panel on Climate Change; Cambridge University Press: Cambridge, UK; New York, NY, USA, 2007. [Google Scholar]
- Moberg, A.; Jones, P.D.; Lister, D.; Walther, A.; Brunet, M.; Jacobeit, J.; Alexander, L.V.; Della-Marta, P.M.; Luterbacher, J.; Yiou, P.; et al. Indices for Daily Temperature and Precipitation Extremes in Europe Analyzed for the Period 1901–2000. J. Geophys. Res. 2006, 111, D22106. [Google Scholar] [CrossRef]
- Peterson, T.C.; Zhang, X.; Brunet-India, M.; Vázquez-Aguirre, J.L. Changes in North American Extremes Derived from Daily Weather Data. J. Geophys. Res. 2008, 113, D07113. [Google Scholar] [CrossRef]
- Dash, S.K.; Mamgain, A. Changes in the Frequency of Different Categories of Temperature Extremes in India. J. Appl. Meteorol. Climatol. 2011, 50, 1842–1858. [Google Scholar] [CrossRef]
- Yan, Z.; Jones, P.D.; Davies, T.D.; Moberg, A.; Bergström, H.; Camuffo, D.; Cocheo, C.; Maugeri, M.; Demarée, G.R.; Verhoeve, T.; et al. Trends of Extreme Temperatures in Europe and China Based on Daily Observations. Clim. Chang. 2002, 53, 355–392. [Google Scholar] [CrossRef]
- Christidis, N. Detection of Changes in Temperature Extremes during the Second Half of the 20th Century. Geophys. Res. Lett. 2005, 32, L20716. [Google Scholar] [CrossRef]
- Brown, S.J.; Caesar, J.; Ferro, C.A.T. Global Changes in Extreme Daily Temperature since 1950. J. Geophys. Res. 2008. [CrossRef]
- Kodra, E.; Steinhaeuser, K.; Ganguly, A.R. Persisting Cold Extremes under 21st-Century Warming Scenarios. Geophys. Res. Lett. 2011, 38. [Google Scholar] [CrossRef]
- Easterling, D.R.; Evans, J.L.; Groisman, P.Y.; Karl, T.R.; Kunkel, K.E.; Ambenje, P. Observed Variability and Trends in Extreme Climate Events: A Brief Review. Bull. Amer. Meteor. Soc. 2000, 81, 417–425. [Google Scholar] [CrossRef]
- Chau, P.H.; Chan, K.C.; Woo, J. Hot Weather Warning Might Help to Reduce Elderly Mortality in Hong Kong. Int. J. Biometeorol. 2009, 53, 461–468. [Google Scholar] [CrossRef] [PubMed]
- Frich, P.; Alexander, L.; Della-Marta, P.; Gleason, B.; Haylock, M.; Klein Tank, A.; Peterson, T. Observed Coherent Changes in Climatic Extremes during the Second Half of the Twentieth Century. Clim. Res. 2002, 19, 193–212. [Google Scholar] [CrossRef]
- Kostopoulou, E.; Jones, P.D. Assessment of Climate Extremes in the Eastern Mediterranean. Meteorol. Atmos. Phys. 2005, 89, 69–85. [Google Scholar] [CrossRef]
- Domonkos, P.; Kyselý, J.; Piotrowicz, K.; Petrovic, P.; Likso, T. Variability of Extreme Temperature Events in South-Central Europe during the 20th Century and Its Relationship with Large-Scale Circulation. Int. J. Climatol. 2003, 23, 987–1010. [Google Scholar] [CrossRef]
- Yiou, P.; Nogaj, M. Extreme Climatic Events and Weather Regimes over the North Atlantic: When and Where? Geophys. Res. Lett. 2004, 31. [Google Scholar] [CrossRef]
- Parker, D.E. Effects of Changing Exposure of Thermometers at Land Stations. Int. J. Climatol. 1994, 14, 1–31. [Google Scholar] [CrossRef]
- Kyselý, J.; Domonkos, P. Recent Increase in Persistence of Atmospheric Circulation over Europe: Comparison with Long-Term Variations since 1881. Int. J. Climatol. 2006, 26, 461–483. [Google Scholar] [CrossRef]
- Pfahl, S.; Wernli, H. Quantifying the Relevance of Atmospheric Blocking for Co-Located Temperature Extremes in the Northern Hemisphere on (Sub-)Daily Time Scales. Geophys. Res. Lett. 2012, 39. [Google Scholar] [CrossRef]
- Reinhold, B.B.; Pierrehumbert, R.T. Dynamics of Weather Regimes: Quasi-Stationary Waves and Blocking. Mon. Wea. Rev. 1982, 110, 1105–1145. [Google Scholar] [CrossRef]
- Sillmann, J.; Croci-Maspoli, M.; Kallache, M.; Katz, R.W. Extreme Cold Winter Temperatures in Europe under the Influence of North Atlantic Atmospheric Blocking. J. Clim. 2011, 24, 5899–5913. [Google Scholar] [CrossRef]
- Whan, K.; Zwiers, F.; Sillmann, J. The Influence of Atmospheric Blocking on Extreme Winter Minimum Temperatures in North America. J. Clim. 2016, 29, 4361–4381. [Google Scholar] [CrossRef]
- Wheeler, D.D.; Harvey, V.L.; Atkinson, D.E.; Collins, R.L.; Mills, M.J. A Climatology of Cold Air Outbreaks over North America: WACCM and ERA-40 Comparison and Analysis. J. Geophys. Res. 2011, 116, D12107. [Google Scholar] [CrossRef]
- Fortune, M.A.; Kousky, V.E. Two Severe Freezes in Brazil: Precursors and Synoptic Evolution. Mon. Wea. Rev. 1983, 111, 181–196. [Google Scholar] [CrossRef]
- Tomczyk, A.M.; Bednorz, E.; Półrolniczak, M.; Kolendowicz, L. Strong Heat and Cold Waves in Poland in Relation with the Large-Scale Atmospheric Circulation. Theor. Appl. Climatol. 2019, 137, 1909–1923. [Google Scholar] [CrossRef]
- Barnett, A.G.; Hajat, S.; Gasparrini, A.; Rocklöv, J. Cold and Heat Waves in the United States. Environ. Res. 2012, 112, 218–224. [Google Scholar] [CrossRef] [PubMed]
- Lavaysse, C.; Cammalleri, C.; Dosio, A.; van der Schrier, G.; Toreti, A.; Vogt, J. Towards a Monitoring System of Temperature Extremes in Europe. Nat. Hazards Earth Syst. Sci. 2018, 18, 91–104. [Google Scholar] [CrossRef]
- Perkins, S.E. A Review on the Scientific Understanding of Heatwaves—Their Measurement, Driving Mechanisms, and Changes at the Global Scale. Atmos. Res. 2015, 164–165, 242–267. [Google Scholar] [CrossRef]
- Unkašević, M.; Tošić, I. Seasonal Analysis of Cold and Heat Waves in Serbia during the Period 1949–2012. Theor. Appl. Climatol. 2015, 120, 29–40. [Google Scholar] [CrossRef]
- Klein Tank, A.M.G.; Können, G.P. Trends in Indices of Daily Temperature and Precipitation Extremes in Europe, 1946–1999. J. Clim. 2003, 16, 3665–3680. [Google Scholar] [CrossRef]
- Satyamurty, P.; da Silva Teixeira, M.; Klug Padilha, C. Warm and Dry Spells (WDS) in Austral Winter over Central South America. Ann. Geophys. 2007, 25, 1049–1069. [Google Scholar] [CrossRef]
- Anagnostopoulou, C.; Tolika, K.; Maheras, P. Classification of Circulation Types: A New Flexible Automated Approach Applicable to NCEP and GCM Datasets. Theor. Appl. Climatol. 2009, 96, 3–15. [Google Scholar] [CrossRef]
- Kendall, M.G. Rank Correlation Methods; Charles Griffin: London, UK, 1975; ISBN 978-0-85264-199-6. [Google Scholar]
- Malinovic-Milicevic, S.; Radovanovic, M.M.; Stanojevic, G.; Milovanovic, B. Recent Changes in Serbian Climate Extreme Indices from 1961 to 2010. Theor. Appl. Climatol. 2016, 124, 1089–1098. [Google Scholar] [CrossRef]
- Bojariu, R.; Dinu, M. Snow Variability and Change in Romania. In Proceedings of the Alpine Snow Workshop, Munich, Germany, 5–6 October 2006. [Google Scholar]
- Micu, D. Snow Pack in the Romanian Carpathians under Changing Climatic Conditions. Meteorol. Atmos. Phys. 2009, 105, 1–16. [Google Scholar] [CrossRef]
- Birsan, M.-V.; Dumitrescu, A. Snow Variability in Romania in Connection to Large-Scale Atmospheric Circulation. Int. J. Climatol. 2014, 34, 134–144. [Google Scholar] [CrossRef]
- Marin, L.; Birsan, M.-V.; Bojariu, R.; Dumitrescu, A.; Micu, D.M.; Manea, A. An Overview of Annual Climatic Changes in Romania: Trends in Air Temperature, Precipitation, Sunshine Hours, Cloud Cover, Relative Humidity and Wind Speed during the 1961–2013 Period. Carpathian J. Earth Environ. Sci. 2014, 9, 253–258. [Google Scholar]
- Tolika, K.; Maheras, P.; Pytharoulis, I.; Anagnostopoulou, C. The Anomalous Low and High Temperatures of 2012 over Greece—An Explanation from a Meteorological and Climatological Perspective. Nat. Hazards Earth Syst. Sci. 2014, 14, 501–507. [Google Scholar] [CrossRef]
- Makorgiannis, T.J.; Giles, B.D.; Flocas, A.A. The Problem of the Extension of the Siberian Anticyclone towards Southeast Europe, and Its Relation to Atmospheric Circulation Anomalies over the Northern Hemisphere. Arch. Meteorol. Geophys. Bioclimatol. Ser. A 1981, 30, 185–196. [Google Scholar] [CrossRef]
- Unkašević, M.; Tošić, I. Changes in Extreme Daily Winter and Summer Temperatures in Belgrade. Theor. Appl. Climatol. 2009, 95, 27–38. [Google Scholar] [CrossRef]
- Heino, J.; Virkkala, R.; Toivonen, H. Climate Change and Freshwater Biodiversity: Detected Patterns, Future Trends and Adaptations in Northern Regions. Biol. Rev. 2009, 84, 39–54. [Google Scholar] [CrossRef]
- Bartholy, J.; Pongracz, R. Regional Analysis of Extreme Temperature and Precipitation Indices for the Carpathian Basin from 1946 to 2001. Glob. Planet. Chang. 2007, 57, 83–95. [Google Scholar] [CrossRef]
- Croitoru, A.-E.; Piticar, A. Changes in Daily Extreme Temperatures in the Extra-Carpathians Regions of Romania: Extreme Temperature Changes in Extra-Carpathians Areas of Romania. Int. J. Climatol. 2013, 33, 1987–2001. [Google Scholar] [CrossRef]
- Efthymiadis, D.; Goodess, C.M.; Jones, P.D. Trends in Mediterranean Gridded Temperature Extremes and Large-Scale Circulation Influences. Nat. Hazards Earth Syst. Sci. 2011, 11, 2199–2214. [Google Scholar] [CrossRef]
- Hurrell, J.W.; Kushnir, Y.; Ottersen, G.; Visbeck, M. An Overview of the North Atlantic Oscillation. In Geophysical Monograph Series; Hurrell, J.W., Kushnir, Y., Ottersen, G., Visbeck, M., Eds.; American Geophysical Union: Washington, DC, USA, 2003; Volume 134, pp. 1–35. ISBN 978-0-87590-994-3. [Google Scholar]
- Thompson, D.W.J.; Wallace, J.M. The Arctic Oscillation Signature in the Wintertime Geopotential Height and Temperature Fields. Geophys. Res. Lett. 1998, 25, 1297–1300. [Google Scholar] [CrossRef]
- Karl, T.R.; Nicholls, N.; Ghazi, A. Clivar/GCOS/WMO Workshop on Indices and Indicators for Climate Extremes Workshop Summary. Clim. Chang. 1999, 42, 3–7. [Google Scholar] [CrossRef]
- Boccolari, M.; Malmusi, S. Changes in Temperature and Precipitation Extremes Observed in Modena, Italy. Atmos. Res. 2013, 122, 16–31. [Google Scholar] [CrossRef]
- Marshall, J.; Johnson, H.; Goodman, J. A Study of the Interaction of the North Atlantic Oscillation with Ocean Circulation. J. Clim. 2001, 14, 1399–1421. [Google Scholar] [CrossRef]
- Hanna, E.; Hall, R.J.; Overland, J.E. Can Arctic Warming Influence UK Extreme Weather? Weather 2017, 72, 346–352. [Google Scholar] [CrossRef]
- Vautard, R. Multiple Weather Regimes over the North Atlantic: Analysis of Precursors and Successors. Mon. Wea. Rev. 1990, 118, 2056–2081. [Google Scholar] [CrossRef]
- Serreze, M.C.; Barrett, A.P.; Cassano, J.J. Circulation and Surface Controls on the Lower Tropospheric Air Temperature Field of the Arctic. J. Geophys. Res. 2011, 116, D07104. [Google Scholar] [CrossRef]
- Screen, J.A.; Deser, C.; Simmonds, I.; Tomas, R. Atmospheric Impacts of Arctic Sea-Ice Loss, 1979–2009: Separating Forced Change from Atmospheric Internal Variability. Clim. Dyn. 2014, 43, 333–344. [Google Scholar] [CrossRef]
- Mattar, C.; Sobrino, J.A.; Julien, Y.; Morales, L. Trends in Column Integrated Water Vapour over Europe from 1973 to 2003. Int. J. Climatol. 2011, 31, 1749–1757. [Google Scholar] [CrossRef]
- Yuan, P.; Van Malderen, R.; Yin, X.; Vogelmann, H.; Awange, J.; Heck, B.; Kutterer, H. Characterizations of Europe’s Integrated Water Vapor and Assessments of Atmospheric Reanalyses Using More than Two Decades of Ground-Based GPS. Atmos. Chem. Phys. Discuss. 2021, 1–38. [Google Scholar] [CrossRef]
- Philipona, R.; Dürr, B.; Ohmura, A.; Ruckstuhl, C. Anthropogenic Greenhouse Forcing and Strong Water Vapor Feedback Increase Temperature in Europe. Geophys. Res. Lett. 2005, 32. [Google Scholar] [CrossRef]
- Vihma, T.; Graversen, R.; Chen, L.; Handorf, D.; Skific, N.; Francis, J.A.; Tyrrell, N.; Hall, R.; Hanna, E.; Uotila, P.; et al. Effects of the Tropospheric Large-scale Circulation on European Winter Temperatures during the Period of Amplified Arctic Warming. Int. J. Climatol. 2020, 40, 509–529. [Google Scholar] [CrossRef]
- Maheras, P.; Patrikas, I.; Karacostas, T.H.; Anagnostopoulou, C.H.R. Automatic Classification of Circulation Types in Greece: Methodology, Description, Frequency, Variability and Trend Analysis. Theor. Appl. Climatol. 2000, 67, 205–223. [Google Scholar] [CrossRef]
- Cattiaux, J.; Vautard, R.; Cassou, C.; Yiou, P.; Masson-Delmotte, V.; Codron, F. Winter 2010 in Europe: A Cold Extreme in a Warming Climate. Geophys. Res. Lett. 2010, 37. [Google Scholar] [CrossRef]









| Stations | Country | Longitude (°) | Latitude (°) | Altitude (m) | |
|---|---|---|---|---|---|
| 1 | Bacau | Romania | 27.08 | 46.65 | 184 |
| 2 | Belgrade | Serbia | 20.46 | 44.82 | 132 |
| 3 | Botosani | Romania | 2.668 | 47.73 | 133 |
| 4 | Bucuresti | Romania | 26.08 | 44.52 | 90 |
| 5 | Buzau | Romania | 26.81 | 45.16 | 97 |
| 6 | Cluj Napoca | Romania | 23.57 | 46.78 | 18 |
| 7 | Craiova | Romania | 23.81 | 44.33 | 116 |
| 8 | Deva | Romania | 22.91 | 45.87 | 209 |
| 9 | Drobeta | Romania | 22.63 | 44.63 | 410 |
| 10 | Galati | Romania | 28.03 | 45.43 | 53 |
| 11 | Gospic | Croatia | 15.37 | 44.55 | 564 |
| 12 | Ljubljana | Slovenia | 14.52 | 46.07 | 299 |
| 13 | Miercurea | Romania | 25.80 | 46.38 | 661 |
| 14 | Nis | Serbia | 21.9 | 43.33 | 201 |
| 15 | Novi Sad | Serbia | 19.85 | 43.33 | 84 |
| 16 | Ogulin | Croatia | 15.27 | 45.2 | 326 |
| 17 | Rijeka | Croatia | 14.45 | 45.33 | 120 |
| 18 | Rosiori de Vede | Romania | 24.99 | 44.10 | 102 |
| 19 | Sarajevo | Bosnia and Herzegovina | 18.42 | 43.87 | 630 |
| 20 | Split | Croatia | 16.43 | 43.52 | 122 |
| 21 | Thessaloniki | Greece | 22.95 | 40.62 | 2 |
| 22 | Varazdin | Croatia | 14.98 | 44.82 | 167 |
| 23 | Zadar | Croatia | 15.21 | 44.13 | 5 |
| 24 | Zagreb | Croatia | 15.98 | 45.82 | 156 |
| 25 | Zavizan | Croatia | 14.98 | 44.82 | 1594 |
| Stations | Country | Days with Tmin ≤ 0 | Days with Tmax ≤ 0 |
|---|---|---|---|
| Bacau | Romania | 94 | 22 |
| Belgrade | Serbia | 59 | 16 |
| Botosani | Romania | 120 | 36 |
| Bucharest | Romania | 98 | 22 |
| Buzau | Romania | 94 | 22 |
| Cluj Napoca | Romania | 107 | 34 |
| Craiova | Romania | 109 | 24 |
| Deva | Romania | 95 | 21 |
| Drobeta | Romania | 77 | 14 |
| Galati | Romania | 107 | 27 |
| Gospic | Croatia | 102 | 23 |
| Ljubljana | Slovenia | 80 | 18 |
| Miercurea | Romania | 135 | 21 |
| Nis | Serbia | 75 | 15 |
| Novi Sad | Serbia | 80 | 20 |
| Ogulin | Croatia | 84 | 21 |
| Rijeka | Croatia | 19 | 1 |
| Rosiori de Vede | Romania | 94 | 27 |
| Sarajevo | Bosnia and Herzegovina | 101 | 23 |
| Split | Croatia | 7 | 0 |
| Thessaloniki | Greece | 17 | 1 |
| Varazdin | Croatia | 88 | 20 |
| Zadar | Croatia | 11 | 0 |
| Zagreb | Croatia | 55 | 14 |
| Zavizan | Croatia | 126 | 63 |
| Stations | Country | Tmin5th (°C) | Total Number of WCSPs | Mean Duration of WCSPs (Days) | Duration of the Longest WCSPs (Days) | The Year of the Longest WCSPs |
|---|---|---|---|---|---|---|
| Bacau | Romania | −14.0 | 48 | 5.1 | 18 | 1962–1963 |
| Belgrade | Serbia | −7.2 | 53 | 5.6 | 24 | 1962–1963 |
| Botosani | Romania | −14.4 | 53 | 4.6 | 14 | 1984–1985 |
| Bucharest | Romania | −11.9 | 48 | 4.7 | 15 | 1962–1963 |
| Buzau | Romania | −11.2 | 48 | 5 | 16 | 1961–1962 |
| Cluj Napoca | Romania | −13.9 | 54 | 5.2 | 17 | 1962–1963 |
| Craiova | Romania | −10.5 | 56 | 4.7 | 20 | 1962–1963 |
| Deva | Romania | −11.8 | 42 | 5.5 | 14 | 1981–1982 |
| Drobeta | Romania | −8.9 | 56 | 5.1 | 20 | 1962–1963 |
| Galati | Romania | −10.9 | 51 | 4.8 | 18 | 1962–1963 |
| Gospic | Croatia | −13.3 | 49 | 4.5 | 12 | 1984–1985 |
| Ljubljana | Slovenia | −8.8 | 56 | 5.2 | 23 | 1962–1963 |
| Miercurea | Romania | −22.5 | 47 | 4.3 | 13 | 1962–1963 |
| Nis | Serbia | −8.9 | 45 | 5.3 | 18 | 1962–1963 2011–2012 |
| Novi Sad | Serbia | −10.7 | 49 | 5.2 | 21 | 1962–1963 |
| Ogulin | Croatia | −11.1 | 47 | 4.9 | 13 | 1962–1963 |
| Rijeka | Croatia | −2.2 | 54 | 4.9 | 15 | 2011–2012 |
| Rosiori de Vede | Romania | −12.5 | 51 | 4.6 | 15 | 1962–1963 |
| Sarajevo | Bosnia and Herzegovina | −13.3 | 49 | 4.7 | 12 | 1984–1985 |
| Split | Croatia | 0.3 | 57 | 4.9 | 13 | 2011–2012 |
| Thessaloniki | Greece | −1.6 | 60 | 4.5 | 12 | 1962–1963 |
| Varazdin | Croatia | −11 | 60 | 4.1 | 12 | 1962–1963 1963–1964 |
| Zadar | Croatia | −0.7 | 59 | 5.0 | 20 | 1962–1963 |
| Zagreb | Croatia | −6.1 | 58 | 4.8 | 18 | 1963–1964 |
| Zavizan | Croatia | −14.6 | 62 | 4.7 | 17 | 2011–2012 |
| During WCSPs 500 hPa | During WCSPs 1000 hPa | Day-1 500 hPa | Day-1 1000 hPa | Day-2 500 hPa | Day-2 1000 hPa | ||||||||
|---|---|---|---|---|---|---|---|---|---|---|---|---|---|
| Station | Country | Cse | Cne | Anw | Ane | Cse | Cne | Anw | Cse | Cse | Cne | Cse | Cne |
| Bacau | Romania | 23.9 | 26.3 | 12.1 | 17.8 | 35.4 | 27.1 | 12.5 | 27.1 | 25.0 | 33.3 | 20.8 | 16.7 |
| Belgrade | Serbia | 23.7 | 27.8 | 19.3 | 10.5 | 26.4 | 35.8 | 15.1 | 15.1 | 18.9 | 35.8 | 22.6 | 20.8 |
| Botosani | Romania | 22.4 | 20.7 | 10.6 | 20.3 | 18.9 | 28.3 | 11.3 | 32.1 | 22.6 | 34.0 | 17.0 | 11.3 |
| Bucharest | Romania | 27.4 | 25.7 | 13.3 | 14.2 | 28.0 | 22.0 | 18.0 | 26.0 | 24.0 | 26.0 | 26.0 | 10.0 |
| Buzau | Romania | 26.8 | 277 | 14.9 | 12.8 | 37.5 | 16.7 | 16.7 | 27.1 | 33.3 | 22.9 | 33.3 | 8.3 |
| Cluj Napoca | Romania | 29.5 | 24.0 | 13.8 | 16.9 | 21.8 | 25.5 | 20.0 | 20.0 | 27.3 | 34.5 | 23.6 | 16.4 |
| Craiova | Romania | 26.8 | 22.5 | 13.6 | 18.6 | 37.9 | 17.2 | 19.0 | 25.9 | 20.7 | 29.3 | 25.9 | 3.4 |
| Deva | Romania | 26.5 | 27.0 | 13.5 | 13.5 | 26.2 | 21.4 | 16.7 | 28.6 | 11.9 | 45.2 | 21.4 | 16.7 |
| Drobeta | Romania | 24.0 | 22.6 | 16.6 | 17.3 | 33.9 | 21.4 | 19.6 | 25.0 | 19.6 | 30.4 | 25.0 | 5.4 |
| Galati | Romania | 27.4 | 25.8 | 17.1 | 18.7 | 26.9 | 30.8 | 19.2 | 23.1 | 23.1 | 30.8 | 15.4 | 9.6 |
| Gospic | Croatia | 17.4 | 25.6 | 14.2 | 7.8 | 16.3 | 18.4 | 20.4 | 18.4 | 18.4 | 26.5 | 12.2 | 18.4 |
| Ljubljana | Slovenia | 18.9 | 23.4 | 19.2 | 6.9 | 25.0 | 28.6 | 19.6 | 16.1 | 25.0 | 30.4 | 19.6 | 12.5 |
| Miercurea | Romania | 22.6 | 16.1 | 15.1 | 23.6 | 18.2 | 27.3 | 27.3 | 11.4 | 31.8 | 22.7 | 11.4 | 13.6 |
| Nis | Serbia | 21.7 | 25.4 | 19.2 | 8.8 | 24.4 | 26.7 | 20.0 | 17.8 | 31.1 | 24.4 | 15.6 | 11.1 |
| Novi Sad | Serbia | 18.0 | 26.1 | 16.4 | 13.4 | 14.3 | 26.5 | 20.4 | 12.2 | 14.3 | 38.8 | 10.2 | 18.4 |
| Ogulin | Croatia | 15.7 | 27.6 | 18.4 | 5.5 | 14.9 | 31.9 | 12.8 | 17.0 | 23.4 | 31.9 | 17.0 | 12.8 |
| Rijeka | Croatia | 23.6 | 23.2 | 22.1 | 6.8 | 22.2 | 40.7 | 11.1 | 27.8 | 27.8 | 35.2 | 27.8 | 18.5 |
| Rosiori de Vede | Romania | 27.5 | 21.5 | 15.9 | 15.0 | 33.3 | 23.5 | 17.6 | 31.4 | 19.6 | 33.3 | 29.4 | 3.9 |
| Sarajevo | Bosnia and Herzegovina | 17.9 | 24.5 | 14.9 | 8.3 | 12.2 | 14.3 | 10.2 | 18.4 | 16.3 | 12.2 | 20.4 | 14.3 |
| Split | Croatia | 20.9 | 23.4 | 20.9 | 5.3 | 19.3 | 38.6 | 10.5 | 19.3 | 19.3 | 31.6 | 21.1 | 24.6 |
| Thessaloniki | Greece | 37.9 | 18.2 | 20.7 | 7.1 | 20.0 | 33.3 | 20.0 | 23.3 | 21.7 | 51.7 | 11.7 | 21.7 |
| Varazdin | Croatia | 19.8 | 26.5 | 17.9 | 9.3 | 23.0 | 18.0 | 16.4 | 18.0 | 19.7 | 23.0 | 29.5 | 11.5 |
| Zadar | Croatia | 25.3 | 21.9 | 22.6 | 7.7 | 21.7 | 36.7 | 11.7 | 18.3 | 26.7 | 28.3 | 25.0 | 18.3 |
| Zagreb | Croatia | 14.6 | 27.2 | 13.9 | 11.7 | 22.4 | 27.6 | 13.8 | 22.4 | 24.1 | 31.0 | 19.0 | 17.2 |
| Zavizan | Croatia | 19.7 | 22.1 | 18.6 | 7.1 | 21.0 | 32.3 | 8.1 | 25.8 | 27.4 | 29.0 | 21.0 | 14.5 |
| 500 hPa | 1000 hPa | ||
|---|---|---|---|
| During WCSPs | During WCSPs | During WCSPs | During WCSPs |
| 56% of the stations → Cne | 44% of the stations → Cse | 48% of the stations → Anw | 32% of the stations → Ane |
| day−1 | day−2 | day−1 | day−2 |
| 68% of the stations → Cne | 76% of the stations → Cne | 64% of the stations → Cse | 68% of the stations → Cse |
Publisher’s Note: MDPI stays neutral with regard to jurisdictional claims in published maps and institutional affiliations. |
© 2022 by the authors. Licensee MDPI, Basel, Switzerland. This article is an open access article distributed under the terms and conditions of the Creative Commons Attribution (CC BY) license (https://creativecommons.org/licenses/by/4.0/).
Share and Cite
Tringa, E.; Tolika, K.; Anagnostopoulou, C.; Kostopoulou, E. A Climatological and Synoptic Analysis of Winter Cold Spells over the Balkan Peninsula. Atmosphere 2022, 13, 1851. https://doi.org/10.3390/atmos13111851
Tringa E, Tolika K, Anagnostopoulou C, Kostopoulou E. A Climatological and Synoptic Analysis of Winter Cold Spells over the Balkan Peninsula. Atmosphere. 2022; 13(11):1851. https://doi.org/10.3390/atmos13111851
Chicago/Turabian StyleTringa, Efstathia, Konstantia Tolika, Christina Anagnostopoulou, and Effie Kostopoulou. 2022. "A Climatological and Synoptic Analysis of Winter Cold Spells over the Balkan Peninsula" Atmosphere 13, no. 11: 1851. https://doi.org/10.3390/atmos13111851
APA StyleTringa, E., Tolika, K., Anagnostopoulou, C., & Kostopoulou, E. (2022). A Climatological and Synoptic Analysis of Winter Cold Spells over the Balkan Peninsula. Atmosphere, 13(11), 1851. https://doi.org/10.3390/atmos13111851

