Precipitation Variability and Probabilities of Extreme Events in the Eastern Mediterranean Region (Latakia Governorate-Syria as a Case Study)
Abstract
:1. Introduction
- (i)
- To analyze the general trends of the mean annual and seasonal precipitation in six weather stations of Latakia governorate during the period (1970–2010);
- (ii)
- To quantify the mean annual precipitation change with its statistical significance;
- (iii)
- To identify which seasons and periods have witnessed the highest changes in precipitation; and
- (iv)
- To analyze the changes in the probabilistic density of extreme rates using Gumbel distribution of extreme precipitation events.
2. Methodology
3. Results and Discussion
4. Conclusions and Recommendations
- Negative change in the mean annual precipitation in most of the stations occurred, but the changes were non-significant. The decrease in the mean annual precipitation occurred in Latakia, Al- Basel airport, Al- Hafa and Qastal al- Ma’af stations, which ranged from 14 mm in Latakia to 79 mm in Qastal al- Ma’af. Whereas in Salanfa and al-Qarirdaha stations, there was an increases of 23 and 58 mm, respectively.
- The regression line of spring precipitation has declined during the period 2001–2010 in all the stations, and this decline was statistically significant in Al- Hafa, Qastal al- Ma’af, Latakia, and Al- Basel airport. The decline was not significant in Salanfa and al-Qirdaha stations.
- Statistical insignificant increase in winter precipitation in all of the stations that ranged between 17–86 mm.
- A decline in spring’s share from the total annual precipitation of about 3–9%, but an increase in the winter precipitation of 5–8%, with the most prominent change occurred in Al- Hafa station.
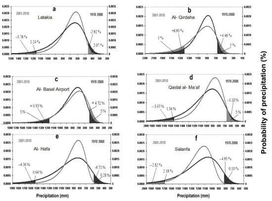
- Gumbel distribution for extremely high and low marginal precipitation values during the periods 2001–2010 compared to 1970–2000 showed a decline in the probability of high and low precipitation in Latakia, Al- Hafa, Salanfa, and Qastal al- Ma’af stations, while Al- Basel airport and Al- Qirdaha stations have witnessed an increase in the probability of extremely high and low values. Based on this, the only stations that witnessed an improvement in the precipitation and its probability during the second time-period (2001–2010) were Al- Basel airport and Al- Qirdaha stations, whereas the other four stations witnessed a deterioration of the climatic conditions.
- A decline in the precipitation during spring is noticeable. This decline was accompanied with an increase in the probability of extremely low precipitation of 5.91–32.3%; the highest probability of extremely low spring precipitations decline was in Latakia station, and this lead to conclusion that the spring-wet period is shorter with more integration into summer.
- On the other hand the probabilities of extremely low precipitation values has witnessed a decline during winter by 5% in most of the stations, so that the precipitation became concentrated more in winter, which contributed to an increase in mean winter precipitation from the total annual precipitation during the period 2001–2010 compared to the period 1970–2000.
Recommendations
- The current study analyze only the precipitation extremes in some stations of Latakia governorate without analyzing the changes in temperature. This warrant studying temperature changes and its relation to drought and precipitation changes, which will give more accurate results about seasonal and annual level of dryness.
- Researchers are advised to expand the study to include more stations than those studied in the current research, in order to produce accurate spatio-temporal rain and temperature maps, which can provide an insight on the spatial distribution of dryness and humidity into the governorate.
- Due to the extended drying conditions in spring, researches on the consequences on land use and associated tools to release and suiting up effects to new land uses are essential.
Author Contributions
Funding
Conflicts of Interest
References
- Asakereh, H. Decadal variation in precipitation regime in northwest of Iran. Theor. Appl. Climatol. 2020, 139, 461–471. [Google Scholar] [CrossRef]
- Katiraie-Boroujerdy, P.; Ashouri, H.; Hsu, K. Trends of precipitation extreme indices over a subtropical semi-arid area using PERSIANN-CDR. Theor. Appl. Climatol. 2017, 130, 249–260. [Google Scholar] [CrossRef] [Green Version]
- Lang, H.; Baltensweiler, A.; Gurtz, J.; Schulla, J. Die Auswirkung von Klimaänderung auf den Komponenten des Wasserkreislaufs. Klimaänderung und Wasserwirtschaft; Internationales Sympo-sium für Klimaänderung und Wasserwirtschaft im Europäschen Patentamt: München, Germany, 1996; pp. S73–S76. [Google Scholar]
- Stagl, J.; Mayr, E.; Koch, H.; Hattermann, F.F.; Huang, S. Effects of Climate Change on the Hydrological Cycle in Central and Eastern Europe. In Managing Protected Areas in Central and Eastern Europe Under Climate Change; Advances in Global Change Research; Rannow, S., Neubert, M., Eds.; Springer: Dordrecht, The Netherlands, 2014; Volume 58. [Google Scholar] [CrossRef] [Green Version]
- Sohoulande Djebou, D.C.; Singh, V.P. Impact of climate change on the hydrologic cycle and implications for society. Environ. Soc. Psychol. 2016, 1, 36–49. [Google Scholar]
- Intergovernmental Panel on Climate Change (IPCC). Synthesis Report; IPCC: Geneva, Switzerland, 2007; p. 78. [Google Scholar]
- Intergovernmental Panel on Climate Change (IPCC). Water and Climate Change; Working Group II; IPCC: Geneva, Switzerland, 2008; p. 49. [Google Scholar]
- Trenberth, K.E. Changes in precipitation with climate change. Clim. Res. 2011, 47, 123–138. [Google Scholar] [CrossRef] [Green Version]
- Snyder, R.L.; Moratiel, R.; Zhenwei, S.; Swelam, A.; Jomaa, I.; Shapland, T. Evapotranspiration response to climate change. Acta. Hortic. 2011, 922, 91–98. [Google Scholar] [CrossRef]
- Dai, A. Drought under global warming: A review. Rev. Clim. Chang. 2011, 2, 45–65. [Google Scholar] [CrossRef] [Green Version]
- Yilmaz, A.G. The effects of climate change on historical and future extreme rainfall in Antalya, Turkey. Hydrol. Sci. J. 2015, 60, 2148–2162. [Google Scholar] [CrossRef] [Green Version]
- Salameh, A.; Gámiz-Fortis, A.M.; Castro Díez, Y.; Abu Hammad, A.; Esteban Parra, M. Spatiotemporal Analysis for Extreme Temperature Indices over Levant region. Int. J. Climatol. 2019, 39, 5556–5582. [Google Scholar] [CrossRef]
- Salameh, A.; Gámiz-Fortis, A.M.; Castro Díez, Y.; Esteban Parra, M. Spatio-Temporal Analysis of Maximum and Minimum Temperatures over Levant Region (1987–2017); Agencia Estatal de Meteorología; Publicaciones de la Asociación Española de Climatología: Madrid, Spain, 2020. [Google Scholar]
- Abu Hammad, A.; Salameh, A.M. Temperature Analysis as an Indicator of Climate Change in the Central Palestinian Mountains. Theor. Appl. Climatol. 2018, 36, 1453–1464. [Google Scholar] [CrossRef]
- AlSarmi, S.; Washington, R. Recent observed climate change over the Arabian Peninsula. J. Geophys. Res. 2011, 116, D11109. [Google Scholar] [CrossRef]
- Hochman, A.; Mercogliano, P.; Alpert, P.; Saaroni, H.; Bucchignani, E. High-resolution projection of climate change and extremity over Israel using COSMO-CLM. Int. J. Climatol. 2018, 38, 5095–5106. [Google Scholar] [CrossRef]
- Najafi, M.R.; Moazami, S. Trends in total precipitation and magnitude–frequency of extreme precipitation in Iran, 1969–2009. Int. J. Climatol. 2017, 36, 1863–1872. [Google Scholar] [CrossRef]
- Hasanean, H.M. Winter surface temperature in Egypt in relation to the associated atmospheric circulation. Int. J. Climatol. 2004, 24, 985–999. [Google Scholar] [CrossRef]
- Zhang, X.; Aguilar, E.; Sensoy, S.; Melkonyan, H.; Tagiyeva, U.; Ahmed, N.; Kutaladze, N.; Rahimzadeh, F.; Taghipour, A.; Hantosh, T.H.; et al. Trends in Middle East climate extreme indices from 1950 to 2003. J. Geophys. Res.-Atmos. 2005, 110, D22. [Google Scholar] [CrossRef]
- IPCC. Summary for policymakers. In Climate Change 2013: The Physical Science Basis (Contribution of Working Group I to the Fifth Assessment Report of the Intergovernmental Panel on Climate Change); Cambridge University Press: Cambridge, UK, 2013. [Google Scholar]
- Seager, R.; Liu, H.; Henderson, N.; Simpson, I.; Kelley, C.; Shaw, T. Causes of increasing aridification of the Mediterranean region in response to rising greenhouse gases. J. Clim. 2014, 27, 4655–4676. [Google Scholar] [CrossRef] [Green Version]
- Spinoni, J.; Vogt, J.V.; Naumann, G.; Barbosa, P.; Dosio, A. Will drought events become more frequent and severe in Europe? Int. J. Climatol. 2018, 38, 1718–1736. [Google Scholar] [CrossRef] [Green Version]
- Avni, Y.; Porat, N.; Plakht, J.; Avni, G. Geomorphic changes leading to natural desertification versus anthropogenic land conservation in an arid environment, the Negev Highlands. Isr. Geomorphol. 2006, 82, 177–200. [Google Scholar] [CrossRef]
- Simone, S. Adapting to Climate Change in the Water Sector in the Mediterranean: Situation and Prospects; Plan Bleu, UN Environment: Paris, France, 2011. [Google Scholar]
- Black, E. The impact of climate change on daily precipitation statistics in Jordan and Israel. Atmos. Sci. Lett. 2009, 10, 192–200. [Google Scholar] [CrossRef]
- Lelieveld, J.; Hadjinicolaou, P.; Kostopoulou, E.; Chenoweth, J.; El Maayar, M.; Giannakopoulos, C.; Hannides, C.; Lange, M.A.; Tanarhte, M.; Tyrlis, E.; et al. Climate change and impacts in the Eastern Mediterranean and the Middle East. Clim. Chang. 2012, 114, 667–687. [Google Scholar] [CrossRef] [Green Version]
- Droogers, P.; Immerzeel, W.W.; Terink, W.; Hoogeveen, J.; Bierkens, M.F.P.; Van Beek, L.P.H.; Debele, B. Water resources trends in Middle East and North Africa towards 2050. Hydrol. Earth Syst. Sci. 2012, 16, 1–14. [Google Scholar] [CrossRef] [Green Version]
- Cafiero, C. Study on Supply and Demand Prospects for the Major Syrian Agricultural Products; 8–9 Reports; Ministry of Agriculture and Agrarian Reform (NAPC): Damascus, Syria, 2009.
- Erian, W.; Abbashar, A.; Abo-Swaireh, L. Drought Vulnerability in the Arab Region-Case Study Drought in Syria; Ten Years of Scarce Water (2000–2010); ACSAD: Damascus, Syria, 2011. [Google Scholar]
- Ministry of Water and Irrigation (MWI). Water for Life: Jordan’s Water Strategy 2008–2022; Ministry of Water and Irrigation: Amman, Jordan, 2009.
- Hussein, H.; Natta, A.; Yehya, A.A.K.; Hamadna, B. Syrian refugees, water scarcity, and dynamic policies: How do the new refugee discourses impact water governance debates in Lebanon and Jordan? Water 2020, 12, 325. [Google Scholar] [CrossRef] [Green Version]
- Zeitoun, M. Power and Water in the Middle East: The Hidden Politics of the Palestinian—Israeli Water Conflict; I.B.Tauris: London, UK, 2008. [Google Scholar]
- Pongracz, R.; Bartholy, J.; Gelyb o Gy Szab´o, P. Detected and Expected Trends of Extreme Climate Indices for the Carpathian Basin. Bioclimatology and Natural Hazards; Springer Science & Business Media: New York, NY, USA, 2009. [Google Scholar]
- Report of the Arab Forum for Environment and Development (AFED 2008 & 2009). In Arab Environment Climate Change: Impact of Climate Change on Arab Countries; Arab Forum for Environment and Development: Beirut, Lebanon, 2009.
- Seawright, J.; Gerring, J. Case Selection Techniques in Case Study Research A Menu of Qualitative and Quantitative Options. Political Res. Q. 2008, 61, 294–308. [Google Scholar] [CrossRef]
- Fürst, J.; Holzman, H. Wasserwirtschaft, Hydrologie und Flussgebietsmanagement; Institute für Wasserwirtchaft Hydroloie und konstuktiven Wasserbau, Universitat für Boenkultur: Wien, Austria, 2007; p. 18. [Google Scholar]
- Camperling, C.; Leroch, K.; Fürst, J.; Holzman, H. Hydrologie; Institute für Wasserwirtchaft Hydroloie und konstuktiven Wasserbau, Universitat für Boenkultur: Wien, Austria, 2004. [Google Scholar]
- Makhoul, H.A.; Matanyous, J.F.; Agha, N.A. Applied Statistics; Faculty of Economics, Damascus University: Damascus, Syria, 2006. [Google Scholar]
- Jungo, P. Temperature Extreme; Organe consultatif sur les changements climatiques Beratendes Organ für Fragen der Klimaänderung: Bern, Switzerland, 2003. [Google Scholar]
- Abu Hammad, A. Rainfall trends as an indication to climate change since the 19th century in the palestinian central mountains: Jerusalem governorate as a case study. Carpathian J. Earth Environ. Sci. 2021, 17, 59–68. [Google Scholar] [CrossRef]
- NOAA. Drought in Syria Manmade Climate Change; NOAA: Damascus, Syria, 2011.
- Trigo, I.F.; Davies, T.D.; Bigg, G.R. Decline in Mediterranean rainfall caused by weakening of Mediterranean cyclones. Geophys. Res. Lett. 2000, 27, 2913–2916. [Google Scholar] [CrossRef]
- Kutiel, H.; Panagiotis, M.; Guika, S. Circulation and extreme rainfall conditions in the eastern mediterranean during the last century. Int. J. Climatol. 1996, 16, 73–92. [Google Scholar] [CrossRef]
- Oikonomou, C.H.; Flocas, H.A.; Hatzaki, M.; Asimakopoulos, D.N.; Giannakopoulos, C. Future changes in the occurrence of extreme precipitation events in eastern mediterranean. Glob. Nest J. 2008, 10, 255–262. [Google Scholar]





| Weather Station | Latitude | Longitude | Altitude | Station Type | Available Rainfall Data Time Series | 
|---|---|---|---|---|---|
| Latakia | 35.78 | 35.52 | 7 | S 1 | 2010–1970 | 
| Al- Basel airport | 35.94 | 35.41 | 48 | S | 2010–1970 | 
| Al- Qirdaha | 36.05 | 35.45 | 300 | S | 2010–1970 | 
| Al- Hafa | 36.05 | 35.61 | 335 | C 2 | 2010–1970 | 
| Qastal al- Ma’af | 35.94 | 35.83 | 675 | C | 2010–1970 | 
| Salanfa | 36.19 | 35.57 | 1173 | C | 2010–1970 | 
| Statistical Significance of the Change between the Two Precipitation Averages (1970 to 2000 and 2001 to 2010) | Precipitation Change (mm) | Precipitation Average 2001–2010 (mm) | Precipitation Average 1970–2000 (mm) | Statistical Significance of the Change in the Slope of the Regression Line for the Precipitation Amount 1970–2010 | The Change in the Slope of the Regression Line for the Precipitation Amount 1970–2010 (mm) | Season | Station | |
|---|---|---|---|---|---|---|---|---|
| Per Year | Entire Period | |||||||
| ــــ | −38 | 691 | 729 | ــــ | −3.1 | −124.7 | Annual precipitation | Latakia | 
| ــــ | −2 | 104 | 106 | ــــ | 0.5 | 18.1 | The summer half | |
| ــــ | −36 | 587 | 623 | ــــ | −3.6 | −142.8 | The winter half | |
| ــــ | 20 | 413 | 393 | ــــ | −1.0 | −41.5 | Winter | |
| ++ | −61 | 99 | 160 | ++ | −2.4 | −94.6 | Spring | |
| ــــ | 4 | 14 | 10 | ــــ | 0.1 | 4.2 | Summer | |
| ــــ | −3 | 164 | 167 | ــــ | 0.2 | 7.3 | Autumn | |
| ــــ | −14 | 795 | 809 | ــــ | −4.1 | −157 | Annual precipitation | Al- Basel airport | 
| ــــ | −26 | 105 | 131 | ــــ | −1.5 | −56 | The summer half | |
| ــــ | 12 | 690 | 678 | ــــ | −2.7 | −101 | The winter half | |
| ــــ | 57 | 492 | 435 | ــــ | 0.6 | 21 | Winter | |
| + | −45 | 137 | 182 | + | −3.2 | −123 | Spring | |
| ــــ | −2 | 14 | 16 | ــــ | −0.2 | −9 | Summer | |
| ــــ | −24 | 152 | 176 | ــــ | −1.2 | −46 | Autumn | |
| ــــ | 58 | 1040 | 982 | ــــ | −1.3 | −52.2 | Annual precipitation | Al- Qirdaha | 
| ــــ | −4 | 165 | 168 | ــــ | −0.5 | −19.3 | The summer half | |
| ــــ | 62 | 875 | 813 | ــــ | −0.8 | −32.9 | The winter half | |
| ــــ | 86 | 590 | 504 | ــــ | 1.4 | 57.8 | Winter | |
| ــــ | −42 | 209 | 251 | ++ | −2.9 | −116.4 | Spring | |
| ــــ | 12 | 37 | 25 | ــــ | 0.4 | 16.1 | Summer | |
| ــــ | 2 | 204 | 202 | ــــ | −0.2 | −9.8 | Autumn | |
| ــــ | −64 | 907 | 971 | ++ | −8.1 | −325 | Annual precipitation | Al- Hafa | 
| ــــ | −34 | 139 | 173 | ــــ | −2.0 | −78 | The summer half | |
| ــــ | −30 | 768 | 798 | + | −6.2 | −248 | The winter half | |
| ــــ | 36 | 515 | 479 | ــــ | −2.1 | −82 | Winter | |
| ++ | −100 | 166 | 266 | ++ | −5.3 | −210 | Spring | |
| ــــ | −11 | 16 | 27 | ++ | −0.8 | −32 | Summer | |
| ــــ | 11 | 210 | 199 | ــــ | 0 | −1 | Autumn | |
| ــــ | −79 | 953 | 1032 | ــــ | −6.6 | −263 | Annual precipitation | Qastal al-Ma’af | 
| ــــ | −56 | 148 | 204 | ــــ | −2.5 | −101 | The summer half | |
| ــــ | −22 | 806 | 828 | ــــ | −4.1 | −164 | The winter half | |
| ــــ | 17 | 522 | 505 | ــــ | −1.3 | −50 | Winter | |
| ++ | −73 | 207 | 280 | + | −4.1 | −164 | Spring | |
| ++ | −15 | 9 | 24 | + | −0.7 | −28 | Summer | |
| ــــ | −8 | 215 | 223 | ــــ | −0.6 | −22 | Autumn | |
| ــــ | 23 | 1204 | 1181 | ــــ | −1.9 | −75.0 | Annual precipitation | Salanfa | 
| ــــ | −3 | 186 | 189 | ــــ | −0.4 | −14.5 | The summer half | |
| ــــ | 26 | 1018 | 992 | ــــ | −1.5 | −60.5 | The winter half | |
| ــــ | 69 | 672 | 603 | ــــ | 1.2 | 48.1 | Winter | |
| ــــ | −28 | 307 | 335 | + | −1.6 | −64.2 | Spring | |
| ــــ | 5 | 29 | 24 | ــــ | −0.5 | −19.1 | Summer | |
| ــــ | −22 | 197 | 219 | ــــ | −1.0 | −39.8 | Autumn | |
| Autumn | Summer | Spring | Winter | Precipitation Percentage during the Two Periods | Station | 
|---|---|---|---|---|---|
| 23% | 1% | 22% | 54% | 1970–2000 | Latakia | 
| 24% | 2% | 14% | 60% | 2001–2010 | |
| 22% | 2% | 22% | 54% | 1970–2000 | Al- Basel airport | 
| 19% | 2% | 17% | 62% | 2001–2010 | |
| 21% | 3% | 26% | 51% | 1970–2000 | Al- Qirdaha | 
| 20% | 4% | 20% | 57% | 2001–2010 | |
| 21% | 3% | 27% | 49% | 1970–2000 | Al- Hafa | 
| 23% | 2% | 18% | 57% | 2001–2010 | |
| 22% | 2% | 27% | 49% | 1970–2000 | Qastal al- Ma’af | 
| 23% | 1% | 22% | 55% | 2001–2010 | |
| 19% | 2% | 28% | 51% | 1970–2000 | Salanfa | 
| 16% | 2% | 25% | 56% | 2001–2010 | 
| Publisher’s Note: MDPI stays neutral with regard to jurisdictional claims in published maps and institutional affiliations. | 
© 2022 by the authors. Licensee MDPI, Basel, Switzerland. This article is an open access article distributed under the terms and conditions of the Creative Commons Attribution (CC BY) license (https://creativecommons.org/licenses/by/4.0/).
Share and Cite
Abu Hammad, A.H.Y.; Salameh, A.A.M.; Fallah, R.Q. Precipitation Variability and Probabilities of Extreme Events in the Eastern Mediterranean Region (Latakia Governorate-Syria as a Case Study). Atmosphere 2022, 13, 131. https://doi.org/10.3390/atmos13010131
Abu Hammad AHY, Salameh AAM, Fallah RQ. Precipitation Variability and Probabilities of Extreme Events in the Eastern Mediterranean Region (Latakia Governorate-Syria as a Case Study). Atmosphere. 2022; 13(1):131. https://doi.org/10.3390/atmos13010131
Chicago/Turabian StyleAbu Hammad, Ahmad H. Y., Ala A. M. Salameh, and Riad Qara Fallah. 2022. "Precipitation Variability and Probabilities of Extreme Events in the Eastern Mediterranean Region (Latakia Governorate-Syria as a Case Study)" Atmosphere 13, no. 1: 131. https://doi.org/10.3390/atmos13010131
APA StyleAbu Hammad, A. H. Y., Salameh, A. A. M., & Fallah, R. Q. (2022). Precipitation Variability and Probabilities of Extreme Events in the Eastern Mediterranean Region (Latakia Governorate-Syria as a Case Study). Atmosphere, 13(1), 131. https://doi.org/10.3390/atmos13010131
 
         
                                                

 
       