Human Health Risk Assessment of Air Pollution in the Regions of Unsustainable Heating Sources. Case Study—The Tourist Areas of Southern Poland
Abstract
1. Introduction
2. Materials and Methods
2.1. Study Area
2.2. Air Pollutant Measurements
2.3. Human Health Risk Assessment
3. Results
3.1. Air Quality
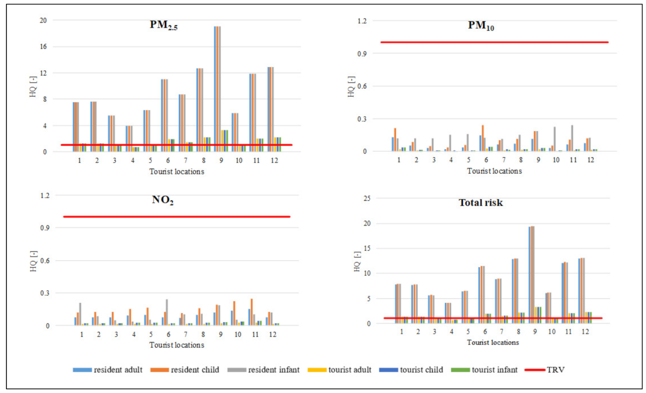
3.2. Human Health Risk Assessment
4. Discussion
Limitations and Strengths of the Present Study
5. Conclusions
Supplementary Materials
Author Contributions
Funding
Institutional Review Board Statement
Informed Consent Statement
Data Availability Statement
Acknowledgments
Conflicts of Interest
References
- U.S. Environmental Protection Agency. Integrated Science Assessment (ISA) for Particulate Matter (Final Report, 2019); EPA/600/R-19/188; U.S. Environmental Protection Agency: Washington, DC, USA, 2019.
 - Pope, A.C., III; Dockery, D.W. Health Effects of Fine Particulate Air Pollution: Lines that Connect. J. Air Waste Manag. 2006, 56, 709–742. [Google Scholar] [CrossRef] [PubMed]
 - Perez, L.; Medina-Ramón, M.; Künzli, N.; Alastuey, A.; Pey, J.; Pérez, N.; Garcia, R.; Tobias, A.; Querol, X.; Sunyer, J. Size Fractionate Particulate Matter, Vehicle Traffic, and Case-Specific Daily Mortality in Barcelona, Spain. Environ. Sci. Technol. 2009, 43, 4707–4714. [Google Scholar] [CrossRef] [PubMed]
 - Qiu, H.; Yu, I.T.; Tian, L.; Wang, X.; Tse, L.A.; Tam, W.; Tze, W.W. Effects of coarse particulate matter on emergency hospital admissions for respiratory diseases: A time-series analysis in Hong Kong. Environ. Health Persp. 2012, 120, 572–576. [Google Scholar] [CrossRef] [PubMed]
 - Pope, C.A., III; Coleman, N.; Pond, Z.A.; Burnett, R.T. Fine particulate air pollution and human mortality: 25+ years of cohort studies. Environ. Res. 2020, 183, 108924. [Google Scholar] [CrossRef]
 - Wu, X.; Braun, D.; Schwartz, J.; Kioumourtzoglou, M.A.; Dominici, F. Evaluating the impact of long-term exposure to fine particulate matter on mortality among the elderly. Sci. Adv. 2020, 6, eaba5692. [Google Scholar] [CrossRef]
 - Loeb, L.A. A mutator phenotype in cancer. Cancer Res. 2001, 61, 3230–3239. [Google Scholar]
 - Potgieter-Vermaak, S.; Rotondo, G.; Novakovic, V.; Rollins, S.; van Grieken, R. Component−specific toxic concerns of the inhalable fraction of urban road dust. Environ. Geochem. Health 2012, 34, 689–696. [Google Scholar] [CrossRef]
 - WHO. Health Effects of Particulate Matter: Policy Implications for Countries in Eastern Europe, Caucasus and Central Asia; WHO Report 2013; WHO Regional Office for Europe: Copenhagen, Denmark, 2013. [Google Scholar]
 - World Health Organization. Outdoor Air Pollution. IARC Monographs on the Evaluation of Carcinogenic Risks to Humans; World Health Organization: Geneva, Switzerland, 2016; Volume 109. [Google Scholar]
 - Jedrychowski, W.; Maugeri, U.; Jedrychowska-Bianchi, I.; Flak, E. Effect of indoor air quality in the postnatal period on lung function in pre-adolescent children: A retrospective cohort study in Poland. Public Health 2005, 119, 535–541. [Google Scholar] [CrossRef]
 - Jedrychowski, W.A.; Perera, F.P.; Spengler, J.D.; Mroz, E.; Stigter, L.; Flak, E.; Majewska, R.; Klimaszewska-Rembiasz, M.; Jacek, R. Intrauterine exposure to fine particulate matter as a risk factor for increased susceptibility to acute broncho-pulmonary infections in early childhood. Int. J. Hyg. Environ. Health 2013, 216, 395–401. [Google Scholar] [CrossRef]
 - Kilian, J.; Kitazawa, M. The emerging risk of exposure to air pollution on cognitive decline and Alzheimer’s disease. Evidence from epidemiological and animal studies. Biomed. J. 2018, 41, 141–162. [Google Scholar] [CrossRef]
 - Hanigana, I.C.; Rolfeb, M.I.; Knibbs, L.D.; Salimi, F.; Cowie, C.T.; Heyworth, J.; Marks, G.B.; Guo, Y.; Cope, M.; Bauman, A.; et al. All-cause mortality and long-term exposure to low level air pollution in the ‘45 and up study’ cohort, Sydney, Australia, 2006–2015. Environ. Int. 2019, 126, 762–770. [Google Scholar] [CrossRef]
 - Maynard, D.; Coull, B.A.; Gryparis, A.; Schwartz, J. Mortality Risk Associated with Short-Term Exposure to Traffic Particles and Sulfates. Environ. Health Persp. 2007, 115, 751–755. [Google Scholar] [CrossRef]
 - Meister, K.; Johansson, C.; Forsberg, B. Estimated short-term effects of coarse particles on daily mortality in Stockholm, Sweden. Environ. Health Persp. 2012, 120, 431–436. [Google Scholar] [CrossRef]
 - Publications Office of the European Union. Air Quality in Europe—2020 Report; EEA Report No 09/2020; Publications Office of the European Union: Luxembourg; European Environment Agency: København, Denmark, 2020. [Google Scholar]
 - Zhang, W.; Lu, Z.; Xu, Y.; Wang, C.; Gu, Y.; Xu, H.; Streets, D.G. Black carbon emissions from biomass and coal in rural China. Atmos. Environ. 2018, 176, 158–170. [Google Scholar] [CrossRef]
 - Zhang, W.; Stern, D.; Liu, X.; Cai, W.; Wang, C. An analysis of the costs of energy saving and CO2 mitigation in rural households in China. J. Clean. Prod. 2017, 165, 734–745. [Google Scholar] [CrossRef]
 - Chlebowska-Styś, A.; Kobus, D.; Zathey, M.; Sówka, I. The impact of road transport on air quality in selected Polish cities. Ecol. Chem. Eng. A 2019, 26, 19–36. [Google Scholar]
 - Krzyżanowski, M.; Kuna-Dibbert, B.; Schneider, J. Health Effects of Transport-Related Air Pollution; World Health Organization: Geneva, Switzerland, 2005. [Google Scholar]
 - Matz, C.J.; Egyed, M.; Hocking, R.; Seenundun, S.; Charman, N.; Edmonds, N. Human health effects of traffic-related air pollution (TRAP): A scoping review protocol. Syst. Rev. 2019, 8, 1–5. [Google Scholar] [CrossRef]
 - Chłopek, Z.; Lasocki, J.; Strzałkowska, K.; Zakrzewska, D. Impact of pollutant emission from motor vehicles on air quality in a city agglomeration. Combust. Engines 2019, 177, 7–11. [Google Scholar] [CrossRef]
 - Cichowicz, R.; Stelęgowski, A. Average hourly concentrations of air contaminants in selected urban, town, and rural sites. Arch. Environ. Contam. Toxicol. 2019, 77, 197–213. [Google Scholar] [CrossRef]
 - Zhang, W.; Jiang, L.; Cui, Y.; Xu, Y.; Wang, C.; Yu, J.; Streets, D.G.; Lin, B. Effects of urbanization on airport CO2 emissions: A geographically weighted approach using nighttime light data in China. Resour. Conserv. Recycl. 2019, 150, 104454. [Google Scholar] [CrossRef]
 - Krzyzanowski, M.; Apte, J.S.; Bonjour, S.P.; Brauer, M.; Cohen, A.J.; Prüss-Ustun, A.M. Air pollution in the mega-cities. Curr. Environ. Health Rep. 2014, 1, 185–191. [Google Scholar] [CrossRef]
 - Jasek-Kamińska, A.; Zimnoch, M.; Wachniew, P.; Różański, K. Urban CO2 budget: Spatial; and seasonal variability of CO2 emissions in Krakow, Poland. Atmosphere 2020, 11, 629. [Google Scholar] [CrossRef]
 - Resolution No. XXXII/452/17 of the Regional Assembly of the Małopolska Region of 23 January 2017 on the Introduction in the Area of the Małopolska Region of Restrictions and Prohibitions on the Operation of Installations in which Fuel Is Burned. (In Polish). Available online: https://powietrze.malopolska.pl/wp-content/plugins/download-attachments/includes/download.php?id=14588 (accessed on 5 November 2020).
 - Sówka, I.; Kobus, D.; Skotak, K.; Zathey, M.; Merenda, B.; Paciorek, M. Assessment of the health risk related to air pollution in selected Polish health resorts. J. Ecol. Eng. 2019, 20, 132–145. [Google Scholar] [CrossRef]
 - Jaguś, A.; Rzętała, M. The Czorsztyn and Sromowce Reservoirs–location, characteristics and nomenclature. Pienin. Zapora Zmiany Monogr. Pienińskie 2010, 2, 1–14. (In Polish) [Google Scholar]
 - Adamiec, E.; Dajda, J.; Gruszecka-Kosowska, A.; Helios-Rybicka, E.; Kisiel-Dorohinicki, M.; Klimek, R.; Pałka, D.; Wąs, J. Using Medium-Cost Sensors to Estimate Air Quality in Remote Locations. Case Study of Niedzica, Southern Poland. Atmosphere 2019, 10, 393. [Google Scholar] [CrossRef]
 - Van den Elshout, S.; Bartelds, H.; Heich, H.; Léger, K. CAQI Air Quality Index. Comparing Urban Air Quality across Borders; European Union, European Regional Development Fund: Brussels, Belgium, 2012. [Google Scholar]
 - USEPA. Risk Assessment Guidance for Superfund; Human Health Evaluation Manual. Part A. Interim Report (Final); Technical Report No. PB-90-155581/XAB; US Environmental Protection Agency: Washington, DC, USA, 1989; Volume 1. [Google Scholar]
 - Garbero, V.; Montaldo, A.; Lazovic, N.; Salizzoni, P.; Berrone, S.; Soulhac, L. The impact of the urban air pollution on the human health: A case study in Turin. In Air Pollution Modelling and Its Application XXI; Styen, D.G., Trini Castelli, S., Eds.; Springer: Dordrecht, The Netherlands, 2012; pp. 729–732. [Google Scholar]
 - De Oliveira, B.F.A.; Ignotti, E.; Artaxo, P.; Saldiva, P.H.; Junger, W.L.; Hacon, S. Risk assessment of PM2.5 to child residents in Brazilian Amazon region with biofuel production. Environ. Health 2012, 11, 64. [Google Scholar] [CrossRef] [PubMed]
 - US Environmental Protection Agency. Regional Screening Level (RSL) Summary Table (TR=1E-06, HQ=1); US Environmental Protection Agency: Washington, DC, USA, 2020.
 - Office of Emergency and Remedial Response. Risk Assessment Guidance for Superfund Volume I: Human Health Evaluation Manual Supplemental Guidance; US Environmental Protection Agency: Washington, DC, USA, 2009.
 - Office of Emergency and Remedial Response. Supplemental Guidance for Developing Soil Screening Levels for Superfund Sites; OSWER 9355; US Environmental Protection Agency: Washington, DC, USA, 2002; pp. 4–24.
 - US Environmental Protection Agency. Child-Specific Exposure Factors Handbook; EPA/600/R-06/096F; National Center for Environmental Assessment Office of Research and Development: Washington, DC, USA, 2008.
 - US Environmental Protection Agency. Exposure Factors Handbook: 2011 Edition; EPA/600/R-09/052F; National Center for Environmental Assessment: Washington, DC, USA, 2011.
 - US Environmental Protection Agency. Risk Assessment Guidance for Superfund, Vol. 3: Part A, Process for Conducting Probabilistic Risk Assessment; Office of Emergency and Remedial Response, US Environmental Protection Agency: Washington, DC, USA, 2001.
 - Regulation of the Minister of the Environment of 24 August 2012 concerning the levels of certain substances in the air. J. Lows 2012, 1031, 1–9.
 - Traczyk, P.; Gruszecka-Kosowska, A. The Condition of Air Pollution in Kraków, Poland, in 2005–2020, with Health Risk Assessment. Int. J. Environ. Res. Public Health 2020, 17, 6063. [Google Scholar] [CrossRef] [PubMed]
 - Gruszecka-Kosowska, A. Assessment of the Kraków inhabitants’ health risk caused by the exposure to inhalation of outdoor air contaminants. Stoch. Environ. Res. Risk Assess. 2018, 32, 485–499. [Google Scholar] [CrossRef]
 - Adamiec, E. Road Environments: Impact of Metals on Human Health in Heavily Congested Cities of Poland. Int. J. Environ. Res. Public Health 2017, 14, 697. [Google Scholar] [CrossRef] [PubMed]
 - Samek, L. Overall human mortality and morbidity due to exposure to air pollution. Int. J. Occup. Med. Environ. Health 2016, 29, 417–426. [Google Scholar] [CrossRef] [PubMed]
 - Pachurka, Ł.; Gruszecka-Kosowska, A.; Kobus, D.; Sówka, I. Assessment of inhalational exposure of the residents of Wrocław, Kraków, and Warszawa to benzo[a]pyrene. Ecol. Chem. Eng. A 2018, 25, 39–49. [Google Scholar] [CrossRef]
 - Zgłobicki, W.; Telecka, M.; Skupiński, S. Assessment of short-term changes in street dust pollution with heavy metals in Lublin (E Poland)—levels, sources and risks. Environ. Sci. Pollut. Res. 2019, 26, 35049–35060. [Google Scholar] [CrossRef] [PubMed]
 - Widziewicz, K.; Rogula-Kozłowska, W.; Loska, K.; Kociszewska, K.; Majewski, G. Health Risk Impacts of Exposure to Airborne Metals and Benzo(a)Pyrene during Episodes of High PM10 Concentrations in Poland. Biomed. Environ. Sci. 2018, 31, 23–36. [Google Scholar] [CrossRef]
 - World Health Organization. WHO Ambient Air Pollution Database May 2016; World Health Organization: Geneva, Switzerland, 2016. [Google Scholar]
 - Weinmayr, G.; Pedersen, M.; Stafoggia, M.; Andersen, Z.J.; Galassi, C.; Munkenast, J.; Jaensch, A.; Oftedal, B.; Krog, N.H.; Aamodt, G.; et al. Particulate matter air pollution components and incidence of cancers of the stomach and the upper aerodigestive tract in the European Study of Cohorts of Air Pollution Effects (ESCAPE). Environ. Int. 2018, 120, 163–171. [Google Scholar] [CrossRef] [PubMed]
 - Richardson, E.A.; Pearce, J.; Tunstall, H.; Mitchell, R.; Shortt, N.K. Particulate air pollution and health inequalities: A Europe-wide ecological analysis. Int. J. Health Geogr. 2013, 12, 34. [Google Scholar] [CrossRef] [PubMed]
 - Łapko, A.; Panasiuk, A.; Strulak-Wójcikiewicz, R.; Landowski, M. The State of Air Pollution as a Factor Determining the Assessment of a City’s Tourist Attractiveness—Based on the Opinions of Polish Respondents. Sustainability 2020, 12, 1466. [Google Scholar] [CrossRef]
 - Yoon, H. Effects of particulate matter (PM10) on tourism sales revenue: A generalised additive modeling approach. Tour. Manag. 2019, 74, 358–369. [Google Scholar] [CrossRef]
 - Poudyal, N.C.; Paudel, B.; Green, G.T. Estimating the Impact of Impaired Visibility on the Demand for Visits to National Parks. Tour. Econ. 2013, 19, 433–445. [Google Scholar] [CrossRef]
 - Zhang, A.; Zhong, L.; Xu, Y.; Wang, H.; Dang, L. Tourists’ Perception of Haze Pollution and the Potential Impacts on Travel: Reshaping the Features of Tourism Seasonality in Beijing, China. Sustainability 2015, 7, 2397–2414. [Google Scholar] [CrossRef]
 - Eusébio, C.; João Carneiro, M.; Madaleno, M.; Robaina, M.; Rodrigues, V.; Russo, M.; Relvas, H.; Gama, C.; Lopes, M.; Seixas, V.; et al. The impact of air quality on tourism: A systematic literature review. J. Tour. Features 2020. [Google Scholar] [CrossRef]
 - Smith, J.W.; Seekamp, E.; McCreary, A.; Davenport, M.; Kanazawa, M.; Holmberg, K.; Wilson, B.; Nieber, J. Shifting demand for winter outdoor recreation along the North Shore of Lake Superior under variable rates of climate change: A finite-mixture modeling approach. Ecol. Econ. 2016, 123, 1–13. [Google Scholar] [CrossRef]
 - Chen, C.M.; Lin, Y.L.; Hsu, C.L. Does air pollution drive away tourists? A case study of the Sun Moon Lake National Scenic Area, Taiwan. Transp. Res. Part D 2017, 53, 398–402. [Google Scholar] [CrossRef]
 - Cross, D.T. Why Air Pollution in Poland is the Worst in Europe. Sustainability Times. Green News on Tech, Business, and the Environment. 2019. Available online: https://www.sustainability-times.com/clean-cities/battling-the-scourge-of-air-pollution-in-poland/ (accessed on 24 November 2020).
 - Poland Needs Immediate and Bold Air Quality Action. Available online: https://airqualitynews.com/2020/10/07/poland-needs-immediate-and-bold-air-quality-action/ (accessed on 24 November 2020).
 - Samek, L.; Turek-Fijak, A.; Skiba, A.; Furman, P.; Styszko, K.; Furman, L.; Stegowski, Z. Complex characterization of fine fraction and source contribution to PM2.5 mass at an urban area in Central Europe. Atmosphere 2020, 11, 1085. [Google Scholar] [CrossRef]
 - Kobus, D.; Merenda, B.; Sówka, I.; Chlebowska-Styś, A.; Wroniszewska, A. Ambient air quality as a condition of effective healthcare therapy on the example of selected Polish health resorts. Atmosphere 2020, 11, 882. [Google Scholar] [CrossRef]
 - Wojewódzki Inspektorat Ochrony Środowiska w Krakowie. Regional Environmental Protection Inspectorate in Kraków, Poland. Available online: http://Kraków.pios.gov.pl/ (accessed on 10 November 2020).
 - Bartyzel, J.; Smoleń, K. Assessment of the Impact of Dust Pollution Outside Buildings on Indoor Air Quality. 2017. Available online: https://www.google.com/url?sa=t&rct=j&q=&esrc=s&source=web&cd=&ved=2ahUKEwj5-JO2xensAhVj-ioKHXLaBUIQFjAJegQIChAC&url=https%3A%2F%2Fpolskialarmsmogowy.pl%2Ffiles%2Fartykuly%2F1399.pdf&usg=AOvVaw33gBpe9W68PYeOykMMuHR1 (accessed on 15 December 2020).
 




| Exposure Parameters | Adult | Child | Infant | References | 
|---|---|---|---|---|
| Resident scenario | ||||
| IR, inhalation rate per person (m3/h) | 0.83 | 0.31 | 0.19 | [38,39] | 
| ET, exposure time per person (h/day) | 24 | 24 | 24 | [40] | 
| ED, exposure duration (years) | 24 | 6 | 1 | [41] | 
| EF, exposure frequency (days/year) | 365 | 365 | 365 | site specific * | 
| BW, body weight (kg) | 70 | 16 | 10 | [40] | 
| AT, averaging time (hours) | 210,240 | 52,560 | 8760 | [40] | 
| Tourist scenario | ||||
| IR, inhalation rate per person (m3/h) | 0.83 | 0.31 | 0.19 | [38,39] | 
| ET, exposure time per person (h/day) | 24 | 24 | 24 | [40] | 
| ED, exposure duration (years) | 24 | 6 | 1 | [41] | 
| EF, exposure frequency (days/year) | 62 | 62 | 62 | site specific * | 
| BW, body weight (kg) | 70 | 16 | 10 | [40] | 
| AT, averaging time (hours) | 210,240 | 52,560 | 8760 | [40] | 
| Tourist Location  | Location Number | Resident Scenario | Tourist Scenario | ||||
|---|---|---|---|---|---|---|---|
| Adult | Child | Infant | Adult | Child | Infant | ||
| Maniowy | 1 | 7.74 | 7.87 | 7.87 | 1.32 | 1.34 | 1.34 | 
| Łapsze Wyżne | 2 | 7.71 | 7.79 | 7.79 | 1.31 | 1.32 | 1.32 | 
| Frydman | 3 | 5.59 | 5.66 | 5.66 | 0.95 | 0.96 | 0.96 | 
| Klikuszowa | 4 | 4.08 | 4.16 | 4.15 | 0.69 | 0.71 | 0.71 | 
| Jurgów | 5 | 6.44 | 6.53 | 6.52 | 1.09 | 1.11 | 1.11 | 
| Huba | 6 | 11.29 | 11.43 | 11.42 | 1.92 | 1.94 | 1.94 | 
| Ludźmierz | 7 | 8.84 | 8.92 | 8.92 | 1.50 | 1.52 | 1.51 | 
| Kacwin | 8 | 12.83 | 12.93 | 12.93 | 2.18 | 2.20 | 2.20 | 
| Dębno | 9 | 19.28 | 19.42 | 19.42 | 3.27 | 3.30 | 3.30 | 
| Czorsztyn | 10 | 6.04 | 6.15 | 6.15 | 1.03 | 1.04 | 1.04 | 
| Niedzica | 11 | 12.09 | 12.23 | 12.22 | 2.05 | 2.08 | 2.08 | 
| Waksmund | 12 | 13.01 | 13.11 | 13.10 | 2.21 | 2.23 | 2.23 | 
| Mean | 9.58 | 9.68 | 9.68 | 1.63 | 1.64 | 1.64 | |
Publisher’s Note: MDPI stays neutral with regard to jurisdictional claims in published maps and institutional affiliations.  | 
© 2021 by the authors. Licensee MDPI, Basel, Switzerland. This article is an open access article distributed under the terms and conditions of the Creative Commons Attribution (CC BY) license (https://creativecommons.org/licenses/by/4.0/).
Share and Cite
Gruszecka-Kosowska, A.; Dajda, J.; Adamiec, E.; Helios-Rybicka, E.; Kisiel-Dorohinicki, M.; Klimek, R.; Pałka, D.; Wąs, J. Human Health Risk Assessment of Air Pollution in the Regions of Unsustainable Heating Sources. Case Study—The Tourist Areas of Southern Poland. Atmosphere 2021, 12, 615. https://doi.org/10.3390/atmos12050615
Gruszecka-Kosowska A, Dajda J, Adamiec E, Helios-Rybicka E, Kisiel-Dorohinicki M, Klimek R, Pałka D, Wąs J. Human Health Risk Assessment of Air Pollution in the Regions of Unsustainable Heating Sources. Case Study—The Tourist Areas of Southern Poland. Atmosphere. 2021; 12(5):615. https://doi.org/10.3390/atmos12050615
Chicago/Turabian StyleGruszecka-Kosowska, Agnieszka, Jacek Dajda, Ewa Adamiec, Edeltrauda Helios-Rybicka, Marek Kisiel-Dorohinicki, Radosław Klimek, Dariusz Pałka, and Jarosław Wąs. 2021. "Human Health Risk Assessment of Air Pollution in the Regions of Unsustainable Heating Sources. Case Study—The Tourist Areas of Southern Poland" Atmosphere 12, no. 5: 615. https://doi.org/10.3390/atmos12050615
APA StyleGruszecka-Kosowska, A., Dajda, J., Adamiec, E., Helios-Rybicka, E., Kisiel-Dorohinicki, M., Klimek, R., Pałka, D., & Wąs, J. (2021). Human Health Risk Assessment of Air Pollution in the Regions of Unsustainable Heating Sources. Case Study—The Tourist Areas of Southern Poland. Atmosphere, 12(5), 615. https://doi.org/10.3390/atmos12050615
        
                                                
