The Influence of Magnetic Turbulence on the Energetic Particle Transport Upstream of Shock Waves
Abstract
1. Introduction
2. Shock Crossings by ACE
3. The Role of Magnetic Field Intermittency on the Parallel Particle Transport
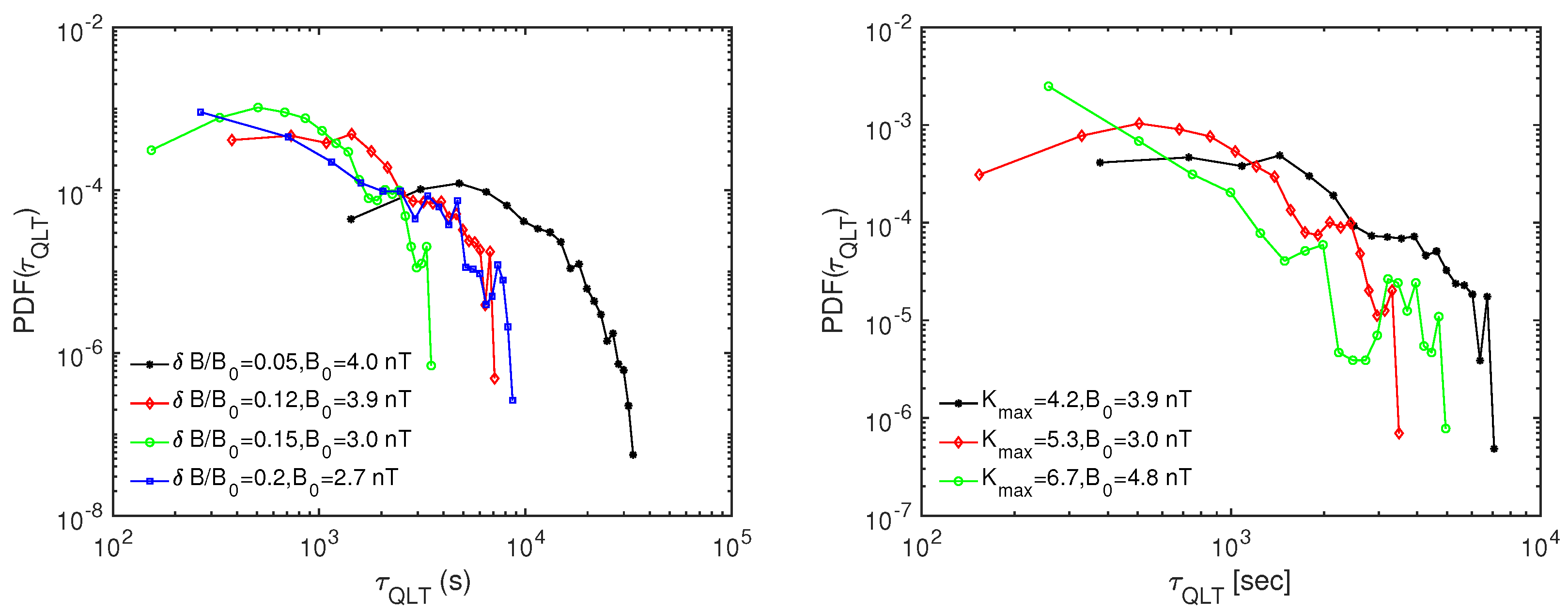
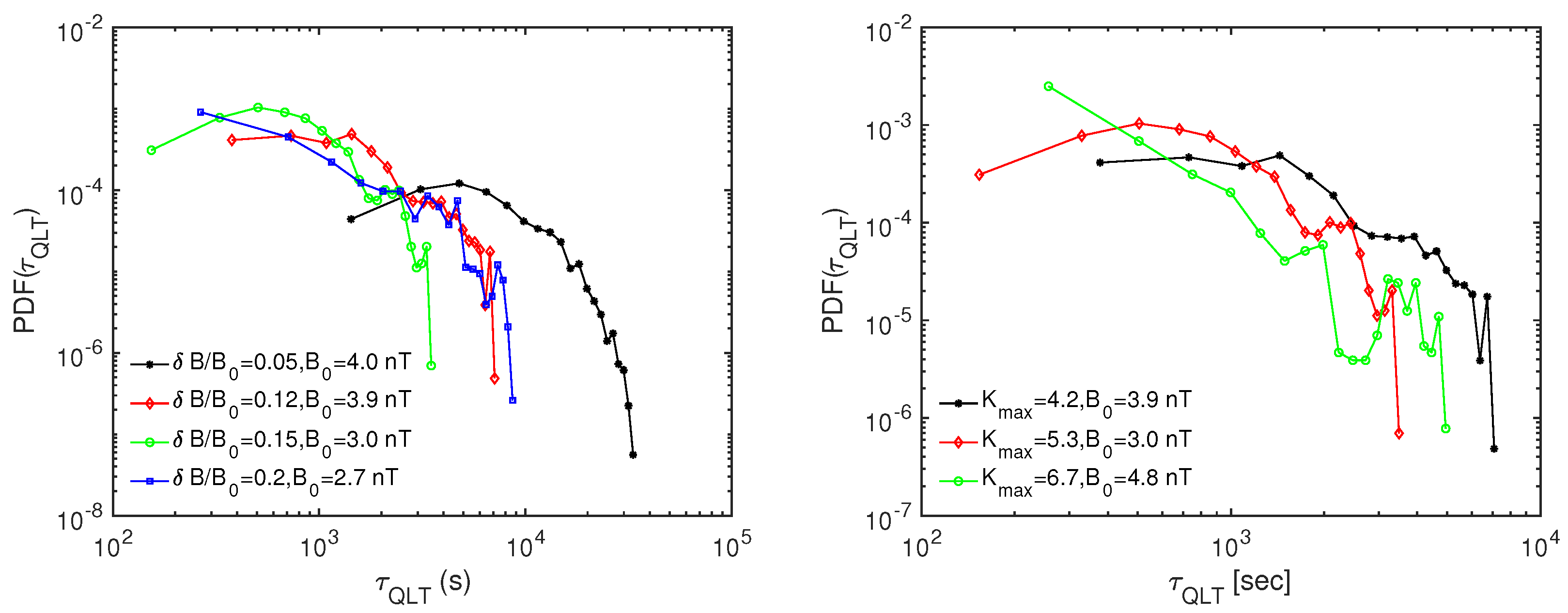
4. Particle Scattering Times
5. Conclusions
Author Contributions
Funding
Data Availability Statement
Acknowledgments
Conflicts of Interest
References
- Sokolov, I.M.; Klafter, J. From diffusion to anomalous diffusion: A century after Einstein’s Brownian motion. Chaos 2005, 15, 026103. [Google Scholar] [CrossRef]
- Zimbardo, G.; Amato, E.; Bovet, A.; Effenberger, F.; Fasoli, A.; Fichtner, H.; Furno, I.; Gustafson, K.; Ricci, P.; Perri, S. Superdiffusive transport in laboratory and astrophysical plasmas. J. Plasma Phys. 2015, 81, 495810601. [Google Scholar] [CrossRef]
- Sioulas, N.; Isliker, H.; Vlahos, L.; Koumtzis, A.; Pisokas, T. Superdiffusive stochastic Fermi acceleration in space and energy. Mon. Not. R. Astron. Soc. 2020, 491, 3860–3869. [Google Scholar] [CrossRef]
- Drury, L.O. An introduction to the theory of diffusive shock acceleration of energetic particles in tenuous plasmas. Rep. Prog. Phys. 1983, 46, 973. [Google Scholar] [CrossRef]
- Perri, S.; Zimbardo, G. Evidence of superdiffusive transport of electrons accelerated at interplanetary shocks. Astrophys. J. Lett. 2007, 671, L177–L180. [Google Scholar] [CrossRef]
- Perri, S.; Zimbardo, G. Superdiffusive transport of electrons accelerated at corotating interaction regions. J. Geophys. Res. (Space Phys.) 2008, 113, A03107. [Google Scholar] [CrossRef]
- Perri, S.; Zimbardo, G. Ion superdiffusion at the solar wind termination shock. Astrophys. J. Lett. 2009, 693, L118–L121. [Google Scholar] [CrossRef]
- Perri, S.; Yordanova, E.; Carbone, V.; Veltri, P.; Sorriso-Valvo, L.; Bruno, R.; André, M. Magnetic turbulence in space plasmas: Scale-dependent effects of anisotropy. J. Geophys. Res. Space Phys. 2009, 114. [Google Scholar] [CrossRef]
- Sugiyama, T.; Shiota, D. Sign for Super-diffusive Transport of Energetic Ions Associated with a Coronal-mass-ejection-driven Interplanetary Shock. Astrophys. J. Lett. 2011, 731, L34. [Google Scholar] [CrossRef]
- Perri, S.; Zimbardo, G. Short Acceleration Times from Superdiffusive Shock Acceleration in the Heliosphere. Astrophys. J. 2015, 815, 75. [Google Scholar] [CrossRef]
- Perri, S.; Zimbardo, G.; Effenberger, F.; Fichtner, H. Parameter estimation of superdiffusive motion of energetic particles upstream of heliospheric shocks. Astron. Astrophys. 2015, 578, A2. [Google Scholar] [CrossRef]
- Perri, S.; Amato, E.; Zimbardo, G. Transport of relativistic electrons at shocks in shell-type supernova remnants: Diffusive and superdiffusive regimes. Astron. Astrophys. 2016, 596, A34. [Google Scholar] [CrossRef]
- Perri, S. Superdiffusion of relativistic electrons at supernova remnant shocks. Plasma Phys. Controll. Fusion 2018, 60, 014005. [Google Scholar] [CrossRef]
- Khiali, B.; Haino, S.; Feng, J. Anomalous Galactic Cosmic Rays in the Framework of AMS-02. Astrophys. J. 2017, 835, 229. [Google Scholar] [CrossRef]
- Zimbardo, G.; Perri, S. Superdiffusive shock acceleration at galaxy cluster shocks. Nat. Astron. 2017, 1, 0163. [Google Scholar] [CrossRef]
- Zimbardo, G.; Perri, S. Understanding the radio spectral indices of galaxy cluster relics by superdiffusive shock acceleration. Mon. Not. R. Astron. Soc. 2018, 478, 4922–4930. [Google Scholar] [CrossRef]
- Trotta, D.; Burgess, D.; Prete, G.; Perri, S.; Zimbardo, G. Particle transport in hybrid PIC shock simulations: A comparison of diagnostics. Mon. Not. R. Astron. Soc. 2020, 491, 580–595. [Google Scholar] [CrossRef]
- Jokipii, J.R. Cosmic-Ray Propagation. I. Charged Particles in a Random Magnetic Field. Astrophys. J. 1966, 146, 480. [Google Scholar] [CrossRef]
- Matthaeus, W.; Qin, G.; Bieber, J.; Zank, G. Nonlinear collisionless perpendicular diffusion of charged particles. Astrophys. J. Lett. 2003, 590, L53. [Google Scholar] [CrossRef]
- Webb, G.; Zank, G.; Kaghashvili, E.K.; Le Roux, J. Compound and perpendicular diffusion of cosmic rays and random walk of the field lines. I. Parallel particle transport models. Astrophys. J. 2006, 651, 211. [Google Scholar] [CrossRef]
- Shalchi, A.; Kourakis, I. A new theory for perpendicular transport of cosmic rays. Astron. Astrophys. 2007, 470, 405–409. [Google Scholar] [CrossRef]
- Dosch, A.; Shalchi, A. Diffusive shock acceleration at interplanetary perpendicular shock waves: Influence of the large scale structure of turbulence on the maximum particle energy. Adv. Space Res. 2010, 46, 1208–1217. [Google Scholar] [CrossRef]
- Shalchi, A. Applicability of the Taylor-Green-Kubo formula in particle diffusion theory. Phys. Rev. E 2011, 83, 046402. [Google Scholar] [CrossRef]
- Zimbardo, G.; Perri, S.; Pommois, P.; Veltri, P. Anomalous particle transport in the heliosphere. Adv. Space Res. 2012, 49, 1633–1642. [Google Scholar] [CrossRef]
- Ferrand, G.; Danos, R.J.; Shalchi, A.; Safi-Harb, S.; Edmon, P.; Mendygral, P. Cosmic Ray Acceleration at Perpendicular Shocks in Supernova Remnants. Astrophys. J. 2014, 792, 133. [Google Scholar] [CrossRef]
- Zimbardo, G.; Pommois, P.; Veltri, P. Superdiffusive and subdiffusive transport of energetic particles in solar wind anisotropic magnetic turbulence. Astrophys. J. Lett. 2006, 639, L91. [Google Scholar] [CrossRef]
- Pommois, P.; Zimbardo, G.; Veltri, P. Anomalous, non-Gaussian transport of charged particles in anisotropic magnetic turbulence. Phys. Plasmas 2007, 14, 012311. [Google Scholar] [CrossRef]
- Hussein, M.; Shalchi, A. Simulations of Energetic Particles Interacting with Dynamical Magnetic Turbulence. Astrophys. J. 2016, 817, 136. [Google Scholar] [CrossRef]
- Palmer, I. Transport coefficients of low-energy cosmic rays in interplanetary space. Rev. Geophys. 1982, 20, 335–351. [Google Scholar] [CrossRef]
- Matthaeus, W.H.; Goldstein, M.L.; Roberts, D.A. Evidence for the presence of quasi-two-dimensional nearly incompressible fluctuations in the solar wind. J. Geophys. Res 1990, 95, 20673–20683. [Google Scholar] [CrossRef]
- Malara, F.; Di Mare, F.; Nigro, G.; Sorriso-Valvo, L. Fast algorithm for a three-dimensional synthetic model of intermittent turbulence. Phys. Rev. E 2016, 94, 053109. [Google Scholar] [CrossRef] [PubMed]
- Frisch, U. Turbulence: The Legacy of AN Kolmogorov; Cambridge University Press: Cambridge, MA, USA, 1995. [Google Scholar]
- Pucci, F.; Malara, F.; Perri, S.; Zimbardo, G.; Sorriso-Valvo, L.; Valentini, F. Energetic particle transport in the presence of magnetic turbulence: Influence of spectral extension and intermittency. Mon. Not. R. Astron. Soc. 2016, 459, 3395–3406. [Google Scholar] [CrossRef]
- Perri, S.; Pucci, F.; Malara, F.; Zimbardo, G. On the Power-Law Distribution of Pitch-Angle Scattering Times in Solar Wind Turbulence. Sol. Phys. 2019, 294, 34. [Google Scholar] [CrossRef]
- Amato, E. The origin of galactic cosmic rays. Int. J. Mod. Phys. D 2014, 23, 1430013. [Google Scholar] [CrossRef]
- Zimbardo, G.; Perri, S. Non-Markovian Pitch-angle Scattering as the Origin of Particle Superdiffusion Parallel to the Magnetic Field. Astrophys. J. 2020, 903, 105. [Google Scholar] [CrossRef]
- Sonnerup, B.U.Ö.; Cahill, L.J. Explorer 12 observations of the magnetopause current layer. J. Geophys. Res. 1968, 73, 1757. [Google Scholar] [CrossRef]
- Yang, L.; Wang, L.; Li, G.; Wimmer-Schweingruber, R.F.; He, J.; Tu, C.; Tian, H.; Bale, S.D. Electron Acceleration by ICME-driven Shocks at 1 au. Astrophys. J. 2019, 875, 104. [Google Scholar] [CrossRef]
- Giacalone, J. Energetic Charged Particles Associated with Strong Interplanetary Shocks. Astrophys. J. 2012, 761, 28. [Google Scholar] [CrossRef]
- Veltri, P.; Mangeney, A. Scaling laws and intermittent structures in solar wind MHD turbulence. In Solar Wind Nine; Habbal, S.R., Esser, R., Hollweg, J.V., Isenberg, P.A., Eds.; American Institute of Physics Conference Series: Melville, NY, USA, 1999; Volume 471, pp. 543–546. [Google Scholar]
- Marsch, E.; Tu, C.Y. Intermittency, non-Gaussian statistics and fractal scaling of MHD fluctuations in the solar wind. Nonlinear Process. Geophys. 1997, 4, 101–124. [Google Scholar] [CrossRef]
- Sorriso-Valvo, L.; Carbone, V.; Veltri, P.; Consolini, G.; Bruno, R. Intermittency in the solar wind turbulence through probability distribution functions of fluctuations. Geophys. Res. Lett. 1999, 26, 1801–1804. [Google Scholar] [CrossRef]
- Bruno, R.; Carbone, V. The Solar Wind as a Turbulence Laboratory. Living Rev. Sol. Phys. 2013, 10, 2. [Google Scholar] [CrossRef]
- Yordanova, E.; Perri, S.; Sorriso-Valvo, L.; Carbone, V. Multipoint observation of anisotropy and intermittency in solar-wind turbulence. Europhys. Lett. 2015, 110, 19001. [Google Scholar] [CrossRef]
- Perri, S.; Zimbardo, G. Magnetic variances and pitch-angle scattering times upstream of interplanetary shocks. Astrophys. J. 2012, 754, 8. [Google Scholar] [CrossRef]
- Zimbardo, G.; Perri, S. From Lévy walks to superdiffusive shock acceleration. Astrophys. J. 2013, 778, 35. [Google Scholar] [CrossRef]
- Perri, S.; Zimbardo, G. Superdiffusive shock acceleration. Astrophys. J. 2012, 750, 87. [Google Scholar] [CrossRef]
- Reynoso, E.M.; Hughes, J.P.; Moffett, D.A. On the radio polarization signature of efficient and inefficient particle acceleration in supernova remnant sn 1006. Astron. J. 2013, 145, 104. [Google Scholar] [CrossRef]
- Caprioli, D.; Spitkovsky, A. Simulations of Ion Acceleration at Non-relativistic Shocks. III. Particle Diffusion. Astrophys. J. 2014, 794, 47. [Google Scholar] [CrossRef]
- Yang, Z.W.; LembèGe, B.; Lu, Q.M. Acceleration of heavy ions by perpendicular collisionless shocks: Impact of the shock front nonstationarity. J. Geophys. Res. (Space Phys.) 2011, 116, A10202. [Google Scholar] [CrossRef]
- Yang, Z.W.; Lembège, B.; Lu, Q.M. Impact of the rippling of a perpendicular shock front on ion dynamics. J. Geophys. Res. (Space Phys.) 2012, 117, A07222. [Google Scholar] [CrossRef]
- Riordan, J.D.; Pe’er, A. Pitch-angle Diffusion and Bohm-type Approximations in Diffusive Shock Acceleration. Astrophys. J. 2019, 873, 13. [Google Scholar] [CrossRef]
- Klafter, J.; Blumen, A.; Shlesinger, M.F. Stochastic pathway to anomalous diffusion. Phys. Rev. A 1987, 35, 3081–3085. [Google Scholar] [CrossRef]




| Date | Time (UT) | () | J*(cm/s*MeV*sr) | ||||
|---|---|---|---|---|---|---|---|
| 27 January 2000 | 14:00 | ND | |||||
| 11 February 2011 | 23:18 | ||||||
| 23 June 2000 | 12:27 | ||||||
| 17 August 2001 | 10:16 | ||||||
| 17 July 2002 | 15:26 | ND | |||||
| 11 November 2004 | 16:43 | ND | |||||
| 28 May 2010 | 01:53 | ND | 423 | ||||
| 23 August 2010 | 16:55 | ||||||
| 17 June 2011 | 02:01 | ND | |||||
| 12 September 2014 | 15:26 | ||||||
| 2 as measured from WIND data. |
Publisher’s Note: MDPI stays neutral with regard to jurisdictional claims in published maps and institutional affiliations. |
© 2021 by the authors. Licensee MDPI, Basel, Switzerland. This article is an open access article distributed under the terms and conditions of the Creative Commons Attribution (CC BY) license (https://creativecommons.org/licenses/by/4.0/).
Share and Cite
Perri, S.; Prete, G.; Malara, F.; Pucci, F.; Zimbardo, G. The Influence of Magnetic Turbulence on the Energetic Particle Transport Upstream of Shock Waves. Atmosphere 2021, 12, 508. https://doi.org/10.3390/atmos12040508
Perri S, Prete G, Malara F, Pucci F, Zimbardo G. The Influence of Magnetic Turbulence on the Energetic Particle Transport Upstream of Shock Waves. Atmosphere. 2021; 12(4):508. https://doi.org/10.3390/atmos12040508
Chicago/Turabian StylePerri, Silvia, Giuseppe Prete, Francesco Malara, Francesco Pucci, and Gaetano Zimbardo. 2021. "The Influence of Magnetic Turbulence on the Energetic Particle Transport Upstream of Shock Waves" Atmosphere 12, no. 4: 508. https://doi.org/10.3390/atmos12040508
APA StylePerri, S., Prete, G., Malara, F., Pucci, F., & Zimbardo, G. (2021). The Influence of Magnetic Turbulence on the Energetic Particle Transport Upstream of Shock Waves. Atmosphere, 12(4), 508. https://doi.org/10.3390/atmos12040508

