Application of Positive Matrix Factorization Receptor Model for Source Identification of PM10 in the City of Sofia, Bulgaria
Abstract
1. Introduction
2. Materials and Methods
2.1. Sampling Site
2.2. PM10 Sampling, Chemical Analysis, and Data Quality Control
2.3. Source Apportionment by PMF
2.4. Source Apportionment by Copernicus Atmosphere Monitoring Service (CAMS) CTM
3. Results and Discussion
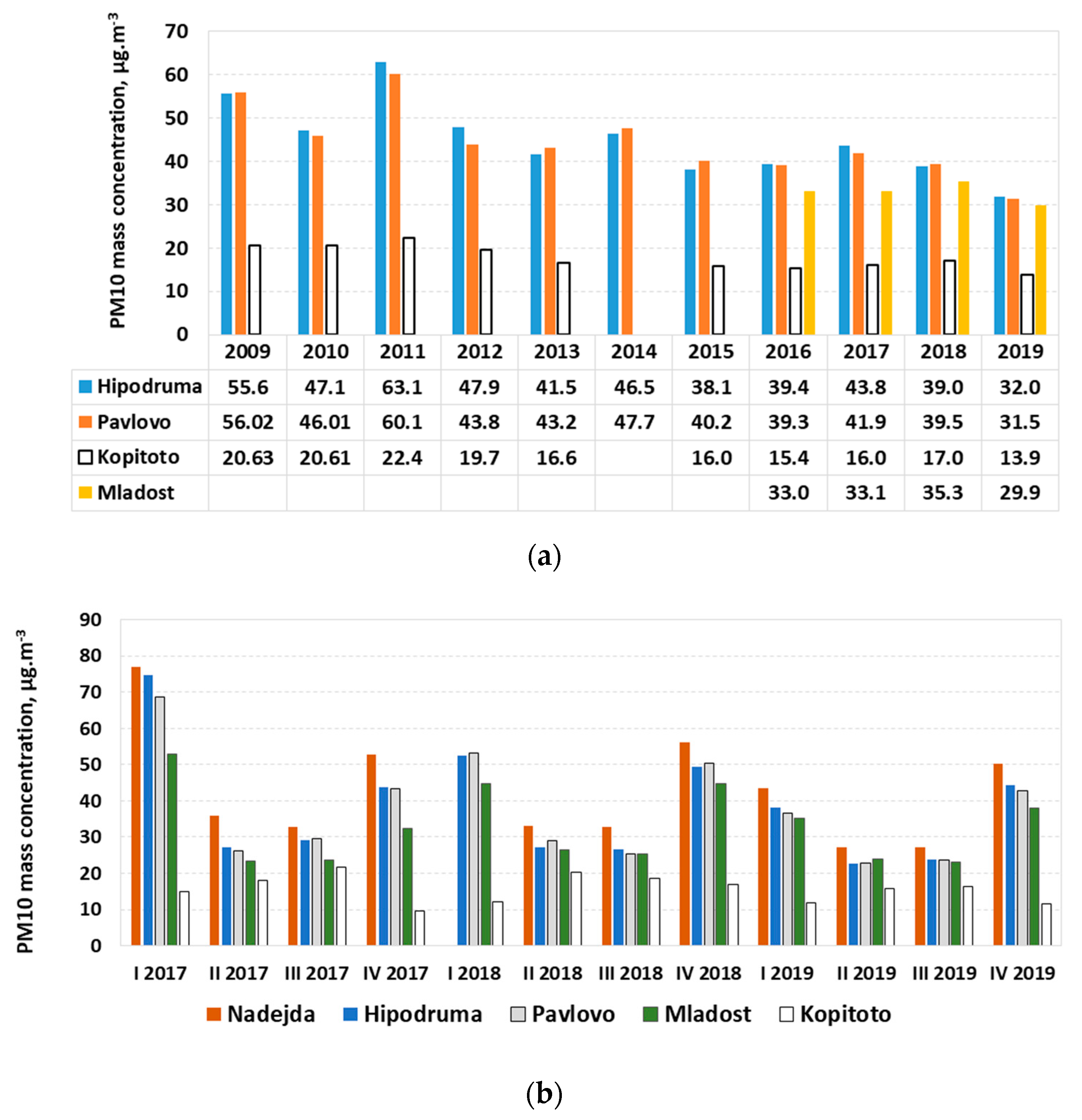
3.1. PM10 Mass Concentrations
3.2. Source Apportionment Results
3.3. Contribution of Outside Sources and Chemical Composition of Background PM Concentrations
4. Conclusions
Supplementary Materials
Author Contributions
Funding
Acknowledgments
Conflicts of Interest
References
- World Health Organization. Available online: https://www.who.int/en/news-room/fact-sheets/detail/ambient-(outdoor)-air-quality-and-health (accessed on 20 June 2020).
- European Environment Agency. Air Quality in Europe—2019 Report; Publications Office of the European Union: Luxembourg, 2019; ISBN 978-92-9480-088-6. [Google Scholar] [CrossRef]
- Seinfeld, J.H.; Pandis, N.S. Atmospheric Chemistry and Physics. From Air Pollution to Climate Change, 2nd ed.; John Wiley & Sons: Hoboken, NJ, USA, 2006; p. 1225. [Google Scholar]
- Lim, S.S.; Vos, T.; Flaxman, A.D.; Danaei, G.; Shibuya, K.; Adair-Rohani, H.; AlMazroa, M.A.; Amann, M.; Anderson, H.R.; Andrews, K.G.; et al. A comparative risk assessment of burden of disease and injury attributable to 67 risk factor clusters in 21 regions, 1990–2010: A systematic analysis for the Global Burden of Disease Study 2010. Lancet 2012, 380, 2224–2260. [Google Scholar] [CrossRef]
- CAMS71_2016SC2. Annual Air Quality Assessment Report for 2015. Available online: https://policy.atmosphere.copernicus.eu/reports/CAMS-71_SC22016_D71.1.3_201801_V2.pdf (accessed on 27 June 2020).
- Putaud, J.-P.; van Dingenen, R.; Alastuey, A.; Bauer, H.; Birmili, W.; Cyrys, J.; Flentje, H.; Fuzzi, S.; Gehrig, R.; Hansson, H.C.; et al. A European aerosol phenomenology 3: Physical and chemical characteristics of particulate matter from 60 rural, urban, and kerbside sites across Europe. Atmos. Environ. 2010, 44, 1308–1320. [Google Scholar] [CrossRef]
- MOEW Rep. National Report on the State and Protection of the Environment in the Republic of Bulgaria in 2017. Issued 2019 from Ministry of Environment and Waters (MEW). Available online: http://eea.government.bg/bg/soer/2017 (accessed on 16 June 2020).
- MOEW. Regional Situation Report of the Environment in 2019; Regional Inspectorate of Environment and Water: Sofia, Bulgaria, 2020. [Google Scholar]
- MOEW. National Report on the State and Protection of The Environment, MoEW, Sofia. Available online: http://eea.government.bg/bg/soer/2014 (accessed on 12 June 2020).
- Andreev, V.; Branzov, C.; Koleva, E.; Tzenkova, A.; Ivancheva, J.; Videnov, P. Climate and Human Comfort of Sofia. Ecology of the City of Sofia, Species and Communities in an Urban Environment; Pensoft Publishers: Sofia, Bulgaria, 2004; pp. 25–54. [Google Scholar]
- Batchvarova, E.; Syrakov, D.; Tzenkova, A. Air Pollution Characteristics of a Region of Sofia and Data from Field Experiments (1992–1993). In Urban Air Pollution; Allegrini, I., De Santis, F., Eds.; Springer: Berlin, Germany, 1996; Volume 8, pp. 235–242. [Google Scholar]
- Naydenova, I.; Petrova, T.; Velichkova, R.; Simova, I. PM10 exceedance in Bulgaria. In Proceedings of the CBU International Conference on Innovations in Science and Education, Prague, Czech Republic, 21–23 March 2018; Volume 6. [Google Scholar]
- Hristova, E.; Veleva, B. Variation of air particulate concentration in Sofia, 2005–2012. Bulg. J. Meteo. Hydr. 2013, 18, 47–56. [Google Scholar]
- Veleva, B.; Hristova, E.; Nikolova, E.; Kolarova, M.; Valcheva, R. Elemental composition of air particulate (PM10) in Sofia by EDXRF techniques. J. Chem. Techno. Metallu. 2014, 49, 163–169. [Google Scholar]
- Veleva, B.; Hristova, E.; Nikolova, E.; Kolarova, M.; Valcheva, R. Statistical evaluation of elemental composition data of PM10 air particulate in Sofia. Int. J. Environ. Pollut. 2015, 57, 175–188. [Google Scholar] [CrossRef]
- Syrakov, D.; Prodanova, M.; Etropolska, I.; Slavov, K.; Ganev, K.; Miloshev, N.; Ljubenov, T. A Multy- Domain Operational Chemical Weather Forecast System. In International Conference on Large-Scale Scientific Computing; Lirkov, I., Ed.; LSSC 2013, LNCS 8353; Springer: Berlin, Germany, 2014; pp. 413–420. [Google Scholar] [CrossRef]
- Georgieva, E.; Syrakov, D.; Prodanova, M.; Etropolska, I.; Slavov, K. Evaluating the performance of WRF-CMAQ air quality modelling system in Bulgaria by means of the DELTA tool. Int. J. Environ. Pollut. 2015, 57, 272–284. [Google Scholar] [CrossRef]
- Viana, M.; Kuhlbusch, T.; Querol, X.; Alastuey, A.; Harrison, R.M.; Hopke, P.K.; Winiwarter, W.; Vallius, M.; Szidat, S.; Prévôt, A.S.H.; et al. Source apportionment of particulate matter in Europe: A review of methods results. J. Aerosol Sci. 2008, 39, 827–849. [Google Scholar] [CrossRef]
- Hopke, P.K. The application of receptor modeling to air quality data. Pollut. Atmos. 2010, 91, 91–109. [Google Scholar]
- Amato, F.; Pandolfi, M.; Escrig, A.; Querol, X.; Alastuey, A.; Pey, J.; Perez, N.; Hopke, P.K. Quantifying Road Dust Resuspension in Urban Environment by Multilinear Engine: A Comparison with PMF2. Atmos. Environ. 2009, 43, 2770–2780. [Google Scholar] [CrossRef]
- Belis, C.A.; Cancelinha, J.; Duane, M.; Forcina, V.; Pedroni, V.; Passarella, R.; Tanet, G.; Douglas, K.; Piazzalunga, A.; Bolzacchini, E.; et al. Sources for PM air pollution in the Po Plain, Italy: I. Critical comparison of methods for estimating biomass burning contributions to benzo(a)pyrene. Atmos. Environ. 2011, 45, 7266–7275. [Google Scholar] [CrossRef]
- Johnson, T.M.; Guttikunda, S.; Wells, G.J.; Artaxo, P.; Bond, T.C.; Russell, A.G.; Watson, J.G.; West, J. Tools for Improving Air Quality Management: A Review of Top-down Source Apportionment Techniques and Their Application in Developing Countries; The World Bank Group: Washington, DC, USA, 2011; p. 220. [Google Scholar]
- Hwang, I.-J.; Hopke, P.K. Comparison of source apportionment of PM25 using, P.M.F.2.; EPAPMF version 2 Asian. J. Atmos. Environ. 2011, 5, 86–96. [Google Scholar] [CrossRef]
- Amato, F.; Alastuey, A.; Karanasiou, A.; Lucarelli, F.; Nava, S.; Calzolai, G.; Severi, M.; Becagli, S.; Gianelle, V.L.; Colombi, C.; et al. AIRUSE-LIFE +: A harmonized PM speciation and source apportionment in five southern European cities. Atmos. Chem. Phys. 2016, 16, 3289–3309. [Google Scholar] [CrossRef]
- Paatero, P.; Tapper, U. Positive matrix factorization: A non-negative factor model with optimal utilization of error estimates of data values. Environmetrics 1994, 5, 111–126. [Google Scholar] [CrossRef]
- Paatero, P. The multilinear engine a table-driven, least squares program for solving multilinear problems, including the n-way parallel factor analysis model. J. Comput. Graph. Stat. 1999, 8, 854–888. [Google Scholar]
- Paatero, P.; Eberly, S.; Brown, S.G.; Norris, G.A. Methods for estimating uncertainty in factor analytic solutions. Atmos. Meas. Tech. 2014, 7, 781–797. [Google Scholar] [CrossRef]
- Perrone, M.G.; Vratolis, S.; Georgieva, E.; Török, S.; Šega, K.; Veleva, B.; Osánd, J.; Bešlić, I.; Kertész, Z.; Pernigotti, D.; et al. Sources and geographic origin of particulate matter in urban areas of the Danube macro-region: The cases of Zagreb (Croatia), Budapest (Hungary) and Sofia (Bulgaria). Sci. Tot. Environ. 2018, 619–620, 1515–1529. [Google Scholar] [CrossRef]
- Belis, C.A.; Larsen Bo, R.; Amato, F.; El Haddad, I.; Favez, O.; Harrison, R.M.; Hopke, P.K.; Nava, S.; Paatero, P.; Prevot, A.; et al. European Guide on Air Pollution Source Apportionment with Receptor Models; JRC Reference Reports, 9789279325144. ⟨10.2788/9307⟩; Publications Office of European Union: Luxembourg, 2014. [Google Scholar]
- Belis, C.A.; Favez, O.; Mircea, M.; Diapouli, E.; Manousakas, M.-I.; Vratolis, S.; Gilardoni, S.; Paglione, M.; Decesari, S.; Mocnik, G.; et al. European Guide on Air Pollution Source Apportionment with Receptor Models—Revised Version 2019; EUR 29816 EN; JRC117306; Publications Office of the European Union: Luxembourg, 2019; ISBN 978-92-76-09001-4. [Google Scholar] [CrossRef]
- National Statistical Institute. Available online: https://www.nsi.bg/en/content/6710/population-towns-and-sex (accessed on 20 June 2020).
- Davila, S.; Bešlić, I.; Šega, K. Use of ED-XRF instruments to monitor air quality, 244–249. In Proceedings of the 11th Symposium of the Croatian Radiation Protection Association, Zagreb, Croatia, 5–7 April 2017. [Google Scholar]
- Bešlić, I.; Burger, J.; Cadoni, F.; Centioli, D.; Kranjc, I.; van den Bril, B.; Rinkovec, J.; Šega, K.; Zang, T.; Žužul, S.; et al. Determination of As, Cd, Ni and Pb in PM10—comparison of different sample work-up and analysis methods. Gefahrstoffe - Reinhaltung der Luft 2020, 81, 227–233. [Google Scholar]
- Polissar, A.V.; Hopke, P.K.; Paatero, P.; Malm, W.C.; Sisler, J.F. Atmospheric aerosol over Alaska: 2 Elemental composition sources. J. Geoph. Res. Atmos. 1998, 103, 19,045–19,057. [Google Scholar] [CrossRef]
- Atmosphere monitoring service. Available online: https://policy.atmosphere.copernicus.eu/ (accessed on 29 June 2020).
- Simpson, D.; Benedictow, A.; Berge, H.; Bergström, R.; Emberson, L.D.; Fagerli, H.; Flechard, C.R.; Hayman, G.D.; Gauss, M.; Jonson, J.E.; et al. The EMEP MSC-W chemical transport model—technical description. Atmos. Chem. Phys. 2012, 12, 7825–7865. [Google Scholar] [CrossRef]
- Manders, A.M.M.; Builtjes, P.J.H.; Curier, L.; Denier van der Gon, H.A.C.; Hendriks, C.; Jonkers, S.; Kranenburg, R.; Kuenen, J.J.P.; Segers, A.J.; Timmermans, R.M.A.; et al. Curriculum vitae of the LOTOS–EUROS (v2.0) chemistry transport model. Geosci. Model Dev. 2017, 10, 4145–4173. [Google Scholar] [CrossRef]
- Pommier, M.; Fagerli, H.; Schulz, M.; Valdebenito, A.; Kranenburg, R.; Schaap, M. Prediction of source contributions to urban background PM10 concentrations in European cities: A case study for an episode in December 2016 using EMEP/MSC-W rv4.15 and LOTOS-EUROS v2.0—Part 1: The country contributions. Geosci. Model Dev. 2020, 13, 1787–1807. [Google Scholar] [CrossRef]
- Schulz, M.; Mortier, A.; Tsyro, S.V. Annual Source-Receptor Major European Cities—2019. Issued by: Met Norway, 06/07/2020 Ref: CAMS71_2019SC1_D3.1.5-2020_202007_AnnualSR2019_v2. 2020. Available online: https://policy.atmosphere.copernicus.eu/reports/CAMS71_D3.1.5-2020_v2.pdf (accessed on 21 June 2020).
- Alastuey, A.; Querol, X.; Aas, W.; Lucarelli, F.; Moreno, T.; Cavalli, F.; Areskoug, H.; Balan, V.; Catrambone, M.; Ceburnis, D.; et al. Geochemistry of PM10 over Europe. Atmos. Chem. Phys. 2016, 16, 6107–6129. [Google Scholar] [CrossRef]
- Taiwo, A.M. Source Apportionment of Urban Background Particulate Matter in Birmingham, United Kingdom Using a Mass Closure Model. Aerosol Air Qual. Res. 2016, 16, 1244–1252. [Google Scholar] [CrossRef]
- Koçak, M.; Theodosi, C.; Zarmpas, P.; Ima, U.; Bougiatioti, A.; Yenigun, O.; Mihalopoulos, N. Particulate matter (PM10) in Istanbul: Origin, source areas and potential impact on surrounding regions. Atmos. Environ. 2011, 45, 6891–6900. [Google Scholar] [CrossRef]
- Sharma, S.K.; Mandal, T.K.; Saxena, M.; Rashmi; Rohtash; Sharma, A.; Gautam, R. Source apportionment of PM10 by using positive matrix factorization at an urban site of Delhi, India. Urban Clim. 2014, 10, 656–670. [Google Scholar] [CrossRef]
- Manousakas, M.; Diapouli, E.; Papaefthymiou, H.; Migliori, A.; Karydas, A.G.; Padilla-Alvarez, R.; Bogovac, M.; Kaiser, R.B.; Jaksic, M.; Bogdanovic-Radovic, I.; et al. Source apportionment by PMF on elemental concentrations obtained by PIXE analysis of PM10 samples collected at the vicinity of lignite power plants and mines in Megalopolis, Greece. Nucl. Instrum. Methods Phys. Res. 2015, 349, 114–124. [Google Scholar] [CrossRef]
- Samek, L.; Stegowski, Z.; Furman, L.; Fiedor, J. Chemical content and estimated sources of fine fraction of particulate matter collected in Krakow. Air Qual. Atmos. Health 2017, 10, 47–52. [Google Scholar] [CrossRef]
- Bozkurt, Z.; Gaga, E.O.; Taşpınar, F.; Arı, A.; Pekey, B.; Pekey, H.; Döğeroğlu, T.; Üzmez, Ö.Ö. Atmospheric ambient trace element concentrations of PM10 at urban and sub-urban sites: Source apportionment and health risk estimation. Environ. Monit. Assess 2018, 190, 2–17. [Google Scholar] [CrossRef]
- Karagulian, F.; Belis, C.A.; Francisco, C.; Dora, C.; Prüss-Ustün, A.M.; Bonjour, S.; Adair-Rohani, H.; Amann, M. Contributions to cities’ ambient particulate matter (PM): A systematic review of local source contributions at global level. Atmos. Environ. 2015, 120, 475–483. [Google Scholar] [CrossRef]
- Norris, G.; Duvall, R. EPA Positive Matrix Factorization (PMF) 5.0 Fundamentals and User Guide. United States; (EPA/600/R-14/2018); Environmental Protection Agency (EPA); Office of Research and Development: Washington, DC, USA, 2014. [Google Scholar]
- Pernigotti, D.; Belis, C.A.; Span, L. SPECIEUROPE: The European data base for PM source profiles. Atmos. Pollu. Res. 2016, 7, 307–314. [Google Scholar] [CrossRef]
- Gunchin, G.; Manousakas, M.; Osan, J.; Karydas, A.G.; Eleftheriadis, K.; Lodoysamba, S.; Shagjjamba, D.; Migliori, A.; Padilla-Alvarez, R.; Streli, C.; et al. Three-year Long Source Apportionment Study of Airborne Particles in Ulaanbaatar Using X-ray Fluorescence and Positive Matrix Factorization. Aerosol Air Qual. Res. 2019, 19, 1056–1067. [Google Scholar] [CrossRef]
- Copernicus Emergency Management Service. Available online: https://effis.jrc.ec.europa.eu/static/effis_current_situation/public/index.html (accessed on 15 June 2020).
- SPECISUROPE. Available online: https://source-apportionment.jrc.ec.europa.eu/Specieurope/profiles.aspx?specie=779] (accessed on 21 May 2019).
- Bulgarian National Emission Register. Available online: http://pdbase.government.bg/forms/public_eprtr.jsp (accessed on 21 May 2019).
- Annual Reports. Available online: http://eea.government.bg/bg/r-r/r-kpkz/godishni-dokladi-14/index (accessed on 7 May 2019).
- Lazaridis, M.; Eleftheriadis, K.; Smolik, J.; Colbeck, I.; Kallos, G.; Drossinos, Y.; Zdimal, V.; Mihalopoulos, N.; Mikuska, P.; Bryant, C.; et al. Dynamics of fine particles and photo-oxidants in the Eastern Mediterranean (SUB-AERO). Atmos. Environ. 2006, 40, 6214–6228. [Google Scholar] [CrossRef]
- Raman, R.S.; Hopke, P.K. Source apportionment of fine particles utilizing partially speciated carbonaceous aerosol data at two rural locations in New York State. Atmos. Environ. 2007, 41, 7923–7939. [Google Scholar] [CrossRef]
- Lim, J.M.; Lee, J.H.; Moon, J.H.; Chung, Y.S.; Kim, K.H. Source apportionment of PM10 at a small industrial area using positive matrix factorization. Atmos. Res. 2010, 95, 88–100. [Google Scholar] [CrossRef]
- Wahlin, P.; Berkowicz, R.; Palmgren, F. Characterisation of traffic-generated particulate matter in Copenhagen. Atmos. Environ. 2006, 40, 2151–2159. [Google Scholar] [CrossRef]
- Song, F.; Gao, Y. Size distributions of trace elements associated with ambient particular matter in the affinity of a major highway in the New Jerseye, New York metropolitan area. Atmos. Environ. 2011, 45, 6714–6723. [Google Scholar] [CrossRef]
- Amato, F.; Pandolfi, M.; Moreno, T.; Furger, M.; Pey, J.; Alastuey, A.; Bukowiecki, N.; Prevot, A.S.H.; Baltensperger, U.; Querol, X. Sources and variability of inhalable road dust particles in three European cities. Atmos. Environ. 2011, 45, 6777–6787. [Google Scholar] [CrossRef]
- Pant, P.; Harrison, R.M. Estimation of the contribution of road traffic emissions to particulate matter concentrations from field measurements: A review. Atmos. Environ. 2013, 77, 78–97. [Google Scholar] [CrossRef]
- Diapouli, E.; Manousakas, M.I.; Vratolis, S.; Vasilatou, V.; Pateraki, S.; Bairachtari, K.A.; Querol, X.; Amato, F.; Alastuey, A.; Karanasiou, A.A.; et al. AIRUSE-LIFE +: Estimation of natural source contributions to urban ambient air PM10 and PM2.5 concentrations in Southern Europe—implications to compliance with limit values. Atmos. Chem. Phys. 2017, 17, 3673–3685. [Google Scholar] [CrossRef]
- Eleftheriadis, K.; Ochsenkuhn, K.M.; Lymperopoulou, T.; Karanasiou, A.; Razos, P.; Ochsenkuhn-Petropoulou, M. Influence of local and regional sources on the observed spatial and temporal variability of size resolved atmospheric aerosol mass concentrations and water-solublespecies in the Athens metropolitan area. Atmos. Environ. 2014, 97, 252–261. [Google Scholar] [CrossRef]
- Kim, B.M.; Park, J.-S.; Kim, S.-W.; Kim, H.J. Source apportionment of PM10 mass and particulate carbon in the Kathmandu Valley, Nepal. Atmos. Environ. 2015, 123, 190–199. [Google Scholar] [CrossRef]
- Stein, A.F.; Draxler, R.R.; Rolph, G.D.; Stunder, B.J.B.; Cohen, M.D.; Ngan, F. NOAA’s HYSPLIT atmospheric transport and dispersion modeling system. Bull. Amer. Meteor. Soc. 2015, 96, 2059–2077. [Google Scholar] [CrossRef]







| Species | Mean | Median | Max | Min | STDEV | Count | % of Conc >DL |
|---|---|---|---|---|---|---|---|
| PM10 | 30,861 | 26,582 | 157,512 | 6063 | 18,974 | 234 | 100.0% |
| Al | 992 | 911 | 2195 | 604 | 363 | 20 | 8.5% |
| S | 537 | 468 | 2070 | 65 | 305 | 234 | 100.0% |
| Cl | 244 | 94 | 2282 | 2 | 380 | 233 | 99.6% |
| K | 261 | 209 | 1606 | 28 | 213 | 234 | 100.0% |
| Ca | 872 | 752 | 4370 | 15 | 686 | 234 | 100.0% |
| Sc | 3.37 | 3.51 | 5.32 | 1.99 | 0.95 | 29 | 12.4% |
| Ti | 24.1 | 19.5 | 157.5 | 1.7 | 19.6 | 227 | 97.0% |
| V | 1.69 | 1.55 | 2.50 | 1.30 | 0.46 | 6 | 2.6% |
| Cr | 2.13 | 1.92 | 4.45 | 0.91 | 0.86 | 66 | 28.2% |
| Mn | 17.6 | 13.9 | 87.6 | 2.7 | 13.0 | 228 | 97.4% |
| Fe | 542 | 425 | 4110 | 65 | 485 | 234 | 100.0% |
| Co | 2.4 | 2.4 | 2.8 | 2.1 | 0.2 | 8 | 3.4% |
| Ni | 2.6 | 1.8 | 5.7 | 1.2 | 1.4 | 107 | 45.7% |
| Cu | 36 | 25 | 235 | 3 | 34 | 234 | 100.0% |
| Zn | 101 | 56 | 960 | 1 | 131 | 233 | 99.6% |
| Br | 4.3 | 3.7 | 21.1 | 2.1 | 2.5 | 132 | 56.4% |
| Sr | 4.4 | 3.6 | 29.2 | 2.0 | 3.3 | 117 | 50.0% |
| Zr | 0.004 | 0.003 | 0.010 | 0.002 | 0.001 | 88 | 37.6% |
| Mo | 0.010 | 0.006 | 0.023 | 0.003 | 0.007 | 84 | 35.9% |
| Cd | 5.3 | 4.5 | 8.9 | 3.8 | 1.5 | 17 | 7.3% |
| Sn | 12.5 | 11.3 | 26.2 | 6.7 | 5.9 | 12 | 5.1% |
| Sb | 10.3 | 9.5 | 20.7 | 6.3 | 3.3 | 72 | 30.8% |
| Ba | 29.1 | 20.0 | 368.1 | 12.6 | 35.2 | 130 | 55.6% |
| Pb | 13.1 | 10.2 | 65.0 | 4.9 | 9.5 | 200 | 85.5% |
| Cl- | 314 | 134 | 3087 | 28 | 489 | 217 | 92.7% |
| NO3− | 1868 | 1319 | 10,196 | 194 | 1509 | 221 | 94.4% |
| SO42− | 3026 | 2658 | 10,399 | 415 | 1706 | 234 | 100.0% |
| Ca2+ | 766 | 663 | 4246 | 21 | 613 | 234 | 100.0% |
| K+ | 361 | 262 | 2025 | 24 | 317 | 203 | 86.8% |
| Mg2+ | 126 | 110 | 647 | 8 | 90 | 234 | 100.0% |
| Na+ | 375 | 309 | 1800 | 9 | 277 | 220 | 94.0% |
| NH4+ | 754 | 533 | 4018 | 48 | 719 | 189 | 80.8% |
| Input Data | |
| Data | PM10, Al, S, Cl, K, Ca, Sc, Ti, Cr, Mn, Fe, Ni, Cu, Zn, Br, Sr, Zr, Mo, Sb, I, Ba, W, Pb, Cl−, NO3−,SO42−, Ca2+, K+, Mg2+, NH4+, Na+ |
| Number of factors | 4–9 (8 final) |
| Total variable | PM10—weak |
| No. of used species | 24 Strong: Cl, Ti, Mn, Fe, Cu, Zn, Br, Sr, Pb, NO3−, SO42−, Ca2+, K+, Mg2+, NH4+ Weak: Cr, Ni, Zr, Mo, Sb, Ba |
| № of BS runs | 100 |
| BS random seed | 88 |
| Min. Correlation R-Value | 0.6 |
| FPEAK test | Yes (Fpeak 0) |
| Output Data | |
| Q(Robust) | 2522.17 |
| Q(True) | 2524.69 |
| Qexp | 1886 |
| Q (Robust)/Q (true) | 1.001 |
| Q (Robust)/Qexp | 1.338 |
| Species with Q/Qexp >2 | Pb, |
| DISP %dQ | 0 |
| DISP swaps | 0 |
| Mapping of bootstrap factors to base factors: | Secondary, Industry, Nitrate rich—100%, Resuspension, BB, Fuel oil burning—99%, Traffic, Mixed SO42−—86% |
© 2020 by the authors. Licensee MDPI, Basel, Switzerland. This article is an open access article distributed under the terms and conditions of the Creative Commons Attribution (CC BY) license (http://creativecommons.org/licenses/by/4.0/).
Share and Cite
Hristova, E.; Veleva, B.; Georgieva, E.; Branzov, H. Application of Positive Matrix Factorization Receptor Model for Source Identification of PM10 in the City of Sofia, Bulgaria. Atmosphere 2020, 11, 890. https://doi.org/10.3390/atmos11090890
Hristova E, Veleva B, Georgieva E, Branzov H. Application of Positive Matrix Factorization Receptor Model for Source Identification of PM10 in the City of Sofia, Bulgaria. Atmosphere. 2020; 11(9):890. https://doi.org/10.3390/atmos11090890
Chicago/Turabian StyleHristova, Elena, Blagorodka Veleva, Emilia Georgieva, and Hristomir Branzov. 2020. "Application of Positive Matrix Factorization Receptor Model for Source Identification of PM10 in the City of Sofia, Bulgaria" Atmosphere 11, no. 9: 890. https://doi.org/10.3390/atmos11090890
APA StyleHristova, E., Veleva, B., Georgieva, E., & Branzov, H. (2020). Application of Positive Matrix Factorization Receptor Model for Source Identification of PM10 in the City of Sofia, Bulgaria. Atmosphere, 11(9), 890. https://doi.org/10.3390/atmos11090890

