Combined Eulerian-Lagrangian Hybrid Modelling System for PM2.5 and Elemental Carbon Source Apportionment at the Urban Scale in Milan
Abstract
1. Introduction
- –
- The concentration levels of atmospheric pollutants are the result of three additional contributions: a regional background (i.e., the baseline level in the surroundings/region of the urban area); an urban background, representing the increment of concentration due to emission of the urban area itself; and a very local contribution of emission sources at pollution hotspots within the urban area [12].
- –
- The pollutants of interest may be not only of primary origin (i.e., directly emitted by emission sources) but also the result of secondary formation processes, like those affecting O3, NO2, and fine particulate matter.
- –
- The spatial distribution of the emission sources in urban areas, essentially road traffic and space heating, depends on the urban structure of the built environment, that, in turn, can affect the dispersion of the locally emitted polluted, with local modifications of the wind conditions induced by buildings and with urban canyon structures favoring the build-up of pollutants at emission hot-spots [13].
- –
2. Methods
2.1. HMS Modeling Chain Setup
2.2. Emission Regions and Emission Categories
2.3. HMS Source Apportionment Output
3. Results and Discussion
3.1. AUSTAL2000 Output
3.1.1. PM2.5
3.1.2. EC
3.2. Comparison between AUSTAL2000 and CAMx Output
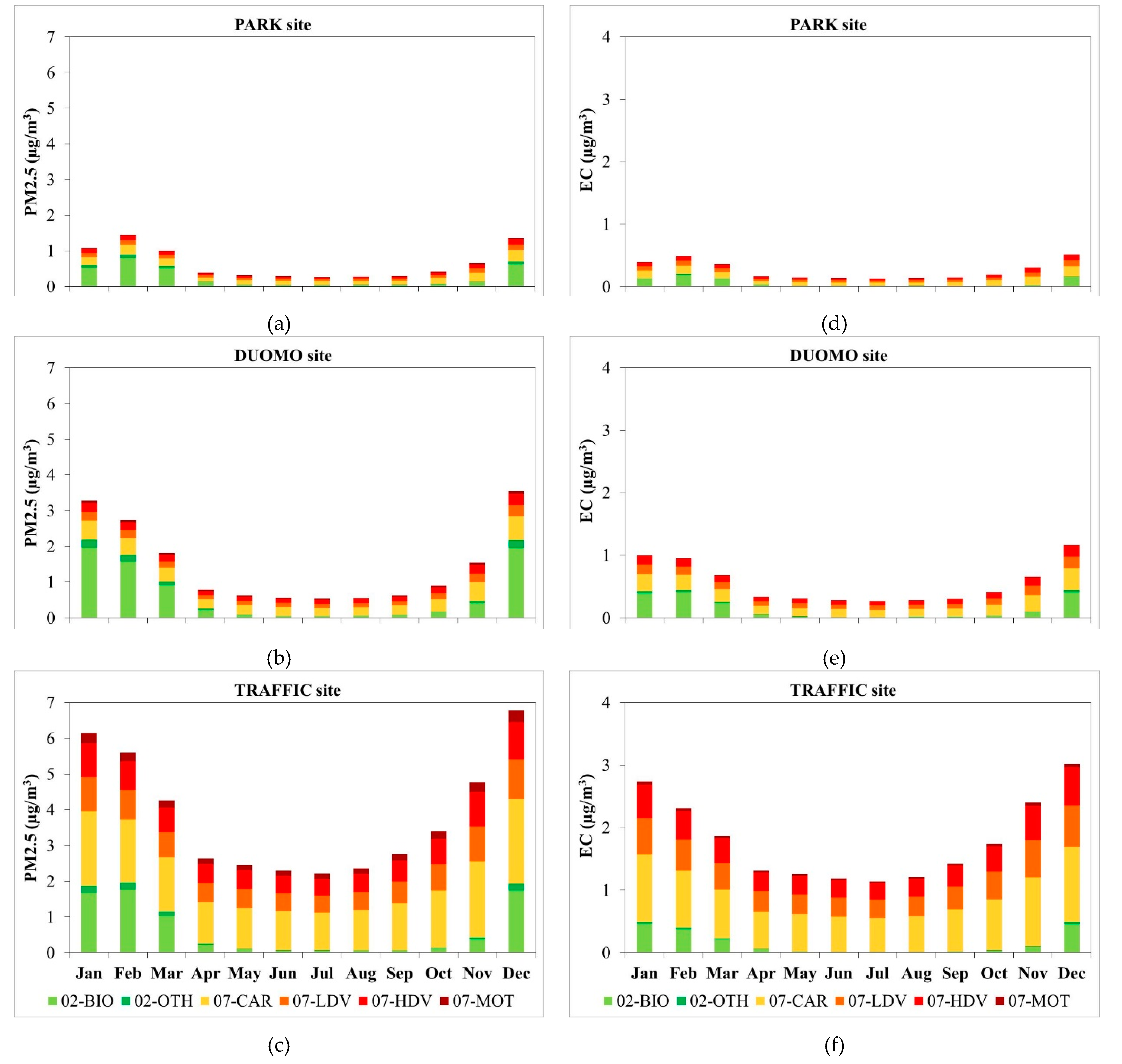
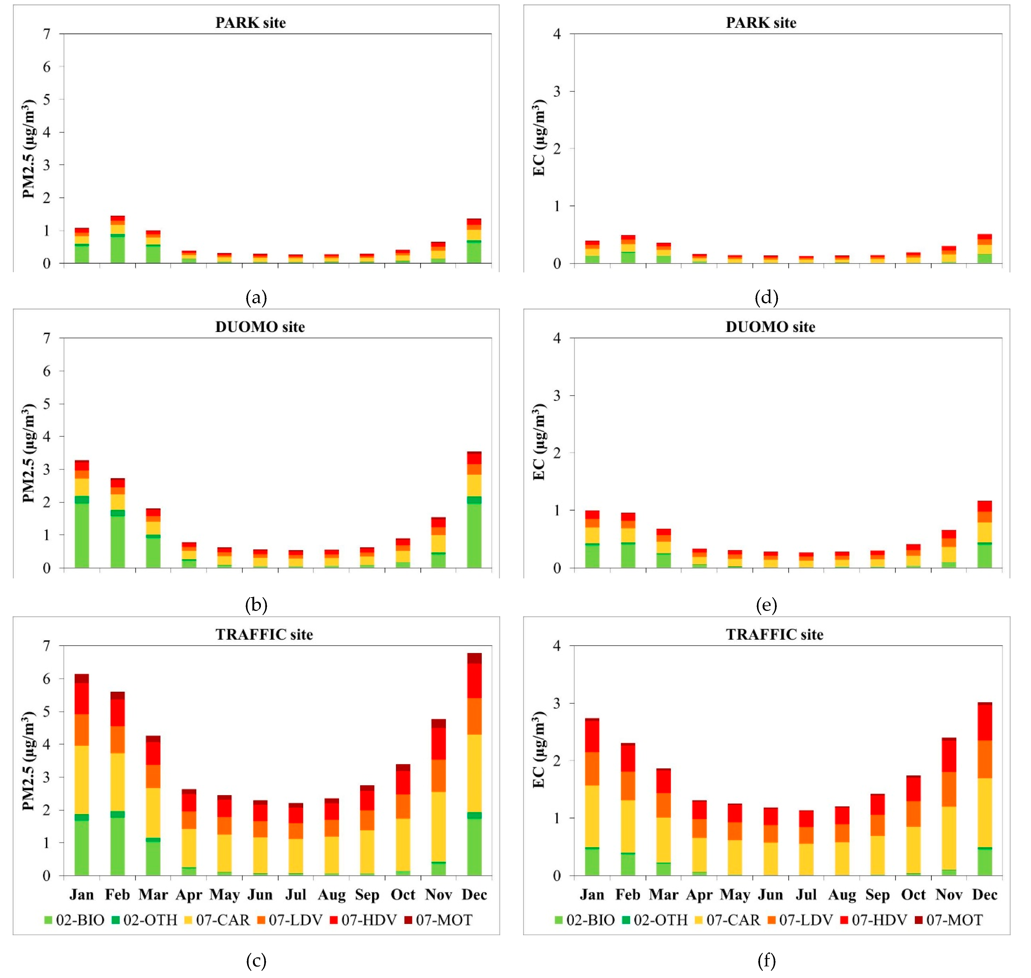
3.3. HMS Output
3.3.1. PM2.5
3.3.2. EC
4. Conclusions
Supplementary Materials
Author Contributions
Funding
Acknowledgments
Conflicts of Interest
References
- Forouzanfar, M.H.; Afshin, A.; Alexander, L.T.; Anderson, H.R.; Bhutta, Z.A.; Biryukov, S.; Brauer, M.; Burnett, R.; Cercy, K.; Charlson, F.J.; et al. Global, regional, and national comparative risk assessment of 79 behavioural, environmental and occupational, and metabolic risks or clusters of risks, 1990–2015: A systematic analysis for the Global Burden of Disease Study 2015. Lancet 2016, 388, 1659–1724. [Google Scholar] [CrossRef]
- World Health Organization (WHO). Ambient Air Pollution: A Global Assessment of Exposure and Burden of Disease; WHO: Geneva, Switzerland, 2016. [Google Scholar]
- Kelly, F.J.; Fussel, J.C. Air pollution and public health: Emerging hazards and improved understanding of risk. Environ. Geochem. Health 2015, 37, 631–649. [Google Scholar] [CrossRef] [PubMed]
- World Health Organization (WHO). Regional Office for Europe, 2013. Review of Evidence on Health Aspects of Air Pollution—REVIHAAP Project, Technical Report; WHO: Geneva, Switzerland, 2013. [Google Scholar]
- Lelieveld, J.; Pozzer, A.; Pöschl, U.; Fnais, M.; Haines, A.; Münzel, T. Loss of life expectancy from air pollution compared to other risk factors: A worldwide perspective. Cardiovasc. Res. 2020, 116, 1910–1917. [Google Scholar] [CrossRef] [PubMed]
- Duyzer, J.; van der Hout, D.; Zandveld, P.; van Ratigen, S. Representativeness of air quality monitoring networks. Atmos. Environ. 2015, 104, 88–101. [Google Scholar] [CrossRef]
- Ciarelli, G.; Aksoyoglu, S.; El Haddad, I.; Bruns, E.A.; Crippa, M.; Poulain, L.; Äijäkä, M.; Carbone, S.; Freney, E.; O’Dowd, C.; et al. Modelling winter organic aerosol at the European scale with CAMx: Evaluation and source apportionment with a VBS parameterization based on novel wood burning smog chamber experiments. Atmos. Chem. Phys. 2017, 17, 7653–7669. [Google Scholar] [CrossRef]
- Squizzato, S.; Cazzaro, M.; Innocente, E.; Visin, F.; Hopke, P.; Rampazzo, G. Urban air quality in a mid-size city – PM2.5 composition, sources and identification of impact areas: From local to long range contributions. Atmos. Res. 2017, 186, 51–62. [Google Scholar] [CrossRef]
- Pirovano, G.; Colombi, C.; Balzarini, A.; Riva, G.M.; Gianelle, V.; Lonati, G. PM2.5 source apportionment in Lombardy (Italy): Comparison of receptor and chemistry transport modelling results. Atmos. Environ. 2015, 106, 56–70. [Google Scholar] [CrossRef]
- European Union. Directive 2008/50/EC of the European Parliament and of the Council of 21 May 2008 on ambient air quality and cleaner air for Europe. Off. J. Eur. Union 2008, 152, 1–44. [Google Scholar]
- Zou, B.; Wilson, J.G.; Zhan, F.B.; Zeng, Y. Air pollution exposure assessment methods utilized in epidemiological studies. J. Environ. Monitor. 2009, 11, 475–490. [Google Scholar] [CrossRef]
- Lenschow, P.; Abraham, H.-J.; Kutzner, K.; Lutz, M.; Preuß, J.-D.; Reichenbächer, W. Some ideas about the sources of PM10. Atmos. Environ. 2001, 35, S23–S33. [Google Scholar] [CrossRef]
- Vardoulakis, S.; Fisher, B.E.; Pericleous, K.; Gonzalez-Flesca, N. Modelling air quality in street canyons: A review. Atmos. Environ. 2003, 37, 155–182. [Google Scholar] [CrossRef]
- Guevara, M.; Jorba, O.; Tena, C.; van der Gon, H.D.; Kuenen, J.; Elguindi-Solmon, N.; Darras, S.; Granier, C.; García-Pando, C.P. CAMS-TEMPO: Global and European emission temporal profile maps for atmospheric chemistry modelling. Earth Syst. Sci. Data Discuss. 2020. [Google Scholar] [CrossRef]
- López-Aparicio, S.; Guevara, M.; Thunis, P.; Cuvelier, K.; Tarrasón, L. Assessment of discrepancies between bottom-up and regional emission inventories in Norwegian urban areas. Atmos. Environ. 2017, 154, 285–296. [Google Scholar] [CrossRef]
- van der Gon, H.A.; Bergström, R.; Fountoukis, C.; Johansson, C.; Pandis, S.N.; Simpson, D.; Visschedijk, A.J.H. Particulate emissions from residential wood combustion in Europe - revised estimates and an evaluation. Atmos. Chem. Phys. 2015, 15, 6503–6519. [Google Scholar] [CrossRef]
- Guevara, M.; Pay, M.T.; Martínez, F.; Soret, A.; Denier van der Gon, H.A.C.; Baldasano, J.M. Inter-comparison between HERMESv2.0 and TNO-MACC-II emission data using the CALIOPE air quality system (Spain). Atmos. Environ. 2014, 98, 134–145. [Google Scholar] [CrossRef]
- Bessagnet, B.; Pirovano, G.; Mircea, M.; Cuvelier, C.; Aulinger, A.; Calori, G.; Ciarelli, G.; Manders, A.; Stern, R.; Tsyro, S.; et al. Presentation of the EURODELTA III intercomparison exercise – evaluation of the chemistry transport models’ performance on criteria pollutants and joint analysis with meteorology. Atmos. Chem. Phys. 2016, 16, 12667–12701. [Google Scholar] [CrossRef]
- Pernigotti, D.; Thunis, P.; Cuvelier, C.; Georgieva, E.; Gsella, A.; De Meij, A.; Pirovano, G.; Balzarini, A.; Riva, G.M.; Carnevale, C.; et al. POMI: A model inter-comparison exercise over the Po valley. Air Qual. Atmos. Health 2013, 6, 701–715. [Google Scholar] [CrossRef]
- Cowie, C.T.; Garden, F.; Jegasothy, E.; Knibbs, L.D.; Hanigan, I.; Morley, D.; Hansell, A.; Hoek, G.; Marks, G.B. Comparison of model estimates from an intra-city land use regression model with a national satellite-LUR and a regional Bayesian Maximum Entropy model, in estimating NO2 for a birth cohort in Sydney, Australia. Environ. Res. 2019, 174, 24–34. [Google Scholar] [CrossRef]
- He, B.; Heal, M.R.; Reis, S. Land-Use Regression Modelling of Intra-Urban Air Pollution Variation in China: Current Status and Future Needs. Atmosphere 2018, 9, 134. [Google Scholar] [CrossRef]
- Hennig, F.; Sugiri, D.; Tzivian, L.; Fuks KMoebus, S.; Jöckel, K.-H.; Vienneau, D.; Kuhlbusch, T.; de Hoogh, K.; Memmesheimer, M.; Jakobs, H.; et al. Comparison of Land-Use Regression modeling with dispersion and chemistry transport modeling to assign air pollution concentrations within the Ruhr area. Atmosphere 2016, 7, 48. [Google Scholar] [CrossRef]
- Wang, M.; Sampson, P.D.; Hu, J.; Kleeman, M.; Keller, J.P.; Olives, C.; Szpiro, A.A.; Vedal, S.; Kaufman, J.D. Combining Land-Use regression and chemical transport modeling in a spatiotemporal geostatistical model for ozone and PM2.5. Environ. Sci. Technol. 2016, 50, 5111–5118. [Google Scholar] [CrossRef] [PubMed]
- Akita, Y.; Baldasano, J.M.; Beelen, R.; Cirach, M.; de Hoogh, K.; Hoek, G.; Nieuwenhuijsen, M.; Serre, M.L.; de Nazelle, A. Large scale air pollution estimation method combining land use regression and chemical transport modeling in a geostatistical framework. Environ. Sci. Technol. 2014, 48, 4452–4459. [Google Scholar] [CrossRef] [PubMed]
- Pepe, N.; Pirovano, G.; Balzarini, A.; Toppetti, A.; Riva, G.M.; Amato, F.; Lonati, G. Enhanced CAMx source apportionment analysis at an urban receptor in Milan based on source categories and emission regions. Atmos. Environ. 2019, X2, 100020. [Google Scholar] [CrossRef]
- Pepe, N.; Pirovano, G.; Lonati, G.; Balzarini, A.; Toppetti, A.; Riva, G.M.; Bedogni, M. Development and application of a high resolution hybrid modelling system for the evaluation of urban air quality. Atmos. Environ. 2016, 141, 297–311. [Google Scholar] [CrossRef]
- Berchet, A.; Zink, K.; Arfire, A.; Marjovi, A.; Martinoli, A.; Emmenegger, L.; Brunner, D. High-resolution air pollution modeling for urban environments in support of dense multi-platform networks. Geophys. Res. Abstr. 2015, 17, EGU2015-11161. [Google Scholar]
- Ghermandi, G.; Fabbi, S.; Bigi, A.; Veratti, G.; Despini, F.; Teggi, S.; Barbieri, C.; Torreggiani, L. Impact assessment of vehicular exhaust emissions by microscale simulation using automatic traffic flow measurements. Atmos. Pollut. Res. 2019. [Google Scholar] [CrossRef]
- Skamarock, W.C.; Klemp, J.B.; Dudhia, J.; Gill, D.O.; Barker, D.M.; Duda, M.G.; Huang, X.-Y.; Wang, W.; Powers, J.G. A Description of the Advanced Research WRF Version 3, NCAR Technical Note NCAR/TN-475+STR; University Corporation for Atmospheric Research: Boulder, CO, USA, 2008. [Google Scholar]
- ENVIRON. CAMx (Comprehensive Air Quality Model with extensions) User’s Guide Version 6.3; Environ International Corporation: Novato, CA, USA, 2016. [Google Scholar]
- Janicke Consulting. AUSTAL2000 Program Documentation of Version 2.6 2014-02-24; Federal Environmental Agency (UBA): Dessau-Roßlau, Germany, 2014.
- University of North Carolina at Chapel Hill (UNC). SMOKE v3.5 User’s Manual. 2013. Available online: https://www.cmascenter.org/smoke/documentation/3.5/manual_smokev35.pdf (accessed on 9 October 2020).
- European Land Use Atlas Data. Available online: http://www.eea.europa.eu/data-and-maps/data/urban-atlas (accessed on 9 October 2020).
- European Monitoring and Evaluation Programme data (EMEP). Available online: https://www.ceip.at/webdab-emission-database (accessed on 9 October 2020).
- Italian National Inventory Data. Available online: http://www.sinanet.isprambiente.it/it/sia-ispra/inventaria/disaggregazione-dellinventario-nazionale-2015/view (accessed on 9 October 2020).
- ARPA Lombardia. INEMAR, Inventario Emissioni in Atmosfera: Emissioni in Regione Lombardia Nell’anno 2012—Revisione Pubblica. ARPA Lombardia Settore Monitoraggi Ambientali. Available online: https://www.inemar.eu/xwiki/bin/view/InemarDatiWeb/Aggiornamenti+dell%27inventario+2012 (accessed on 9 October 2020).
- Yarwood, G.; Morris, R.E.; Wilson, G.M. Particulate matter source apportionment technology (PSAT) in the CAMx photochemical grid model. In Proceedings of the 27th NATO/CCMS International Technical Meeting on Air Pollution Modeling and Application, Banff, AB, Canada, 24–29 October 2004. [Google Scholar]
- Janssen, N.A.H.; Gerlofs-Nijland, M.E.; Lanki, T.; Salonen, R.O.; Cassee, F.; Hoek, G.; Fischer, P.; Brunekreef, B.; Krzyzanowski, M. Health Effects of Black Carbon; WHO: Copenhagen, Denmark, 2012. [Google Scholar]
- Amann, M.; Bertok, I.; Borken-Kleefeld, J.; Cofala, J.; Heyes, C.; Höglund-Isaksson, L.; Klimont, Z.; Nguyen, B.; Posch, M.; Rafaj, P.; et al. Cost-effective control of air quality and greenhouse gases in Europe: Modeling and policy applications. Environ. Model. Softw. 2011, 26, 1489–1501. [Google Scholar] [CrossRef]









| Receptor | Period | PM2.5 (µg/m3) | Emission Sub-Categories Contribution (%) | |||||
|---|---|---|---|---|---|---|---|---|
| 02-BIO | 02-OTH | 07-CAR | 07-LDV | 07-HDV | 07-MOT | |||
| PARK | Annual | 0.65 | 38.6 | 4.4 | 27.8 | 13.0 | 12.5 | 3.8 | 
| Cold | 1.17 | 52.3 | 5.9 | 20.4 | 9.5 | 9.2 | 2.8 | |
| Warm | 0.28 | 14.5 | 1.7 | 40.8 | 19.0 | 18.4 | 5.6 | |
| DUOMO | Annual | 1.46 | 42.9 | 4.9 | 25.5 | 11.8 | 11.4 | 3.5 | 
| Cold | 2.60 | 56.9 | 6.4 | 17.9 | 8.3 | 8.0 | 2.4 | |
| Warm | 0.58 | 10.7 | 1.2 | 42.9 | 20.0 | 19.3 | 5.8 | |
| TRAFFIC | Annual | 3.80 | 15.9 | 1.8 | 40.2 | 18.6 | 18.0 | 5.4 | 
| Cold | 5.32 | 27.9 | 3.2 | 33.6 | 15.6 | 15.1 | 4.6 | |
| Warm | 2.44 | 2.7 | 0.3 | 47.4 | 21.9 | 21.3 | 6.4 | |
| Receptor | Period | EC (µg/m3) | Emission Sub-Categories Contribution (%) | |||||
|---|---|---|---|---|---|---|---|---|
| 02-BIO | 02-OTH | 07-CAR | 07-LDV | 07-HDV | 07-MOT | |||
| PARK | Annual | 0.26 | 22.9 | 1.7 | 36.0 | 19.7 | 18.0 | 1.7 | 
| Cold | 0.41 | 35.0 | 2.4 | 29.9 | 16.3 | 14.9 | 1.4 | |
| Warm | 0.14 | 7.2 | 0.7 | 44.0 | 24.1 | 22.0 | 2.1 | |
| DUOMO | Annual | 0.55 | 25.8 | 1.9 | 34.5 | 18.9 | 17.3 | 1.7 | 
| Cold | 0.88 | 39.9 | 2.7 | 27.4 | 15.0 | 13.6 | 1.3 | |
| Warm | 0.28 | 5.5 | 0.4 | 44.9 | 24.6 | 22.5 | 2.2 | |
| TRAFFIC | Annual | 1.80 | 8.2 | 0.6 | 43.6 | 23.8 | 21.8 | 2.1 | 
| Cold | 2.30 | 15.1 | 1.1 | 40.1 | 21.8 | 20.0 | 1.9 | |
| Warm | 1.26 | 1.2 | 0.1 | 47.1 | 25.8 | 23.6 | 2.3 | |
© 2020 by the authors. Licensee MDPI, Basel, Switzerland. This article is an open access article distributed under the terms and conditions of the Creative Commons Attribution (CC BY) license (http://creativecommons.org/licenses/by/4.0/).
Share and Cite
Lonati, G.; Pepe, N.; Pirovano, G.; Balzarini, A.; Toppetti, A.; Riva, G.M. Combined Eulerian-Lagrangian Hybrid Modelling System for PM2.5 and Elemental Carbon Source Apportionment at the Urban Scale in Milan. Atmosphere 2020, 11, 1078. https://doi.org/10.3390/atmos11101078
Lonati G, Pepe N, Pirovano G, Balzarini A, Toppetti A, Riva GM. Combined Eulerian-Lagrangian Hybrid Modelling System for PM2.5 and Elemental Carbon Source Apportionment at the Urban Scale in Milan. Atmosphere. 2020; 11(10):1078. https://doi.org/10.3390/atmos11101078
Chicago/Turabian StyleLonati, Giovanni, Nicola Pepe, Guido Pirovano, Alessandra Balzarini, Anna Toppetti, and Giuseppe Maurizio Riva. 2020. "Combined Eulerian-Lagrangian Hybrid Modelling System for PM2.5 and Elemental Carbon Source Apportionment at the Urban Scale in Milan" Atmosphere 11, no. 10: 1078. https://doi.org/10.3390/atmos11101078
APA StyleLonati, G., Pepe, N., Pirovano, G., Balzarini, A., Toppetti, A., & Riva, G. M. (2020). Combined Eulerian-Lagrangian Hybrid Modelling System for PM2.5 and Elemental Carbon Source Apportionment at the Urban Scale in Milan. Atmosphere, 11(10), 1078. https://doi.org/10.3390/atmos11101078
 
        

 
                         
       