Modelling Cyclists’ Multi-Exposure to Air and Noise Pollution with Low-Cost Sensors—The Case of Paris
Abstract
1. Introduction
1.1. Cyclists’ Exposure and Transport Justice
1.2. The Development of Low-Cost Sensors: New Paradigm and Opportunities
2. Conceptual Framework for Modelling Cyclists’ Multi-Exposure
3. Material and Methods
3.1. Case Study
3.2. Primary Data Collection and Structuration
3.3. Data Analysis—Building a Model to Estimate the Impact of Micro-Scale Environment
4. Results
4.1. Descriptive Analysis
4.2. Model Adjustment
4.3. Controlling for the Background Pollution
4.4. Micro-Scale Environment Effects
5. Discussion and Limits
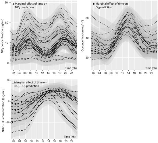
5.1. O3 Cofounding
5.2. Study Limitations
5.3. Implications for Planning
5.4. Conclusions
Supplementary Materials
Author Contributions
Funding
Acknowledgments
Conflicts of Interest
References
- Eriksson, C.; Pershagen, G.; Nilsson, M. Biological Mechanisms Related to Cardiovascular and Metabolic Effects by Environmental Noise; World Health Organization: Geneva, Switzerland, 2018.
- Basner, M.; Babisch, W.; Davis, A.; Brink, M.; Clark, C.; Janssen, S.; Stansfeld, S. Auditory and non-auditory effects of noise on health. Lancet 2014, 383, 1325–1332. [Google Scholar] [CrossRef]
- World Health Organization. Environmental Noise Guidelines for the European Region; World Health Organization: Geneva, Switzerland, 2018.
- Brown, A.L.; Van Kamp, I. WHO environmental noise guidelines for the European region: A systematic review of transport noise interventions and their impacts on health. Int. J. Environ. Res. Public Health 2017, 14, 873. [Google Scholar] [CrossRef] [PubMed]
- Guski, R.; Schreckenberg, D.; Schuemer, R. WHO environmental noise guidelines for the European region: A systematic review on environmental noise and annoyance. IInt. J. Environ. Res. Public Health 2017, 14, 1539. [Google Scholar] [CrossRef] [PubMed]
- Kampa, M.; Castanas, E. Human health effects of air pollution. Environ. Pollut. 2008, 151, 362–367. [Google Scholar] [CrossRef] [PubMed]
- World Health Organization. Ambient (Outdoor) Air Quality and Health. Available online: http://www.who.int/mediacentre/factsheets/fs313/en/ (accessed on 28 November 2017).
- de Nazelle, A.; Bode, O.; Orjuela, J.P. Comparison of air pollution exposures in active vs. passive travel modes in European cities: A quantitative review. Environ. Int. 2017, 99, 151–160. [Google Scholar] [CrossRef]
- Cepeda, M.; Schoufour, J.; Freak-Poli, R.; Koolhaas, C.M.; Dhana, K.; Bramer, W.M.; Franco, O.H. Levels of ambient air pollution according to mode of transport: A systematic review. Lancet Public Health 2017, 2, e23–e34. [Google Scholar] [CrossRef]
- Okokon, E.O.; Yli-Tuomi, T.; Turunen, A.W.; Taimisto, P.; Pennanen, A.; Vouitsis, I.; Samaras, Z.; Voogt, M.; Keuken, M.; Lanki, T. Particulates and noise exposure during bicycle, bus and car commuting: A study in three European cities. Environ. Res. 2017, 154, 181–189. [Google Scholar] [CrossRef]
- Apparicio, P.; Gelb, J.; Carrier, M.; Mathieu, M.E.; Kingham, S. Exposure to noise and air pollution by mode of transportation during rush hours in Montreal. J. Transp. Geogr. 2018, 70, 182–192. [Google Scholar] [CrossRef]
- Observatoire des déplacements à Paris. Le bilan des Déplacements en 2009, 2010, 2011, 2012, 2013, 2014, 2015, 2016, 2017 à Paris; Marie de Paris: Paris, France, 2017. [Google Scholar]
- Gössling, S. Urban transport justice. J. Transp. Geogr. 2016, 54, 1–9. [Google Scholar] [CrossRef]
- Transport for London. Quietways. Available online: https://tfl.gov.uk/modes/cycling/routes-and-maps/quietways (accessed on 24 July 2019).
- Künzli, N.; Kaiser, R.; Medina, S.; Studnicka, M.; Chanel, O.; Filliger, P.; Herry, M.; Horak, F.; Puybonnieux-Texier, V.; Quénel, P.; et al. Public-health impact of outdoor and traffic-related air pollution: A European assessment. Lancet 2000, 356, 795–801. [Google Scholar] [CrossRef]
- Praznoczy, C. Les bénéfices et les risques de la pratique du vélo—Évaluation en Ile-de-France. Pollut. Atmosphérique 2012, 4, 57. [Google Scholar]
- De Hartog, J.J.; Boogaard, H.; Nijland, H.; Hoek, G. Do the health benefits of cycling outweigh the risks? Environ. Health Perspect. 2010, 118, 1109–1116. [Google Scholar] [CrossRef] [PubMed]
- Dekoninck, L.; Botteldooren, D.; Int Panis, L. Using city-wide mobile noise assessments to estimate bicycle trip annual exposure to Black Carbon. Environ. Int. 2015, 83, 192–201. [Google Scholar] [CrossRef] [PubMed]
- Apparicio, P.; Carrier, M.; Gelb, J.; Séguin, A.-M.; Kingham, S. Cyclists’ exposure to air pollution and road traffic noise in central city neighbourhoods of Montreal. J. Transp. Geogr. 2016, 57, 63–69. [Google Scholar] [CrossRef]
- Hofman, J.; Samson, R.; Joosen, S.; Blust, R.; Lenaerts, S. Cyclist exposure to black carbon, ultrafine particles and heavy metals: An experimental study along two commuting routes near Antwerp, Belgium. Environ. Res. 2018, 164, 530–538. [Google Scholar] [CrossRef] [PubMed]
- Watkins, T. Draft Roadmap for Next Generation Air Monitoring; Environmental Protection Agency: Washington, DC, USA, 2013; Volume 2. [Google Scholar]
- Snyder, E.G.; Watkins, T.H.; Solomon, P.A.; Thoma, E.D.; Williams, R.W.; Hagler, G.S.; Shelow, D.; Hindin, D.A.; Kilaru, V.J.; Preuss, P.W. The changing paradigm of air pollution monitoring. Environ. Sci. Technol. 2013. [Google Scholar] [CrossRef]
- Morawska, L.; Thai, P.K.; Liu, X.; Asumadu-Sakyi, A.; Ayoko, G.; Bartonova, A.; Bedini, A.; Chai, F.; Christensen, B.; Dunbabin, M.; et al. Applications of low-cost sensing technologies for air quality monitoring and exposure assessment: How far have they gone? Environ. Int. 2018, 116, 286–299. [Google Scholar] [CrossRef]
- Available online: https://www.epa.gov/air-sensor-toolbox/evaluation-emerging-air-pollution-sensor-performance (accessed on 24 January 2020).
- Kumar, P.; Morawska, L.; Martani, C.; Biskos, G.; Neophytou, M.; Di Sabatino, S.; Bell, M.; Norford, L.; Britter, R. The rise of low-cost sensing for managing air pollution in cities. Environ. Int. 2015, 75, 199–205. [Google Scholar] [CrossRef]
- Hernández-Paniagua, I.Y.; Andraca-Ayala, G.L.; Diego-Ayala, U.; Ruiz-Suarez, L.G.; Zavala-Reyes, J.C.; Cid-Juárez, S.; Torre-Bouscoulet, L.; Gochicoa-Rangel, L.; Rosas-Pérez, I.; Jazcilevich, A. Personal exposure to PM2. 5 in the megacity of Mexico: A multi-mode transport study. Atmosphere 2018, 9, 57. [Google Scholar] [CrossRef]
- Mueller, N.; Rojas-Rueda, D.; Cole-Hunter, T.; De Nazelle, A.; Dons, E.; Gerike, R.; Goetschi, T.; Panis, L.I.; Kahlmeier, S.; Nieuwenhuijsen, M. Health impact assessment of active transportation: A systematic review. Prev. Med. 2015, 76, 103–114. [Google Scholar] [CrossRef]
- Farrell, W.J.; Weichenthal, S.; Goldberg, M.; Hatzopoulou, M. Evaluating air pollution exposures across cycling infrastructure types: Implications for facility design. J. Transp. Land Use 2015, 8, 131–149. [Google Scholar] [CrossRef]
- Lonati, G.; Ozgen, S.; Ripamonti, G.; Signorini, S. Variability of black carbon and ultrafine particle concentration on urban bike routes in a mid-sized city in the Po Valley (Northern Italy). Atmosphere 2017, 8, 40. [Google Scholar] [CrossRef]
- Lioy, P.; Weisel, C. Chapter 5—Exposure Science Research Design. In Exposure Science; Lioy, P., Weisel, C., Eds.; Academic Press: Oxford, UK, 2014. [Google Scholar]
- Hoek, G.; Beelen, R.; De Hoogh, K.; Vienneau, D.; Gulliver, J.; Fischer, P.; Briggs, D. A review of land-use regression models to assess spatial variation of outdoor air pollution. Atmos. Environ. 2008, 42, 7561–7578. [Google Scholar] [CrossRef]
- Hatzopoulou, M.; Weichenthal, S.; Dugum, H.; Pickett, G.; Miranda-Moreno, L.; Kulka, R.; Andersen, R.; Goldberg, M. The impact of traffic volume, composition, and road geometry on personal air pollution exposures among cyclists in Montreal, Canada. J. Expo. Sci. Environ. Epidemiol. 2013, 23, 46. [Google Scholar] [CrossRef] [PubMed]
- Hankey, S.; Marshall, J.D. On-bicycle exposure to particulate air pollution: Particle number, black carbon, PM2.5, and particle size. Atmos. Environ. 2015, 122, 65–73. [Google Scholar] [CrossRef]
- MacNaughton, P.; Melly, S.; Vallarino, J.; Adamkiewicz, G.; Spengler, J.D. Impact of bicycle route type on exposure to traffic-related air pollution. Sci. Total. Environ. 2014, 490, 37–43. [Google Scholar] [CrossRef]
- Bigazzi, A.Y.; Figliozzi, M. Roadway determinants of bicyclist exposure to volatile organic compounds and carbon monoxide. Transp. Res. Part D Transp. Environ. 2015, 41, 13–23. [Google Scholar] [CrossRef]
- Minet, L.; Liu, R.; Valois, M.-F.; Xu, J.; Weichenthal, S.; Hatzopoulou, M. Development and Comparison of Air Pollution Exposure Surfaces Derived from On-Road Mobile Monitoring and Short-Term Stationary Sidewalk Measurements. Environ. Sci. Technol. 2018, 52, 3512–3519. [Google Scholar] [CrossRef]
- Minet, L.; Stokes, J.; Scott, J.; Xu, J.; Weichenthal, S.; Hatzopoulou, M. Should traffic-related air pollution and noise be considered when designing urban bicycle networks? Transp. Res. Part D Transp. Environ. 2018, 65, 736–749. [Google Scholar] [CrossRef]
- Salmond, J.A.; Williams, D.E.; Laing, G.; Kingham, S.; Dirks, K.; Longley, I.; Henshaw, G.S. The influence of vegetation on the horizontal and vertical distribution of pollutants in a street canyon. Sci. Total. Environ. 2013, 443, 287–298. [Google Scholar] [CrossRef]
- Jereb, B.; Batkovič, T.; Herman, L.; Šipek, G.; Kovše, Š.; Gregorič, A.; Močnik, G. Exposure to black carbon during bicycle commuting–alternative route selection. Atmosphere 2018, 9, 21. [Google Scholar] [CrossRef]
- Dekoninck, L.; Botteldooren, D.; Int Panis, L. An instantaneous spatiotemporal model to predict a bicyclist’s Black Carbon exposure based on mobile noise measurements. Atmos. Environ. 2013, 79, 623–631. [Google Scholar] [CrossRef]
- Van den Bossche, J.; De Baets, B.; Verwaeren, J.; Botteldooren, D.; Theunis, J. Development and evaluation of land use regression models for black carbon based on bicycle and pedestrian measurements in the urban environment. Environ. Model. Softw. 2018, 99, 58–69. [Google Scholar] [CrossRef]
- Gaboriau, P. Les trois âges du vélo en France. Vingtième Siècle. Revue d’histoire 1991, 17–33. [Google Scholar] [CrossRef]
- Pucher, J.; Buehler, R.; Seinen, M. Bicycling renaissance in North America? An update and re-appraisal of cycling trends and policies. Transp. Res. Part A Policy Pr. 2011, 45, 451–475. [Google Scholar] [CrossRef]
- Courel, J.; Riou, D.; Gouvernal, É. Le Vélo Retrouve sa Place Parmi les Mobilités du Quotidien. In Note Rapide; Institut d’aménagement et d’urbanisme d’île de France: Paris, France, 2014. [Google Scholar]
- AirParif. Bilan de la Qualité de l’air Années 2017; AirParif: Paris, France, 2018. [Google Scholar]
- BruitParif. Impacts Sanitaires du Bruit des Transports dans la Zone Dense de la Région Ile-de-France; BruitParif: Saint-Denis, France, 2019. [Google Scholar]
- Van den Bossche, J.; Peters, J.; Verwaeren, J.; Botteldooren, D.; Theunis, J.; De Baets, B. Mobile monitoring for mapping spatial variation in urban air quality: Development and validation of a methodology based on an extensive dataset. Atmos. Environ. 2015, 105, 148–161. [Google Scholar] [CrossRef]
- Kaur, S.; Nieuwenhuijsen, M.J.; Colvile, R.N. Fine particulate matter and carbon monoxide exposure concentrations in urban street transport microenvironments. Atmos. Environ. 2007, 41, 4781–4810. [Google Scholar] [CrossRef]
- Marshall, J.D.; Nethery, E.; Brauer, M. Within-urban variability in ambient air pollution: Comparison of estimation methods. Atmos. Environ. 2008, 42, 1359–1369. [Google Scholar] [CrossRef]
- Mead, M.I.; Popoola, O.; Stewart, G.B.; Landshoff, P.; Calleja, M.; Hayes, M.; Baldovi, J.J.; McLeod, M.W.; Hodgson, T.F.; Dicks, J. The use of electrochemical sensors for monitoring urban air quality in low-cost, high-density networks. Atmos. Environ. 2013, 70, 186–203. [Google Scholar] [CrossRef]
- Shi, Y.; Lau, K.K.L.; Ng, E. Developing Street-Level PM2.5 and PM10 Land Use Regression Models in High-Density Hong Kong with Urban Morphological Factors. Environ. Sci. Technol. 2016, 50, 8178–8187. [Google Scholar] [CrossRef]
- Steinle, S.; Reis, S.; Sabel, C.E. Quantifying human exposure to air pollution—Moving from static monitoring to spatio-temporally resolved personal exposure assessment. Sci. Total. Environ. 2013, 443, 184–193. [Google Scholar] [CrossRef]
- Xie, S.; Zhang, Y.; Qi, L.; Tang, X. Spatial distribution of traffic-related pollutant concentrations in street canyons. Atmos. Environ. 2003, 37, 3213–3224. [Google Scholar] [CrossRef]
- de Nazelle, A.; Fruin, S.; Westerdahl, D.; Martinez, D.; Ripoll, A.; Kubesch, N.; Nieuwenhuijsen, M. A travel mode comparison of commuters’ exposures to air pollutants in Barcelona. Atmos. Environ. 2012, 59, 151–159. [Google Scholar] [CrossRef]
- Zuurbier, M.; Hoek, G.; Oldenwening, M.; Lenters, V.; Meliefste, K.; Van Den Hazel, P.; Brunekreef, B. Commuters’ exposure to particulate matter air pollution is affected by mode of transport, fuel type, and route. Environ. Health Perspect. 2010, 118, 783–789. [Google Scholar] [CrossRef]
- Hatzopoulou, M.; Valois, M.F.; Levy, I.; Mihele, C.; Lu, G.; Bagg, S.; Minet, L.; Brook, J. Robustness of Land-Use Regression Models Developed from Mobile Air Pollutant Measurements. Environ. Sci. Technol. 2017, 51, 3938–3947. [Google Scholar] [CrossRef]
- Gelb, J.; Apparicio, P. Noise exposure of cyclists in Ho Chi Minh City: A spatio-temporal analysis using non-linear models. Appl. Acoust. 2019, 148, 332–343. [Google Scholar] [CrossRef]
- Dons, E.; Temmerman, P.; Van Poppel, M.; Bellemans, T.; Wets, G.; Int Panis, L. Street characteristics and traffic factors determining road users’ exposure to black carbon. Sci. Total. Environ. 2013, 447, 72–79. [Google Scholar] [CrossRef]
- Jason, T. The Challenges with Electrochemical NO2 Sensors in Outdoor Air Monitoring. Available online: https://www.aeroqual.com/challenges-electrochemical-no2-sensors-outdoor-air-monitoring (accessed on 24 January 2020).
- Lin, C.; Gillespie, J.; Schuder, M.; Duberstein, W.; Beverland, I.; Heal, M. Evaluation and calibration of Aeroqual series 500 portable gas sensors for accurate measurement of ambient ozone and nitrogen dioxide. Atmos. Environ. 2015, 100, 111–116. [Google Scholar] [CrossRef]
- Minet, L.; Gehr, R.; Hatzopoulou, M. Capturing the sensitivity of land-use regression models to short-term mobile monitoring campaigns using air pollution micro-sensors. Environ. Pollut. 2017, 230, 280–290. [Google Scholar] [CrossRef]
- Delgado-Saborit, J.M. Use of real-time sensors to characterise human exposures to combustion related pollutants. J. Environ. Monit. 2012, 14, 1824–1837. [Google Scholar] [CrossRef]
- Deville Cavellin, L.; Weichenthal, S.; Tack, R.; Ragettli, M.S.; Smargiassi, A.; Hatzopoulou, M. Investigating the use of portable air pollution sensors to capture the spatial variability of traffic-related air pollution. Environ. Sci. Technol. 2016, 50, 313–320. [Google Scholar] [CrossRef] [PubMed]
- Huber, S.; Rust, C. Calculate travel time and distance with OpenStreetMap data using the Open Source Routing Machine (OSRM). Stata J. 2016, 16, 416–423. [Google Scholar] [CrossRef]
- Girres, J.-F.; Touya, G. Quality Assessment of the French OpenStreetMap Dataset. Transactions in GIS 2010, 14, 435–459. [Google Scholar] [CrossRef]
- Brovelli, M.A.; Minghini, M.; Molinari, M.E. An automated GRASS-based procedure to assess the geometrical accuracy of the OpenStreetMap Paris road network. ISPRS Int. Arch. Photogramm. Remote. Sens. Spat. Inf. Sci. 2016, XLI–B7. [Google Scholar] [CrossRef]
- Wood, S.N. Generalized Additive Models: An Introduction with R.; Chapman and Hall/CRC: Boca Raton, FL, USA, 2006. [Google Scholar]
- Izenman, A.J. Multivariate Regression. In Modern Multivariate Statistical Techniques: Regression, Classification, and Manifold Learning; Izenman, A.J., Ed.; Springer: Berlin/Heidelberg, Germany, 2008; pp. 159–194. [Google Scholar]
- R Core Team. R: A language and Environment for Statistical Computing; R Foundation for Statistical Computing: Vienna, Austria, 2019. [Google Scholar]
- Bürkner, P.-C. Advanced Bayesian Multilevel Modeling with the R package Brms. arXiv 2017, arXiv:1705.11123. [Google Scholar] [CrossRef]
- Carpenter, B.; Gelman, A.; Hoffman, M.D.; Lee, D.; Goodrich, B.; Betancourt, M.; Brubaker, M.; Guo, J.; Li, P.; Riddell, A. Stan: A probabilistic programming language. J. Stat. Softw. 2017, 76. [Google Scholar] [CrossRef]
- Merritt, A.-S.; Georgellis, A.; Andersson, N.; Bedada, G.B.; Bellander, T.; Johansson, C. Personal exposure to black carbon in Stockholm, using different intra-urban transport modes. Sci. Total. Environ. 2019, 674, 279–287. [Google Scholar] [CrossRef]
- Boogaard, H.; Borgman, F.; Kamminga, J.; Hoek, G. Exposure to ultrafine and fine particles and noise during cycling and driving in 11 Dutch cities. Atmos. Environ. 2009, 43, 4234–4242. [Google Scholar] [CrossRef]
- Davies, H.W.; Vlaanderen, J.; Henderson, S.; Brauer, M. Correlation between co-exposures to noise and air pollution from traffic sources. Occup. Environ. Med. 2009, 66, 347–350. [Google Scholar] [CrossRef]
- Sueur, J.; Aubin, T.; Simonis, C. Seewave, a free modular tool for sound analysis and synthesis. Bioacoustics 2008, 18, 213–226. [Google Scholar] [CrossRef]
- OpenStreetMap. Key: Highway. Available online: https://wiki.openstreetmap.org/wiki/Key:highway (accessed on 24 January 2020).






| Dimension | Variable | Type |
|---|---|---|
| Micro-environment | Slope (%) | Linear effect |
| Cyclist’s speed (km/h) | Linear effect | |
| Number of intersections encountered | Linear effect | |
| Type of road (proportion of 1 min) | Linear effect | |
| Low-speed zone 30 (0–1) | Linear effect | |
| Distance from main road when on cycling infrastructure (m) | Nonlinear effect | |
| Industrial activity land use density (%) in a 50 m buffer | Linear effect | |
| Vegetation density (%) in a 50 m buffer | Linear effect | |
| Sky view factor index (%) | Linear effect | |
| Fetch index (%) | Linear effect | |
| Fetch index * wind speed | Linear effect | |
| Temperature (°C) | Linear effect | |
| Wind speed (km/h) | Linear effect | |
| Background- | Coordinates (X,Y) | Nonlinear effect |
| pollution | Number of minutes since 07:00 AM | Nonlinear effect |
| Control factors | Day of the data collection | Random intercept |
| Sensor | Random intercept | |
| Temporal autocorrelation | MA2 term |
| Statistic | NO2 (µg/m3) | LAeq, 1 min (dB(A)) |
|---|---|---|
| Mean a | 163.1 | 72.4 |
| Standard deviation a | 37.2 | 4.5 |
| Percentiles | ||
| 5 | 107.2 | 65.0 |
| 10 | 118.8 | 66.5 |
| 25 | 137.2 | 69.1 |
| 50 | 161.4 | 71.6 |
| 75 | 185.4 | 74.0 |
| 90 | 209.5 | 76.0 |
| 95 | 225.6 | 77.3 |
| 99 | 76.5 | 78.9 |
| ACF with | ||
| K = 1 | 0.70 | 0.61 |
| K = 2 | 0.54 | 0.36 |
| Moran I | 0.18 (d = 300) | 0.31 (d = 200) |
| Total Time | ||
|---|---|---|
| Minutes | % | |
| Road type | ||
| Primary road | 873 | 22.8 |
| Secondary road | 697 | 18.2 |
| Tertiary road | 377 | 9.9 |
| Residential street | 569 | 14.9 |
| Pedestrian path | 105 | 2.7 |
| Service | 208 | 5.4 |
| Cycleway | 802 | 21.0 |
| Unclassified | 191 | 5.0 |
| On street cycling infrastructure | ||
| Bicycle lane | 224 | 5.9 |
| Opposite lane | 106 | 2.8 |
| Shared bus lane | 325 | 8.5 |
| NO2 (µg/m3) | LAeq (dB(A)) | |||||||
|---|---|---|---|---|---|---|---|---|
| Estimate | S.E. | 0.05 CI | 0.95 CI | Estimate | S.E. | 0.05 CI | 0.95 CI | |
| Fixed terms | ||||||||
| Intercept | 128.65 | 28.44 | 72.58 | 184.56 | 70.49 | 2.35 | 65.83 | 74.92 |
| Temperature | 1.72 | 0.78 | 0.22 | 3.25 | 0.07 | 0.09 | −0.10 | 0.25 |
| Wind speed | −0.99 | 0.54 | −2.06 | 0.08 | −0.02 | 0.07 | −0.16 | 0.13 |
| Fetch index | −0.07 | 0.06 | −0.18 | 0.05 | 0.00 | 0.01 | −0.02 | 0.02 |
| Sky view factor index | −0.06 | 0.04 | −0.15 | 0.03 | 0.02 | 0.01 | 0.01 | 0.03 |
| Primary road | Ref. | Ref. | ||||||
| Secondary road | 1.88 | 1.58 | −1.16 | 5.01 | −0.98 | 0.21 | −1.40 | −0.56 |
| Tertiary road | −1.24 | 1.92 | −5.02 | 2.52 | −1.88 | 0.27 | −2.40 | −1.36 |
| Residential street | −1.05 | 1.82 | −4.66 | 2.52 | −4.08 | 0.26 | −4.58 | −3.57 |
| Pedestrian street | −5.68 | 3.02 | −11.57 | 0.27 | −2.72 | 0.43 | −3.57 | −1.89 |
| Service road | 3.67 | 2.30 | −0.87 | 8.16 | −1.44 | 0.32 | −2.07 | −0.80 |
| Cycleway | 0.86 | 1.59 | −2.25 | 3.93 | −1.45 | 0.23 | −1.90 | −0.99 |
| Unclassified | 1.84 | 2.23 | −2.53 | 6.19 | −2.72 | 0.31 | −3.33 | −2.10 |
| Cycle lane | −0.82 | 1.98 | −4.68 | 3.04 | 0.40 | 0.28 | −0.15 | 0.94 |
| Opposite cycle lane | −0.43 | 2.83 | −5.99 | 5.14 | −0.63 | 0.40 | −1.42 | 0.15 |
| Shared road | −5.75 | 9.67 | −24.53 | 13.14 | 0.09 | 1.88 | −3.58 | 3.78 |
| Shared with bus lane | 0.97 | 1.68 | −2.30 | 4.22 | 0.52 | 0.23 | 0.06 | 0.97 |
| Low-speed zone 30 | −1.93 | 1.39 | −4.63 | 0.78 | −0.58 | 0.20 | −0.97 | −0.19 |
| Industrial activity land use | 0.03 | 0.03 | −0.03 | 0.09 | 0.01 | 0.00 | 0.00 | 0.02 |
| Vegetation density | 0.14 | 0.05 | 0.05 | 0.23 | −0.02 | 0.01 | −0.03 | −0.00 |
| Number of intersections | 0.20 | 0.11 | −0.02 | 0.42 | 0.03 | 0.02 | −0.00 | 0.06 |
| Segment slope | 0.36 | 0.22 | −0.07 | 0.80 | 0.04 | 0.03 | −0.03 | 0.10 |
| Random intercepts | ||||||||
| Day of the week | ||||||||
| Monday | 2.47 | 14.41 | −19.72 | 24.09 | −0.67 | 0.60 | −1.56 | 0.10 |
| Tuesday | −29.50 | 14.40 | −51.63 | −7.70 | 0.27 | 0.59 | −0.55 | 1.10 |
| Wednesday | 11.13 | 14.40 | −10.89 | 32.92 | 0.16 | 0.58 | −0.62 | 1.01 |
| Thursday | 15.80 | 14.44 | −6.29 | 37.71 | 0.24 | 0.59 | −0.56 | 1.13 |
| Participant | ||||||||
| ID1 | 11.83 | 17.89 | −14.62 | 38.32 | 0.52 | 1.19 | −1.03 | 2.06 |
| ID2 | 10.70 | 17.89 | −15.78 | 37.26 | 0.19 | 1.19 | −1.35 | 1.71 |
| ID3 | −22.50 | 17.90 | −49.09 | 4.09 | −0.69 | 1.19 | −2.28 | 0.81 |
| Temporal autocorrelation | ||||||||
| MA [1] | 0.57 | 0.02 | 0.54 | 0.60 | 0.48 | 0.02 | 0.45 | 0.51 |
| MA [2] | 0.18 | 0.01 | 0.15 | 0.21 | 0.14 | 0.02 | 0.11 | 0.17 |
© 2020 by the authors. Licensee MDPI, Basel, Switzerland. This article is an open access article distributed under the terms and conditions of the Creative Commons Attribution (CC BY) license (http://creativecommons.org/licenses/by/4.0/).
Share and Cite
Gelb, J.; Apparicio, P. Modelling Cyclists’ Multi-Exposure to Air and Noise Pollution with Low-Cost Sensors—The Case of Paris. Atmosphere 2020, 11, 422. https://doi.org/10.3390/atmos11040422
Gelb J, Apparicio P. Modelling Cyclists’ Multi-Exposure to Air and Noise Pollution with Low-Cost Sensors—The Case of Paris. Atmosphere. 2020; 11(4):422. https://doi.org/10.3390/atmos11040422
Chicago/Turabian StyleGelb, Jérémy, and Philippe Apparicio. 2020. "Modelling Cyclists’ Multi-Exposure to Air and Noise Pollution with Low-Cost Sensors—The Case of Paris" Atmosphere 11, no. 4: 422. https://doi.org/10.3390/atmos11040422
APA StyleGelb, J., & Apparicio, P. (2020). Modelling Cyclists’ Multi-Exposure to Air and Noise Pollution with Low-Cost Sensors—The Case of Paris. Atmosphere, 11(4), 422. https://doi.org/10.3390/atmos11040422

