Temporal and Cross-Regional Variability in the Level of Air Pollution in Poland—A Study Using Moss as a Bioindicator
Abstract
1. Introduction
2. Materials and Methods
2.1. Study Sites and Sampling
2.2. Chemical Analysis
2.3. Statistical Analysis
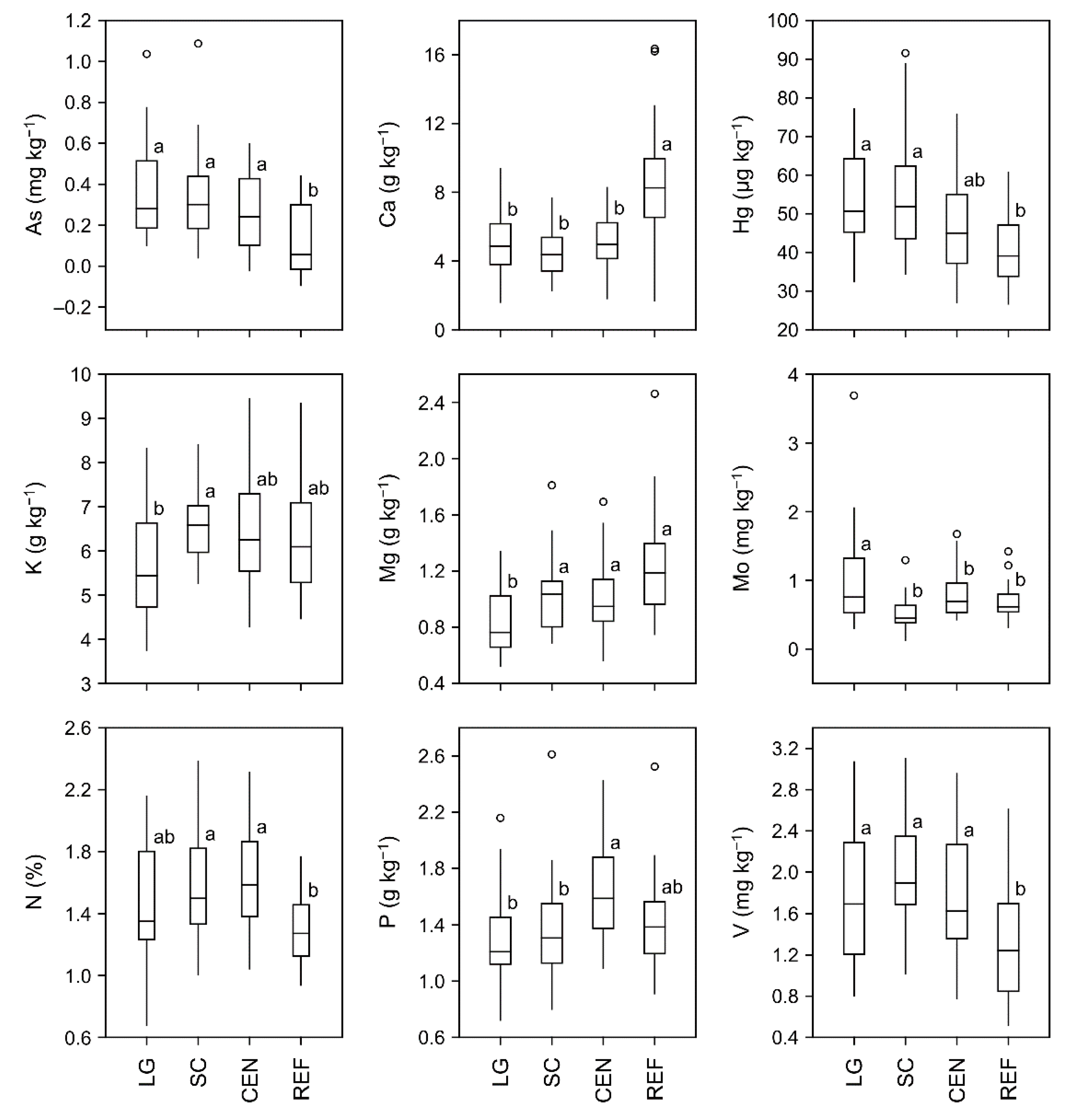
3. Results
3.1. Changes in the Level of Trace Metal Accumulation in Mosses Between 2001 and 2015
3.2. Changes in the Structure of Land Cover between 2000 and 2012
3.3. Cross-Regional Differences in the Level and Profile of Element Accumulation in Mosses in 2015
4. Discussion
4.1. Temporal Changes in Trace Metal Accumulation in Mosses
4.2. Cross-Regional Differences in the Accumulation of Trace Metals and Major Elements in Mosses
5. Conclusions
Author Contributions
Funding
Acknowledgments
Conflicts of Interest
Appendix A
| Variable | M2 | M3 | ||
|---|---|---|---|---|
| Mean | Range | Mean | Range | |
| As | 95.0 | 92.0–99.1 | 96.3 | 92.2–99.0 |
| Ca | 96.6 | 92.0–100.0 | 98.0 | 94.9–99.3 |
| Cd | 89.5 | 86.3–91.6 | 91.6 | 84.9–100.0 |
| Co | 94.1 | 88.2–99.7 | 95.1 | 90.6–99.0 |
| Cr | 96.6 | 93.4–100.2 | 96.3 | 93.1–99.3 |
| Cu | 89.6 | 88.1–95.1 | 90.0 | 87.8–92.0 |
| Fe | 93.3 | 90.9–94.9 | 95.2 | 87.3–99.0 |
| Hg | 95.3 | – | 95.4 | – |
| K | 96.9 | 94.4–99.2 | 96.8 | 93.6–99.6 |
| Mg | 98.1 | 96.6–99.6 | 97.1 | 95.5–98.8 |
| Mo | 91.6 | 82.5–96.3 | 91.7 | 81.5–101.1 |
| Ni | 94.8 | 89.5–100.1 | 94.1 | 89.0–100.2 |
| P | 96.0 | – | 98.0 | – |
| Pb | 97.8 | 94.5–99.8 | 97.4 | 94.0–100.1 |
| V | 92.8 | 83.7–102.3 | 90.2 | 86.4–97.9 |
| Zn | 95.7 | 93.9–99.1 | 94.7 | 88.2–98.6 |
References
- Prüss-Ustün, A.; Corvalán, C. Preventing Disease through Healthy Environments: Towards an Estimate of the Environmental Burden of Disease; World Health Organization: Geneva, Switzerland, 2006. [Google Scholar]
- EEA. Air Quality in Europe—2019 Report; European Environment Agency: Copenhagen, Denmark, 2019. [Google Scholar]
- Moldan, B.; Hak, T. Central European environmental history and the EU accession. Environ. Sci. Technol. 2011, 45, 3823–3828. [Google Scholar] [CrossRef] [PubMed]
- Karpiński, A.; Grabowiecki, R.; Gałązka, T.; Ślązak, R.; Babul, T.; Potrzebowski, H.; Soroka, P. Straty w Potencjale Polskiego Przemysłu i Jego Ułomna Transformacja po 1989 Roku. Wizja Nowoczesnej Reindustrializacji Polski [Losses in the Potential of Polish Industry and Its Imperfect Transformation after 1989. A Vision of Modern Reindustrialisation of Poland]; Polish Industrial Lobby: Warsaw, Poland, 2012. [Google Scholar]
- Kramer, J.M. The environmental crisis in Eastern Europe: The price for progress. Slav. Rev. 1983, 42, 204–220. [Google Scholar] [CrossRef]
- Andersson, M. Environmental policy in Poland. In Capacity Building in National Environmental Policy; Weidner, H., Jänicke, M., Eds.; Springer: Berlin, Germany, 2002; pp. 347–373. [Google Scholar]
- Kapusta, P.; Stanek, M.; Szarek-Łukaszewska, G.; Godzik, B. Long-term moss monitoring of atmospheric deposition near a large steelworks reveals the growing importance of local non-industrial sources of pollution. Chemosphere 2019, 230, 29–39. [Google Scholar] [CrossRef] [PubMed]
- Černikovský, L.; Krejčí, B.; Blažek, Z.; Volná, V. Transboundary air-pollution transport in the Czech-Polish border region between the cities of Ostrava and Katowice. Cent. Eur. J. Public Health 2016, 24, S45–S50. [Google Scholar] [CrossRef]
- Rühling, Å.; Tyler, G. An ecological approach to the lead problem. Bot. Not. 1968, 121, 321–342. [Google Scholar]
- Tyler, G. Bryophytes and heavy metals: A literature review. Bot. J. Linn. Soc. 1990, 104, 231–253. [Google Scholar] [CrossRef]
- Zechmeister, H.G.; Grodzińska, K.; Szarek-Łukaszewska, G. Bryophytes. In Bioindicators and Biomonitors: Principles, Concepts and Applications; Markert, B.A., Breure, A.M., Zechmeister, H.G., Eds.; Elsevier: Amsterdam, The Netherlands, 2003; pp. 329–375. [Google Scholar]
- Harmens, H.; Mills, G.; Hayes, F.; Norris, D.A.; Sharps, K. Twenty eight years of ICP Vegetation: An overview of its activities. Ann. Bot. 2015, 5, 31–43. [Google Scholar]
- Grodzińska, K. Mosses as bioindicators of heavy metal pollution in Polish national parks. Water. Air. Soil Pollut. 1978, 9, 83–97. [Google Scholar] [CrossRef]
- Schröder, W.; Holy, M.; Pesch, R.; Harmens, H.; Fagerli, H.; Alber, R.; Coşkun, M.; De Temmerman, L.; Frolova, M.; González-Miqueo, L.; et al. First Europe-wide correlation analysis identifying factors best explaining the total nitrogen concentration in mosses. Atmos. Environ. 2010, 44, 3485–3491. [Google Scholar] [CrossRef]
- Harmens, H.; Foan, L.; Simon, V.; Mills, G. Terrestrial mosses as biomonitors of atmospheric POPs pollution: A review. Environ. Pollut. 2013, 173, 245–254. [Google Scholar] [CrossRef]
- Di Palma, A.; Capozzi, F.; Spagnuolo, V.; Giordano, S.; Adamo, P. Atmospheric particulate matter intercepted by moss-bags: Relations to moss trace element uptake and land use. Chemosphere 2017, 176, 361–368. [Google Scholar] [CrossRef] [PubMed]
- Krmar, M.; Radnović, D.; Hansman, J.; Mesaroš, M.; Betsou, C.; Jakšić, T.; Vasić, P. Spatial distribution of 7Be and 137Cs measured with the use of biomonitors. J. Radioanal. Nucl. Chem. 2018, 318, 1845–1854. [Google Scholar] [CrossRef]
- Ares, A.; Aboal, J.R.; Carballeira, A.; Giordano, S.; Adamo, P.; Fernández, J.Á. Moss bag biomonitoring: A methodological review. Sci. Total Environ. 2012, 432, 143–158. [Google Scholar] [CrossRef] [PubMed]
- ICP Vegetation. Heavy Metals, Nitrogen and POPs in European Mosses: 2015 Survey. Monitoring Manual; ICP Vegetation Programme Coordination Centre, CEH: Bangor, Wales, 2015. [Google Scholar]
- Berg, T.; Steinnes, E. Use of mosses (Hylocomium splendens and Pleurozium schreberi) as biomonitors of heavy metal deposition: From relative to absolute deposition values. Environ. Pollut. 1997, 98, 61–71. [Google Scholar] [CrossRef]
- Markert, B.A.; Breure, A.M.; Zechmeister, H.G. Bioindicators and Biomonitors: Principles, Concepts and Applications; Elsevier: Amsterdam, The Netherlands, 2003. [Google Scholar]
- Steinnes, E.; Rühling, Å.; Lippo, H.; Mäkinen, A. Reference materials for large-scale metal deposition surveys. Accredit. Qual. Assur. 1997, 2, 243–249. [Google Scholar] [CrossRef]
- Logan, M. Biostatistical Design and Analysis Using R. A Practical Guide; Wiley-Blackwell: Chichester, UK, 2010. [Google Scholar]
- R Core Team. R: A Language and Environment for Statistical Computing; R Foundation for Statistical Computing: Vienna, Austria, 2017. [Google Scholar]
- Pinheiro, J.; Bates, D.; DebRoy, S.; Sarkar, D.; R Core Team. Nlme: Linear and Nonlinear Mixed Effects Models, R package version 3.1-131; Available online: https://CRAN.R-project.org/package=nlme (accessed on 10 July 2017).
- Hothorn, T.; Bretz, F.; Westfall, P. Simultaneous inference in general parametric models. Biom. J. 2008, 50, 346–363. [Google Scholar] [CrossRef]
- Harmens, H.; Norris, D.A.; Sharps, K.; Mills, G.; Alber, R.; Aleksiayenak, Y.; Blum, O.; Cucu-Man, S.-M.; Dam, M.; De Temmerman, L.; et al. Heavy metal and nitrogen concentrations in mosses are declining across Europe whilst some “hotspots” remain in 2010. Environ. Pollut. 2015, 200, 93–104. [Google Scholar] [CrossRef]
- Pacyna, E.G.; Pacyna, J.M.; Fudala, J.; Strzelecka-Jastrzab, E.; Hlawiczka, S.; Panasiuk, D.; Nitter, S.; Pregger, T.; Pfeiffer, H.; Friedrich, R. Current and future emissions of selected heavy metals to the atmosphere from anthropogenic sources in Europe. Atmos. Environ. 2007, 41, 8557–8566. [Google Scholar] [CrossRef]
- Kapusta, P.; Szarek-Łukaszewska, G.; Godzik, B. Present and past deposition of heavy metals in Poland as determined by moss monitoring. Pol. J. Environ. Stud. 2014, 23, 2047–2053. [Google Scholar] [CrossRef]
- Harmens, H.; Norris, D.; Mills, G.; Aboal Viñas, J.; Alber, R.; Aleksiayenak, Y.; Baceva, K.; Barandovski, L.; Berg, T.; Blum, O.; et al. Heavy Metals and Nitrogen in Mosses: Spatial Patterns in 2010/2011 and Long-Term Temporal Trends in Europe; ICP Vegetation Programme Coordination Centre, Centre for Ecology and Hydrology: Bangor, Wales, 2013. [Google Scholar]
- Kabata-Pendias, A.; Pendias, H. Biogeochemia Pierwiastków Śladowych [Biogeochemistry of Trace Elements]; Wydawnictwo Naukowe PWN: Warszawa, Poland, 1999. [Google Scholar]
- Statistics Poland. Available online: https://stat.gov.pl/en (accessed on 16 December 2019).
- Cegielska, K.; Noszczyk, T.; Kukulska, A.; Szylar, M.; Hernik, J.; Dixon-Gough, R.; Jombach, S.; Valánszki, I.; Filepné Kovács, K. Land use and land cover changes in post-socialist countries: Some observations from Hungary and Poland. Land Use Policy 2018, 78, 1–18. [Google Scholar] [CrossRef]
- Ahrens, A.; Lyons, S. Changes in land cover and urban sprawl in Ireland from a comparative perspective over 1990–2012. Land 2019, 8, 16. [Google Scholar] [CrossRef]
- Xu, M.; Yan, R.; Zheng, C.; Qiao, Y.; Han, J.; Sheng, C. Status of trace element emission in a coal combustion process: A review. Fuel Process. Technol. 2004, 85, 215–237. [Google Scholar] [CrossRef]
- Boman, C.; Öhman, M.; Nordin, A. Trace element enrichment and behavior in wood pellet production and combustion processes. Energy Fuels 2006, 20, 993–1000. [Google Scholar] [CrossRef]
- Kubica, K.; Paradiz, B.; Dilara, P. Small Combustion Installations: Techniques, Emissions and Measures for Emission Reduction; Scientific Reports of the IES JRC; Joint Research Centre: Ispra, Italy, 2007. [Google Scholar]
- Gietl, J.K.; Lawrence, R.; Thorpe, A.J.; Harrison, R.M. Identification of brake wear particles and derivation of a quantitative tracer for brake dust at a major road. Atmos. Environ. 2010, 44, 141–146. [Google Scholar] [CrossRef]
- Saqib, N.; Bäckström, M. Distribution and leaching characteristics of trace elements in ashes as a function of different waste fuels and incineration technologies. J. Environ. Sci. 2015, 36, 9–21. [Google Scholar] [CrossRef] [PubMed]
- Pasieczna, A.; Lis, J. Environmental geochemical mapping of the Olkusz 1:25 000 scale map sheet, Silesia-Cracow region, southern Poland. Geochem. Explor. Environ. Anal. 2008, 8, 323–331. [Google Scholar] [CrossRef]
- Pirrone, N.; Cinnirella, S.; Feng, X.; Finkelman, R.B.; Friedli, H.R.; Leaner, J.; Mason, R.; Mukherjee, A.B.; Stracher, G.B.; Streets, D.G.; et al. Global mercury emissions to the atmosphere from anthropogenic and natural sources. Atmos. Chem. Phys. 2010, 10, 5951–5964. [Google Scholar] [CrossRef]
- Zyśk, J.; Roustan, Y.; Wyrwa, A. Modelling of the atmospheric dispersion of mercury emitted from the power sector in Poland. Atmos. Environ. 2015, 112, 246–256. [Google Scholar] [CrossRef][Green Version]
- Breuer, K.; Melzer, A. Heavy metal accumulation (lead and cadmium) and ion exchange in three species of Sphagnaceae. Oecologia 1990, 82, 461–467. [Google Scholar] [CrossRef]
- Renaudin, M.; Leblond, S.; Meyer, C.; Rose, C.; Lequy, E. The coastal environment affects lead and sodium uptake by the moss Hypnum cupressiforme used as an air pollution biomonitor. Chemosphere 2018, 193, 506–513. [Google Scholar] [CrossRef]





| Variable | Median | Mean (SD 1) | Range | Change |
|---|---|---|---|---|
| As (mg kg−1) | 0.33 | 0.34 (0.20) | 0–1.10 | – |
| Ca (g kg−1) | 5.2 | 5.8 (3.1) | 1.6–23.2 | – |
| Cd (mg kg−1) | 0.2 | 0.6 (1.3) | 0.1–11.6 | 59% * |
| Co (mg kg−1) | 0.22 | 0.26 (0.13) | 0.06–0.74 | – |
| Cr (mg kg−1) | 1.6 | 2.4 (2.0) | 0.7–11.3 | 180% * |
| Cu (mg kg−1) | 7 | 11 (19) | 3–197 | 92% * |
| Fe (g kg−1) | 0.51 | 0.66 (0.49) | 0.24–3.95 | 117% * |
| Hg (μg kg−1) | 46 | 49 (14) | 27–91 | – |
| K (g kg−1) | 6.18 | 6.20 (1.14) | 3.76–9.44 | – |
| Mg (g kg−1) | 0.97 | 1.03 (0.36) | 0.52–3.05 | – |
| Mo (mg kg−1) | 0.62 | 0.82 (0.90) | 0.13–8.62 | – |
| N (%) | 1.44 | 1.48 (0.34) | 0.68–2.38 | – |
| Ni (mg kg−1) | 2.8 | 3.1 (1.6) | 1.2–13.7 | 178% * |
| P (g kg−1) | 1.37 | 1.42 (0.35) | 0.72–2.61 | – |
| Pb (mg kg−1) | 7 | 14 (27) | 1–206 | 70% * |
| V (mg kg−1) | 1.69 | 1.70 (0.64) | 0.52–3.10 | – |
| Zn (mg kg−1) | 53 | 57 (36) | 6–238 | 128% |
| Variable | Factor 1 | Factor 2 | Factor 3 | Factor 4 | Factor 5 |
|---|---|---|---|---|---|
| As | 0.584 | 0.478 | 0.014 | −0.053 | 0.334 |
| Ca | −0.138 | 0.023 | 0.060 | 0.898 | 0.146 |
| Cd | 0.746 | 0.206 | 0.057 | −0.075 | −0.481 |
| Co | 0.129 | 0.527 | 0.150 | 0.055 | 0.386 |
| Cr | −0.013 | 0.924 | 0.045 | 0.054 | 0.017 |
| Cu | 0.823 | −0.015 | 0.064 | −0.258 | 0.357 |
| Fe | 0.380 | 0.836 | 0.161 | 0.055 | −0.169 |
| Hg | 0.619 | 0.169 | 0.371 | −0.240 | −0.008 |
| K | 0.076 | 0.018 | 0.781 | 0.212 | −0.209 |
| Mg | −0.193 | 0.414 | 0.544 | 0.580 | −0.015 |
| Mo | −0.019 | 0.192 | −0.034 | 0.115 | 0.836 |
| N | 0.300 | 0.158 | 0.684 | −0.264 | 0.070 |
| Ni | 0.016 | 0.878 | 0.018 | −0.039 | 0.191 |
| P | −0.089 | 0.058 | 0.863 | 0.081 | 0.127 |
| Pb | 0.893 | 0.204 | −0.024 | −0.126 | −0.117 |
| V | 0.460 | 0.504 | 0.344 | −0.011 | 0.184 |
| Zn | 0.765 | −0.179 | −0.095 | 0.456 | −0.040 |
| EV 1 | 22.8 | 20.4 | 14.4 | 9.7 | 8.9 |
| Voivodships | Year | Cd | Cr | Ni | Pb | Zn |
|---|---|---|---|---|---|---|
| Lower Silesian (LG) | 2005 | 188 | 4 | 34 | 6347 | 5816 |
| 2010 | 52 | 9 | 14 | 5507 | 878 | |
| 2015 | 43 | 156 | 234 | 4536 | 1789 | |
| Silesian (SC) | 2005 | 622 | 3956 | 418 | 30,232 | 52,004 |
| 2010 | 719 | 2981 | 1903 | 32,628 | 57,959 | |
| 2015 | 666 | 4427 | 2845 | 22,118 | 54,312 | |
| Mazovian (CEN) | 2005 | 10 | 139 | 1447 | 172 | 5840 |
| 2010 | 36 | 1288 | 3493 | 753 | 6612 | |
| 2015 | 27 | 1319 | 4399 | 1221 | 3578 | |
| Podlasie (REF) | 2005 | n/a | n/a | n/a | n/a | n/a |
| 2010 | n/a | n/a | n/a | n/a | n/a | |
| 2015 | n/a | 232 | 145 | 16 | 653 |
© 2020 by the authors. Licensee MDPI, Basel, Switzerland. This article is an open access article distributed under the terms and conditions of the Creative Commons Attribution (CC BY) license (http://creativecommons.org/licenses/by/4.0/).
Share and Cite
Kapusta, P.; Godzik, B. Temporal and Cross-Regional Variability in the Level of Air Pollution in Poland—A Study Using Moss as a Bioindicator. Atmosphere 2020, 11, 157. https://doi.org/10.3390/atmos11020157
Kapusta P, Godzik B. Temporal and Cross-Regional Variability in the Level of Air Pollution in Poland—A Study Using Moss as a Bioindicator. Atmosphere. 2020; 11(2):157. https://doi.org/10.3390/atmos11020157
Chicago/Turabian StyleKapusta, Paweł, and Barbara Godzik. 2020. "Temporal and Cross-Regional Variability in the Level of Air Pollution in Poland—A Study Using Moss as a Bioindicator" Atmosphere 11, no. 2: 157. https://doi.org/10.3390/atmos11020157
APA StyleKapusta, P., & Godzik, B. (2020). Temporal and Cross-Regional Variability in the Level of Air Pollution in Poland—A Study Using Moss as a Bioindicator. Atmosphere, 11(2), 157. https://doi.org/10.3390/atmos11020157

