Aerosol Indirect Effects on the Predicted Precipitation in a Global Weather Forecasting Model
Abstract
1. Introduction
2. The Simplified Chemistry Package
2.1. Emission
2.2. Transport
2.3. Dry/Wet Deposition
2.4. Chemistry
3. Linkage between Chemistry and Meteorology
3.1. Linkage to Non-Convective Clouds
3.2. Linkage to Convective Clouds
4. Simulation Results
4.1. Experimental Setup
4.2. Spatial Distributions of the Simulated Chemical Species
4.3. Comparison of NC and Radiation Flux
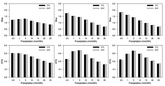
4.4. Precipitation Change
5. Summary
Author Contributions
Funding
Acknowledgments
Conflicts of Interest
Appendix A
| Symbol | Description |
|---|---|
| Praut | Autoconversion of cloud water to form rain |
| Pracw | Accretion of cloud water by rain |
| paacw | Accretion of cloud water by averaged snow/graupel |
| prevp | Evaporation/condensation of rain |
| pgmlt | Melting of graupel to form rain |
| pgeml | Induced by enhanced melting of graupel |
| pfrzdtr | Freezing of rain water to graupel |
| piacr | Accretion of rain by cloud ice |
| psacr | Accretion of cloud ice by snow |
| pgacr | Accretion of cloud ice by graupel |
| psmlt | Melting of snow |
| pseml | Induced by enhanced melting of snow |
| prevp_s | Evaporation of rain to form cloud water |

References
- Bernstein, L.; Bosch, P.; Canziani, O.; Chen, Z.; Christ, R.; Davidson, O.; Hare, W.; Huq, S.; Karoly, D.; Kattsov, V. IPCC, 2007: Climate Change 2007: Synthesis Report. In Contribution of Working Groups I, II and III to the Fourth Assessment Report of the Intergovernmental Panel on Climate Change; Core Writing Team, Pachauri, R.K., Reisinger, A., Eds.; Intergov. Panel on Climate Change: Geneva, Switzerland, 2007. [Google Scholar]
- Zhang, Y. Online-coupled meteorology and chemistry models: History, current status, and outlook. Atmos. Chem. Phys. 2008, 8, 2895–2932. [Google Scholar] [CrossRef]
- Jones, A.; Roberts, D.L.; Slingo, A. A climate model study of indirect radiative forcing by anthropogenic sulphate aerosols. Nature 1994, 370, 450–453. [Google Scholar] [CrossRef]
- Takemura, T.; Nozawa, T.; Emori, S.; Nakajima, T.Y.; Nakajima, T. Simulation of climate response to aerosol direct and indirect effects with aerosol transport-radiation model. J. Geophys. Res. 2005, 110, D02202. [Google Scholar] [CrossRef]
- Lohmann, U.; Stier, P.; Hoose, C.; Ferrachat, S.; Kloster, S.; Roeckner, E.; Zhang, J. Cloud microphysics and aerosol indirect effects in the global climate model ECHAM5-HAM. Atmos. Chem. Phys. 2007, 7, 3425–3446. [Google Scholar] [CrossRef]
- Bangert, M.; Kottmeier, C.; Vogel, B.; Vogel, H. Regional scale effects of the aerosol cloud interaction simulated with an online coupled comprehensive chemistry model. Atmos. Chem. Phys. 2011, 11, 4411–4423. [Google Scholar] [CrossRef]
- Grell, G.A.; Baklanov, A. Integrated modeling for forecasting weather and air quality: A call for fully coupled approaches. Atmos. Environ. 2011, 45, 6845–6851. [Google Scholar] [CrossRef]
- Grell, G.A.; Freitas, S.R. A scale and aerosol aware stochastic convective parameterization for weather and air quality modeling. Atmos. Chem. Phys. Discuss. 2013, 13, 23845–23893. [Google Scholar] [CrossRef]
- Berg, L.K.; Shrivastava, H.; Easter, R.C.; Fast, J.D.; Chapman, E.G.; Liu, Y.; Ferrare, R.A. A new WRF-Chem treatment for studying regional-scale impacts of cloud processes on aerosol and trace gases in parameterized cumuli. Geosci. Model Dev. 2015, 8, 409–429. [Google Scholar] [CrossRef]
- Hong, S.-Y.; Park, H.; Cheong, H.-B.; Kim, J.-E.E.; Koo, M.-S.; Jang, J.; Ham, S.; Hwang, S.-O.; Park, B.-K.; Chang, E.-C.; et al. The Global/Regional Integrated Model System (GRIMs). Asia Pac. J. Atmos. Sci. 2013, 49, 219–243. [Google Scholar] [CrossRef]
- Baklanov, A.; Schlünzen, K.; Suppan, P.; Baldasano, J.; Brunner, D.; Aksoyoglu, S.; Carmichael, G.; Douros, J.; Flemming, J.; Forkel, R.; et al. Online coupled regional meteorology chemistry models in Europe: Current status and prospects. Atmos. Chem. Phys. 2014, 14, 317–398. [Google Scholar] [CrossRef]
- Chin, M.; Rood, R.B.; Lin, S.-J.; Muller, J.F.; Thompson, A.M. Atmospheric sulfur cycle in the global model GOCART: Model description and global properties. J. Geophys. Res. 2000, 105, 24671–24687. [Google Scholar] [CrossRef]
- Grell, G.A.; Peckham, S.E.; Schmitz, R.; McKeen, S.A.; Frost, G.; Skamarock, W.C.; Eder, B. Fully coupled ‘online’ chemistry in the WRF model. Atmos. Environ. 2005, 39, 6957–6976. [Google Scholar] [CrossRef]
- Fan, T.; Toon, O.B. Modeling sea-salt aerosol in a coupled climate and sectional microphysical model: Mass, optical depth and number concentration. Atmos. Chem. Phys. 2011, 11, 4587–4610. [Google Scholar] [CrossRef]
- Gong, S.; Barrie, L.A.; Blanchet, J.-P. Modeling sea salt aerosols in the atmosphere, 1: Model development. J. Geophys. Res. 1997, 102, 3805–3818. [Google Scholar] [CrossRef]
- Monahan, E.C.; Spiel, D.E.; Davidson, K.L. A model of marine aerosol generation via whitecaps and wave disruption. In Oceanic Whitecaps; Monahan, E.C., Niocaill, G.M., Eds.; Springer: Dordrecht, The Netherlands, 1986; pp. 167–174. [Google Scholar]
- Granier, C.; Bessagnet, B.; Bond, T.; D’Angiola, A.; van der Gon, H.D.; Frost, G.J.; Heil, A.; Kaiser, J.W.; Kinne, S.; Klimont, Z.; et al. Evolution of anthropogenic and biomass burning emissions of air pollutants at global and regional scales during the 1980–2010 period. Clim. Chang. 2011, 109, 163–190. [Google Scholar] [CrossRef]
- Diehl, T.; Heil, A.; Chin, M.; Pan, X.; Streets, D.; Schultz, M.; Kinne, S. Anthropogenic, biomass burning, and volcanic emissions of black carbon, organic carbon, and SO2 from 1980 to 2010 for hindcast model experiments. Atmos. Chem. Phys. Discuss. 2012, 24895–24954. [Google Scholar] [CrossRef]
- Shin, H.H.; Hong, S.-Y. Representation of the Subgrid-Scale Turbulent Transport in Convective Boundary Layers at Gray-Zone Resolutions. Mon. Weather Rev. 2015, 143, 250–271. [Google Scholar] [CrossRef]
- Wesely, M.L. Parameterization of surface resistance to gaseous dry deposition in regional-scale numerical models. Atmos. Environ. 1989, 23, 1293–1304. [Google Scholar] [CrossRef]
- Walcek, C.J.; Brost, R.A.; Chang, J.S.; Wesely, M.L. SO2, sulface and HNO3 deposition velocities computed using regional land use and meteorological data. Atmos. Environ. 1986, 20, 949–964. [Google Scholar] [CrossRef]
- Seinfeld, J.H.; Pandis, S.N. Atmospheric Chemistry and Physics: From Air Pollution to Climate Change, 3rd ed.; John Wiley & Sons: Hoboken, NJ, USA, 2006. [Google Scholar]
- Roselle, S.J.; Binkowski, F.S. Chapter 11 of CMAQ Model Description. In Science Algorithms of the EPA Models-3 Community Multiscale Air Quality (CMAQ) Modeling System; Byun, D.W., Ching, J.K.S., Eds.; U.S. Environmental Protection Agency: Washington, DC, USA, 1999; EPA/600/R-99/030. [Google Scholar]
- Müller, J.-F.; Brasseur, G. IMAGES: A three-dimensional chemical transport model of the global troposphere. J. Geophys. Res. 1995, 100, 16445–16490. [Google Scholar] [CrossRef]
- Liu, P.S.K.; Leaitch, W.R.; Banic, C.M.; Li, S.M.; Ngo, D.; Megaw, W.J. Aerosol observations at Chebogue Point during the 1993 North Atlantic Regional Experiment: Relationships among cloud condensation nuclei, size distribution, and chemistry. J. Geophys. Res. 1996, 101, 28971–28990. [Google Scholar] [CrossRef]
- Chuang, P.Y.; Collins, D.R.; Pawlowska, H.; Snider, J.R.; Jonsson, H.H.; Brenguier, J.L.; Flagan, R.C.; Seinfeld, J.H. CCN measurements during ACE-2 and their relationship to cloud microphysical properties. Tellus B 2000, 52, 843–867. [Google Scholar] [CrossRef]
- Cantrell, W.; Shaw, G.; Cass, G.R.; Chowdhury, Z.; Hughes, L.S.; Prather, K.A.; Guazzotti, S.A.; Coffee, K.R. Closuer between aerosol particles and cloud condensation nuclei at Kaashidhoo Climate Observatory. J. Geophys. Res. 2001, 106, 28711–28718. [Google Scholar] [CrossRef]
- Cooke, W.F.; Liousse, C.; Cachier, H.; Feichter, J. Construction of a 1 degrees × 1 degrees fossil fuel emission data set for carbonaceous aerosol and implementation and radiative impact in the ECHAM4 model. J. Geophys. Res. 1999, 104, 22137–22162. [Google Scholar] [CrossRef]
- Chin, M.; Ginoux, P.; Kinne, S.; Torres, O.; Holben, B.N.; Duncan, B.N.; Martin, R.V.; Logan, J.A.; Higurashi, A.; Nakajima, T. Tropospheric aerosol optical thickness from the GOCART model and comparisons with satellite and Sun photometer measurements. J. Atmos. Sci. 2002, 59, 461–483. [Google Scholar] [CrossRef]
- Lim, K.-S.; Hong, S.-Y. Development of an effective double-moment cloud microphysics scheme with prognostic cloud condensation nuclei (CCN) for weather and climate models. Mon. Weather Rev. 2010, 138, 1587–1612. [Google Scholar] [CrossRef]
- Menon, S.; Del Genio, A.D.; Koch, D.; Tselioudis, G. GCM Simulations of the aerosol indirect effect: Sensitivity to cloud parameterization and aerosol burden. J. Atmos. Sci. 2002, 59, 692–713. [Google Scholar] [CrossRef]
- Twomey, S. The nuclei of natural cloud formation, Part Ⅱ: The supersaturation in natural clouds and the variation of cloud droplet concentration. Geofis. Pura Appl. 1959, 43, 243–249. [Google Scholar] [CrossRef]
- Khairoutdinov, M.; Kogon, Y. A new cloud physics parameterization in a large-eddy simulation model of marine stratocumulus. Mon. Weather Rev. 2000, 128, 229–243. [Google Scholar] [CrossRef]
- Hong, S.-Y.; Lim, J.-O. The WRF single-moment 6-class microphysics scheme (WSM6). J. Korean Meteor. Soc. 2006, 42, 129–151. [Google Scholar]
- Han, J.-Y.; Hong, S.-Y.; Lim, K.-S.; Han, J. Sensitivity of a cumulus parameterization scheme to precipitation production representation and its impact on a heavy rain event over Korea. Mon. Weather Rev. 2016, 144, 2125–2135. [Google Scholar] [CrossRef]
- Kwon, Y.C.; Hong, S.-Y. A mass-flux cumulus parameterization scheme across gray-zone resolutions. Mon. Weather Rev. 2017, 145, 583–598. [Google Scholar] [CrossRef]
- Lohmann, U.; Feichter, J.; Chuang, C.C.; Penner, J.E. Predicting the number of cloud droplets in the ECHAM GCM. J. Geophys. Res. 1999, 104, 9169–9198. [Google Scholar] [CrossRef]
- Ghan, S.J.; Easter, R.C.; Chapman, E.; Abdul-Razaak, H.; Zhang, Y.; Leung, R.; Laulainen, N.; Saylor, R.; Zaveri, R. A physically based estimate of radiative forcing by anthropogenic sulfate aerosol. J. Geophys. Res. 2001, 106, 5279–5293. [Google Scholar] [CrossRef]
- Khain, A.P.; BenMoshe, N.; Pokrovsky, A. Factors determining the impact of aerosols on surface precipitation from clouds: An attempt at classification. J. Atmos. Sci. 2008, 65, 1721–1748. [Google Scholar] [CrossRef]
- Khain, A.P. Notes on state-of-the-art investigations of aerosol effects on precipitation: A critical review. Environ. Res. Lett. 2009, 4, 015004. [Google Scholar] [CrossRef]
- Han, J.-Y.; Baik, J.-J.; Lee, H. Urban impacts on precipitation. Asia-Pac. J. Atmos. Sci. 2014, 50, 17–30. [Google Scholar] [CrossRef]
- Lerach, D.G.; Gaude, B.J.; Cotton, W.R. Idealized simulations of aerosol influences on tornadogenesis. Geophys. Res. Lett. 2008, 35, L23806. [Google Scholar] [CrossRef]
- Wang, C. A modeling study of the response of tropical deep convection to the increase of cloud condensation nuclei concentration: 1. Dynamics and microphysics. J. Geophys. Res. 2005, 110, D21211. [Google Scholar] [CrossRef]
- Fan, J.; Zhang, R.; Li, G.; Tao, W.-K.; Li, X. Simulations of cumulus clouds using a spectral microphysics cloud-resolving model. J. Geophys. Res. 2007, 112, D04201. [Google Scholar] [CrossRef]
- Tao, W.-K.; Li, X.; Khain, A.; Matsui, T.; Lang, S.; Simpson, J. Role of atmospheric aerosol concentration on deep convective precipitation: Cloud-revolsing model simulations. J. Geophys. Res. 2007, 112, D24S18. [Google Scholar] [CrossRef]
- Khain, A.; Lynn, B. Simulation of a supercell strom in clean and dirty atmosphere using weather research and forecast model with spectral bin microphysics. J. Geophys. Res. 2009, 114, D19209. [Google Scholar] [CrossRef]
- Lim, K.-S.S.; Hong, S.-Y.; Yum, S.S.; Dudhia, J.; Klemp, J.B. Aerosol effects on the development of a supercell storm in a double-moment bulk-cloud microphysics scheme. J. Geophys. Res. 2011, 116, D02204. [Google Scholar] [CrossRef]
- Lim, K.-S.S. Investigation of Aerosol Indirect Effects on Simulated Moist Convections. Ph.D. Thesis, Yonsei University, Seoul, Korea, 2011. [Google Scholar]
- Baek, S. A revised radiation package of G-packed McICA and two-stream approximation: Performance evaluation in a global weather forecasting model. J. Adv. Model. Earth Syst. 2017, 9, 1628–1640. [Google Scholar] [CrossRef]
- Park, R.-S.; Chae, J.-H.; Hong, S.-Y. A revised prognostic cloud fraction scheme in a global forecasting system. Mon. Weather Rev. 2016, 114, 1219–1229. [Google Scholar] [CrossRef]
- Han, J.; Pan, H.-L. Revision of convection and vertical diffusion schemes in the NCEP global forecast system. Weather Forecast 2011, 26, 520–533. [Google Scholar] [CrossRef]
- Ek, M.B.; Mitchell, K.E.; Lin, Y.; Rogers, E.; Grunmann, P.; Koren, V.; Gayno, G.; Tarpley, J.D. Implementation of Noah land surface model advances in the National Centers for Environmental Prediction operational mesoscale Eta model. J. Geophys. Res. 2003, 108, 8851. [Google Scholar] [CrossRef]
- Kim, Y.-J.; Arakawa, A. Improvement of orographic gravity wave parameterization using a mesoscale gravity wave model. J. Atmos. Sci. 1995, 52, 1875–1902. [Google Scholar] [CrossRef]
- Chun, H.-Y.; Baik, J.-J. Momentum flux by thermally induced internal gravity waves and its approximation for large-scale models. J. Atmos. Sci. 1998, 55, 3299–3310. [Google Scholar] [CrossRef]
- Emmons, L.K.; Walters, S.; Hess, P.G.; Lamarque, J.-F.; Pfister, G.G.; Fillmore, D.; Granier, C.; Guenther, A.; Kinnison, D.; Laepple, T.; et al. Description and evaluation of the Model for Ozone and Related chemical Tracers, version 4 (MOZART-4). Geosci. Model Dev. 2010, 3, 43–67. [Google Scholar] [CrossRef]
- MOZART-4. Available online: http://www.acom.ucar.edu/wrf-chem/mozart.shtml (accessed on 12 July 2019).
- CAMS Reanalysis. Available online: https://apps.ecmwf.int/data-catalogues/cams-reanalysis/?class=mc&expver=eac4 (accessed on 12 July 2019).
- CAMS Reanalysis data documentation. Available online: https://confluence.ecmwf.int/display/CKB/CAMS+Reanalysis+data+documentation (accessed on 12 July 2019).
- Jeong, G.-R.; Wang, C. Climate effects of seasonally varying Biomass Burning emitted Carbonaceous Aerosols (BBCA). Atmos. Chem. Phys. 2010, 10, 8373–8389. [Google Scholar] [CrossRef]
- Choi, I.-J.; Park, R.-S.; Lee, J. Impacts of a newly-developed aerosol climatology on numerical weather prediction using a global atmospheric forecasting model. Atmos. Environ. 2018, 15, 77–91. [Google Scholar] [CrossRef]
- Rasch, P.J.; Feichter, J.; Law, K.; Mahowald, N.; Penner, J.; Benkovitz, C.; Genthon, C.; Giannakopolous, C.; Kasibhatla, P.; Koch, D.; et al. A comparison of scavenging and eposition processes in global models: Results from the WCCRP Cambridge Workshop of 1995. Tellus 2000, 52B, 1025–1056. [Google Scholar] [CrossRef][Green Version]
- Almeida, G.P.; Brito, J.; Morales, C.A.; Andrade, M.F.; Artaxo, P. Measured and modelled cloud condensation nuclei (CCN) concentration in São Paulo, Brazil: The importance of aerosol size-resolved chemical composition on CCN concentration prediction. Atmos. Chem. Phys. 2014, 14, 7559–7572. [Google Scholar] [CrossRef]
- Burkart, J.; Steiner, G.; Reischl, G.; Hitzenberger, R. Long-term study of cloud condensation nuclei (CCN) activation of the atmospheric aerosol in Vienna. Atmos. Environ. 2011, 45, 5751–5759. [Google Scholar] [CrossRef]
- Che, H.C.; Zhang, X.Y.; Zhang, L.; Wang, Y.Q.; Zhang, Y.M.; Shen, X.J.; Ma, Q.L.; Sun, J.Y.; Zhong, J.T. Prediction of size-resolved number concentration of cloud condensation nuclei and long-term measurements of their activation characteristics. Sci. Rep. 2017, 7, 5819. [Google Scholar] [CrossRef]
- Makkonen, R.; Asmi, A.J.; Kerminen, V.-M.; Boy, M.; Arneth, A.; Hari, P.; Kulmala, M. Air pollution control and decreasing new particl formation lead to strong climate warming. Atmos. Chem. Phys. 2012, 12, 1515–1524. [Google Scholar] [CrossRef]
- Westervelt, D.M.; Pierce, J.R.; Adams, P.J. Analysis of feedbacks nucleation rate, survival probability and cloud condensation nuclei formation. Atmos. Chem. Phys. 2014, 14, 5577–5597. [Google Scholar] [CrossRef]
- Adams, P.J.; Seinfeld, J.H. Predicting global aerosol size distributions in general circulation models. J. Geophys. Res. 2002, 107, 4370. [Google Scholar] [CrossRef]
- Lkhamjav, J.; Lee, H.; Jeon, Y.-L.; Seo, J.M.; Baik, J.-J. Impacts of aerosol loading on surface precipitation from deep convective systems over North Central Mongolia. Asia Pac. J. Atmos. Sci. 2018, 54, 587–598. [Google Scholar] [CrossRef]
- Huffman, G.J.; Bolvin, D.T.; Nelkin, E.J.; Wolff, D.B. The TRMM Multisatellite Precipitation Analysis (TMPA): Quasi-Global, Multiyear, Combined-Sensor Precipitation Estimates at Fine Scales. J. Hydrometeorol. 2007, 8, 38–55. [Google Scholar] [CrossRef]







| Species | Source | Sink |
|---|---|---|
| SO2 | Emission | SO2 + OH → SO4 SO2 + H2O2(aq) → SO4 Dry/Wet deposition |
| SO4 | SO2 + OH → SO4 SO2 + H2O2(aq) → SO4 | Dry/Wet deposition |
| Hydrophobic OC | Emission | OChydrophobic → OChydrophilic Dry deposition |
| Hydrophilic OC | OChydrophobic → OChydrophilic | Dry/Wet deposition |
| Sea salt | Emission | Dry/Wet deposition Settling |
| Cases | SW↓sfc (W m−2) 1 | LW↓sfc (W m−2) 2 | Non-Convective Precipitation (mm day−1) | Convective Precipitation (mm day−1) | Total Precipitation (mm day−1) |
|---|---|---|---|---|---|
| CTL | 199.8 | 342.3 | 0.663 | 2.344 | 3.007 |
| EXP | 183.5 | 345.4 | 0.674 | 2.348 | 3.022 |
| EXP-CTL | -16.3 | 3.1 | 0.011 | 0.004 | 0.015 |
© 2019 by the authors. Licensee MDPI, Basel, Switzerland. This article is an open access article distributed under the terms and conditions of the Creative Commons Attribution (CC BY) license (http://creativecommons.org/licenses/by/4.0/).
Share and Cite
Kang, J.-Y.; Bae, S.Y.; Park, R.-S.; Han, J.-Y. Aerosol Indirect Effects on the Predicted Precipitation in a Global Weather Forecasting Model. Atmosphere 2019, 10, 392. https://doi.org/10.3390/atmos10070392
Kang J-Y, Bae SY, Park R-S, Han J-Y. Aerosol Indirect Effects on the Predicted Precipitation in a Global Weather Forecasting Model. Atmosphere. 2019; 10(7):392. https://doi.org/10.3390/atmos10070392
Chicago/Turabian StyleKang, Jung-Yoon, Soo Ya Bae, Rae-Seol Park, and Ji-Young Han. 2019. "Aerosol Indirect Effects on the Predicted Precipitation in a Global Weather Forecasting Model" Atmosphere 10, no. 7: 392. https://doi.org/10.3390/atmos10070392
APA StyleKang, J.-Y., Bae, S. Y., Park, R.-S., & Han, J.-Y. (2019). Aerosol Indirect Effects on the Predicted Precipitation in a Global Weather Forecasting Model. Atmosphere, 10(7), 392. https://doi.org/10.3390/atmos10070392

