An Assessment of the Suitability of Active Green Walls for NO2 Reduction in Green Buildings Using a Closed-Loop Flow Reactor
Abstract
1. Introduction
2. Methods
2.1. Biofilter Design and Plant Selection
2.2. Closed-Loop Flow Reactor
2.3. Pollutant Generation and Experimental Trials
2.3.1. Biofiltration of Ambient NO2
2.3.2. Biofiltration of Elevated NO2 Concentrations
2.3.3. Removal of Elevated NO2 Concentrations with Ultraviolet (UV) Exposure
2.4. Statistical Analysis
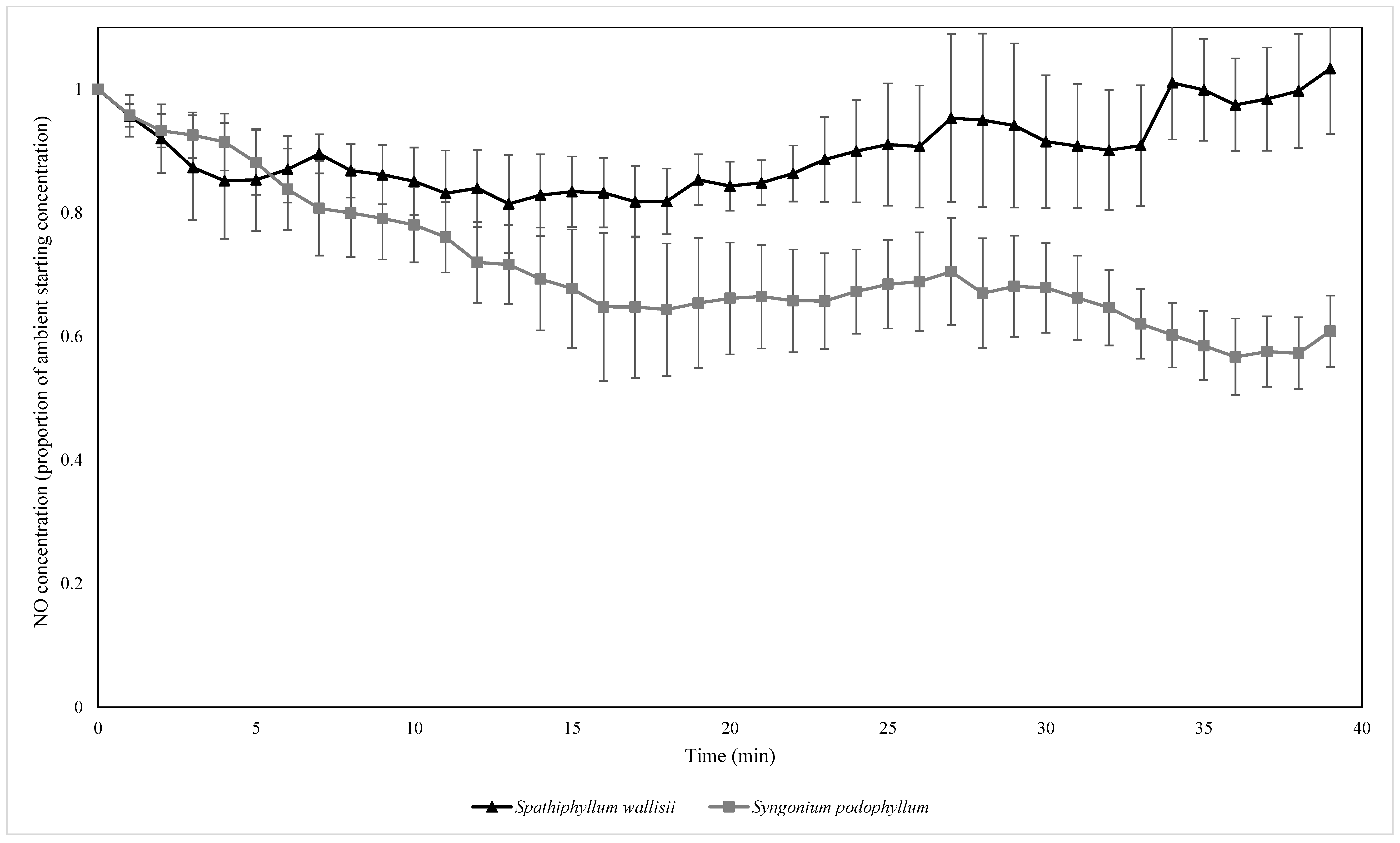
3. Results
4. Discussion
5. Conclusions
Supplementary Materials
Author Contributions
Funding
Acknowledgments
Conflicts of Interest
References
- Beevers, S.D.; Westmoreland, E.; de Jong, M.C.; Williams, M.L.; Carslaw, D.C. Trends in NOx and NO2 emissions from road traffic in Great Britain. Atmos. Environ. 2012, 54, 107–116. [Google Scholar] [CrossRef]
- Wang, X.; Song, G.; Wu, Y.; Yu, L.; Zhai, Z. A NOx Emission Model Incorporating Temperature for Heavy-Duty Diesel Vehicles with Urea-SCR Systems Based on Field Operating Modes. Atmosphere 2019, 10, 337. [Google Scholar] [CrossRef]
- Carslaw, D.C.; Murrells, T.P.; Andersson, J.; Keenan, M. Have vehicle emissions of primary NO2 peaked? Faraday Discuss. 2016, 189, 439–454. [Google Scholar] [CrossRef] [PubMed]
- Hoek, G.; Krishnan, R.M.; Beelen, R.; Peters, A.; Ostro, B.; Brunekreef, B.; Kaufman, J.D. Long-term air pollution exposure and cardio-respiratory mortality: A review. Environ. Health 2013, 12, 43. [Google Scholar] [CrossRef]
- Kattan, M.; Gergen, P.J.; Eggleston, P.; Visness, C.M.; Mitchell, H.E. Health effects of indoor nitrogen dioxide and passive smoking on urban asthmatic children. J. Allergy Clin. Immunol. 2007, 120, 618–624. [Google Scholar] [CrossRef]
- World Health Organization. Air Quality Guidelines: Global Update 2005: Particulate Matter, Ozone, Nitrogen Dioxide, and Sulfur Dioxide; World Health Organization: Geneva, Switzerland, 2006. [Google Scholar]
- Smith, B.; Nitschke, M.; Pilotto, L.; Ruffin, R.; Pisaniello, D.; Willson, K. Health effects of daily indoor nitrogen dioxide exposure in people with asthma. Eur. Respir. J. 2000, 16, 879–885. [Google Scholar] [CrossRef]
- Just, J.; Segala, C.; Sahraoui, F.; Priol, G.; Grimfeld, A.; Neukirch, F. Short-term health effects of particulate and photochemical air pollution in asthmatic children. Eur. Respir. J. 2002, 20, 899–906. [Google Scholar] [CrossRef]
- Belanger, K.; Gent, J.F.; Triche, E.W.; Bracken, M.B.; Leaderer, B.P. Association of indoor nitrogen dioxide exposure with respiratory symptoms in children with asthma. Am. J. Respir. Crit. Care Med. 2006, 173, 297–303. [Google Scholar] [CrossRef]
- Andersen, Z.J.; Wahlin, P.; Raaschou-Nielsen, O.; Scheike, T.; Loft, S. Ambient particle source apportionment and daily hospital admissions among children and elderly in Copenhagen. J. Expo. Sci. Environ. Epidemiol. 2007, 17, 625. [Google Scholar] [CrossRef]
- Henschel, S.; Chan, G.; World Health Organization. Health Risks of Air Pollution in Europe-HRAPIE Project: New Emerging Risks to Health from Air Pollution-Results from the Survey of Experts; World Health Organization: Geneva, Switzerland, 2013. [Google Scholar]
- Lawson, S.J.; Galbally, I.E.; Powell, J.C.; Keywood, M.D.; Molloy, S.B.; Cheng, M.; Selleck, P.W. The effect of proximity to major roads on indoor air quality in typical Australian dwellings. Atmos. Environ. 2011, 45, 2252–2259. [Google Scholar] [CrossRef]
- Khan, M.; Schlich, B.-L.; Jenkin, M.; Shallcross, B.; Moseley, K.; Walker, C.; Morris, W.; Derwent, R.; Percival, C.; Shallcross, D. A two-decade anthropogenic and biogenic isoprene emissions study in a London urban background and a London urban traffic site. Atmosphere 2018, 9, 387. [Google Scholar] [CrossRef]
- Li, B.; Liu, B. Differences between weekday and weekend levels of ozone, NO2, NOx, and respirable suspended particulates in Hong Kong. Environ. Eng. Sci. 2012, 29, 35–41. [Google Scholar] [CrossRef]
- Jacob, D.J.; Winner, D.A. Effect of climate change on air quality. Atmos. Environ. 2009, 43, 51–63. [Google Scholar] [CrossRef]
- Melkonyan, A.; Kuttler, W. Long-term analysis of NO, NO2 and O3 concentrations in North Rhine-Westphalia, Germany. Atmos. Environ. 2012, 60, 316–326. [Google Scholar] [CrossRef]
- Leavey, A.; Fu, Y.; Sha, M.; Kutta, A.; Lu, C.; Wang, W.; Drake, B.; Chen, Y.; Biswas, P. Air quality metrics and wireless technology to maximize the energy efficiency of HVAC in a working auditorium. Build. Environ. 2015, 85, 287–297. [Google Scholar] [CrossRef]
- Green Building Council Australia. Summary Report on Ventilation Rates for GBCA Tenancy: Increase on AS 1668.2–1991 in GBCA Tenancy; Green Building Council Australia: Sydney, Australia, 2009. [Google Scholar]
- Challoner, A.; Gill, L. Indoor/outdoor air pollution relationships in ten commercial buildings: PM2.5 and NO2. Build. Environ. 2014, 80, 159–173. [Google Scholar] [CrossRef]
- Abhijith, K.; Kumar, P.; Gallagher, J.; McNabola, A.; Baldauf, R.; Pilla, F.; Broderick, B.; Di Sabatino, S.; Pulvirenti, B. Air pollution abatement performances of green infrastructure in open road and built-up street canyon environments—A review. Atmos. Environ. 2017, 162, 71–86. [Google Scholar] [CrossRef]
- Grote, R.; Samson, R.; Alonso, R.; Amorim, J.H.; Cariñanos, P.; Churkina, G.; Fares, S.; Thiec, D.L.; Niinemets, Ü.; Mikkelsen, T.N. Functional traits of urban trees: Air pollution mitigation potential. Front. Ecol. Environ. 2016, 14, 543–550. [Google Scholar] [CrossRef]
- Nowak, D.J.; Crane, D.E.; Stevens, J.C. Air pollution removal by urban trees and shrubs in the United States. Urban For. Urban Green. 2006, 4, 115–123. [Google Scholar] [CrossRef]
- Rao, M.; George, L.A.; Rosenstiel, T.N.; Shandas, V.; Dinno, A. Assessing the relationship among urban trees, nitrogen dioxide, and respiratory health. Environ. Pollut. 2014, 194, 96–104. [Google Scholar] [CrossRef]
- Pettit, T.; Irga, P.; Torpy, F. Towards practical indoor air phytoremediation: A review. Chemosphere 2018, 208, 960–974. [Google Scholar] [CrossRef] [PubMed]
- Torpy, F.R.; Irga, P.J.; Burchett, M.D. Reducing indoor air pollutants through biotechnology. In Biotechnologies and Biomimetics for Civil Engineering; Springer: Berlin, Germany, 2015; pp. 181–210. [Google Scholar]
- Dela Cruz, M.; Christensen, J.H.; Thomsen, J.D.; Müller, R. Can ornamental potted plants remove volatile organic compounds from indoor air?—A review. Environ. Sci. Pollut. Res. 2014, 21, 13909–13928. [Google Scholar] [CrossRef] [PubMed]
- Irga, P.; Pettit, T.; Torpy, F. The phytoremediation of indoor air pollution: A review on the technology development from the potted plant through to functional green wall biofilters. Rev. Environ. Sci. Bio/Technol. 2019, 17, 395–415. [Google Scholar] [CrossRef]
- Weyens, N.; Thijs, S.; Popek, R.; Witters, N.; Przybysz, A.; Espenshade, J.; Gawronska, H.; Vangronsveld, J.; Gawronski, S.W. The role of plant–microbe interactions and their exploitation for phytoremediation of air pollutants. Int. J. Mol. Sci. 2015, 16, 25576–25604. [Google Scholar] [CrossRef]
- Llewellyn, D.; Dixon, M. 4.26 Can plants really improve indoor air quality. In Comprehensive Biotechnology, 2nd ed.; Murray, M.-Y., Ed.; Academic Press: Burlington, VT, USA, 2011; pp. 331–338. [Google Scholar]
- Irga, P.; Paull, N.; Abdo, P.; Torpy, F. An assessment of the atmospheric particle removal efficiency of an in-room botanical biofilter system. Build. Environ. 2017, 115, 281–290. [Google Scholar] [CrossRef]
- Pettit, T.; Irga, P.; Abdo, P.; Torpy, F. Do the plants in functional green walls contribute to their ability to filter particulate matter? Build. Environ. 2017, 125, 299–307. [Google Scholar] [CrossRef]
- Torpy, F.; Clements, N.; Pollinger, M.; Dengel, A.; Mulvihill, I.; He, C.; Irga, P. Testing the single-pass VOC removal efficiency of an active green wall using methyl ethyl ketone (MEK). Air Qual. Atmos. Health 2018, 11, 163–170. [Google Scholar] [CrossRef]
- Pettit, T.; Bettes, M.; Chapman, A.; Hoch, L.; James, N.; Irga, P.; Torpy, F. Plants and Environmental Quality Research Group. The botanical biofiltration of VOCs with active airflow: Is removal efficiency related to chemical properties? Atmos. Environ. 2019, 214, 116839. [Google Scholar] [CrossRef]
- Pettit, T.; Irga, P.J.; Torpy, F.R. Functional green wall development for increasing air pollutant phytoremediation: Substrate development with coconut coir and activated carbon. J. Hazard. Mater. 2018, 360, 594–603. [Google Scholar] [CrossRef]
- Irga, P.J.; Pettit, T.; Irga, R.F.; Paull, N.J.; Douglas, A.N.; Torpy, F.R. Does plant species selection in functional active green walls influence VOC phytoremediation efficiency? Environ. Sci. Pollut. Res. 2019, 26, 12851–12858. [Google Scholar] [CrossRef]
- Tudiwer, D.; Korjenic, A. The effect of an indoor living wall system on humidity, mould spores and CO2-concentration. Energy Build. 2017, 146, 73–86. [Google Scholar] [CrossRef]
- Darlington, A.B.; Dat, J.F.; Dixon, M.A. The biofiltration of indoor air: Air flux and temperature influences the removal of toluene, ethylbenzene, and xylene. Environ. Sci. Technol. 2001, 35, 240–246. [Google Scholar] [CrossRef] [PubMed]
- Darlington, A.B.; Dixon, M.A. Acetone removal kinetics by an indoor biofilter. Sae Tech. Pap. 1999. [Google Scholar] [CrossRef]
- Llewellyn, D.J.; Darlington, A.B.; Mallany, J.; Dixon, M.A. The influence of airflow onindoor air biofiltration: Elimination of toluene and methyl ethyl ketone. In Proceedings of the 2000 USC-TRG Conference on Biofiltration, Los Angeles, CA, USA, 19–20 October 2000. [Google Scholar]
- Torpy, F.; Zavattaro, M.; Irga, P. Green wall technology for the phytoremediation of indoor air: A system for the reduction of high CO2 concentrations. Air Qual. Atmos. Health 2017, 10, 575–585. [Google Scholar] [CrossRef]
- Chaparro-Suarez, I.; Meixner, F.; Kesselmeier, J. Nitrogen dioxide (NO2) uptake by vegetation controlled by atmospheric concentrations and plant stomatal aperture. Atmos. Environ. 2011, 45, 5742–5750. [Google Scholar] [CrossRef]
- Sillman, S.; He, D. Some theoretical results concerning O3-NOx-VOC chemistry and NOx-VOC indicators. J. Geophys. Res. Atmos. 2002, 107, ACH 26. [Google Scholar] [CrossRef]
- Pettit, T.; Irga, P.; Torpy, F. The in situ pilot-scale phytoremediation of airborne VOCs and particulate matter with an active green wall. Air Qual. Atmos. Health 2019, 12, 33–44. [Google Scholar] [CrossRef]
- Irga, P.; Abdo, P.; Zavattaro, M.; Torpy, F. An assessment of the potential fungal bioaerosol production from an active living wall. Build. Environ. 2017, 111, 140–146. [Google Scholar] [CrossRef]
- Hörmann, V.; Brenske, K.-R.; Ulrichs, C. Suitability of Test Chambers for Analyzing Air Pollutant Removal by Plants and Assessing Potential Indoor Air Purification. Water Air Soil Pollut. 2017, 228, 402. [Google Scholar] [CrossRef]
- Hörmann, V.; Brenske, K.-R.; Ulrichs, C. Assessment of filtration efficiency and physiological responses of selected plant species to indoor air pollutants (toluene and 2-ethylhexanol) under chamber conditions. Environ. Sci. Pollut. Res. 2018, 25, 447–458. [Google Scholar] [CrossRef]
- Irga, P.; Torpy, F.; Burchett, M. Can hydroculture be used to enhance the performance of indoor plants for the removal of air pollutants? Atmos. Environ. 2013, 77, 267–271. [Google Scholar] [CrossRef]
- Sriprapat, W.; Thiravetyan, P. Efficacy of ornamental plants for benzene removal from contaminated air and water: Effect of plant associated bacteria. Int. Biodeterior. Biodegrad. 2016, 113, 262–268. [Google Scholar] [CrossRef]
- Tani, A.; Hewitt, C.N. Uptake of aldehydes and ketones at typical indoor concentrations by houseplants. Environ. Sci. Technol. 2009, 43, 8338–8343. [Google Scholar] [CrossRef] [PubMed]
- Torpy, F.; Irga, P.; Moldovan, D.; Tarran, J.; Burchett, M. Characterization and biostimulation of benzene biodegradation in the potting-mix of indoor plants. J. Appl. Hortic. 2013, 15, 10–15. [Google Scholar]
- Bureau of Meteorology. Climate Data Online. Available online: http://www.bom.gov.au/climate/data (accessed on 15 July 2019).
- Yoo, J.Y.; Park, C.J.; Kim, K.Y.; Son, Y.-S.; Kang, C.-M.; Wolfson, J.M.; Jung, I.-H.; Lee, S.-J.; Koutrakis, P. Development of an activated carbon filter to remove NO2 and HONO in indoor air. J. Hazard. Mater. 2015, 289, 184–189. [Google Scholar] [CrossRef] [PubMed]
- Bohn, B.; Rohrer, F.; Brauers, T.; Wahner, A. Actinometric measurements of NO2 photolysis frequencies in the atmosphere simulation chamber SAPHIR. Atmos. Chem. Phys. 2005, 5, 493–503. [Google Scholar] [CrossRef]
- Atkinson, R. Atmospheric chemistry of VOCs and NOx. Atmos. Environ. 2000, 34, 2063–2101. [Google Scholar] [CrossRef]
- Malicet, J.; Daumont, D.; Charbonnier, J.; Parisse, C.; Chakir, A.; Brion, J. Ozone UV spectroscopy. II. Absorption cross-sections and temperature dependence. J. Atmos. Chem. 1995, 21, 263–273. [Google Scholar] [CrossRef]
- Héquet, V.; Batault, F.; Raillard, C.; Thévenet, F.; Le Coq, L.; Dumont, É. Determination of the Clean Air Delivery Rate (CADR) of Photocatalytic Oxidation (PCO) Purifiers for Indoor Air Pollutants Using a Closed-Loop Reactor. Part I: Theoretical Considerations. Molecules 2017, 22, 407. [Google Scholar]
- Atkinson, R.; Carter, W.P. Kinetics and mechanisms of the gas-phase reactions of ozone with organic compounds under atmospheric conditions. Chem. Rev. 1984, 84, 437–470. [Google Scholar] [CrossRef]
- Atkinson, R.; Arey, J. Gas-phase tropospheric chemistry of biogenic volatile organic compounds: A review. Atmos. Environ. 2003, 37, 197–219. [Google Scholar] [CrossRef]
- Seco, R.; Penuelas, J.; Filella, I. Short-chain oxygenated VOCs: Emission and uptake by plants and atmospheric sources, sinks, and concentrations. Atmos. Environ. 2007, 41, 2477–2499. [Google Scholar] [CrossRef]
- Yao, Z.; Wu, B.; Shen, X.; Cao, X.; Jiang, X.; Ye, Y.; He, K. On-road emission characteristics of VOCs from rural vehicles and their ozone formation potential in Beijing, China. Atmos. Environ. 2015, 105, 91–96. [Google Scholar] [CrossRef]
- Neirynck, J.; Gielen, B.; Janssens, I.; Ceulemans, R. Insights into ozone deposition patterns from decade-long ozone flux measurements over a mixed temperate forest. J. Environ. Monit. 2012, 14, 1684–1695. [Google Scholar] [CrossRef] [PubMed]
- Bertram, T.H.; Heckel, A.; Richter, A.; Burrows, J.P.; Cohen, R.C. Satellite measurements of daily variations in soil NOx emissions. Geophys. Res. Lett. 2005, 32. [Google Scholar] [CrossRef]
- Zheng, M.; Li, C.; Liu, S.; Gui, M.; Ni, J. Potential application of aerobic denitrifying bacterium Pseudomonas aeruginosa PCN-2 in nitrogen oxides (NOx) removal from flue gas. J. Hazard. Mater. 2016, 318, 571–578. [Google Scholar] [CrossRef]
- Stern, A.M.; Liu, B.; Bakken, L.R.; Shapleigh, J.P.; Zhu, J. A novel protein protects bacterial iron-dependent metabolism from nitric oxide. J. Bacteriol. 2013, 195, 4702–4708. [Google Scholar] [CrossRef]
- Wang, Z.; Zhang, J.S. Characterization and performance evaluation of a full-scale activated carbon-based dynamic botanical air filtration system for improving indoor air quality. Build. Environ. 2011, 46, 758–768. [Google Scholar] [CrossRef]
- Barnes, J.M.; Apel, W.A.; Barrett, K.B. Removal of nitrogen oxides from gas streams using biofiltration. J. Hazard. Mater. 1995, 41, 315–326. [Google Scholar] [CrossRef]
- Jiang, R.; Huang, S.; Yang, J. Biological removal of NOx from simulated flue gas in aerobic biofilter. Glob. Nest J. 2008, 10, 241–248. [Google Scholar]
- Gunawardena, K.; Steemers, K. Living walls in indoor environments. Build. Environ. 2018, 148, 478–487. [Google Scholar] [CrossRef]
- Abdo, P.; Huynh, B.; Avakian, V. Effect of Fan Speed on Air Flow Through a Green Wall Module. In Proceedings of the ASME 2018 5th Joint US-European Fluids Engineering Division Summer Meeting, Montreal, QC, Canada, 15–20 July 2018. [Google Scholar]
- Abdo, P.; Huynh, B.; Avakian, V.; Nguyen, T.; Gammon, J.; Torpy, F.; Irga, P. Measurement of air flow through a green-wall module. Measurement 2016, 5, 8. [Google Scholar]
- Abdo, P.; Huynh, B.P.; Irga, P.J.; Torpy, F.R. Evaluation of airflow through an active green wall biofilter. Urban. For. Urban. Green. 2019, 41, 75–84. [Google Scholar] [CrossRef]











| Pollution Treatment | Light Type | Biofilter Plant Species | NO | NO2 | O3 |
|---|---|---|---|---|---|
| Ambient | Indoor | Spathiphyllum wallisii | 33.48 ± 11.52 | 79.92 ± 9.00 | 135 ± 52.92 |
| Syngonium podophyllum | 52.2 ± 15.48 | 87.84 ± 15.84 | 248.83 ± 29.88 | ||
| Elevated | Indoor | Spathiphyllum wallisii | 381.24 ± 90.72 | 661.32 ± 53.28 | 95.04 ± 34.92 |
| Syngonium podophyllum | 242.64 ± 21.60 | 550.8 ± 19.08 | 23.04 ± 51.84 | ||
| Elevated | UV | Spathiphyllum wallisii | 277.76 ± 14.40 | 741.24 ± 199.80 | 228.6 ± 169.56 |
| Syngonium podophyllum | 240.48 ± 77.76 | 676.08 ± 125.64 | 118.08 ± 137.16 |
© 2019 by the authors. Licensee MDPI, Basel, Switzerland. This article is an open access article distributed under the terms and conditions of the Creative Commons Attribution (CC BY) license (http://creativecommons.org/licenses/by/4.0/).
Share and Cite
Pettit, T.; Irga, P.J.; Surawski, N.C.; Torpy, F.R. An Assessment of the Suitability of Active Green Walls for NO2 Reduction in Green Buildings Using a Closed-Loop Flow Reactor. Atmosphere 2019, 10, 801. https://doi.org/10.3390/atmos10120801
Pettit T, Irga PJ, Surawski NC, Torpy FR. An Assessment of the Suitability of Active Green Walls for NO2 Reduction in Green Buildings Using a Closed-Loop Flow Reactor. Atmosphere. 2019; 10(12):801. https://doi.org/10.3390/atmos10120801
Chicago/Turabian StylePettit, Thomas, Peter J. Irga, Nicholas C. Surawski, and Fraser R. Torpy. 2019. "An Assessment of the Suitability of Active Green Walls for NO2 Reduction in Green Buildings Using a Closed-Loop Flow Reactor" Atmosphere 10, no. 12: 801. https://doi.org/10.3390/atmos10120801
APA StylePettit, T., Irga, P. J., Surawski, N. C., & Torpy, F. R. (2019). An Assessment of the Suitability of Active Green Walls for NO2 Reduction in Green Buildings Using a Closed-Loop Flow Reactor. Atmosphere, 10(12), 801. https://doi.org/10.3390/atmos10120801

