Improved Diagnosis of Iron Deficiency Anemia in the Critically Ill via Fluorescence Flowcytometric Hemoglobin Biomarkers
Abstract
1. Introduction
2. Materials and Methods
2.1. Study Design
2.2. Study Aim
2.3. Definition of Groups and Patient Allocation
2.4. Laboratory Methods
2.5. Statistical Analysis
3. Results
3.1. Patients’ Characteristics
3.2. Relation between RET-He, Delta-He, and the Parameters of Iron Metabolism
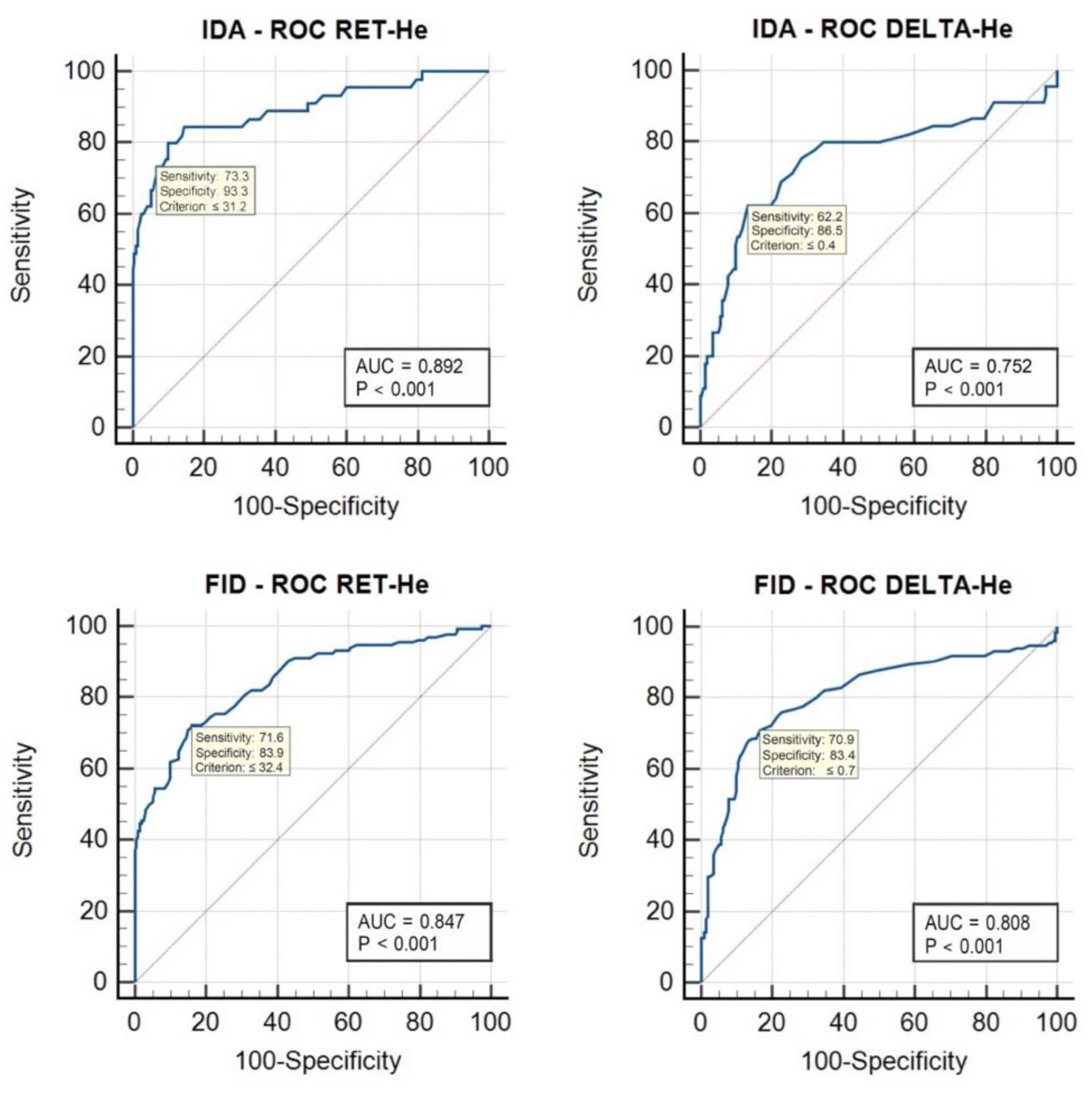
3.3. Sensitivity and Specificity of RET-He and Delta-He
3.4. Comparison with Serological Parameters
3.5. Verification of Discrimination between Study Groups
4. Discussion
5. Conclusions
Author Contributions
Funding
Institutional Review Board Statement
Informed Consent Statement
Data Availability Statement
Acknowledgments
Conflicts of Interest
References
- Manal, M.; Naglaa, M.; Kareem, M.F.; Wael, S.A.E. Anemia in Critically Ill Patients; Prevalence and Prognostic Implications. Med. J. Cairo Univ. 2020, 88, 2121–2129. [Google Scholar] [CrossRef]
- Lanser, L.; Fuchs, D.; Kurz, K.; Weiss, G. Physiology and Inflammation Driven Pathophysiology of Iron Homeostasis-Mechanistic Insights into Anemia of Inflammation and Its Treatment. Nutrients 2021, 13, 3732. [Google Scholar] [CrossRef] [PubMed]
- Ganz, T. Anemia of Inflammation. N. Engl. J. Med. 2019, 381, 1148–1157. [Google Scholar] [CrossRef] [PubMed]
- Cappellini, M.D.; Musallam, K.M.; Taher, A.T. Iron Deficiency Anaemia Revisited. J. Intern. Med. 2020, 287, 153–170. [Google Scholar] [CrossRef] [PubMed]
- Weiss, G.; Goodnough, L.T. Anemia of Chronic Disease. N. Engl. J. Med. 2005, 352, 1011–1023. [Google Scholar] [CrossRef]
- Czempik, P.F.; Pluta, M.P.; Krzych, Ł.J. Ferritin and Transferrin Saturation Cannot Be Used to Diagnose Iron-Deficiency Anemia in Critically Ill Patients. Acta Haematol. Pol. 2021, 52, 566–570. [Google Scholar] [CrossRef]
- Northrop-Clewes, C.A. Interpreting Indicators of Iron Status during an Acute Phase Response-Lessons from Malaria and Human Immunodeficiency Virus. Ann. Clin. Biochem. 2008, 45, 18–32. [Google Scholar] [CrossRef]
- Joint World Health Organization/Centers for Disease Control and Prevention Technical Consultation on the Assessment of Iron Status at the Population Level. Assessing the Iron Status of Populations: Including Literature Reviews: Report of a Joint World Health Organization/Centers for Disease Control and Prevention Technical Consultation on the Assessment of Iron Status at the Population Level; World Health Organization: Geneva, Switzerland, 2004; ISBN 978-92-4-159610-7. [Google Scholar]
- Meier, J. Anemia in the Critically Ill. In Hematologic Challenges in the Critically Ill; Shander, A., Corwin, H.L., Eds.; Springer International Publishing: Cham, Switzerland, 2018; pp. 1–15. ISBN 978-3-319-93572-0. [Google Scholar]
- Petzer, V.; Theurl, I.; Weiss, G. Established and Emerging Concepts to Treat Imbalances of Iron Homeostasis in Inflammatory Diseases. Pharmaceuticals (Basel) 2018, 11, 135. [Google Scholar] [CrossRef]
- Van Pelt, J.L.; Klatte, S.; Hwandih, T.; Barcaru, A.; Riphagen, I.J.; Linssen, J.; Bakker, S.J.L. Reference Intervals for Sysmex XN Hematological Parameters as Assessed in the Dutch Lifelines Cohort. Clin. Chem. Lab. Med. (CCLM) 2022, 60, 907–920. [Google Scholar] [CrossRef]
- Kılıç, M.; Özpınar, A.; Serteser, M.; Kilercik, M.; Serdar, M. The Effect of Reticulocyte Hemoglobin Content on the Diagnosis of Iron Deficiency Anemia: A Meta-Analysis Study. J. Med. Biochem. 2022, 41, 1–13. [Google Scholar] [CrossRef]
- Tiwari, A.K.; Bhardwaj, G.; Arora, D.; Aggarwal, G.; Pabbi, S.; Dara, R.C.; Sachdev, R.; Raizada, A.; Sethi, M. Applying Newer Parameter Ret-He (Reticulocyte Haemoglobin Equivalent) to Assess Latent Iron Deficiency (LID) in Blood Donors-Study at a Tertiary Care Hospital in India. Vox Sang 2018, 113, 639–646. [Google Scholar] [CrossRef] [PubMed]
- Weimann, A.; Cremer, M.; Hernáiz-Driever, P.; Zimmermann, M. Delta-He, Ret-He and a New Diagnostic Plot for Differential Diagnosis and Therapy Monitoring of Patients Suffering from Various Disease-Specific Types of Anemia. Clin. Lab. 2016, 62, 667–677. [Google Scholar] [CrossRef]
- Chinudomwong, P.; Binyasing, A.; Trongsakul, R.; Paisooksantivatana, K. Diagnostic Performance of Reticulocyte Hemoglobin Equivalent in Assessing the Iron Status. J. Clin. Lab. Anal. 2020, 34, e23225. [Google Scholar] [CrossRef]
- Brugnara, C.; Schiller, B.; Moran, J. Reticulocyte Hemoglobin Equivalent (Ret He) and Assessment of Iron-Deficient States. Clin. Lab. Haematol. 2006, 28, 303–308. [Google Scholar] [CrossRef] [PubMed]
- Uçar, M.A.; Falay, M.; Dağdas, S.; Ceran, F.; Urlu, S.M.; Özet, G. The Importance of RET-He in the Diagnosis of Iron Deficiency and Iron Deficiency Anemia and the Evaluation of Response to Oral Iron Therapy. J. Med. Biochem. 2019, 38, 496–502. [Google Scholar] [CrossRef] [PubMed]
- Danielson, K.; Beshara, S.; Qureshi, A.R.; Heimbürger, O.; Lindholm, B.; Hansson, M.; Hylander, B.; Germanis, G.; Stenvinkel, P.; Barany, P. Delta-He: A Novel Marker of Inflammation Predicting Mortality and ESA Response in Peritoneal Dialysis Patients. Clin. Kidney J. 2014, 7, 275–281. [Google Scholar] [CrossRef] [PubMed]
- Zimmermann, M.; Yürek, S.; Konzack, R.; Walter, M.; Schober, P.; Luedi, M.M.; Hönemann, C. Delta-Hemoglobin Equivalent and Granularity Index as Cell-Derived Biomarkers for the Detection of Bacterial Infections. Clin. Lab. 2021, 67. [Google Scholar] [CrossRef]
- World Health Organization. Haemoglobin Concentrations for the Diagnosis of Anaemia and Assessment of Severity. Vitamin and Mineral Nutrition Information System; World Health Organization: Geneva, Switzerland, 2011. [Google Scholar]
- Camaschella, C. Iron Deficiency. Blood 2019, 133, 30–39. [Google Scholar] [CrossRef]
- Dignass, A.U.; Gasche, C.; Bettenworth, D.; Birgegård, G.; Danese, S.; Gisbert, J.P.; Gomollon, F.; Iqbal, T.; Katsanos, K.; Koutroubakis, I.; et al. European Consensus on the Diagnosis and Management of Iron Deficiency and Anaemia in Inflammatory Bowel Diseases. J. Crohn’s Colitis 2015, 9, 211–222. [Google Scholar] [CrossRef]
- McKinnon, K.M. Flow Cytometry: An Overview. Curr. Protoc. Immunol. 2018, 120, 5.1.1–5.1.11. [Google Scholar] [CrossRef]
- Zweig, M.H.; Campbell, G. Receiver-Operating Characteristic (ROC) Plots: A Fundamental Evaluation Tool in Clinical Medicine. Clin. Chem. 1993, 39, 561–577. [Google Scholar] [CrossRef]
- DeLong, E.R.; DeLong, D.M.; Clarke-Pearson, D.L. Comparing the Areas under Two or More Correlated Receiver Operating Characteristic Curves: A Nonparametric Approach. Biometrics 1988, 44, 837–845. [Google Scholar] [CrossRef] [PubMed]
- Cohen, J. A Power Primer. Psychol. Bull. 1992, 112, 155–159. [Google Scholar] [CrossRef] [PubMed]
- Thomas, J.; Jensen, L.; Nahirniak, S.; Gibney, R.T.N. Anemia and Blood Transfusion Practices in the Critically Ill: A Prospective Cohort Review. Heart Lung 2010, 39, 217–225. [Google Scholar] [CrossRef] [PubMed]
- Bellmann-Weiler, R.; Lanser, L.; Barket, R.; Rangger, L.; Schapfl, A.; Schaber, M.; Fritsche, G.; Wöll, E.; Weiss, G. Prevalence and Predictive Value of Anemia and Dysregulated Iron Homeostasis in Patients with COVID-19 Infection. J. Clin. Med. 2020, 9, 2429. [Google Scholar] [CrossRef]
- Anupama, K.V.; Purnima, S.R.; Sushuma, A.; Prashantha, B.; Chakrapani, M. Correlation between Serum Ferritin and Bone Marrow Iron Stores. Trop. Doct. 2017, 47, 217–221. [Google Scholar] [CrossRef]
- World Health Organization. Serum Ferritin Concentrations for the Assessment of Iron Status and Iron Deficiency in Populations. Vitamin and Mineral Nutrition Information System; World Health Organization: Geneva, Switzerland, 2011. [Google Scholar]
- Cappellini, M.D.; Comin-Colet, J.; de Francisco, A.; Dignass, A.; Doehner, W.; Lam, C.S.; Macdougall, I.C.; Rogler, G.; Camaschella, C.; Kadir, R.; et al. Iron Deficiency across Chronic Inflammatory Conditions: International Expert Opinion on Definition, Diagnosis, and Management. Am. J. Hematol. 2017, 92, 1068–1078. [Google Scholar] [CrossRef]
- Camaschella, C. Iron-Deficiency Anemia. N. Engl. J. Med. 2015, 372, 1832–1843. [Google Scholar] [CrossRef]
- Dignass, A.; Farrag, K.; Stein, J. Limitations of Serum Ferritin in Diagnosing Iron Deficiency in Inflammatory Conditions. Int. J. Chronic. Dis. 2018, 2018, 9394060. [Google Scholar] [CrossRef]
- Goodnough, L.T.; Panigrahi, A.K. Blood Transfusion Therapy. Med. Clin. 2017, 101, 431–447. [Google Scholar] [CrossRef]
- Koch, C.G.; Li, L.; Sun, Z.; Hixson, E.D.; Tang, A.S.; Phillips, S.C.; Blackstone, E.H.; Henderson, J.M. From Bad to Worse: Anemia on Admission and Hospital-Acquired Anemia. J. Patient Saf. 2017, 13, 211–216. [Google Scholar] [CrossRef] [PubMed]
- Mueller, M.M.; Van Remoortel, H.; Meybohm, P.; Aranko, K.; Aubron, C.; Burger, R.; Carson, J.L.; Cichutek, K.; De Buck, E.; Devine, D.; et al. Patient Blood Management: Recommendations From the 2018 Frankfurt Consensus Conference. JAMA 2019, 321, 983–997. [Google Scholar] [CrossRef] [PubMed]
- Isbister, J.P. The Three-Pillar Matrix of Patient Blood Management--an Overview. Best Pract. Res. Clin. Anaesthesiol. 2015, 27, 69–84. [Google Scholar] [CrossRef] [PubMed]
- Fishbane, S.; Shapiro, W.; Dutka, P.; Valenzuela, O.F.; Faubert, J. A Randomized Trial of Iron Deficiency Testing Strategies in Hemodialysis Patients. Kidney Int. 2001, 60, 2406–2411. [Google Scholar] [CrossRef]
- Hönemann, C.; Hagemann, O.; Doll, D.; Luedi, M.M.L.; Ruebsam, M.L.; Meybohm, P. Reticulocyte hemoglobin equivalent as a diagnostic marker for the current iron deficiency: Old wine in new bottles. Anaesthesist 2020, 69, 919–925. [Google Scholar] [CrossRef]
- Hoenemann, C.; Ostendorf, N.; Zarbock, A.; Doll, D.; Hagemann, O.; Zimmermann, M.; Luedi, M. Reticulocyte and Erythrocyte Hemoglobin Parameters for Iron Deficiency and Anemia Diagnostics in Patient Blood Management. A Narrative Review. J. Clin. Med. 2021, 10, 4250. [Google Scholar] [CrossRef] [PubMed]
- Hönemann, C.; Doll, D.; Luedi, M.M.; Zimmermann, M. Potential Role of Reticulocyte Hemoglobin in Facilitating Patient Blood Management. Anesth. Analg. 2021, 132, e108–e109. [Google Scholar] [CrossRef]
- Mehta, S.; Goyal, L.K.; Kaushik, D.; Gulati, S.; Sharma, N.; Harshvardhan, L.; Gupta, N. Reticulocyte Hemoglobin Vis-a-Vis Serum Ferritin as a Marker of Bone Marrow Iron Store in Iron Deficiency Anemia. J. Assoc. Physicians India 2016, 64, 38–42. [Google Scholar]
- Auerbach, M.; Staffa, S.J.; Brugnara, C. Using Reticulocyte Hemoglobin Equivalent as a Marker for Iron Deficiency and Responsiveness to Iron Therapy. Mayo Clin. Proc. 2021, 96, 1510–1519. [Google Scholar] [CrossRef]
- Almashjary, M.N.; Barefah, A.S.; Bahashwan, S.; Ashankyty, I.; ElFayoumi, R.; Alzahrani, M.; Assaqaf, D.M.; Aljabri, R.S.; Aljohani, A.Y.; Muslim, R.; et al. Reticulocyte Hemoglobin-Equivalent Potentially Detects, Diagnoses and Discriminates between Stages of Iron Deficiency with High Sensitivity and Specificity. J. Clin. Med. 2022, 11, 5675. [Google Scholar] [CrossRef]
- Lundgren, C.R. Implementing Reticulocyte Hemoglobin Into Current Hematology Algorithms. Am. J. Clin. Pathol. 2022, 158, 574–582. [Google Scholar] [CrossRef] [PubMed]



| Study Group | Definition | Function |
|---|---|---|
| Patients without ID or anemia | ♂: Hb > 13 g/dL ♀: Hb > 12 g/dL Ferritin > 30 ng/mL | control group |
| Patients with ID without anemia | ♂: Hb > 13 g/dL ♀: Hb > 12 g/dL Ferritin < 30 ng/mL | latent ID |
| Patients with IDA (Including patients with inflammation) | ♂: Hb < 13 g/dL ♀: Hb < 12 g/dL Ferritin > 30 ng/mL OR Ferritin < 100 ng/mL or TSAT < 20% if CRP > 5 mg/L and Ferritin 100–300 ng/mL | absolute iron deficiency anemia |
| Patients with FID and anemia | ♂: Hb < 13 g/dL ♀: Hb < 12 g/dL Ferritin > 100 ng/mL AND TSAT < 20% ± CRP > 5 mg/L ± clinical diagnosis | functional iron deficiency anemia |
| Patients with anemia without ID | ♂: Hb > 13 g/dL ♀: Hb > 12 g/dL TSAT > 20% | no iron deficiency |
| Characteristics | n = 314 | Variance |
|---|---|---|
| Age (years) * | 64 (19–93) | IQR 52; 75 |
| Female n (%) | 133 (42.4) | |
| Male n (%) | 181 (57.6) | |
| Body mass index (BMI) (kg/m2) # | 27.7 (16–48) | ± SD 5.6 |
| Length of intensive care unit (ICU) stay (d) * | 2 (1–29) | IQR 1; 5 |
| Apache II Score (score value) * Patients without anemia Patients with anemia | 13 (0–40) 9 (0–30) 14 (0–40) | IQR 8; 19 IQR 5; 12 IQR 9; 20 |
| Death n (%) Patients without anemia Patients with anemia | 16 (5) 2 (12.5) 14 (87.5) | |
| Patients with anemia Patients with anemia at time of admission Patients with hospital acquired anemia (HAA) | 212 (67.5) 182 (58) 30 (9.6) | |
| Patients with proven sepsis | 23 (7.3) | |
| Underlying disease at admission n (%) surgical cardiovascular respiratory Patients with COVID-19–Pneumonia others (gastrointestinal, neurological, psychiatric, gynecological, geriatric) | 115 (36.6) 94 (29.9) 45 (14.3) 27 (8.6) 60 (19.1) |
| Controls n (%) 128 (37,2) | Latent ID n (%) 4 (1,2) | IDA n (%) 25 (7,3) | FID n (%) 60 (17,4) | Others n (%) 127 (36,9) | |
|---|---|---|---|---|---|
| Hb (g/dL) * | 13.7 (13.1; 14.4) | 12.4 (12.1; 12.5) | 9.5 (8; 11.4) | 9.7 (8.7; 10.8) | 10.6 (8.8; 11.7) |
| MCV (fL) * | 88.5 (85.9; 91.7) | 89.2 (85.5; 93.5) | 83.3 (79; 86.6) | 87.1 (82.4; 91.2) | 90.6 (86.8; 93.9) |
| MCH (pg) * | 30.1 (28.9; 31.2) | 30.4 (28.7; 32) | 27.2 (24.8; 29) | 28.9 (27.2; 30.4) | 30.6 (29.4; 31.7) |
| RET-He (pg) * RET-He (pg) # | 34.2 (33; 35.4) 34.2 (±2.0) | 35.8 (33.3; 36.6) 35.2 (±1.8) | 28.5 (25.5; 31.6) 28.1 (±4.6) | 30.4 (26.1; 33) 29.5 (±4) | 34.6 (33; 35.9) 34.3 (±2.8) |
| Delta-He (pg) * Delta-He (pg) # | 1.7 (1.1; 2.1) 1.4 (±1.5) | 2.2 (1.5; 2.8) 2.2 (±0.6) | −0.2 (−2.5; 1.3) −0.6 (±3.5) | −0.9 (−3.6; 1) −1.2 (±3.2) | 1.7 (1.1; 2.5) 1.8 (±2) |
| Serum ferritin (ng/mL) * Serum ferritin (ng/mL) # | 183.2 (100.6; 452.1) 524.1 (±1041.3) | 25.9 (23.2; 28.5) 25.9 (±2.7) | 28.4 (14.8; 51.5) 50.8 (±63.2) | 375.9 (196.1; 951.8) 958.3 (±1547.5) | 163.4 (82.8; 448.7) 620.1 (±2014.8) |
| TSAT (%) * | 22 (14.7; 32.1) | 20.4 (11.8; 29.2) | 8.5 (5.4; 11.9) | 11.5 (7.7; 18.9) | 22.6 (15.5; 35.8) |
| Serum iron (μg/dL) * | 61.5 (39.8; 89) | 73.5 (47.3; 87.8) | 27 (17.5; 43.2) | 22 (14; 41) | 50 (34; 84.6) |
| CRP (mg/L) * | 13.4 (2.6; 47.8) | 3 (2.1; 6.9) | 17.7 (6; 57.9) | 100.9 (44.4; 182.9) | 28.1 (6.5; 66.8) |
| PCT (ng/dL) * | 0.1 (0.0; 0.2) | 0.1 (0.0; 0.2) | 0.1 (0.0; 0.3) | 0.6 (0.2; 2.6) | 0.1 (0.0; 0.5) |
| Leukocytes (103/μL) # | 11.5 (±4.2) | 12.2 (±3.1) | 10.3 (3.3) | 13.9 (±6.8) | 11.1 (±6.4) |
| AUC (IDA): | AUC (FID): | ||
|---|---|---|---|
| Ferritin RET-He TSAT Delta-He Serum Iron | 0.920 0.892 0.791 0.752 0.737 | RET-He Serum iron Delta-He TSAT Ferritin | 0.847 0.835 0.808 0.754 0.678 |
| Significant differences: | Significant differences: | ||
| RET-He/Delta-He RET-He/TSAT RET-He/Serum Iron Delta-He/Ferritin Ferritin/TSAT Ferritin/Serum Iron TSAT/Serum Iron | p < 0.001 p = 0.046 p = 0.01 p = 0.002 p = 0.018 p = 0.001 p < 0.001 | RET-He/Ferritin RET-He/TSAT Delta-He/Ferritin Ferritin/Serum iron TSAT/Serum iron | p < 0.001 p = 0.009 p < 0.001 p < 0.001 p < 0.001 |
Disclaimer/Publisher’s Note: The statements, opinions and data contained in all publications are solely those of the individual author(s) and contributor(s) and not of MDPI and/or the editor(s). MDPI and/or the editor(s) disclaim responsibility for any injury to people or property resulting from any ideas, methods, instructions or products referred to in the content. |
© 2022 by the authors. Licensee MDPI, Basel, Switzerland. This article is an open access article distributed under the terms and conditions of the Creative Commons Attribution (CC BY) license (https://creativecommons.org/licenses/by/4.0/).
Share and Cite
Zuther, M.; Rübsam, M.-L.; Zimmermann, M.; Zarbock, A.; Hönemann, C. Improved Diagnosis of Iron Deficiency Anemia in the Critically Ill via Fluorescence Flowcytometric Hemoglobin Biomarkers. Cells 2023, 12, 140. https://doi.org/10.3390/cells12010140
Zuther M, Rübsam M-L, Zimmermann M, Zarbock A, Hönemann C. Improved Diagnosis of Iron Deficiency Anemia in the Critically Ill via Fluorescence Flowcytometric Hemoglobin Biomarkers. Cells. 2023; 12(1):140. https://doi.org/10.3390/cells12010140
Chicago/Turabian StyleZuther, Mascha, Marie-Luise Rübsam, Mathias Zimmermann, Alexander Zarbock, and Christian Hönemann. 2023. "Improved Diagnosis of Iron Deficiency Anemia in the Critically Ill via Fluorescence Flowcytometric Hemoglobin Biomarkers" Cells 12, no. 1: 140. https://doi.org/10.3390/cells12010140
APA StyleZuther, M., Rübsam, M.-L., Zimmermann, M., Zarbock, A., & Hönemann, C. (2023). Improved Diagnosis of Iron Deficiency Anemia in the Critically Ill via Fluorescence Flowcytometric Hemoglobin Biomarkers. Cells, 12(1), 140. https://doi.org/10.3390/cells12010140

