Crimean–Congo Hemorrhagic Fever Virus Past Infections Are Associated with Two Innate Immune Response Candidate Genes in Dromedaries
Abstract
1. Introduction
2. Materials and Methods
2.1. Sampling and CCHFV Characterization
2.2. Probe Design and In-Solution Hybridization Capture Target Enrichment
2.3. Variant Calling and Read-Based Imputation in IR Genes
2.4. Data Filtering
2.5. Univariate Logistic Regression Analysis for Phenotype–Genotype Association
2.6. Linkage Disequilibrium (LD)-Based Gene-Set Test
3. Results
3.1. CCHFV Shedding and Antibody Prevalence in Dromedaries from the UAE
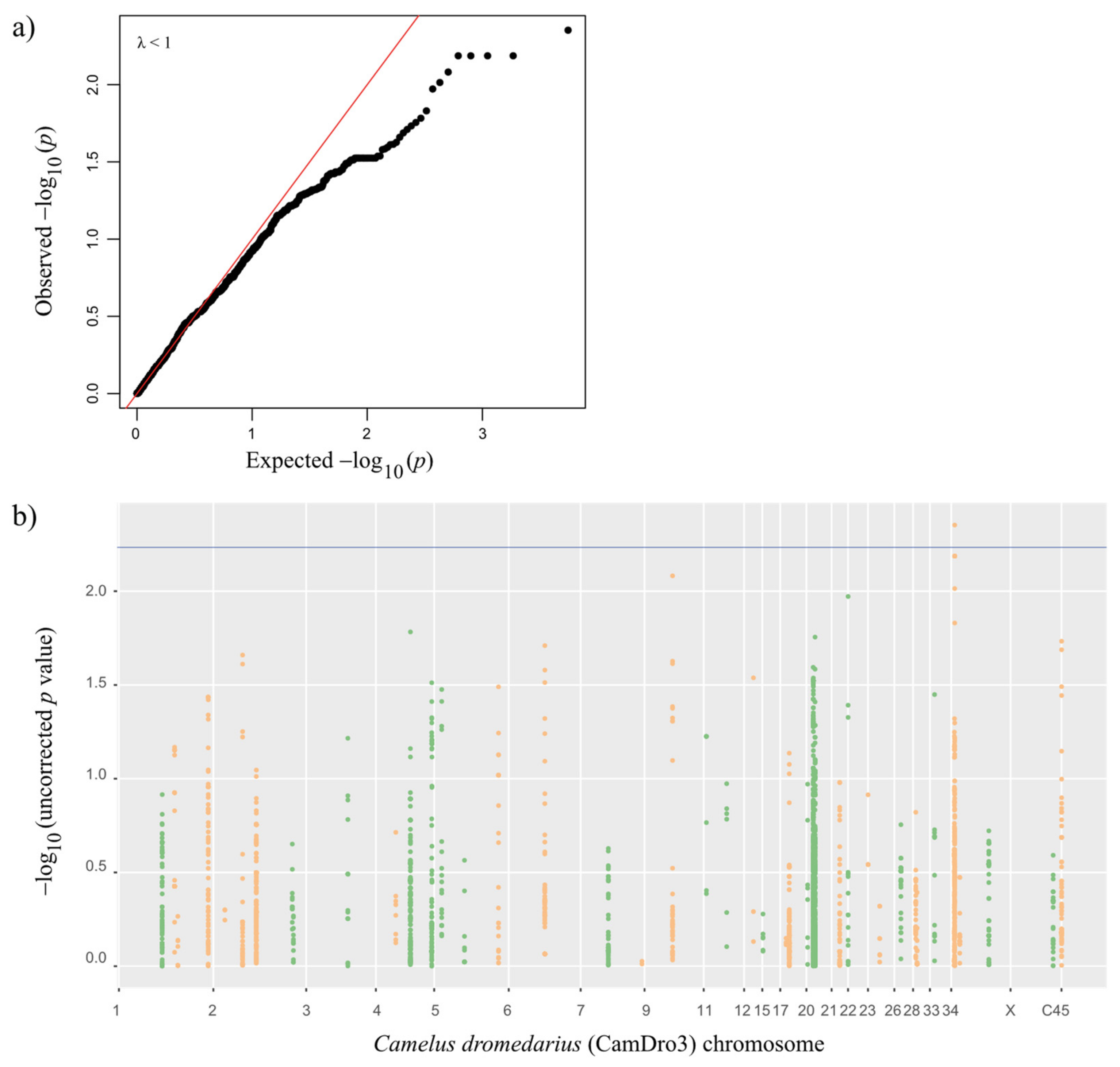
3.2. Phenotype–Genotype Association in Seropositive and Seronegative Dromedaries
3.3. Linkage Disequilibrium (LD)-Based Gene-Set Test
4. Discussion
4.1. Antibody Response against CCHFV and Seroconversion in Dromedaries
4.2. Candidate IR Genes Associated with a Past CCHFV Infection in Dromedaries
4.3. Challenges and Future Steps
Supplementary Materials
Author Contributions
Funding
Institutional Review Board Statement
Informed Consent Statement
Data Availability Statement
Acknowledgments
Conflicts of Interest
References
- Ciccarese, S.; Burger, P.A.; Ciani, E.; Castelli, V.; Linguiti, G.; Plasil, M.; Massari, S.; Horin, P.; Antonacci, R. The camel adaptive immune receptors repertoire as a singular example of structural and functional genomics. Front Genet. 2019, 10, 997. [Google Scholar] [CrossRef] [PubMed]
- Jovčevska, I.; Muyldermans, S. The Therapeutic Potential of Nanobodies. BioDrugs 2020, 34, 11–26. [Google Scholar] [CrossRef] [PubMed]
- Hanke, L.; Perez, L.V.D.J.S.; Das, H.; Schulte, T.; Morro, A.M.; Corcoran, M.; Achour, A.; Hedestam, G.K.; Hällberg, B.M.; Murrell, B.; et al. An alpaca nanobody neutralizes SARS-CoV-2 by blocking receptor interaction. Nat. Commun. 2020, 11, 4420. [Google Scholar] [CrossRef] [PubMed]
- Wrapp, D.; De Vlieger, D.; Corbett, K.S.; Torres, G.M.; Wang, N.; Van Breedam, W.; Roose, K.; van Schie, L.; Hoffmann, M.; Pöhlmann, S.; et al. Structural Basis for Potent Neutralization of Betacoronaviruses by Single-Domain Camelid Antibodies. Cell 2020, 181, 1004–1015.e15. [Google Scholar] [CrossRef] [PubMed]
- Koenig, P.-A.; Das, H.; Liu, H.; Kümmerer, B.M.; Gohr, F.N.; Jenster, L.-M.; Schiffelers, L.D.J.; Tesfamariam, Y.M.; Uchima, M.; Wuerth, J.D.; et al. Structure-guided multivalent nanobodies block SARS-CoV-2 infection and suppress mutational escape. Science 2021, 371, eabe6230. [Google Scholar] [CrossRef]
- Engering, A.; Hogerwerf, L.; Slingenbergh, J. Pathogen-host-environment interplay and disease emergence. Emerg. Microbes Infect. 2013, 2, 1–7. [Google Scholar] [CrossRef]
- Zhu, S.; Zimmerman, D.; Deem, S.L. A Review of Zoonotic Pathogens of Dromedary Camels. Ecohealth 2019, 16, 356–377. [Google Scholar] [CrossRef]
- Lado, S.; Elbers, J.P.; Plasil, M.; Loney, T.; Weidinger, P.; Camp, J.V.; Kolodziejek, J.; Futas, J.; Kannan, D.A.; Orozco-terWengel, P.; et al. Innate and Adaptive Immune Genes Associated with MERS-CoV Infection in Dromedaries. Cells 2021, 10, 1291. [Google Scholar] [CrossRef]
- Weidinger, P.; Kolodziejek, J.; Camp, J.V.; Loney, T.; Kannan, D.O.; Ramaswamy, S.; Tayoun, A.A.; Corman, V.M.; Nowotny, N. MERS-CoV in sheep, goats, and cattle, United Arab Emirates, 2019: Virological and serological investigations reveal an accidental spillover from dromedaries. Transbound. Emerg. Dis. 2021, 1–7. [Google Scholar] [CrossRef]
- Camp, J.V.; Kannan, D.O.; Osman, B.M.; Shah, M.S.; Howarth, B.; Khafaga, T.; Weidinger, P.; Karuvantevida, N.; Kolodziejek, J.; Mazrooei, H.; et al. Crimean-Congo Hemorrhagic Fever Virus Endemicity in United Arab Emirates, 2019. Emerg. Infect. Dis. 2020, 26, 1019–1021. [Google Scholar] [CrossRef]
- Khalafalla, A.I.; Li, Y.; Uehara, A.; Hussein, N.A.; Zhang, J.; Tao, Y.; Bergeron, E.; Ibrahim, I.H.; Al Hosani, M.A.; Yusof, M.F.; et al. Identification of a novel lineage of Crimean-Congo haemorrhagic fever virus in dromedary camels, United Arab Emirates. J. Gen. Virol. 2021, 102, 001473. [Google Scholar] [CrossRef]
- Sorvillo, T.E.; Rodriguez, S.E.; Hudson, P.; Carey, M.; Rodriguez, L.L.; Spiropoulou, C.F.; Bird, B.H.; Spengler, J.R.; Bente, D.A. Towards a sustainable one health approach to crimean-congo hemorrhagic fever prevention: Focus areas and gaps in knowledge. Trop. Med. Infect. Dis. 2020, 5, 113. [Google Scholar] [CrossRef]
- Deyde, V.M.; Khristova, M.L.; Rollin, P.E.; Ksiazek, T.G.; Nichol, S.T. Crimean-Congo Hemorrhagic Fever Virus Genomics and Global Diversity. J. Virol. 2006, 80, 8834–8842. [Google Scholar] [CrossRef]
- Camp, J.V.; Weidinger, P.; Ramaswamy, S.; Kannan, D.O.; Osman, B.M.; Kolodziejek, J.; Karuvantevida, N.; Tayoun, A.A.; Loney, T.; Nowotny, N. Association of Dromedary Camels and Camel Ticks with Enzootic Transmission of Reassortant CCHFV, United Arab Emirates. Emerg. Infect. Dis. 2021, 27, 2471–2474. [Google Scholar] [CrossRef]
- Ergonul, O. Crimean-Congo hemorrhagic fever virus: New outbreaks, new discoveries. Curr. Opin. Virol. 2012, 2, 215–220. [Google Scholar] [CrossRef]
- Schwarz, T.F.; Nsanze, H.; Longson, M.; Nitschko, H.; Gilch, S.; Shurie, H.; Ameen, A.; Zahir, A.R.M.; Acharya, U.G.; Jager, G. Polymerase chain reaction for diagnosis and identification of distinct variants of Crimean-Congo hemorrhagic fever virus in the United Arab Emirates. Am. J. Trop. Med. Hyg. 1996, 55, 190–196. [Google Scholar] [CrossRef]
- Apanaskevich, D.A.; Filippova, N.A.; Horak, I.G. The genus Hyalomma koch, 1844. X. Redescription of all parasitic stages of H. (Euhyalomma) scupense schulze, 1919 (= H. detritum Schulze) (Acari: Ixodidae) and notes on its biology. Folia Parasitol. 2010, 57, 69–78. [Google Scholar] [CrossRef]
- Apanaskevich, D.A.; Schuster, A.L.; Horak, I.G. The genus Hyalomma: VII. Redescription of all parasitic stages of H. (Euhyalomma) dromedarii and H. (E.) schulzei (Acari: Ixodidae). J. Med. Entomol. 2008, 45, 817–831. [Google Scholar] [CrossRef]
- Whitehouse, C.A. Crimean-Congo hemorrhagic fever. Antivir. Res. 2004, 64, 145–160. [Google Scholar] [CrossRef]
- Lado, S.; Elbers, J.P.; Rogers, M.F.; Melo-Ferreira, J.; Yadamsuren, A.; Corander, J.; Horin, P.; Burger, P.A. Nucleotide diversity of functionally different groups of immune response genes in Old World camels based on newly annotated and reference-guided assemblies. BMC Genom. 2020, 21, 606. [Google Scholar] [CrossRef]
- Elbers, J.P.; Rogers, M.F.; Perelman, P.L.; Proskuryakova, A.A.; Serdyukova, N.A.; Johnson, W.E.; Horin, P.; Corander, J.; Murphy, D.; Burger, P.A. Improving Illumina assemblies with Hi-C and long reads: An example with the North African dromedary. Mol. Ecol. Resour. 2019, 19, 1015–1026. [Google Scholar] [CrossRef] [PubMed]
- Purcell, S.; Neale, B.; Todd-Brown, K.; Thomas, L.; Ferreira, M.A.R.; Bender, D.; Maller, J.; Sklar, P.; De Bakker, P.I.W.; Daly, M.J.; et al. PLINK: A Tool Set for Whole-Genome Association and Population-Based Linkage Analyses. Am. J. Hum. Genet. 2007, 81, 559–575. [Google Scholar] [CrossRef] [PubMed]
- Benjamini, Y.; Yekutieli, D. The control of the false discovery rate in multiple testing under dependency. Ann. Stat. 2001, 29, 1165–1188. [Google Scholar] [CrossRef]
- R Core Team. R: A Language and Environment for Statistical Computing; R Foundation for Statistical Computing: Vienna, Austria, 2013. [Google Scholar]
- Turner, S.D. qqman: An R package for visualizing GWAS results using QQ and manhattan plots. J. Open Source Softw. 2018, 3, 731. [Google Scholar] [CrossRef]
- Yin, T.; Cook, D.; Lawrence, M. ggbio: An R package for extending the grammar of graphics for genomic data. Genome Biol. 2012, 13, R77. [Google Scholar] [CrossRef] [PubMed]
- Narum, S.R. Beyond Bonferroni: Less conservative analyses for conservation genetics. Conserv. Genet. 2006, 7, 783–787. [Google Scholar] [CrossRef]
- Hebsgaard, S.M.; Korning, P.G.; Tolstrup, N.; Engelbrecht, J.; Rouzé, P.; Brunak, S. Splice site prediction in Arabidopsis thaliana pre-mRNA by combining local and global sequence information. Nucleic Acids Res. 1996, 24, 3439–3452. [Google Scholar] [CrossRef] [PubMed]
- Brunak, S.; Engelbrecht, J.; Knudsen, S. Prediction of human mRNA donor and acceptor sites from the DNA sequence. J. Mol. Biol. 1991, 220, 49–65. [Google Scholar] [CrossRef]
- Gossner, C.; Danielson, N.; Gervelmeyer, A.; Berthe, F.; Faye, B.; Kaasik Aaslav, K.; Adlhoch, C.; Zeller, H.; Penttinen, P.; Coulombier, D. Human-Dromedary Camel Interactions and the Risk of Acquiring Zoonotic Middle East Respiratory Syndrome Coronavirus Infection. Zoonoses Public Health 2016, 63, 1–9. [Google Scholar] [CrossRef]
- Megersa, B.; Biffa, D.; Abunna, F.; Regassa, A.; Bohlin, J.; Skjerve, E. Epidemic characterization and modeling within herd transmission dynamics of an “emerging trans-boundary” camel disease epidemic in Ethiopia. Trop. Anim. Health Prod. 2012, 44, 1643–1651. [Google Scholar] [CrossRef]
- Ujvari, B.; Belov, K. Major histocompatibility complex (MHC) markers in conservation biology. Int. J. Mol. Sci. 2011, 12, 5168–5186. [Google Scholar] [CrossRef]
- Hussen, J.; Schuberth, H.-J. Recent Advances in Camel Immunology. Front. Immunol. 2021, 11, 614150. [Google Scholar] [CrossRef]
- Spengler, J.R.; Estrada-Peña, A.; Garrison, A.R.; Schmaljohn, C.; Spiropoulou, C.F.; Bergeron, É.; Bente, D.A. A chronological review of experimental infection studies of the role of wild animals and livestock in the maintenance and transmission of Crimean-Congo hemorrhagic fever virus. Antivir. Res. 2016, 135, 31–47. [Google Scholar] [CrossRef]
- Shahhosseini, N.; Wong, G.; Babuadze, G.; Camp, J.V.; Ergonul, O.; Kobinger, G.P.; Chinikar, S.; Nowotny, N. Crimean-Congo Hemorrhagic Fever Virus in Asia, Africa and Europe. Microorganisms 2021, 9, 1907. [Google Scholar] [CrossRef]
- Suliman, H.M.; Adam, I.A.; Saeed, S.I.; Abdelaziz, S.A.; Haroun, E.M.; Aradaib, I.E. Crimean Congo hemorrhagic fever among the one-humped camel (Camelus dromedaries) in Central Sudan. Virol. J. 2017, 14, 147. [Google Scholar] [CrossRef]
- Bouaicha, F.; Eisenbarth, A.; Elati, K.; Schulz, A.; Smida, B.B.; Bouajila, M.; Sassi, L.; Rekik, M.; Groschup, M.H.; Khbou, M.K. Epidemiological investigation of Crimean-Congo haemorrhagic fever virus infection among the one-humped camels (Camelus dromedarius) in southern Tunisia. Ticks Tick Borne Dis. 2021, 12, 101601. [Google Scholar] [CrossRef]
- Schulz, A.; Barry, Y.; Stoek, F.; Ba, A.; Schulz, J.; Haki, M.L.; Sas, M.A.; Doumbia, B.A.; Kirkland, P.; Bah, M.Y.; et al. Crimean-congo hemorrhagic fever virus antibody prevalence in mauritanian livestock (Cattle, goats, sheep and camels) is stratified by the animal’s age. PLoS Negl. Trop. Dis. 2021, 15, e0009228. [Google Scholar] [CrossRef]
- Kurtz, J.; Kalbe, M.; Aeschlimann, P.B.; Häberli, M.A.; Wegner, K.M.; Reusch, T.B.H.; Milinski, M. Major histocompatibility complex diversity influences parasite resistance and innate immunity in sticklebacks. Proc. R. Soc. B Biol. Sci. 2004, 271, 197–204. [Google Scholar] [CrossRef]
- Spreu, J.; Kienle, E.C.; Schrage, B. CLEC2A: A novel, alternatively spliced and skin-associated member of the NKC-encoded AICL–CD69–LLT1 family. Immunogenetics 2007, 59, 903–912. [Google Scholar] [CrossRef]
- Hamann, J.; Montgomery, K.T.; Lau, S.; Kucherlapati, R.; Lier, A.W.V.L. AICL: A new activation-induced antigen encoded by the human NK gene complex. Immunogenetics 1997, 45, 295–300. [Google Scholar] [CrossRef][Green Version]
- Neuss, S.; Bartel, Y.; Born, C.; Weil, S.; Koch, J.; Behrends, C.; Hoffmeister, M.; Steinle, A. Cellular Mechanisms Controlling Surfacing of AICL Glycoproteins, Cognate Ligands of the Activating NK Receptor NKp80. J. Immunol. 2018, 201, 1275–1286. [Google Scholar] [CrossRef]
- Koch, J.; Steinle, A.; Watzl, C.; Mandelboim, O. Activating natural cytotoxicity receptors of natural killer cells in cancer and infection. Trends Immunol. 2013, 34, 182–191. [Google Scholar] [CrossRef]
- Brown, G.D.; Willment, J.A.; Whitehead, L. C-type lectins in immunity and homeostasis. Nat. Rev. Immunol. 2018, 18, 374–389. [Google Scholar] [CrossRef]
- Hoober, J.K.; Eggink, L.L.; Cote, R. Stories from the Dendritic Cell Guardhouse. Front. Immunol. 2019, 10, 2880. [Google Scholar] [CrossRef]
- Li, X.; Gibson, A.W.; Kimberly, R.P. Human FcR Polymorphism and Disease. In Current Topics in Microbiology and Immunology; Daëron, M., Nimmerjahn, F., Eds.; Springer International Publishing: Cham, Switzerland, 2014; Volume 382, pp. 275–302. [Google Scholar]
- Maliszewski, B.C.R.; March, C.J.; Schoenborn, M.A.; Gimpel, S.; Shen, L. Expression Cloning of a Human Fc Receptor for IgA. J. Exp. Med. 1990, 172, 1665–1672. [Google Scholar] [CrossRef]


| Chr | Position (Minor/Major Allele) | Gene | p-Value | Allele Freq. Minor Allele | Genotypes | ||||||
|---|---|---|---|---|---|---|---|---|---|---|---|
| Cases | Controls | Exact p-Value | Odds Ratio | Cases | Controls | Exact p-Value | |||||
| 34 | A15810691G | CLEC2B | 0.0044 ** | 0.2222 | 0.2759 | 0.4716 | 0.7500 | 4/28/49 | 2/12/15 | 0.6212 | |
| 34 | G15812682A | CLEC2B | 0.0065 * | 0.2289 | 0.2903 | 0.3878 | 0.7257 | 4/30/49 | 2/14/15 | 0.5572 | |
| 34 | T15812711C | CLEC2B | 0.0065 * | 0.2289 | 0.2903 | 0.3878 | 0.7257 | 4/30/49 | 2/14/15 | 0.5572 | |
| 34 | G15818303A | CLEC2B | 0.0065 * | 0.2289 | 0.2903 | 0.3878 | 0.7257 | 4/30/49 | 2/14/15 | 0.5572 | |
| 34 | C15818368T | CLEC2B | 0.0065 * | 0.2289 | 0.2903 | 0.3878 | 0.7257 | 4/30/49 | 2/14/15 | 0.5572 | |
| 9 | G73819886A | FCAR | 0.0083 * | 0.4329 | 0.1935 | 0.0011 * | 3.1810 | 11/49/22 | 2/8/21 | 0.0004 * | |
| 34 | A15809590C | CLEC2B | 0.0097 * | 0.2289 | 0.2833 | 0.4827 | 0.7509 | 4/30/49 | 2/13/15 | 0.6277 | |
| 9 | C73820233A | FCAR | 0.0236 | 0.4036 | 0.1935 | 0.0030 * | 2.8200 | 10/47/26 | 2/8/21 | 0.0021 * | |
| 9 | G73819171A | FCAR | 0.0243 | 0.3735 | 0.1774 | 0.0063 * | 2.7640 | 10/42/31 | 2/7/22 | 0.0073 * | |
Publisher’s Note: MDPI stays neutral with regard to jurisdictional claims in published maps and institutional affiliations. |
© 2021 by the authors. Licensee MDPI, Basel, Switzerland. This article is an open access article distributed under the terms and conditions of the Creative Commons Attribution (CC BY) license (https://creativecommons.org/licenses/by/4.0/).
Share and Cite
Lado, S.; Futas, J.; Plasil, M.; Loney, T.; Weidinger, P.; Camp, J.V.; Kolodziejek, J.; Kannan, D.O.; Horin, P.; Nowotny, N.; et al. Crimean–Congo Hemorrhagic Fever Virus Past Infections Are Associated with Two Innate Immune Response Candidate Genes in Dromedaries. Cells 2022, 11, 8. https://doi.org/10.3390/cells11010008
Lado S, Futas J, Plasil M, Loney T, Weidinger P, Camp JV, Kolodziejek J, Kannan DO, Horin P, Nowotny N, et al. Crimean–Congo Hemorrhagic Fever Virus Past Infections Are Associated with Two Innate Immune Response Candidate Genes in Dromedaries. Cells. 2022; 11(1):8. https://doi.org/10.3390/cells11010008
Chicago/Turabian StyleLado, Sara, Jan Futas, Martin Plasil, Tom Loney, Pia Weidinger, Jeremy V. Camp, Jolanta Kolodziejek, Dafalla O. Kannan, Petr Horin, Norbert Nowotny, and et al. 2022. "Crimean–Congo Hemorrhagic Fever Virus Past Infections Are Associated with Two Innate Immune Response Candidate Genes in Dromedaries" Cells 11, no. 1: 8. https://doi.org/10.3390/cells11010008
APA StyleLado, S., Futas, J., Plasil, M., Loney, T., Weidinger, P., Camp, J. V., Kolodziejek, J., Kannan, D. O., Horin, P., Nowotny, N., & Burger, P. A. (2022). Crimean–Congo Hemorrhagic Fever Virus Past Infections Are Associated with Two Innate Immune Response Candidate Genes in Dromedaries. Cells, 11(1), 8. https://doi.org/10.3390/cells11010008

