Agricultural Policy Environmental eXtender (APEX) Simulation of Spring Peanut Management in the North China Plain
Abstract
1. Introduction
2. Materials and Methods
2.1. Experimental Site Description
2.2. Experimental Design and Data Collection
2.3. APEX Model Description and Input Parameters
2.4. APEX Model Calibration and Validation
2.5. Simulation Scenarios
2.6. Data Analysis and Model Performance Criteria
3. Results
3.1. Sowing Date and Plant Density Effects on Yield
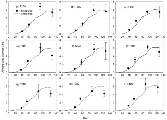
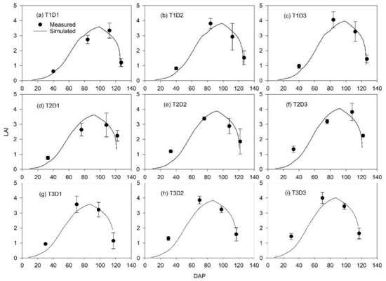
3.2. Model Calibration
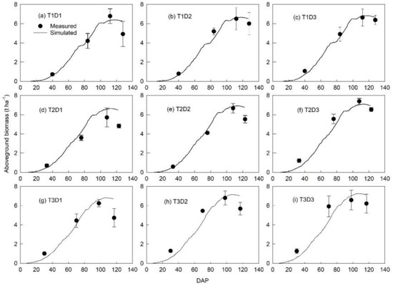
3.3. Model Validation
3.4. Optimum Seeding Rate and Sowing Rate
3.5. Irrigation Scenarios, Simulation, and Analysis
4. Discussion
4.1. Model Calibration and Validation
4.2. Optimum Plant Density and Sowing Date
4.3. Optimum Irrigation Regime
4.4. Limitations
4.5. Future Research
5. Conclusions
Author Contributions
Funding
Acknowledgments
Conflicts of Interest
References
- Calles, T. The International Year of Pulses: What are they and why are they important. Agric. Dev. 2016, 26, 40–42. [Google Scholar]
- Foyer, C.H.; Lam, H.-M.; Nguyen, H.T.; Siddique, K.H.M.; Varshney, R.K.; Colmer, T.D.; Cowling, W.; Bramley, H.; Mori, T.A.; Hodgson, J.M.; et al. Neglecting legumes has compromised human health and sustainable food production. Nat. Plants 2016, 2, 16112. [Google Scholar] [CrossRef] [PubMed]
- Zander, P.; Amjath-Babu, T.S.; Preissel, S.; Reckling, M.; Bues, A.; Schläfke, N.; Kuhlman, T.; Bachinger, J.; Uthes, S.; Stoddard, F.; et al. Grain legume decline and potential recovery in European agriculture: A review. Agron. Sustain. Dev. 2016, 36, 26. [Google Scholar] [CrossRef]
- FAOSTAT: Crop. Available online: http://www.fao.org/faostat/zh/#data/QC (accessed on 10 April 2019).
- NBS. China’s National Bureau of Statistics. 2018. Available online: http://www.stats.gov.cn/tjsj/ndsj/2018/indexeh.htm (accessed on 10 April 2019).
- Meng, Q.F.; Sun, Q.P.; Chen, X.P.; Cui, Z.L.; Yue, S.C.; Zhang, F.S.; Roemheld, V. Alternative cropping systems for sustainable water and nitrogen use in the North China Plain. Agric. Ecosyst. Environ. 2012, 146, 93–102. [Google Scholar] [CrossRef]
- Van Oort, P.A.J.; Wang, G.; Vos, J.; Meinke, H.; Li, B.G.; Huang, J.K.; van der Werf, W. Towards groundwater neutral cropping systems in the Alluvial Fans of the North China Plain. Agric. Water Manag. 2016, 165, 131–140. [Google Scholar] [CrossRef]
- An, P.L.; Ren, W.; Liu, X.L.; Song, M.M.; Li, X.M. Adjustment and optimization of the cropping systems under water constraint. Sustainability 2016, 8, 1207. [Google Scholar] [CrossRef]
- Davis, K.F.; Rulli, M.C.; Seveso, A.; D’Odorico, P. Increased food production and reduced water use through optimized crop distribution. Nat. Geosci. 2017, 10, 919–924. [Google Scholar] [CrossRef]
- Davis, K.F.; Chiarelli, D.D.; Rulli, M.C.; Chhatre, A.; Richter, B.; Singh, D.; DeFries, R. Alternative cereals can improve water use and nutrient supply in India. Sci. Adv. 2018, 4, eaao1108. [Google Scholar] [CrossRef] [PubMed]
- Zhao, Z.G.; Qin, X.; Wang, Z.M.; Wang, E.L. Performance of different cropping systems across precipitation gradient in North China Plain. Agric. For. Meteorol. 2018, 259, 162–172. [Google Scholar] [CrossRef]
- Liang, H.; Qin, W.; Hu, K.L.; Tao, H.B.; Li, B.G. Modelling groundwater level dynamics under different cropping systems and developing groundwater neutral systems in the North China Plain. Agric. Water Manag. 2019, 213, 732–741. [Google Scholar] [CrossRef]
- Yan, P.; Tao, Z.Q.; Chen, Y.Q.; Zhang, X.P.; Sui, P. Spring maize kernel number and assimilate supply responses to high-temperature stress under field conditions. Agron. J. 2017, 109, 1433–1442. [Google Scholar] [CrossRef]
- Meng, Q.F.; Wang, H.F.; Yan, P.; Pan, J.X.; Lu, D.J.; Cui, Z.L.; Zhang, F.S.; Chen, X.P. Designing a new cropping system for high productivity and sustainable water usage under climate change. Sci. Rep. 2017, 7, 41587. [Google Scholar] [CrossRef] [PubMed]
- Zeng, Z.H.; Lu, Z.Y.; Jiang, Y.; Zhang, K.; Yang, Y.D.; Zhao, P.Y. Legume-cereal crop rotation systems in China. In Crop Rotations: Farming Practices, Monitoring and Environmental Benefits, 1st ed.; Ma, B., Ed.; Nova Science Publishers: New York, NY, USA, 2016; pp. 51–69. [Google Scholar]
- Zhang, K.; Zhao, J.; Wang, X.Q.; Zang, H.D.; Liu, J.N.; Hu, Y.G.; Zeng, Z.H. Estimates on nitrogen uptake in the subsequent wheat by above-ground and root residue and rhizodeposition of using peanut labeled with 15N isotope on the North China Plain. J. Integr. Agric. 2019, 18, 571–579. [Google Scholar] [CrossRef]
- Lu, H.; Xie, H.L.; Lv, T.G.; Yao, G.R. Determinants of cultivated land recuperation in ecologically damaged areas in China. Land Use Policy 2019, 81, 160–166. [Google Scholar] [CrossRef]
- Dangthaisong, P.; Banterng, P.; Jogloy, S.; Vorasoot, N.; Patanothai, A.; Hoogenboom, G. Evaluation of the CSM-CROPGRO-Peanut model in simulating responses of two peanut cultivars to different moisture regimes. Asian J. Plant Sci. 2006, 5, 913–922. [Google Scholar]
- Bell, M. Effect of sowing date on growth and development of irrigated peanuts, Arachis hypogaea L. cv. Early Bunch, in a monsoonal tropical environment. Aust. J. Agric. Res. 1986, 37, 361–373. [Google Scholar] [CrossRef]
- Gardner, F.; Auma, E. Canopy structure, light interception, and yield and market quality of peanut genotypes as influenced by planting pattern and planting date. Field Crop Res. 1989, 20, 13–29. [Google Scholar] [CrossRef]
- Banterng, P.; Patanothai, A.; Pannangpetch, K.; Jogloy, S.; Hoogenboom, G. Seasonal variation in the dynamic growth and development traits of peanut lines. J. Agric. Sci.-Camb. 2003, 141, 51–62. [Google Scholar] [CrossRef]
- Caliskan, S.; Caliskan, M.; Arslan, M.; Arioglu, H. Effects of sowing date and growth duration on growth and yield of groundnut in a Mediterranean-type environment in Turkey. Field Crop. Res. 2008, 105, 131–140. [Google Scholar] [CrossRef]
- Singh, P.; Boote, K.; Virmani, S. Evaluation of the groundnut model PNUTGRO for crop response to plant population and row spacing. Field Crop. Res. 1994, 39, 163–170. [Google Scholar] [CrossRef]
- Rasekh, H.; Asghari, J.; Massoumi, S.; Zakerinejad, R. Effect of planting pattern and plant density on physiological characteristics and yield of peanut (Arachis hypogaea L.) in Iran. Res. J. Biol. Sci. 2010, 5, 542–547. [Google Scholar] [CrossRef]
- Zhao, C.X.; Shao, C.L.; Yang, Z.L.; Wang, Y.F.; Zhang, X.J.; Wang, M.L.; McGiffen, M.E., Jr. Effects of planting density on pod development and yield of peanuts under the pattern of precision planted peanuts. Legume Res. 2017, 40, 901–905. [Google Scholar] [CrossRef][Green Version]
- Haro, R.J.; Dardanelli, J.L.; Otegui, M.E.; Collino, D.J. Seed yield determination of peanut crops under water deficit: Soil strength effects on pod set, the source–sink ratio and radiation use efficiency. Field Crop. Res. 2008, 109, 24–33. [Google Scholar] [CrossRef]
- Amiri, E.; Abdzad Gohari, A.; Mianabadi, A. Evaluation of water schemes for peanut, using CSM-CROPGRO-Peanut model. Arch. Agron. Soil Sci. 2015, 61, 1439–1453. [Google Scholar] [CrossRef]
- Williams, J.R.; Arnold, J.G.; Kiniry, J.R.; Gassman, P.W.; Green, C.H. History of model development at Temple, Texas. Hydrol. Sci. J. 2008, 53, 948–960. [Google Scholar] [CrossRef]
- Wang, X.; Tuppad, P.; Williams, J.R. Modeling agricultural management systems with APEX. In Soil Hydrology, Land Use, and Agriculture: Measurement and Modelling, 1st ed.; Shukla, M.K., Ed.; CABI Press: Wallingford, UK, 2011; pp. 117–136. [Google Scholar]
- Wang, X.Y.; Gassman, P.W.; Williams, J.R.; Potter, S.; Kemanian, A.R. Modeling the impacts of soil management practices on runoff, sediment yield, maize productivity, and soil organic carbon using APEX. Soil Till. Res. 2008, 101, 78–88. [Google Scholar] [CrossRef]
- Cavero, J.; Barros, R.; Sellam, F.; Topcu, S.; Isidoro, D.; Hartani, T.; Lounis, A.; Ibrikci, H.; Cetin, M.; Williams, J. APEX simulation of best irrigation and N management strategies for off-site N pollution control in three Mediterranean irrigated watersheds. Agric. Water Manag. 2012, 103, 88–99. [Google Scholar] [CrossRef]
- Meki, M.; Marcos, J.; Atwood, J.; Norfleet, L.; Steglich, E.; Williams, J.; Gerik, T. Effects of site-specific factors on corn stover removal thresholds and subsequent environmental impacts in the Upper Mississippi River Basin. J. Soil Water Conserv. 2011, 66, 386–399. [Google Scholar] [CrossRef]
- Meki, M.N.; Atwood, J.D.; Norfleet, L.M.; Williams, J.R.; Gerik, T.J.; Kiniry, J.R. Corn residue removal effects on soybean yield and nitrogen dynamics in the Upper Mississippi River Basin. Agroecol. Sustain. Food 2013, 37, 379–400. [Google Scholar] [CrossRef]
- Zhang, B.B.; Feng, G.; Kong, X.B.; Lal, R.; Ouyang, Y.; Adeli, A.; Jenkins, J.N. Simulating yield potential by irrigation and yield gap of rainfed soybean using APEX model in a humid region. Agric. Water Manag. 2016, 177, 440–453. [Google Scholar] [CrossRef]
- Zhang, B.B.; Feng, G.; Read, J.J.; Kong, X.B.; Ouyang, Y.; Adeli, A.; Jenkins, J.N. Simulating soybean productivity under rainfed conditions for major soil types using APEX model in East Central Mississippi. Agric. Water Manag. 2016, 177, 379–391. [Google Scholar] [CrossRef]
- Zhang, B.B.; Feng, G.; Ahuja, L.R.; Kong, X.B.; Ouyang, Y.; Adeli, A.; Jenkins, J.N. Soybean crop-water production functions in a humid region across years and soils determined with APEX model. Agric. Water Manag. 2018, 204, 180–191. [Google Scholar] [CrossRef]
- Luo, Y.; Wang, H.Y. Modeling the impacts of agricultural management strategies on crop yields and sediment yields using APEX in Guizhou Plateau, southwest China. Agric. Water Manag. 2019, 216, 325–338. [Google Scholar] [CrossRef]
- Plotkin, S.; Wang, X.; Potter, T.L.; Bosch, D.D.; Williams, J.R.; Hesketh, E.S.; Bagdon, J.K. APEX calibration and validation of water and herbicide transport under U.S. southern atlantic coastal plain conditions. Trans. ASABE 2013, 56, 43–60. [Google Scholar] [CrossRef]
- Van Liew, M.W.; Wortmann, C.S.; Moriasi, D.N.; King, K.W.; Flanagan, D.C.; Veith, T.L.; McCarty, G.W.; Bosch, D.D.; Tomer, M.D. Evaluating the APEX Model for simulating streamflow and water quality on ten agricultural watersheds in the US. Trans. ASABE 2017, 60, 123–146. [Google Scholar]
- Jiang, Y.; Wang, X.Q.; Zhao, J.; Jiang, M.; Cao, L.S.; Li, C.; Zeng, Z.H. High-yield variety screening on direct-seeding spring peanut in Heilonggang low plain area. J. Hebei Agric. Univ. 2017, 40, 26–31. [Google Scholar]
- Boote, K. Growth stages of peanut (Arachis hypogaea L.). Peanut Sci. 1982, 9, 35–40. [Google Scholar] [CrossRef]
- Williams, J.R.; Izaurralde, R.C. The APEX model. In Watershed Models; Singh, V.P., Frevert, D.K., Eds.; CRC Press, Taylor & Francis: Boca Raton, FL, USA, 2006; pp. 437–482. [Google Scholar]
- Gassman, P.W.; Williams, J.R.; Wang, X.; Saleh, A.; Osei, E.; Hauck, L.M.; Izaurralde, R.C.; Flowers, J.D. The Agricultural Policy Environmental eXtender (APEX) Model: An Emerging tool for Landscape and Watershed Environmental Analyses; Center for Agricultural and Rural Development, Iowa State University: Ames, IA, USA, 2009. [Google Scholar]
- Williams, J.R.; Jones, C.A.; Kiniry, J.R.; Spanel, D.A. The EPIC crop growth model. Trans. ASAE 1989, 32, 497–511. [Google Scholar] [CrossRef]
- Powers, S.; Ascough, J., II; Nelson, R.; Larocque, G. Modeling water and soil quality environmental impacts associated with bioenergy crop production and biomass removal in the Midwest USA. Ecol. Model. 2011, 222, 2430–2447. [Google Scholar] [CrossRef]
- Williams, J.; Izaurralde, R. Agricultural Policy/Environmental eXtender Model Theoretical Documentation; Blackland Research and Extension Center: Temple, TX, USA, 2008. [Google Scholar]
- Penman, H. Natural evaporation from open water, bare soil and grass. Proc. R. Soc. A 1947, 193, 120–145. [Google Scholar]
- Gassman, P.W.; Williams, J.R.; Benson, V.W.; Izaurralde, R.C.; Hauck, L.; Jones, C.A.; Atwood, J.D.; Kiniry, J.; Flowers, J.D. Historical Development and Applications of the EPIC and APEX Models; Center for Agricultural and Rural Development, Iowa State University: Ames, IA, USA, 2005. [Google Scholar]
- Wang, X.Y.; Williams, J.R.; Gassman, P.W.; Baffaut, C.; Izaurralde, R.C.; Jeong, J.; Kiniry, J.R. EPIC and APEX: Model use, calibration, and validation. Trans. ASABE 2012, 55, 1447–1462. [Google Scholar] [CrossRef]
- Zhang, Q.P.; Yang, X.G.; Xue, C.Y.; Yan, W.X.; Yang, J.; Zhang, T.Y.; Bauman, B.A.M.; Wang, H.Q. Analysis of coupling degree between crop w ater requirement of aerobic rice and rainfall in Beijing areas. Transf. CSAE 2007, 23, 51–56. [Google Scholar]
- Zhao, Y.Q.; Xiao, D.P.; Qi, Y.Q.; Bai, H.Z. Crop yield and water consumption of different cropping patterns under different precipitation years in North China Plain. Transf. CSAE 2018, 34, 108–116. [Google Scholar]
- Hussain, G.; Aljaloud, A.A.; Alshammary, S.F.; Karimulla, S. Effect of saline irrigation on the biomass yield and the protein, nitrogen, phosphorus and potassium composition of alfalfa in a pot experiment. J. Plant Nutr. 1995, 18, 2389–2408. [Google Scholar] [CrossRef]
- The Analysis of Split-Plot Experiments. Available online: http://www2.compute.dtu.dk/courses/02429/enotepdfs/eNote-7.pdf (accessed on 21 July 2019).
- Bates, D.; Mächler, M.; Bolker, B.; Walker, S. Fitting linear mixed-effects models using lme4. J. Stat. Softw. 2015, 67, 1–48. [Google Scholar] [CrossRef]
- R Core Team. R: A Language and Environment for Statistical Computing; R Foundation for Statistical Computing: Vienna, Austria, 2019. [Google Scholar]
- Willmott, C.J. On the validation of models. Phys. Geogr. 1981, 2, 184–194. [Google Scholar] [CrossRef]
- Bell, M.; Shorter, R.; Mayer, R. Cultivar and environmental effects on growth and development of peanuts (Arachis hypogaea L.). I. Emergence and flowering. Field Crop. Res. 1991, 27, 17–33. [Google Scholar] [CrossRef]
- Batchelor, W.; Jones, J.; Boote, K.; Pinnschmidt, H. Extending the use of crop models to study pest damage. Trans. ASAE 1993, 36, 551–558. [Google Scholar] [CrossRef]
- Naab, J.; Singh, P.; Boote, K.; Jones, J.; Marfo, K. Using the CROPGRO-peanut model to quantify yield gaps of peanut in the Guinean Savanna Zone of Ghana. Agron. J. 2004, 96, 1231–1242. [Google Scholar] [CrossRef]
- Adomou, M.; Prasad, P.; Boote, K.; Detongnon, J. Disease assessment methods and their use in simulating growth and yield of peanut crops affected by leafspot disease. Ann. Appl. Biol. 2005, 146, 469–479. [Google Scholar] [CrossRef]
- Singh, M.P.; Erickson, J.E.; Boote, K.J.; Jones, J.W.; Tillman, B.L.; van Bruggen, A.H. Using the CSM-CROPGRO-peanut model to simulate late leaf spot effects on peanut cultivars of differing resistance. Agron. J. 2013, 105, 1307–1316. [Google Scholar] [CrossRef]
- Lanier, J.E.; Jordan, D.L.; Spears, J.F.; Wells, R.; Johnson, P.D.; Barnes, J.S.; Hurt, C.A.; Brandenburg, R.L.; Bailey, J.E. Peanut response to planting pattern, row spacing, and irrigation. Agron. J. 2004, 96, 1066–1072. [Google Scholar] [CrossRef]
- Papastylianou, I. Spacing of peanut plants (Arachis hypogaea L.) under irrigation. Eur. J. Agron. 1995, 4, 101–107. [Google Scholar] [CrossRef]
- Vadez, V.; Halilou, O.; Hissene, H.M.; Sibiry-Traore, P.; Sinclair, T.R.; Soltani, A. Mapping water stress incidence and intensity, optimal plant populations, and cultivar duration for African groundnut productivity enhancement. Front Plant Sic. 2017, 8, 432. [Google Scholar] [CrossRef]
- Ketring, D. Temperature effects on vegetative and reproductive development of peanut. Crop Sci. 1984, 24, 877–882. [Google Scholar] [CrossRef]
- Prasad, P.V.; Craufurd, P.; Summerfield, R. Effect of high air and soil temperature on dry matter production, pod yield and yield components of groundnut. Plant Soil 2000, 222, 231–239. [Google Scholar] [CrossRef]
- Craufurd, P.; Prasad, P.; Summerfield, R. Dry matter production and rate of change of harvest index at high temperature in peanut. Crop Sci. 2002, 42, 146–151. [Google Scholar] [CrossRef]
- Haro, R.J.; Otegui, M.E.; Collino, D.J.; Dardanelli, J.L. Environmental effects on seed yield determination of irrigated peanut crops: Links with radiation use efficiency and crop growth rate. Field Crop. Res. 2007, 103, 217–228. [Google Scholar] [CrossRef]
- Collino, D.; Dardanelli, J.; Sereno, R.; Racca, R. Physiological responses of argentine peanut varieties to water stress. Water uptake and water use efficiency. Field Crop. Res. 2000, 68, 133–142. [Google Scholar] [CrossRef]
- Stirling, C.; Ong, C.; Black, C. The response of groundnut (Arachis hypogaea L.) to timing of irrigation. J. Exp. Bot. 1989, 40, 1145–1153. [Google Scholar] [CrossRef]
- Reddy, T.; Reddy, V.; Anbumozhi, V. Physiological responses of groundnut (Arachis hypogaea L.) to drought stress and its amelioration: A critical review. Plant Growth Regul. 2003, 41, 75–88. [Google Scholar] [CrossRef]
- Tubbs, R.S.; Beasley, J.P., Jr.; Culbreath, A.K.; Kemerait, R.C.; Smith, N.B.; Smith, A.R. Row pattern and seeding rate effects on agronomic, disease, and economic factors in large-seeded runner peanut. Peanut Sci. 2011, 38, 93–100. [Google Scholar] [CrossRef]











| Soil Layer (m) | BD (g cm−3) | Particle Fraction (%) | Texture | SATC (mm h−1) | UW (m m−1) | FC (m m−1) | pH | ||
|---|---|---|---|---|---|---|---|---|---|
| Sand | Silt | Clay | |||||||
| 0–0.2 | 1.33 | 16.2 | 69.2 | 14.6 | Silt Loam | 4.4 | 0.10 | 0.30 | 8.1 |
| 0.2–0.4 | 1.52 | 18.0 | 67.7 | 14.4 | Silt Loam | 1.1 | 0.12 | 0.27 | 8.3 |
| 0.4–0.6 | 1.46 | 12.1 | 82.1 | 5.8 | Silt Loam | 5.4 | 0.12 | 0.27 | 8.3 |
| 0.6–0.8 | 1.45 | 8.9 | 75.9 | 15.2 | Silt Loam | 7.9 | 0.12 | 0.29 | 8.2 |
| 0.8–1.0 | 1.46 | 4.7 | 81.0 | 14.3 | Silt Loam | 7.1 | 0.13 | 0.31 | 8.3 |
| 1.0–1.2 | 1.41 | 2.6 | 86.3 | 11.1 | Silt | 8.3 | 0.18 | 0.32 | 8.6 |
| Season | Sowing Date | VEo | VEs | Sampling Date | Harvesting Date | Growth Duration | P (mm) | PHU (°C) | |||
|---|---|---|---|---|---|---|---|---|---|---|---|
| 2017 | 4/25 | 5/7 | 5/8 | 6/3 | 6/23 | 7/26 | 9/1 | 9/2 | 131 | 362 | 2000 |
| 5/5 | 5/14 | 5/15 | 6/10 | 6/30 | 8/6 | 9/9 | 9/10 | 129 | 355 | 2050 | |
| 5/15 | 5/23 | 5/23 | 6/21 | 7/7 | 8/10 | 9/17 | 9/18 | 126 | 355 | 2030 | |
| 2018 | 4/25 | 5/7 | 5/8 | 6/3 | 7/17 | 8/14 | 9/1 | 9/2 | 131 | 634 | 2040 |
| 5/5 | 5/15 | 5/15 | 6/6 | 7/19 | 8/20 | 9/03 | 9/5 | 124 | 621 | 2040 | |
| 5/15 | 5/22 | 5/23 | 6/13 | 7/23 | 8/20 | 9/8 | 9/9 | 118 | 619 | 2040 | |
| Parameters | Description | Default | Adjusted |
|---|---|---|---|
| WA | Biomass-Energy Ratio | 30.00 | 30.00 |
| HI | Harvest index | 0.40 | 0.40 |
| DMLA | Maximum potential leaf area index | 5.00 | 5.00 |
| DLAI | Fraction of growing season when leaf area declines | 0.85 | 0.75 |
| DLAP1 | First point on optimal leaf area development curve | 15.01 | 12.05 |
| DLAP2 | Second point on optimal leaf area development curve | 50.95 | 50.70 |
| RLAD | Leaf area index decline rate parameter | 1.00 | 0.20 |
| RBMD | Biomass–energy ratio decline rate parameter | 0.50 | 1.00 |
| PPLP1 | Plant Population for Crops and Grass-1st Point on curve | 3.10 | 10.55 |
| PPLP2 | Plant Population for Crops and Grass-2nd Point on curve | 10.90 | 40.95 |
| Stage | Index | n | R2 | PBIAS | d | RMSE | NRMSE (%) |
|---|---|---|---|---|---|---|---|
| Calibration | Yield | 9 | 0.71 | 0.04 | 0.79 | 0.20 | 3.97 |
| LAI | 36 | 0.95 | −1.67 | 0.98 | 0.29 | 15.33 | |
| ABIOM | 36 | 0.83 | 8.53 | 0.95 | 0.93 | 25.66 | |
| Validation | Yield | 9 | 0.72 | −3.47 | 0.82 | 0.3 | 6.37 |
| LAI | 36 | 0.86 | 7.95 | 0.95 | 0.51 | 21.69 | |
| ABIOM | 36 | 0.90 | −1.21 | 0.97 | 0.82 | 18.11 |
© 2019 by the authors. Licensee MDPI, Basel, Switzerland. This article is an open access article distributed under the terms and conditions of the Creative Commons Attribution (CC BY) license (http://creativecommons.org/licenses/by/4.0/).
Share and Cite
Zhao, J.; Chu, Q.; Shang, M.; Meki, M.N.; Norelli, N.; Jiang, Y.; Yang, Y.; Zang, H.; Zeng, Z.; Jeong, J. Agricultural Policy Environmental eXtender (APEX) Simulation of Spring Peanut Management in the North China Plain. Agronomy 2019, 9, 443. https://doi.org/10.3390/agronomy9080443
Zhao J, Chu Q, Shang M, Meki MN, Norelli N, Jiang Y, Yang Y, Zang H, Zeng Z, Jeong J. Agricultural Policy Environmental eXtender (APEX) Simulation of Spring Peanut Management in the North China Plain. Agronomy. 2019; 9(8):443. https://doi.org/10.3390/agronomy9080443
Chicago/Turabian StyleZhao, Jie, Qingquan Chu, Mengjie Shang, Manyowa N. Meki, Nicole Norelli, Yao Jiang, Yadong Yang, Huadong Zang, Zhaohai Zeng, and Jaehak Jeong. 2019. "Agricultural Policy Environmental eXtender (APEX) Simulation of Spring Peanut Management in the North China Plain" Agronomy 9, no. 8: 443. https://doi.org/10.3390/agronomy9080443
APA StyleZhao, J., Chu, Q., Shang, M., Meki, M. N., Norelli, N., Jiang, Y., Yang, Y., Zang, H., Zeng, Z., & Jeong, J. (2019). Agricultural Policy Environmental eXtender (APEX) Simulation of Spring Peanut Management in the North China Plain. Agronomy, 9(8), 443. https://doi.org/10.3390/agronomy9080443

