Effects of Irrigation Water Sources on Heavy Metal Distribution and Dynamics in Soil–Corn Systems
Abstract
1. Introduction
2. Material and Method
2.1. Experimental Site Description
2.2. Experimental Design and Management Measurements
2.3. Data Collection
2.3.1. Soil Samples
2.3.2. Plant Samples
2.4. Data Analysis
2.4.1. Assessment of Soil Heavy Metal Level
2.4.2. Assessment of Plant Heavy Metal Level
2.4.3. Comprehensive Evaluation of the Impact of Different Irrigation Water Sources on Heavy Metal Content
2.5. Statistical Analysis
3. Results
3.1. Soil Heavy Metals Content Dynamics in Soil Profile for Different Growth Stages
3.2. Analysis of Potential Ecological Hazard Index of Soil Heavy Metals
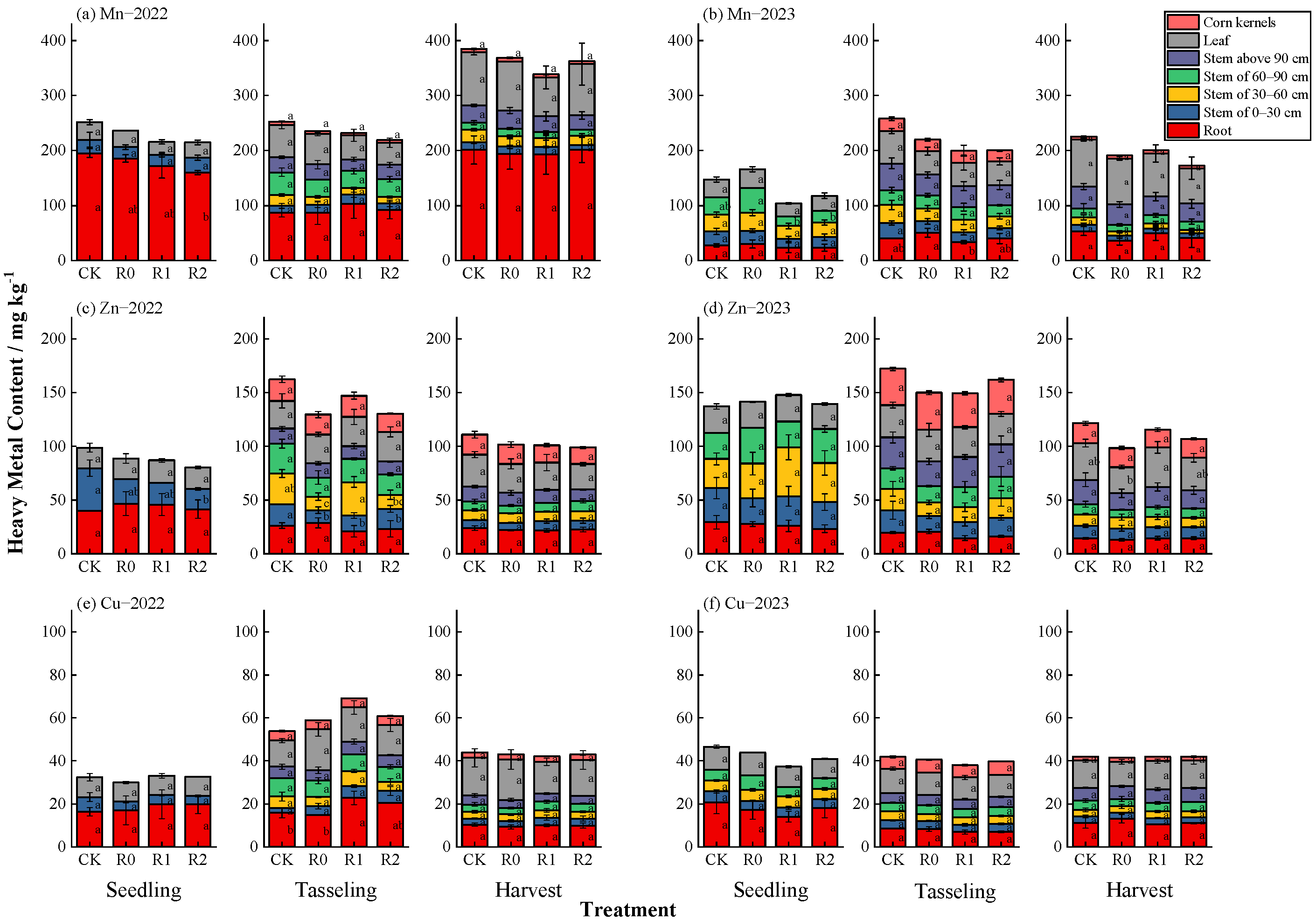
3.3. Heavy Metals Content in Corn Organs
3.4. The Hazard Quotients (HQs) and Combined Hazard Quotient (THQ) of Heavy Metals in Corn Kernels
3.5. Comprehensive Evaluation of the Impact of Different Water Sources on Heavy Metal Content in Soil–Corn System
4. Discussion
4.1. Effect of Different Irrigation Water Sources on Soil Heavy Metal Content
4.2. Effect of Different Irrigation Water Sources on Heavy Metal Content in Corn Organs
5. Conclusions
Author Contributions
Funding
Data Availability Statement
Conflicts of Interest
References
- Wang, J.; Li, Y.; Huang, J.; Yan, T.; Sun, T. Growing water scarcity, food security and government responses in China. Glob. Food Secur. Agric. Policy Econ. Environ. 2017, 14, 9–17. [Google Scholar] [CrossRef]
- Siebert, S.; Burke, J.; Faures, J.M.; Frenken, K.; Hoogeveen, J.; Döll, P.; Portmann, F.T. Groundwater use for irrigation—A global inventory. Hydrol. Earth Syst. Sci. 2010, 14, 1863–1880. [Google Scholar] [CrossRef]
- Osman, H.E.M.; Abdel-Hamed, E.M.W.; Al-Juhani, W.S.M.; Al-Maroai, Y.A.O.; El-Morsy, M.H.E. Bioaccumulation and human health risk assessment of heavy metals in food crops irrigated with freshwater and treated wastewater: A case study in Southern Cairo, Egypt. Environ. Sci. Pollut. Res. 2021, 28, 50217–50229. [Google Scholar] [CrossRef] [PubMed]
- Kazemi Moghaddam, V.; Latifi, P.; Darrudi, R.; Ghaleh Askari, S.; Mohammadi, A.A.; Marufi, N.; Javan, S. Heavy metal contaminated soil, water, and vegetables in northeastern Iran: Potential health risk factors. J. Environ. Health Sci. Eng. 2022, 20, 65–77. [Google Scholar] [CrossRef] [PubMed]
- Liang, X.; Rengasamy, P.; Smernik, R.; Mosley, L.M. Does the high potassium content in recycled winery wastewater used for irrigation pose risks to soil structural stability? Agric. Water Manag. 2021, 243, 106422. [Google Scholar] [CrossRef]
- Sardar, A.; Shahid, M.; Natasha Khalid, S.; Anwar, H.; Tahir, M.; Shah, G.M.; Mubeen, M. Risk assessment of heavy metal(loid)s via Spinacia oleracea ingestion after sewage water irrigation practices in Vehari District. Environ. Sci. Pollut. Res. 2020, 27, 39841–39851. [Google Scholar] [CrossRef]
- UNESCO. United Nations World Water Development Report 2023: Partnerships and Cooperation for Water; UNESCO: Geneva, Switzerland, 2023. [Google Scholar]
- Shemer, H.; Wald, S.; Semiat, R. Challenges and solutions for global water scarcity. Membranes 2023, 13, 612. [Google Scholar] [CrossRef]
- Horswell, J.; Speir, T.W.; van Schaik, A.P. Bio-indicators to assess impacts of heavy metals in land-applied sewage sludge. Soil Biol. Biochem. 2003, 35, 1501–1505. [Google Scholar] [CrossRef]
- Tuo, Y.; Yang, C.; Shen, F. Experimental study on the movement of heavy metal Zn in paddy soil under different irrigation quota of reclaimed water. Sci. Rep. 2020, 10, 10789. [Google Scholar] [CrossRef]
- Chaganti, V.N.; Ganjegunte, G.; Meki, M.N.; Kiniry, J.R.; Niu, G. Switchgrass biomass yield and composition and soil quality as affected by treated wastewater irrigation in an arid environment. Biomass Bioenergy 2021, 151, 106160. [Google Scholar] [CrossRef]
- Naz, A.; Khan, S.; Muhammad, S.; Ahmad, R.; Khalid, S.; Khan, A.; Nazir, R.; Alam, S.; Rahman, Z.U. Risk assessment of hazardous elements in wastewater irrigated soil and cultivated vegetables in Pakistan. Arab. J. Geosci. 2020, 13, 1201. [Google Scholar] [CrossRef]
- Minhas, P.S.; Yadav, R.K.; Lal, K.; Chaturvedi, R.K. Effect of long-term irrigation with wastewater on growth, biomass production and water use by Eucalyptus (Eucalyptus tereticornis Sm.) planted at variable stocking density. Agric. Water Manag. 2015, 152, 151–160. [Google Scholar] [CrossRef]
- Oubane, M.; Khadra, A.; Ezzariai, A.; Kouisni, L.; Hafidi, M. Heavy metal accumulation and genotoxic effect of long-term wastewater irrigated peri-urban agricultural soils in semiarid climate. Sci. Total Environ. 2021, 794, 148611. [Google Scholar] [CrossRef] [PubMed]
- Wang, Z.; Yu, X.; Geng, M.; Wang, Z.; Wang, Q.; Zeng, X. Accumulation of heavy metal in scalp hair of people exposed in Beijing sewage discharge channel sewage irrigation area in Tianjin, China. Environ. Sci. Pollut. Res. 2017, 24, 13741–13748. [Google Scholar] [CrossRef]
- Meng, W.; Wang, Z.; Hu, B.; Wang, Z.; Li, H.; Goodman, R.C. Heavy metals in soil and plants after long-term sewage irrigation at Tianjin China: A case study assessment. Agric. Water Manag. 2016, 171, 153–161. [Google Scholar] [CrossRef]
- Su, R.; Ou, Q.; Wang, H.; Luo, Y.; Dai, X.; Wang, Y.; Chen, Y.; Shi, L. Comparison of phytoremediation potential of nerium indicum with inorganic modifier calcium carbonate and organic modifier mushroom residue to Lead-Zinc tailings. Int. J. Environ. Res. Public Health 2022, 19, 10353. [Google Scholar] [CrossRef]
- Ma, X.; Ren, Q.; Zhan, W.; Zheng, K.; Chen, R.; Wang, Y. Simultaneous stabilization of Pb, Cd, Cu, Zn and Ni in contaminated sediment using modified biochar. J. Soils Sediments 2022, 22, 392–402. [Google Scholar] [CrossRef]
- Wang, Y.; Zheng, K.; Zhan, W.; Huang, L.; Liu, Y.; Li, T.; Yang, Z.; Liao, Q.; Chen, R.; Zhang, C.; et al. Highly effective stabilization of Cd and Cu in two different soils and improvement of soil properties by multiple-modified biochar. Ecotoxicol. Environ. Saf. 2021, 207, 111294. [Google Scholar] [CrossRef]
- Elgallal, M.; Fletcher, L.; Evans, B. Assessment of potential risks associated with chemicals in wastewater used for irrigation in arid and semiarid zones: A review. Agric. Water Manag. 2016, 177, 419–431. [Google Scholar] [CrossRef]
- Becerra-Castro, C.; Lopes, A.R.; Vaz-Moreira, I.; Silva, E.F.; Manaia, C.M.; Nunes, O.C. Wastewater reuse in irrigation: A microbiological perspective on implications in soil fertility and human and environmental health. Environ. Int. 2015, 75, 117–135. [Google Scholar] [CrossRef]
- Lamy, I.; Van Oort, F.; Dère, C.; Baize, D. Use of major- and trace-element correlations to assess metal migration in sandy Luvisols irrigated with wastewater. Eur. J. Soil Sci. 2006, 57, 731–740. [Google Scholar] [CrossRef]
- Ministry of Ecology and Environment of the People’s Republic of China. Soil Environmental Quality Risk Control Standard for Soil Contamination of Agricultural Land (GB 15618-2018); China Environmental Science Press: Beijing, China, 2018. [Google Scholar]
- EPA. Exposure Factors Handbook 2011 Edition (Final Report); National Center for Environmental Assessment: Washington, DC, USA, 2025. [Google Scholar]
- Lei, L.; Liang, D.; Yu, D.; Chen, Y.; Song, W.; Li, J. Human health risk assessment of heavy metals in the irrigated area of Jinghui, Shaanxi, China, in terms of wheat flour consumption. Environ. Monit. Assess. 2015, 187, 647. [Google Scholar] [CrossRef] [PubMed]
- van Schaik, J.W.J.; Kleja, D.B.; Gustafsson, J.P. Acid-base and copper-binding properties of three organic matter fractions isolated from a forest floor soil solution. Geochim. Cosmochim. Acta 2010, 74, 1391–1406. [Google Scholar] [CrossRef]
- Wang, H.M.; Tan, K.; Wu, F.Y.; Chen, Y.; Chen, L.H. Study of the retrieval and adsorption mechanism of soil heavy metals based on spectral absorption characteristics. Spectrosc. Spectr. Anal. 2020, 40, 316–323. [Google Scholar]
- Ma, L.; Zhou, Y.; Wang, A.; Li, Q. A potential heavy metals detoxification system in composting: Biotic and abiotic synergy mediated by shell powder. Bioresour. Technol. 2023, 386, 129576. [Google Scholar] [CrossRef]
- Al-Khamisi, S.A.; Al-Wardy, M.; Ahmed, M.; Prathapar, S.A. Impact of reclaimed water irrigation on soil salinity, hydraulic conductivity, cation exchange capacity and macro-nutrients. J. Agric. Mar. Sci. 2017, 21, 7–18. [Google Scholar] [CrossRef]
- Loures, L.; Gama, J.; Nunes, J.R.; Lopez-Pineiro, A. Assessing the sodium exchange capacity in rainfed and irrigated soils in the mediterranean basin using GIS. Sustainability 2017, 9, 405. [Google Scholar] [CrossRef]
- Jalali, M.; Moradi, F. Competitive sorption of Cd, Cu, Mn, Ni, Pb and Zn in polluted and unpolluted calcareous soils. Environ. Monit. Assess. 2013, 185, 8831–8846. [Google Scholar] [CrossRef]
- Vega, F.A.; Covelo, E.F.; Andrade, M.L.; Marcet, P. Relationships between heavy metals content and soil properties in minesoils. Anal. Chim. Acta 2004, 524, 141–150. [Google Scholar] [CrossRef]
- Yan, H.; Li, H.; Tao, X.; Li, K.; Yang, H.; Li, A.; Xiao, S.; Cheng, R. Rapid Removal and Separation of Iron (II) and Manganese (II) from Micropolluted Water Using Magnetic Graphene Oxide. ACS Appl. Mater. Interfaces 2014, 6, 9871–9880. [Google Scholar] [CrossRef]
- Zhang, Y.; Zhang, L.; Pan, X.; Cheng, Y.; Liu, L.; Wang, H.; Han, L.; Lin, Z. Rapid and selective removal of trace as (III) from water using Fe-Mn binary oxide. Sci. Total Environ. 2024, 907, 167876. [Google Scholar] [CrossRef]
- Wang, Z.; Liu, W.; Zhang, C.; Liu, X.; Liang, X.; Liu, R.; Zhao, Y. Mechanisms of S cooperating with Fe and Mn to regulate the conversion of Cd and Cu during soil redox process revealed by LDHs-DGT technology. Sci. Total Environ. 2023, 867, 161431. [Google Scholar] [CrossRef] [PubMed]
- Asgari, K.; Cornelis, W.M. Heavy metal accumulation in soils and grains, and health risks associated with use of treated municipal wastewater in subsurface drip irrigation. Environ. Monit. Assess. 2015, 187, 410. [Google Scholar] [CrossRef] [PubMed]
- Alkhamisi, S.A.; Abdelrahman, H.A.; Ahmed, M.; Goosen, M.F.A. Assessment of reclaimed water irrigation on growth, yield, and water-use efficiency of forage crops. Appl. Water Sci. 2011, 1, 57–65. [Google Scholar] [CrossRef]
- Zhang, S.; Yao, H.; Lu, Y.; Shan, D.; Yu, X. Reclaimed water irrigation effect on agricultural soil and maize (Zea mays L.) in Northern China. Clean Soil Air Water 2018, 46, 1800037. [Google Scholar] [CrossRef]
- Gavrilescu, M. Water, soil, and plants interactions in a threatened environment. Water 2021, 13, 2746. [Google Scholar] [CrossRef]
- Seleiman, M.F.; Al-Suhaibani, N.; El-Hendawy, S.; Abdella, K.; Alotaibi, M.; Alderfasi, A. Impacts of long-and short-Term of irrigation with treated wastewater and synthetic fertilizers on the growth, biomass, heavy metal content, and energy traits of three potential bioenergy crops in arid regions. Energies 2021, 14, 3037. [Google Scholar] [CrossRef]
- Dinu, C.; Vasile, G.G.; Buleandra, M.; Popa, D.E.; Gheorghe, S.; Ungureanu, E.-M. Translocation accumulation of heavy metals in Ocimum basilicum L. plants grown in a mining-contaminated soil. J. Soils Sediments 2020, 20, 2141–2154. [Google Scholar] [CrossRef]
- Geng, G.Q.; Fan, Y.Q.; Shen, L.X.; Li, G.Y.; Hu, J.J.; Wang, D.; Ruan, W.G. Effects of irrigation with different water sources on the migration and accumulation of Pb Ni Cr pollutants in corn fields. Water Sav. Irrig. 2024, 68–76. [Google Scholar] [CrossRef]
- Wang, M.; Zou, J.; Duan, X.; Jiang, W.; Liu, D. Cadmium accumulation and its effects on metal uptake in maize (Zea mays L.). Bioresour. Technol. 2007, 98, 82–88. [Google Scholar] [CrossRef]
- Akhtar, T.; Zia-Ur-Rehman, M.; Naeem, A.; Nawaz, R.; Ali, S.; Murtaza, G.; Maqsood, M.A.; Azhar, M.; Khalid, H.; Rizwan, M. Photosynthesis and growth response of maize (Zea mays L.) hybrids exposed to cadmium stress. Environ. Sci. Pollut. Res. 2017, 24, 5521–5529. [Google Scholar] [CrossRef]
- Luo, Y.; Rimmer, D.L. Zinc-copper interaction affecting plant growth on a metal-contaminated soil. Environ. Pollut. 1995, 88, 79–83. [Google Scholar] [CrossRef]
- Liščáková, P.; Nawaz, A.; Molnárová, M. Reciprocal effects of copper and zinc in plants. Int. J. Environ. Sci. Technol. 2022, 19, 9297–9312. [Google Scholar] [CrossRef]
- Pinto, E.; Aguiar, A.A.R.M.; Ferreira, I.M.P.L.V.O. Influence of Soil Chemistry and Plant Physiology in the Phytoremediation of Cu, Mn, and Zn. Crit. Rev. Plant Sci. 2014, 33, 351–373. [Google Scholar] [CrossRef]
- Xu, D.; Shen, Z.; Dou, C.; Dou, Z.; Li, Y.; Gao, Y.; Sun, Q. Effects of soil properties on heavy metal bioavailability and accumulation in crop grains under different farmland use patterns. Sci. Rep. 2022, 12, 9211. [Google Scholar] [CrossRef]





| Depth (cm) | Density (g cm−3) | Available Phosphorus (mg kg−1) | Available Potassium (mg kg−1) | Organic Matter (g kg−1) | Mn Content (mg kg−1) | Zn Content (mg kg−1) | Cu Content (mg kg−1) |
|---|---|---|---|---|---|---|---|
| 10 | 1.32 ± 0.02 | 77.0 ± 3.4 | 383.3 ± 90.7 | 20.9 ± 2.0 | 340.1 ± 10.5 | 677.1 ± 76.0 | 7.2 ± 0.5 |
| 15 | 1.64 ± 0.04 | 80.9 ± 3.9 | 380.0 ± 62.4 | 21.2 ± 1.4 | 354.2 ± 12.5 | 677.1 ± 76.0 | 5.9 ± 1.6 |
| 20 | 1.62 ± 0.01 | 76.5 ± 16.4 | 376.7 ± 90.2 | 24.8 ± 3.2 | 353.3 ± 35.2 | 560.2 ± 71.9 | 5.8 ± 0.1 |
| 40 | 1.41 ± 0.01 | 44.8 ± 19.5 | 236.7 ± 32.2 | 16.1 ± 3.9 | 366.9 ± 52.6 | 378.5 ± 66.4 | 5.3 ± 0.2 |
| 70 | 1.42 ± 0.01 | 17.7 ± 8.8 | 180.0 ± 43.6 | 14.7 ± 7.3 | 369.9 ± 52.6 | 485.0 ± 0.0 | 6.1 ± 2.5 |
| 100 | 1.43 ± 0.03 | 15.3 ± 1.7 | 140.0 ± 70.0 | 5.2 ± 2.3 | 319.3 ± 25.6 | 515.7 ± 0.0 | 3.2 ± 0.9 |
| 150 | 1.43 ± 0.03 | 17.0 ± 7.1 | 136.7 ± 5.8 | 5.1 ± 3.7 | 338.0 ± 38.6 | 589.3 ± 67.0 | 1.8 ± 0.0 |
| 200 | 1.37 ± 0.05 | 19.8 ± 5.6 | 183.3 ± 58.6 | 7.7 ± 4.6 | 337.7 ± 41.5 | 453.7 ± 98.6 | 3.9 ± 0.7 |
| Year | Treatment | pH | EC (mS cm−1) | TDS (ppm) | Mn Content (mg L−1) | Zn Content (mg L−1) | Cu Content (mg L−1) |
|---|---|---|---|---|---|---|---|
| 2022 | CK | 7.3 | 7.8 | 228 | 4.6 × 10−3 | 5.4 × 10−3 | 0.2 × 10−3 |
| R0 | 7.7 | 8.8 | 417 | 5.6 × 10−3 | 8.5 × 10−3 | 0.8 × 10−3 | |
| R1 | 7.9 | 12.7 | 667 | 6.5 × 10−3 | 9.5 × 10−3 | 0.9 × 10−3 | |
| R2 | 8.2 | 13.4 | 711 | 7.5 × 10−3 | 10.5 × 10−3 | 1.0 × 10−3 | |
| 2023 | CK | 8.2 | 1.3 × 10−3 | 659 | 4.6 × 10−3 | 5.4 × 10−3 | 0.2 × 10−3 |
| R0 | 8.1 | 1.2 × 10−3 | 640 | 9.7 × 10−3 | 8.8 × 10−3 | 1.9 × 10−3 | |
| R1 | 8.1 | 1.2 × 10−3 | 677 | 7.1 × 10−3 | 7.8 × 10−3 | 1.0 × 10−3 | |
| R2 | 8.1 | 1.3 × 10−3 | 705 | 7.1 × 10−3 | 14.8 × 10−3 | 1.6 × 10−3 |
| Treatment | Mn (mg kg−1) | Zn (mg kg−1) | Cu (mg kg−1) |
|---|---|---|---|
| CK | 45.9 ± 1.2 a | 23.6 ± 2.5 a | 9.7 ± 2.3 a |
| R0 | 42.1 ± 1.0 ab | 20.1 ± 1.6 a | 8.0 ± 0.4 a |
| R1 | 37.2 ± 2.9 b | 20.9 ± 1.9 a | 9.1 ± 1.9 a |
| R2 | 37.9 ± 2.7 b | 20.0 ± 1.0 a | 7.9 ± 0.5 a |
| TOPSIS | RSR | |||||||
|---|---|---|---|---|---|---|---|---|
| Treatment | Relative Proximity C | Rank | Probit | Model | R2 | p | RSR | Rank |
| CK | 0.51 | 2 | 5.7 | Y = 0.451 + 0.032 × Probit | 0.952 | 0.016 ** | 0.64 | 2 |
| R0 | 0.45 | 4 | 4.3 | 0.59 | 4 | |||
| R1 | 0.54 | 1 | 6.5 | 0.66 | 1 | |||
| R2 | 0.49 | 3 | 5.0 | 0.61 | 3 | |||
Disclaimer/Publisher’s Note: The statements, opinions and data contained in all publications are solely those of the individual author(s) and contributor(s) and not of MDPI and/or the editor(s). MDPI and/or the editor(s) disclaim responsibility for any injury to people or property resulting from any ideas, methods, instructions or products referred to in the content. |
© 2026 by the authors. Licensee MDPI, Basel, Switzerland. This article is an open access article distributed under the terms and conditions of the Creative Commons Attribution (CC BY) license.
Share and Cite
Fan, Y.; Zheng, F.; Geng, G.; Hu, J.; Wu, Y.; Jia, Y.; Liu, R.; Fan, G.; Shen, L. Effects of Irrigation Water Sources on Heavy Metal Distribution and Dynamics in Soil–Corn Systems. Agronomy 2026, 16, 438. https://doi.org/10.3390/agronomy16040438
Fan Y, Zheng F, Geng G, Hu J, Wu Y, Jia Y, Liu R, Fan G, Shen L. Effects of Irrigation Water Sources on Heavy Metal Distribution and Dynamics in Soil–Corn Systems. Agronomy. 2026; 16(4):438. https://doi.org/10.3390/agronomy16040438
Chicago/Turabian StyleFan, Yaqiong, Feifan Zheng, Guoqiang Geng, Jingjuan Hu, Yajuan Wu, Yamin Jia, Ronghao Liu, Guisheng Fan, and Lixia Shen. 2026. "Effects of Irrigation Water Sources on Heavy Metal Distribution and Dynamics in Soil–Corn Systems" Agronomy 16, no. 4: 438. https://doi.org/10.3390/agronomy16040438
APA StyleFan, Y., Zheng, F., Geng, G., Hu, J., Wu, Y., Jia, Y., Liu, R., Fan, G., & Shen, L. (2026). Effects of Irrigation Water Sources on Heavy Metal Distribution and Dynamics in Soil–Corn Systems. Agronomy, 16(4), 438. https://doi.org/10.3390/agronomy16040438
