Next Article in Journal
Incidence of the Two-Spotted Cotton Leafhopper (Hemiptera: Cicadellidae) Infesting Hibiscus syriacus in Ornamentals
Previous Article in Journal
Construction of a Prediction Model for Functional Traits of Grape Leaves Based on Multi-Stage Collaborative Optimization
 
 
Font Type:
Arial Georgia Verdana
Font Size:
Aa Aa Aa
Line Spacing:
Column Width:
Background:
Article

A Comprehensive Evaluation of High Air Temperature and Low Light Based on Tomato Development and Water Use

1
Horticultural and Landscape Architecture College, Tianjin Agricultural University, Tianjin 300384, China
2
Intelligent Equipment Technology Research Center, Beijing Academy of Agriculture and Forestry Sciences, Beijing 100097, China
*
Authors to whom correspondence should be addressed.
Agronomy 2026, 16(1), 31; https://doi.org/10.3390/agronomy16010031
Submission received: 8 November 2025 / Revised: 17 December 2025 / Accepted: 19 December 2025 / Published: 22 December 2025
(This article belongs to the Section Water Use and Irrigation)

Abstract

This study investigated the combined effects of high air temperature and low light intensity on the growth, quality, yield, and water use efficiency (WUE) of greenhouse tomato. A full factorial design was employed to simulate the dynamic air temperature and light intensity of a greenhouse in the controlled environment chambers. Three air temperature levels (control: 25/15 °C, moderately high: 30/20 °C, and high: 33/23 °C, day/night) and three light levels (low: 400, medium-low: 600, and normal: 800 μmol·m−2·s−1) were established. A comprehensive assessment approach that integrated linear weighting, TOPSIS, and GRA was employed. A multiple regression model was developed to quantify the temperature–light combined effect. Elevated air temperatures accelerated the flowering, fruit-setting, and veraison periods, and improved fruit brightness and chroma, but severely reduced yield by 13.9% for each 1 °C increase, while increasing water consumption. Yield and WUE declined by 5.0 and 3.5%, respectively, for every 50 μmol·m−2·s−1 decrease in light. Combined effects were observed: moderately high temperature and low light intensity (30/20 °C, 400 μmol·m−2·s−1) promoted lycopene accumulation; moderately high temperature and normal light (30/20 °C, 800 μmol·m−2·s−1) maximized the sugar–acid ratio and vitamin C (VC) content; and high temperature and low light (33/23 °C, 400 μmol·m−2·s−1) optimized fruit brightness and chroma. Furthermore, each simultaneous 1 °C temperature increase and 50 μmol·m−2·s−1 light decrease resulted in a 14.4% yield reduction and 15.0% WUE decline. Quantitative analysis results indicate that air temperature exerts the most influence on tomato growth; however, the combined effect of high air temperature and low light intensity is less than the individual effects of each factor. These findings provide a basis for environmental regulation in protected tomato cultivation.

1. Introduction

Tomato (Solanum lycopersicum L., Solanaceae), native to the Andes of South America, is valued for its nutritional and flavor, and is widely cultivated in facility environments [1,2]. Facility cultivation offers strong controllability of growing conditions, stable product quality, and high resilience [3]. However, in northern China, facilities often suffer from high air temperature and low-light conditions, which constrain tomato production.
Substantial research has reported that high air temperature is one of the most detrimental environmental factors affecting vegetable production [4,5,6]. The daily air temperature range of 18–25 °C is considered optimal for tomato growth. Exceeding this range adversely affects plant growth and reproduction [7,8]. The most direct effect is the impairment of pollen viability, which subsequently leads to a sharp decline in fruit yield [9,10]. Similarly, low light intensity exerts significant effects on tomatoes. Numerous studies have demonstrated that low light intensity induces excessive growth in plants, poor fruit development, and even abscission. Additionally, it reduces fruit soluble solids, soluble sugars, and vitamin C content [11,12,13,14,15].
In practical applications, high air temperatures and low light intensity often occur simultaneously. For instance, Beijing, China has a temperate monsoon climate, with high air temperatures and rainy summers, leading to high air temperatures and low light indoors. Additionally, shade nets are often used in greenhouses to mitigate high temperatures. However, indoor radiation levels may be reduced, resulting in a high air temperature and low light intensity combined climate [16]. Therefore, investigating the combined effects of high air temperature and low light intensity on tomato is essential. Preliminary studies have shown that a mean daily air temperature exceeding 28 °C combined with a light intensity of 200 μmol·m−2·s−1 simultaneously inhibits tomato respiration, photosynthesis, and carbon metabolism. It also restricts floral bud differentiation and reduces fruit set [17]. To further strengthen the understanding of this stress environment, comprehensive investigations into multiple indices are necessary. Such studies should include phenological development to clarify its effects on tomato growth traits [18,19]; assessments of both external and internal fruit quality to determine its impacts on tomato nutritional value [20,21]; measurement of fruit yield to assess its impacts on tomato economic value; and evaluation of water consumption to reveal its effects on water demand and use efficiency, which is particularly critical under current water scarcity conditions [22,23]. At present, research addressing the effects of high air temperature and low light intensity on tomato remains scarce, and the evaluation of tomato growth indicators is insufficient.
Different indices exhibit variable responses to environmental conditions [24]; applying weighting for multiple indices is necessary. Several evaluation methods have been applied to crop growth assessment. For instance, the linear weighting method has been utilized to reflect the importance of each index, and the evaluation results can be directly linked to these indices, clarifying their individual contributions to the final score [25]. The technique for order preference by similarity to ideal solution (TOPSIS) constructs positive-ideal and negative-ideal solutions, calculating closeness to the ideal to balance conflicting criteria, such as yield and water consumption, thus achieving a balanced evaluation [26]. Grey relational analysis (GRA) uses the optimal reference sequence as a benchmark and computes the similarity of curves, mitigating the impact of outstanding performance or outliers on individual indices [27]. Due to differences in mechanisms and observational perspectives, results from single evaluation methods may exhibit bias and inherent limitations when assessing objective facts [28]. Therefore, employing comprehensive assessment approaches can effectively offset the limitations of single methods, rendering assessment results more scientific and objective; this approach has already gained widespread application [29].
To quantify the effects of high air temperature and low light intensity in greenhouses on tomato growth, this study was conducted in controlled environment chambers. These chambers can precisely regulate climatic factors, enabling accurate simulation of greenhouse climate conditions. Developmental process, chroma, soluble solid content, yield, and water consumption were comprehensively measured in order to evaluate the combined impact of high air temperature and low light stress on tomato plants. To enhance the objectivity and scientificity of the assessment, a comprehensive assessment approach that integrated linear weighting, TOPSIS, and GRA was employed. Additionally, to quantify the relationships between tomato growth indicators and environmental variables, a multiple regression model was developed. This study provides insights into the effects of high air temperature and low light on tomato growth and contributes to the improvement of future greenhouse environmental control strategies.

2. Materials and Methods

2.1. Experimental Site and Environment

This experiment was conducted in the controlled environment chambers at the Intelligent Equipment Technology Research Center of Beijing Academy of Agriculture and Forestry Sciences, located at 39°56′ N, 116°16′ E. The controlled environment growth chambers (Grandcool Artificial Environment Co., Beijing, China) adopt a composite nested structure, which is composed of an outer sealed chamber body and an internal independent circulation system. A perforated wall ventilation system is used to ensure uniform distribution of indoor temperature and humidity. The indoor light environment is provided by a set of liftable Full Spectrum Grow Light LEDs (model: ZK3-TL300-CS1/A). The spectrum mainly comprises red (peak at 660 nm) and blue (peak at 450 nm) wavelengths with a 3:1 ratio. All LED lights used in the experiment shared identical spectral profiles and were maintained at a constant height of 30 cm above the plant canopy throughout the trial. PAR was calibrated at the canopy level using a LI-250A Light Meter. The experimental setup is illustrated in Figure 1.

2.2. Experimental Design

This study employed a completely randomized design with nine treatments, each replicated three times, resulting in twenty-seven experimental units. The experimental treatments are listed in Table 1. The experiment included two factors: temperature and light. Light is represented by photosynthetically active radiation (PAR), which is the visible light spectrum that can be absorbed and utilized by plants for photosynthesis, serving as a core indicator for assessing the energy supply for plant photosynthesis. PAR is quantified as photosynthetic photon flux density (PPFD) [30]. The chambers simulated the diurnal variation of a 24 h greenhouse environment. Starting from 06:00, the temperature was programmed to rise gradually from its daily minimum, peak at 12:00, hold constant for 4 h, and then gradually decrease. The temperature levels were as follows:
The control temperature (T1: 25/15 °C) had an average day/night temperature of 25 ± 2/15 ± 2 °C, with a daily maximum of 27 °C and a daily minimum of 13 °C. Moderately high temperature (T2: 30/20 °C) had an average day/night temperature of 30 ± 2/20 ± 2 °C, with a daily maximum of 32 °C and a daily minimum of 18 °C. High temperature (T3: 30/20 °C) had an average day/night temperature of 35 ± 2/25 ± 2 °C, with a daily maximum of 37 °C and a daily minimum of 23 °C. However, poor fruit set was observed in T3 during preliminary trials; therefore, the temperature of T3 was reduced by 2 °C after 40 days of transplanting, resulting in adjusted conditions: a day/night temperature of 33 ± 2/23 ± 2 °C, a daily maximum temperature of 35 °C, and a daily minimum temperature of 21 °C. To comprehensively characterize the cumulative heat accumulation throughout the entire experimental process, this study summed the daily average temperatures across all stages and divided them by the total number of growing days. This yielded an average temperature of 29 °C for the entire growing period, which was used as the basis for analysis. The PAR was programmed to simulate a 24 h greenhouse photoperiod. The light was set from 08:00, with PAR increasing from its daily minimum to a maximum at 10:00. This peak level was sustained until 17:00, after which the PAR decreased hourly until reaching complete darkness at 20:00, which was maintained throughout the night. Three PAR gradients were established under a 12 h photoperiod: For normal PAR (L1), the average light intensity was 800 μmol·m−2·s−1, with a daily maximum of 900 μmol·m−2·s−1 and a daily minimum of 450 μmol·m−2·s−1. For medium-low PAR (L2), the average light intensity was 600 μmol·m−2·s−1, with a daily maximum of 700 μmol·m−2·s−1 and a daily minimum of 250 μmol·m−2·s−1. For low PAR (L3), the average light intensity was 400 μmol·m−2·s−1, with a daily maximum of 500 μmol·m−2·s−1 and a daily minimum of 150 μmol·m−2·s−1. Environmental changes are shown in Figure 2.

2.3. Experimental Materials and Cultivation Management

The experiment used the tomato hybrid ‘Zhongza 1721’, an indeterminate cultivar developed by the Institute of Vegetables and Flowers, the Chinese Academy of Agricultural Sciences. This medium-early maturing cultivar exhibits vigorous growth, moderately sized leaves, and strong environmental adaptability. The mature fruits are pink, uniform in size, and round to oblate in shape, with high firmness. The trial utilized rockwool cultivation, with transplanting conducted after the flowering of the first inflorescence. The planting density was 2.5 plants·m−2. A spacing of 0.5 m between plants within rows was maintained, with 1.6 m between rows. Each climate chamber covered an area of 25 m2. After the seedlings had adapted for 10 days, the environmental parameters were set. Irrigation was applied using the Yamazaki nutrient solution formula via drip irrigation [31].
The primary nutrients in this formulation are shown in Table 2.
All treatments employed identical drip irrigation volumes, with irrigation concentrations adjusted based on EC values. The EC was 2.3 mS/cm during the seedling stage and increased by 0.3 mS/cm for each inflorescence that developed. Irrigation was applied in a timely manner and in appropriate amounts, with the drainage volume kept at 15–20% of the irrigation volume. Other conditions in the climate chamber were maintained constant: air humidity at 60 ± 5% and the CO2 concentration at 400 ± 50 ppm. Routine plant management was performed weekly, including pinching, trellising, and pollination. Flowers and fruits were thinned in a timely manner according to plant development. The standard of flower and fruit thinning was to retain 3 fruits on the first inflorescence, and 4 fruits on each subsequent inflorescence. Cultivation was terminated when the plant produced its 11th inflorescence, and the top was pinched off after retaining the three leaves above it.

2.4. Measurement Items and Methods

2.4.1. Development Process

The developmental stages of all the plants in each replicate were observed daily, and the flowering, fruit-setting, and veraison periods of each inflorescence in every plant were recorded. The number of flowers and fruits was counted. The flowering date for an inflorescence was determined when 50% of its flowers had opened. Similarly, the fruit set and veraison dates were recorded when 50% of the fruits had set or reached the veraison stage, respectively. The flowering, fruit-setting, and veraison periods of plants under the T1L1 treatment (25/15 °C, 800 μmol·m−2·s−1) served as the standard.

2.4.2. Fruit Morphology and Coloration

For each treatment, two fruits of the same maturity from the third inflorescence were selected per replicate, resulting in a total of six fruits measured. The chroma (C*) and fruit shape index were measured for each fruit individually. Chroma was measured using a colorimeter (model: YS3010, Shenzhen, China) [32], which provided the values for lightness (L*), red–green (a*), and yellow–blue (b*). An L* value of 50 represents neutral gray; positive and negative a* values indicate red and green, respectively; and positive and negative b* values indicate yellow and blue. C*, which represents color intensity, was calculated as follows. A higher C* value indicates a more intense red coloration. C* was calculated according to Equation (1).
C * = a * 2 + b * 2
Fruit horizontal and vertical diameters were measured using a vernier caliper, and the fruit shape index was calculated in accordance with the “Tomato Germplasm Resource Description Specification and Data Standard” [33]. The fruit shape index was calculated according to Equation (2).
F r u i t   S h a p e   I n d e x = V e r t i c a l   D i a m e t e r H o r i z o n t a l   D i a m e t e r

2.4.3. Quality Traits

To analyze fruit quality traits, fruits from specific inflorescences were sampled. Specifically, the third inflorescence was used for soluble solids content determination, and the fourth for analyzing soluble sugars, titratable acidity, VC, and lycopene. For each treatment, a total of 6–9 fruits were measured, with 2–3 fruits of the same maturity selected across different plants per replicate. The soluble solids content was measured by a handheld digital refractometer (ATAGO CO., Tokyo, Japan) [34]. Measurements were taken directly from the instrument display after applying the extracted fruit juice to the prism. The soluble sugar content was quantified according to the Chinese standard NY/T 1278-2007 [35] using the copper reduction iodometric method. This method is based on the reduction of Cu2+ in Fehling’s reagent by sugars, with the sugar content calculated by titrating the residual iodine. Titratable acidity was measured by titrating fruit juice with a standard sodium hydroxide solution (0.1 N) using phenolphthalein as an indicator until a persistent pink endpoint appeared [36]. The results were expressed as a percentage of citric acid. The vitamin C (VC) content was determined by the 2,6-dichloroindophenol method [37], which relies on VC reducing the dye until a pink endpoint persists, with the concentration calculated based on dye consumption. Lycopene was quantified by high-performance liquid chromatography (HPLC) [38] equipped with a C18 column and a detector set at 472 nm, by comparing the peak area with that of a standard. The sugar–acid ratio was calculated from the values of soluble sugar content and titratable acidity.

2.4.4. Yield

As fruits reached maturity, the number of fruits per inflorescence and the yield per plant were recorded for each treatment.

2.4.5. Water Consumption and Water Use Efficiency

The irrigation and drainage volumes were measured daily. Wp represents plant water consumption, calculated according to Equation (3).
W p = G m G c
where Wp is the water consumption per plant (mL); Gm is the irrigation amount (mL); and Gc is the drainage volume (mL).
Water use efficiency (WUE) was calculated according to Equation (4).
W U E = Y i e l d W p
where WUE is water use efficiency (kg·m−3); Yield is the fruits’ weight per plant (kg·plant−1); and Wp is the plant water consumption (m3·plant−1).

2.5. Comprehensive Evaluation

In this experiment, the evaluation criteria included the tomato development rate, chroma, soluble solids content, yield per plant, total water consumption per plant, and WUE. The objective weights (ωj) of these indicators were determined using the entropy weight method [39]. Subsequently, a comprehensive evaluation was performed by integrating the technique for order preference by similarity to ideal solution (TOPSIS), the linear weighting method, and grey relational analysis (GRA). The specific steps for each method are as follows:
  • Entropy Weight Method
(1)
Data standardization: Due to different dimensions of each index, the raw data were standardized according to Equations (5) and (6).
Positive indicators:
x i j = x i j m i n ( x i j ) m a x ( x i j ) m i n ( x i j ) ,   ( i   =   1 , 2 , , m ;   j   =   1 , 2 , , n )
Negative indicators:
x i j = m a x ( x i j ) x i j m a x ( x i j ) m i n ( x i j ) ,   ( i   =   1 , 2 , , m ;   j   =   1 , 2 , , n )
where x i j is the original data set; x i j is the standardized data set; m is the total number of samples; and n is the total number of indices.
(2)
e j represents the information entropy of each index, which was calculated according to Equation (7).
e j = 1 l n ( m ) i = 1 m p i j · l n ( p i j ) ,   ( j   =   1 , 2 , , n )
where e j is the information entropy of the j-th index, with a range of [0,1] ( e j = 0 indicates maximum data dispersion and the highest information content; e j = 1 means that all sample values of the index are identical, providing no useful information). p i j is the proportion of the i-th sample under the j-th index, which corresponds to the normalized value of the standardized data.
(3)
ω j represents the index weight, which was calculated by Equation (8).
ω j = g j j 1 n g j ,   ( j   =   1 , 2 , , n )
where g j is the difference coefficient of the j-th index, reflecting the effective information content of the index; ω j is the final weight of the j-th index, and the value range is [0,1].
2.
TOPSIS
The original dataset was first normalized. The maximum and minimum values from the normalized data were defined as positive and negative ideal solutions, respectively. The distances D+ and D of each evaluation object from these ideal solutions were then calculated. C i represents the evaluation object score, which was calculated by Equation (9) [40].
C i = D i D i + D i +
3.
Linear Weighting Method
The original indices were standardized, and the weight coefficient of each evaluation index was determined [41]. S i represents the comprehensive evaluation value, which was calculated by Equation (10).
S i = j = i m ω j y i j
where ω j is the index weight, and y i j is the standardized value of the j-th index in the i-th sample.
4.
GRA
Firstly, the reference sequence was constructed with the optimal value of each index, and the data were non-dimensionalized. Subsequently, the correlation coefficient of each index was calculated according to Equation (11), and finally, the comprehensive correlation degree was obtained by weighted summation of the formula. The grey relational grade was calculated by Equations (11) and (12) [42].
G R C = D m i n + ρ · D m a x D + ρ · D m a x
G R G = k = 1 n ω k · G R C k
where G R C is the grey correlation coefficient; D m i n is the second-order minimum difference, reflecting the minimum difference between sequences. D m a x is the second-order maximum difference, reflecting the maximum difference between sequences. ρ is the resolution coefficient, usually ρ = 0.5. D is the current absolute difference.
GRG is the grey correlation degree; n is the total number of samples; ωk is the weight of the k−th sample; and GRCk is the grey correlation coefficient of the k−th sample point.
5.
Comprehensive Assessment
The results from the three evaluation methods were standardized, and their weights were calculated by the entropy weight method. Z i represents the comprehensive evaluation score, which was calculated by Equation (13).
Z i = ω T × C i + ω s × S i + ω G × G i
where ωT and Ci are the weight and comprehensive evaluation score of the TOPSIS method, respectively. ωS and Si are the weights and comprehensive evaluation scores of the linear weighting method; ωG and Gi are the weights and comprehensive evaluation scores of the GRA method, respectively.
6.
Effect size and 95% CI
The 95% CI was used to assess the uncertainty of the regression coefficient estimates and was calculated by Equation (14) [43].
95 %   C I = β ¯ j ± t 0.975 , d f × S E ( β ¯ j )
where t(0.975,df) is the critical value of the t-distribution with df degrees of freedom at the 97.5% percentile, and SE(βj) denotes the standard error of the coefficient. If the confidence interval does not contain zero, it indicates that the coefficient is statistically significant at the α = 0.05 level.
To quantify the effects of different temperature and PAR treatments on various tomato growth indicators and compare their relative importance, this study employed standardized regression coefficients as effect size measures. Standardized regression coefficients eliminate dimensionality, uniformly expressing the influence of independent variables on dependent variables as changes in standard deviation, thereby enabling comparisons of effect magnitudes across different independent variables. The standardized regression coefficients were calculated by Equation (15).
β s t d = β × S D x S D y
where βstd represents the standardized regression coefficient, which is the original regression coefficient of the independent variable, the sample standard deviation of the independent variable, and the sample standard deviation of the dependent variable. Referring to the criteria proposed by Cohen (1988) [44], the standards for the standardized regression coefficient are as follows: |βstd| < 0.1 indicates a negligible small effect; 0.1 ≤ |βstd| < 0.3 indicates a small effect; 0.3 ≤ |βstd|<0.5 indicates a moderate effect; and |βstd| ≥ 0.5 indicates a large effect.

2.6. Model Validation

To assess the model‘s reliability, the complete dataset was first randomized and then divided into a training set (70%) for model fitting and an independent validation set (30%) for verification. The model’s goodness of fit was then assessed using the coefficient of determination (R2), root mean square error (RMSE), and standard deviation (SD) [45].
R2 measures the proportion of variance in the dependent variable explained by the model and was calculated by Equation (16).
R 2 = 1 S S r e s S S t o t = 1 i = 1 m ( y i y ^ i ) 2 i = 1 m ( y i y ¯ ) 2
where yi represents the actual observed value, y ¯ i denotes the model-fitted value, y ¯ is the mean of the observed values, and n is the sample size. SSres is the sum of squares of residuals, and SStot is the total sum of squares.
The RMSE is the standard deviation of the model-fitted residuals, reflecting the fitting accuracy. It was calculated by Equation (17).
R M S E = 1 m i = 1 m ( y i y ^ i ) 2
SD was employed to assess the stability and statistical significance of model estimates [46]. SD was used to describe the dispersion of validation set composite scores and was calculated by Equation (18).
S D = 1 m v a l 1 i = 1 m v a l ( y v a l , i y ¯ v a l ) 2
where yval,i denotes the composite score of the i-th sample in the validation set, y ¯ v a l represents the mean score of the validation set, and mval indicates the sample size of the validation set.

2.7. Statistical Analysis

Data organization was performed using Microsoft Excel. Statistical analysis was performed with SPSS Statistics 27. Significant differences among treatments were assessed by one-way ANOVA followed by Duncan’s test (p < 0.05). Relevant figures were plotted using Origin 2024.

3. Results

3.1. Effects of Different Temperatures and PAR Coupling on Tomato Development Process

The timing of flowering, fruit setting, and veraison under the T1L1 treatment (25/15 °C, 800 μmol·m−2·s−1) was used as a reference and set to 0 in Table 2. For other treatments, deviations from this standard were recorded as −1 for one day earlier and +1 for one day later.
As shown in Table 3, a significant interaction effect between temperature and PAR was observed on tomato development timing. Within the experimental range, flowering was accelerated by 0.23 days per 1 °C temperature rise, but was delayed by 0.60 days per 50 μmol·m−2·s−1 reduction in the PAR. When these factors were combined (a 1 °C temperature increase with a 50 μmol·m−2·s−1 PAR decrease), a net advancement of 0.04 days in flowering was still observed. This indicates that the promotive effect of high temperature on flowering is partially offset by low PAR, with temperature being the dominant factor in this interaction.
A similar trend was observed for the fruit-setting period. Fruit setting was advanced by 0.23 days with a 1 °C temperature rise and delayed by 0.81 days with a 50 μmol·m−2·s−1 PAR reduction, still resulting in a negligible advance despite the combined stress. Notably, the fruit setting rate at the T3 level was significantly reduced, and this reduction was more severe under low PAR. This suggests that exposure to temperatures beyond a critical threshold led to critical impairment in tomato development.
The response to temperature and PAR changes was the most intense during the veraison period. The veraison period was advanced by approximately 3.13 days with a 1 °C temperature increase. A PAR decrease generally delayed veraison, with a delay of approximately 0.69 days per 50 μmol·m−2·s−1 decrease in PAR. Nevertheless, a net advance of approximately 1.41 days was still exhibited under their combined effect.
Overall, high temperature and low PAR exerted opposing influences on developmental timing. Under their combined effect, temperature remained the dominant factor, and its effect accumulated as development progressed. This effect gradually intensified from flowering to the veraison period, ultimately leading to a significant advance in fruit maturity and a shortening of the overall development cycle.

3.2. Effects of Different Temperatures and PAR Coupling on Apparent Characteristics of Tomato Fruits

According to the “Tomato Germplasm Resources Descriptors and Data Standard”, fruits were classified as oblate (fruit shape index was <0.85), round (index: 0.85–1.0), or oblong (index: 1.0–2.0).
As shown in Table 4, fruit shape was primarily regulated by temperature. An increase in temperature significantly elevated the L* and C* of the fruit, promoting a shift in fruit shape from oblate to round. Meanwhile, PAR had no significant effect on the fruit shape index but had a very significant effect on C*, with its impact varying by temperature level, showing a complex temperature–PAR interaction. At the T1 temperature level, low PAR increased C*, while at the T2 level, it decreased C*. At the T3 level, C* remained high across all PAR levels.
Furthermore, the T3L1 and T3L3 treatments showed the best overall performance, with no significant differences in shape index, brightness, or chroma between them. This indicates that high temperature effectively improved fruit appearance, and its combination with low PAR did not induce significant adverse effects.

3.3. Effects of Different Temperatures and PAR Coupling on Internal Quality of Tomato Fruits

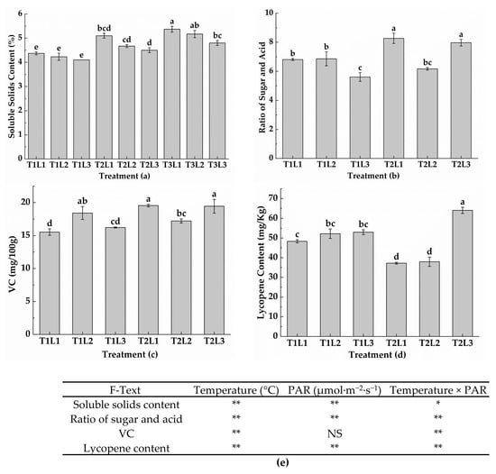
Figure 3 indicates that temperature, PAR, and their interaction exerted significant (p < 0.05) or highly significant (p < 0.01) effects on tomato fruits’ internal quality. Elevated temperature significantly raised the soluble solids content (Figure 3a), whereas reduced PAR decreased it. The soluble solids content under the high temperature and low PAR treatment (T3L3: 4.8%) was significantly higher than that under the normal temperature and normal PAR treatment (T1L1: 4.4%), indicating that temperature remained the dominant factor in shaping this trait under interactive conditions. Soluble sugars, titratable acidity, VC, and lycopene contents were measured in fruits from the fourth inflorescence. During the experiment, due to the low fruit set and insufficient sample amount of the T3 temperature level, only fruits from the T1 and T2 levels were included in these analyses. Among these, the sugar–acid ratio (Figure 3b) and VC (Figure 3c) content were highest under the T2L1 and T2L3 treatments, and the sugar–acid ratio was about 25.4% higher, and the VC content was about 13.3% higher than those of all other treatments, indicating that moderately high temperature significantly improved fruit taste and nutritional quality.
Notably, the sugar–acid ratio declined significantly under low PAR at the T1 level. Although moderately high temperature tended to reduce the lycopene content (Figure 3d), its combination with low PAR resulted in a lycopene content that was significantly higher than that in other treatments, with an average increase of 43.4% and a maximum of 72.1%. These findings demonstrate that moderately high temperature reduces the titratable acid content, increases the sugar–acid ratio, and inhibits lycopene synthesis. However, when superimposed with low PAR, the inhibitory effect on lycopene synthesis was reversed, promoting lycopene accumulation and leading to an overall improvement in fruits’ internal quality.

3.4. Effects of Different Temperatures and PAR Coupling on Tomato Yield Formation

As shown in Figure 4, temperature, PAR, and their interaction significantly influenced tomato yield, primarily through changes in fruit number per plant and total yield, both of which were highly significantly affected (p < 0.01).
Temperature was identified as the dominant yield-limiting factor, with both fruit number and yield per plant decreasing significantly as temperature increased. Compared with T1L1, the number of fruits per plant (Figure 4a) declined by 36.8–55.3% (equivalent to 14–21 fewer fruits) at the T2 level, and by 81.6–89.5% (31–34 fewer fruits) at the T3 level. The decrease in PAR also significantly reduced the yield (Figure 4b), but its effect was considerably weaker than that of temperature. The unit quantitative analysis revealed that fruit number and yield per plant declined by 13.8% and 13.9%, respectively, for each 1 °C increase in temperature. In contrast, these parameters declined by only 5.4% and 5.0% with a 50 μmol·m−2·s−1 decrease in PAR. Under the combined effect, a decline of 14.0% in fruit number and 14.4% in yield per plant was observed for each simultaneous 1 °C temperature increase and 50 μmol·m−2·s−1 PAR decrease. This combined reduction was lower than the sum of individual effects, indicating that there was a synergistic effect between high temperature and low PAR.

3.5. Effects of Different Temperatures and PAR Coupling on Water Consumption and Water Use Efficiency of Tomato

It can be seen from Figure 5 that the total water consumption per plant increased significantly with rising temperature (Figure 5b). The water consumption per plant of the T3L1 treatment reached 87.9 L, which was 62.2% higher than that of T1L1 (54.2 L/per plant), indicating that high temperature significantly enhanced plant transpiration and water consumption. Within the experimental ranges, total water consumption increased by approximately 4.8% with each 1 °C temperature rise, but declined by about 2.4% with a 50 μmol·m−2·s−1 reduction in PAR. Under the combined conditions, it still registered a net increase of 3.6%, indicating that temperature was the dominant factor driving water use.
WUE declined sharply as the temperature increased (Figure 5c). It was reduced by approximately 15.3% per 1 °C rise and also decreased by approximately 3.5% per 50 μmol·m−2·s−1 reduction in PAR. Under their combined effect, WUE declined by about 15.0%. Among all treatments, the highest WUE (68.7 kg/m3) was observed in T1L1, whereas the lowest (5.7 kg/m3, a 91.7% reduction) was recorded in T3L3. This is primarily because high temperatures raise water consumption without a corresponding increase in yield. Notably, the average daily water consumption per plant during the veraison period of the first fruit cluster reached 0.97 L (Figure 5a), significantly exceeding that of other development stages, indicating that this period represents the peak water demand in tomato development.

3.6. Comprehensive Evaluation of Effect of Different Temperature–PAR Coupling Regulation

A scientific comprehensive evaluation is essential for balancing various indicators, optimizing control strategies, and improving production efficiency. In this study, yield and WUE were taken as the core economic indicators, and a comprehensive evaluation index system was constructed, integrating the development process, chroma, soluble solids content, yield per plant, total water consumption per plant, and WUE. Objective weights were assigned to each indicator using the entropy weight method. The resulting weights (Table 5) were as follows: WUE > total water consumption per plant > yield per plant > soluble solids > chroma > developmental process. This ranking indicates that WUE was the primary consideration in the evaluation of temperature and PAR regulation.
To further enhance the robustness and reliability of the evaluation, this study employed three methods—TOPSIS, linear weighting, and GRA—for a comprehensive evaluation (Table 6). At the same time, to mitigate the limitations inherent in any single model, the scores from the three methods were integrated using the entropy weight method, and the comprehensive scores for each treatment were ranked as follows: T1L1 > T1L2 > T2L1 > T1L3 > T2L3 > T2L2 > T3L1 > T3L2 > T3L3. The results showed that the T1L1 treatment (25/15 °C day/night; 800 μmol·m−2·s−1 PAR) achieved the highest comprehensive score, indicating it effectively coordinated multiple performance targets, including that it effectively coordinated multiple targets including yield, WUE, soluble solids content, and fruit appearance, thus achieving a balance among production cycle, yield, quality, and resource utilization. The T2L1 and T1L2 treatments followed in the ranking. These results demonstrate that within a certain range, temperature and PAR exhibit a certain complementary effect in regulating tomato development and productivity.

3.7. Tomato Comprehensive Evaluation Model

To quantify the relationship between the tomato comprehensive evaluation value (E) and two key environmental factors, temperature (x1) and PAR (x2), multiple regression analysis was performed, and a quadratic polynomial regression model (Formula (14)) was developed via stepwise regression. In the formula, x1 ∈ [−1, +1], representing the daily average temperature range of 20–29 °C; x2 ∈ [−1, +1], representing the daytime average PAR range of 400–800 μmol·m−2·s−1. The model exhibited a high goodness of fit, with a coefficient of determination (R2) of 0.985 and an adjusted R2 of 0.980, indicating that it reliably explained 98% of the observed variation. The model quantified the coupling effects of high temperature and low PAR on tomato. Both factors negatively influenced the comprehensive score, with the detrimental effects intensifying as the temperature rose or PAR decreased. Although a moderate temperature rise improved fruit appearance and low PAR increased the lycopene content, the overall comprehensive performance still declined with increasing temperature and decreasing PAR.
Furthermore, this study analyzed the model based on the calculated confidence intervals and standardized regression coefficients derived from the model results. Effect size analysis indicated (Table 7) that temperature, PAR, and their interaction exerted extremely significant effects on the composite score, with the main effects of temperature and PAR being the most critical determinants of the composite score. The negative effect of temperature was the strongest, making it the primary limiting factor for tomato development. At the same PAR level, each unit increase in the temperature coding value resulted in an average decrease of 0.617 standard deviations in the composite score. The positive effect of PAR ranked second; at the same temperature, each unit decrease in the light intensity coding value resulted in a decrease of 0.556 standard deviations in the composite score. Although the interaction between temperature and PAR reached a highly significant level statistically, its effect size was small. This suggests that the actual impact of their interaction on the overall score was less pronounced than the individual main effects of each factor.
To further evaluate the performance of the constructed multiple regression model, this study conducted independent model validation (Table 8). The results demonstrate that the model exhibited high stability in overall goodness of fit and error control. The R2 value of the validation set was 0.959, closely matching that of the training set, indicating that the model did not overfit. The RMSE was comparable to the training set level, reflecting the model’s high alignment with experimental data and confirming the stability of its fitted relationships. The stability of the SD indicates that this interval variation primarily reflected random fluctuations inherent in the data sampling. The degree of data dispersion and the magnitude of treatment effects remained consistent across both datasets.
In summary, the temperature–PAR interaction model established in this study reliably revealed the quantitative relationship and hierarchical order between environmental factors and tomato comprehensive performance, providing a solid foundation for the core conclusions. The results provide a quantitative basis for temperature and PAR regulation in protected tomato cultivation during summer and also provide clear theoretical support for optimizing environmental parameters under high-temperature and low-PAR conditions.
E = 0.6000 0.1265x1 + 0.0570x2 0.0575x12 + 0.0242x22 0.0342x1x2
where x1 is the daily average temperature, with the value range of [−1, +1], representing 20–29 °C; x2 is the daytime average PAR, with the value range of [−1, +1], representing 400–800 μmol·m−2·s−1.

4. Discussion

This study systematically explored the response of tomato plants under coupled high-air-temperature and low-light stress during the whole growth period and revealed the synergistic effects of air temperature and light intensity on tomato growth and development, fruit quality, yield, and water use, providing a theoretical framework for tomato management under these stress conditions.
The results indicated that compared with light intensity, air temperature was the dominant factor influencing tomatoes, with its unit changes generally exerting stronger effects on various indicators. This stems primarily from temperature’s broader impact on plant physiology: at the cellular level, air temperature directly affects membrane fluidity, protein stability, and enzyme activity [47,48]; at the metabolic level, air temperature simultaneously regulates the balance between photosynthesis and respiration, water metabolism, and redox homeostasis [49]; and at the developmental level, air temperature is a key signal to regulate reproductive transformation, which directly influences pollen viability and fertilization process, thereby controlling yield formation from the source [50]. Therefore, air temperature is directly related to the overall energy metabolism and physiological homeostasis of plants.
The comprehensive evaluation further indicated that the score for T1L3 was lower than that for T2L1. This indicated that under the experimental conditions, the negative effects resulting from the decrease in PAR from 800 to 400 μmol·m−2·s−1 exceeded the impact of increasing air temperature from 20 to 25 °C. This primarily resulted from reduced photosynthetic carbon assimilation under low light levels [51]. Consequently, the T1L3 treatment exhibited higher fruit set than T2L1, but the yield was lower, indicating significantly reduced individual fruit weight. This discrepancy reveals distinct physiological pathways through which low-light and moderately high-air-temperature stress influence fruit development. A low light level not only limits total carbohydrate accumulation by reducing photosynthetic assimilation rates [52] but may also directly impact light signal transduction pathways regulating fruit cell expansion (such as the signaling cascade mediated by the photosensitive pigment-interacting factor SlPIF1a) [53]. Consequently, it jointly inhibits increases in individual fruit weight by affecting both material supply and cell expansion regulation. In contrast, while moderately high-air-temperature stress reduces fruit set by affecting pollen viability, its suppression of substance accumulation processes in set fruits (such as sucrose-unloading enzyme activity and sugar accumulation capacity) is relatively limited. Consequently, retained fruits maintain relatively high growth potential.
Quantitative analysis revealed that the combined effect of high air temperature and low light intensity was less than the theoretical sum of the individual factor effects, indicating a significant interaction between these stressors. The underlying mechanism may be attributed to the reduction in the leaf transpiration rate under low light levels, which reduces water consumption [54] and, consequently, mitigates high-air-temperature damage to the photosynthetic mechanism. At the same time, the reduced light energy input also helps mitigate excessive excitation and photo-oxidation damage in the photochemical system at high temperatures.
During the experiment, the initially set high-air-temperature treatment (35/25 °C) caused the failure of fruit setting in the early stage of the plant. After subsequently lowering the air temperature by 2 °C (to 33/23 °C), the plants gradually restored their fruit setting ability. This phenomenon also holds biological significance: (1) it clarifies the upper critical temperature limit for fruit setting in the ‘Zhongza 1721’ variety; (2) it reveals that tomatoes possess certain physiological repair and compensatory capabilities following high-temperature stress; and (3) a mere 2 °C air temperature difference decisively affects fruit-setting behavior, indicating high sensitivity to temperature regulation in tomato reproductive development. In subsequent modeling analyses, this study employed effective accumulated temperature to integrate thermal effects across the entire growth period before and after this air temperature adjustment, ensuring the scientific validity and representativeness of model inputs. However, this study did not deeply analyze the intrinsic mechanisms by which subtle temperature fluctuations influence fruit development. Future research could build upon this foundation to further investigate the dynamic processes by which air temperature fluctuations regulate the expression of key tomato genes and elucidate the molecular mechanisms underlying its self-recovery process.
Furthermore, the quality of this study is represented by soluble solids. In the future, the evaluation system can be further explored by using more quality indicators, such as lycopene.
While this study elucidated the interaction mechanisms between high air temperature and low light, there are still some limitations. The stable environment of the controlled environment chambers ensures controllable conditions, and the data have strong representativeness, which can provide a theoretical basis for the effects of high-air-temperature and low-light stress environments. However, the limited capacity of the chambers constrained the sample size, and the generalizability of these conclusions to greenhouse production requires further validation.

5. Conclusions

This study focused on the dual stress of high air temperatures and low light intensity in summer, providing a solution for addressing the high temperatures and low light levels commonly encountered in greenhouses.
The findings reveal that, within the experimental range, while high air temperatures (33/23 °C, day/night) accelerate the fruit veraison period and improve appearance, they significantly reduce the fruit-setting rate, yield, and water use efficiency. Meanwhile, reduced light intensity continuously suppresses yield and resource use efficiency. Consequently, the high-temperature treatment group consistently ranked lowest in comprehensive performance.
Model analysis further indicated that within the 20–29 °C air temperature range and 400–800 μmol·m−2·s−1 PAR range, at the same light intensity, each unit increase in the air temperature coding value resulted in an average decrease of 0.617 standard deviations in the composite score; at the same air temperature, each unit decrease in the light intensity coding value resulted in a decrease of 0.556 standard deviations in the composite score; and their interaction showed a negative effect (−0.220), indicating that the combination of high air temperature and low light is particularly detrimental. These findings deepen our understanding of tomato response mechanisms under high-air-temperature and low-light stress, thereby aiding in the development of strategies to mitigate such environmental stresses.

Author Contributions

Conceptualization, F.X., X.W. and L.H.; data curation, Y.G. and X.G.; formal analysis, L.H., Z.W. and X.G.; funding acquisition, F.X. and W.G.; investigation, Y.G. and Z.W.; methodology, F.X. and L.H.; project administration, F.X. and W.G.; resources, X.W., W.G. and Y.G.; supervision, F.X., X.W. and W.G.; visualization, L.H.; writing—original draft, L.H.; writing—review and editing, F.X., W.G. and L.H. All authors have read and agreed to the published version of this manuscript.

Funding

This research was funded by the Youth Scientific Research Fund of the Beijing Academy of Agriculture and Forestry Sciences, grant number [QNJJ202307] (project title: “Study on Nutrient Regulation Methods for Industrial Tomatoes Based on Environmental Control Capability and Benefit Expectation”); The Special Program for Science and Technology Cooperation, Ningxia Academy of Agriculture and Forestry Sciences (DW-X-2023001) (project title: “Construction and Application of a Smart Water and Fertilizer Management System for Greenhouse Vegetables Based on Next-Generation Information Technology Infrastructure”) and the Beijing Innovation Team of the Modern Agricultural Research System (BAIC08-2025-DT02).

Institutional Review Board Statement

Not applicable.

Informed Consent Statement

Not applicable.

Data Availability Statement

The raw data supporting the conclusions of this article will be made available by the authors upon request.

Acknowledgments

During the preparation of this work, the authors used ChatGPT-4o in order to improve the readability and language of this manuscript. After using this tool, the authors reviewed and edited the content as needed and take full responsibility for the content of this publication.

Conflicts of Interest

The authors declare no conflicts of interest. The funders had no role in the design of this study; in the collection, analyses, or interpretation of the data; in the writing of this manuscript; or in the decision to publish the results.

References

  1. Kürklü, A.; Pearson, S.; Felek, T. Climate Change Impacts on Tomato Production in High-Tech Soilless Greenhouses in Türkiye. BMC Plant Biol. 2025, 25, 339. [Google Scholar] [CrossRef]
  2. Zandalinas, S.I.; Fritschi, F.B.; Mittler, R. Global Warming, Climate Change, and Environmental Pollution: Recipe for a Multifactorial Stress Combination Disaster. Trends Plant Sci. 2021, 26, 588–599. [Google Scholar] [CrossRef]
  3. Jain, S.; Kore, D.S.; Kishorkumar, K.G.; Mohapatra, A.; Baksh, H.; Kumar, V.; Mohanty, S.; Haokip, S.W. A Comprehensive Review on Protected Cultivation of Horticultural Crops: Present Status and Future Prospects. Int. J. Environ. Clim. Change 2023, 13, 3521–3531. [Google Scholar] [CrossRef]
  4. Liu, B.; Song, L.; Deng, X.; Lu, Y.; Lieberman-Lazarovich, M.; Shabala, S.; Ouyang, B. Tomato Heat Tolerance: Progress and Prospects. Sci. Hortic. 2023, 322, 112435. [Google Scholar] [CrossRef]
  5. Khan, Q.; Wang, Y.; Xia, G.; Yang, H.; Luo, Z.; Zhang, Y. Deleterious Effects of Heat Stress on the Tomato, Its Innate Responses, and Potential Preventive Strategies in the Realm of Emerging Technologies. Metabolites 2024, 14, 283. [Google Scholar] [CrossRef] [PubMed]
  6. Lee, K.; Rajametov, S.N.; Jeong, H.-B.; Cho, M.-C.; Lee, O.-J.; Kim, S.-G.; Yang, E.-Y.; Chae, W.-B. Comprehensive Understanding of Selecting Traits for Heat Tolerance during Vegetative and Reproductive Growth Stages in Tomato. Agronomy 2022, 12, 834. [Google Scholar] [CrossRef]
  7. Harel, D.; Fadida, H.; Slepoy, A.; Gantz, S.; Shilo, K. The Effect of Mean Daily Temperature and Relative Humidity on Pollen, Fruit Set and Yield of Tomato Grown in Commercial Protected Cultivation. Agronomy 2014, 4, 167–177. [Google Scholar] [CrossRef]
  8. Nitu, O.A.; Ivan, E.S.; Arshad, A. Optimizing Microclimatic Conditions for Lettuce, Tomatoes, Carrots, and Beets: Impacts on Growth, Physiology, and Biochemistry Across Greenhouse Types and Climatic Zones. Int. J. Plant Biol. 2025, 16, 100. [Google Scholar] [CrossRef]
  9. Ayankojo, I.T.; Morgan, K.T. Increasing Air Temperatures and Its Effects on Growth and Productivity of Tomato in South Florida. Plants 2020, 9, 1245. [Google Scholar] [CrossRef] [PubMed]
  10. Tokić, M.; Leljak Levanić, D.; Ludwig-Müller, J.; Bauer, N. Growth and Molecular Responses of Tomato to Prolonged and Short-Term Heat Exposure. Int. J. Mol. Sci. 2023, 24, 4456. [Google Scholar] [CrossRef] [PubMed]
  11. Zhang, Y.; Zhu, K.; Wang, X.; Yan, J.; Zhu, H.; Zhang, N.; Wang, Y.; Zhao, Q.; Liu, Y.; Bu, X.; et al. Manipulation of Artificial Light Environment Improves Plant Biomass and Fruit Nutritional Quality in Tomato. J. Adv. Res. 2025, 75, 79–93. [Google Scholar] [CrossRef]
  12. Zhang, M.; Cui, J.; Ju, J.; Hu, Y.; Liu, X.; He, R.; Song, J.; Huang, Y.; Liu, H. The Impact of Daily Light Integral from Artificial Lighting on Tomato Seedling Cultivation in Plant Factory. Agronomy 2025, 15, 70. [Google Scholar] [CrossRef]
  13. Moustaka, J.; Sperdouli, I.; Moustakas, M. Light Energy Use Efficiency in Photosystem II of Tomato Is Related to Leaf Age and Light Intensity. Crops 2024, 4, 623–635. [Google Scholar] [CrossRef]
  14. Tan, R.; Jia, T..; Chen, X.L.; Guo, W.Z. Low Light during Reproductive Period of Tomato Affects the Phenotypic Characteristics and Quality of Fruit. Chin. J. Agrometeorol. 2022, 43, 902. [Google Scholar] [CrossRef]
  15. Heuvelink, E.; Acevedo-Siaca, L.G.; Van de Poel, B.; Van der Jeucht, L.; Vialet-Chabrand, S.; Steppe, K.; Ji, Y.; Körner, O.; Kusuma, P.; Langer, S.; et al. Tomato in the Spotlight: Light Regulation of Whole-Plant Physiology. J. Exp. Bot. 2025, 76, 6289–6310. [Google Scholar] [CrossRef] [PubMed]
  16. Song, X.; Zhang, C.; Zhang, J.; Zou, X.; Mo, Y.; Tian, Y. Potential Linkages of Precipitation Extremes in Beijing-Tianjin-Hebei Region, China, with Large-Scale Climate Patterns Using Wavelet-Based Approaches. Theor. Appl. Climatol. 2020, 141, 1251–1269. [Google Scholar] [CrossRef]
  17. Zepeda, A.C.; Heuvelink, E.; Marcelis, L.F.M. Non-Structural Carbohydrate Dynamics and Growth in Tomato Plants Grown at Fluctuating Light and Temperature. Front. Plant Sci. 2022, 13, 968881. [Google Scholar] [CrossRef]
  18. An Automated, Clip-Type, Small Internet of Things Camera-Based Tomato Flower and Fruit Monitoring and Harvest Prediction System. Available online: https://www.mdpi.com/1424-8220/22/7/2456 (accessed on 14 December 2025).
  19. Cammarano, D.; Ronga, D.; Di Mola, I.; Mori, M.; Parisi, M. Impact of Climate Change on Water and Nitrogen Use Efficiencies of Processing Tomato Cultivated in Italy. Agric. Water Manag. 2020, 241, 106336. [Google Scholar] [CrossRef]
  20. Talukder, M.R.; Bappy, N.A.H.; Haque, M.M.; Molla, M.A.H.; Alam, M.Z.; Mosharaf, M.K.; Limon, G.S.; Rafiquzzaman, S.M. Fluctuation of Ambient Day-Night Temperature Influences Morphological Traits, Floral Characters, Fruit Yield and Quality of Summer Tomato Genotypes Grown in Hydroponics. New Zealand J. Crop Hortic. Sci. 2025, 53, 2731–2754. [Google Scholar] [CrossRef]
  21. Coyago-Cruz, E.; Corell, M.; Moriana, A.; Hernanz, D.; Stinco, C.M.; Mapelli-Brahm, P.; Meléndez-Martínez, A.J. Effect of Regulated Deficit Irrigation on Commercial Quality Parameters, Carotenoids, Phenolics and Sugars of the Black Cherry Tomato (Solanum lycopersicum L.) ‘Sunchocola’. J. Food Compos. Anal. 2022, 105, 104220. [Google Scholar] [CrossRef]
  22. Burato, A.; Campi, P.; Pentangelo, A.; Parisi, M. Growing Processing Tomatoes in the Po Valley Is More Sustainable Under Regulated Deficit Irrigation. Agronomy 2025, 15, 1805. [Google Scholar] [CrossRef]
  23. Papoui, E.; Gkotzamani, A.; Nikoloudis, K.; Bantis, F.; Koukounaras, A. How Irrigation Level and Soil Type Affect Nutritional Quality and Yield of Greenhouse Tomato Grown Under Mild Environmental Conditions. Horticulturae 2025, 11, 742. [Google Scholar] [CrossRef]
  24. Kong, L.; Wen, Y.; Jiao, X.; Liu, X.; Xu, Z. Interactive Regulation of Light Quality and Temperature on Cherry Tomato Growth and Photosynthesis. Environ. Exp. Bot. 2021, 182, 104326. [Google Scholar] [CrossRef]
  25. Rayuwati, R.; Putri, Y.N. The Design of The Spk in Fulfilling the Production Target of Vegetable Availability in Lut Tawar Sub-District Uses The SAW Method. Int. J. Manag. Sci. Inf. Technol. 2025, 1, 21. [Google Scholar] [CrossRef]
  26. Yu, X.; Zhang, J.; Zhang, Y.; Ma, L.; Jiao, X.; Zhao, M.; Li, J. Identification of Optimal Irrigation and Fertilizer Rates to Balance Yield, Water and Fertilizer Productivity, and Fruit Quality in Greenhouse Tomatoes Using TOPSIS. Sci. Hortic. 2023, 311, 111829. [Google Scholar] [CrossRef]
  27. Zhang, N.; Wu, W.; Li, S.; Wang, Y.; Ma, Y.; Meng, X.; Zhang, Y. Comprehensive Evaluation of Paddy Quality by Different Drying Methods, Based on Gray Relational Analysis. Agriculture 2022, 12, 1857. [Google Scholar] [CrossRef]
  28. Liu, Y.-H.; Zhu, D.-L.; Liu, Z.; Liu, C.-X.; Sayyora, N.; Nazarov, K. Decision-Making on Corn Water and Fertilizer Application Amount Based on TOPSIS Model. Water Sav. Irrig. 2024, 11, 1–9. [Google Scholar] [CrossRef]
  29. Zhang, J.; Xiang, L.; Liu, Y.; Jing, D.; Zhang, L.; Liu, Y.; Li, W.; Wang, X.; Li, T.; Li, J. Optimizing Irrigation Schedules of Greenhouse Tomato Based on a Comprehensive Evaluation Model. Agric. Water Manag. 2024, 295, 108741. [Google Scholar] [CrossRef]
  30. Sun, G.; Liu, H.; Li, L.; Gao, S.; Zhang, Q.; Huang, W.; Liu, L.; Liu, Q. Definition of photosynthetically active radiation (PAR) and its development progress. Trans. Chin. Soc. Agric. Eng. Trans. CSAE 2023, 39, 20–31. [Google Scholar] [CrossRef]
  31. Zhao, N.; Xu, J.; Wang, L.; Pu, G. Effects of Different Fertilizer Formulations on Tomato Seedling Raising in Composite Substrate. N. Hortic. 2010, 24, 49–50. Available online: https://www.doc88.com/p-1681580380447.html (accessed on 6 December 2025).
  32. Chen, X.-L.; Li, Y.-L.; Li, W.; Wang, L.; Guo, W.-Z. Effects of Red and Blue LED Lighting Modes on Spectral Characteristics and Coloring of Tomato Fruit. Spectrosc. Spectr. Anal. 2023, 43, 1809–1814. Available online: https://www.gpxygpfx.com/CN/Y2023/V43/I06/1809 (accessed on 6 December 2025).
  33. Wang, X.; Zhang, L.; Wu, X.; Cheng, D.; Li, J. Occurrence Rules of Citrus Fruit Shape and Peel Cracks. Sci. Agric. Sin. 2024, 57, 3458–3468. [Google Scholar] [CrossRef]
  34. Liu, K.-H.; Shen, L.-X.; Hou, J.-Y.; Geng, G.-Q. Study on the Effects of Different Organic Water-Soluble Fertilizers Applied Under Drip Irrigation on the Yield and Quality of Greenhouse Tomatoes. Water Sav. Irrig. 2025, 9, 86–94. Available online: https://irrigate.whu.edu.cn/jsgg/CN/10.12396/jsgg.2025113 (accessed on 6 December 2025).
  35. NY/T 1278-2007; Determination of Soluble Sugar in Vegetables and Products (Shaffer-Somogyi). Ministry of Agriculture of the People’s Republic of China: Beijing, China, 2007. Available online: https://www.ndls.org.cn/standard/detail/b11de464fb0fc90efab68b0616a82669 (accessed on 6 December 2025).
  36. Li, J.; Shen, L.-X.; Zhang, K.-L.; Li, B.-N. Effects of Drip Irrigation Soluble Organic Fertilizer on Tomato Growth and Quality. Water Sav. Irrig. 2022, 12, 37–41. [Google Scholar] [CrossRef]
  37. Du, B.; Shukla, M.K.; Yang, X.; Du, T. Enhanced Fruit Yield and Quality of Tomato by Photosynthetic Bacteria and CO2 Enrichment under Reduced Irrigation. Agric. Water Manag. 2023, 277, 108106. [Google Scholar] [CrossRef]
  38. Bhattarai, S.; Jha, D.K.; Singh, J.; Zhen, S.; Patil, B.S. Supplemental Greenhouse Lighting Enhances the Abundance of Cis-Lycopene Isomers in Tomato Fruits. J. Food Compos. Anal. 2025, 142, 107534. [Google Scholar] [CrossRef]
  39. Song, Z.; Wang, G.; Hao, Q.; Zhu, X.; Tang, Q.; Zhao, L.; Wu, Q.; Li, Y. Evaluation of the Comprehensive Effects of Biodegradable Mulch Films on the Soil Hydrothermal Flux, Root Architecture, and Yield of Drip-Irrigated Rice. Agronomy 2025, 15, 1292. [Google Scholar] [CrossRef]
  40. Li, R.; Bai, J.; Li, D.; Ren, X.; He, D.; Du, R.; Feng, Z.; Zhang, Z. Water and Fertilizer Decision Model for Synergistic Optimization of Yield, Quality and Efficiency of Cherry Tomato Based on Combination Evaluation. Comput. Electron. Agric. 2024, 224, 109224. [Google Scholar] [CrossRef]
  41. Tian, L.; Shao, G.; Gao, Y.; Lu, J.; Zhang, C.; Fu, T.; Hu, Y. The Optimal Drought Hardening Intensity and Salinity Level Combination for Tomato (Solanum lycopersicum L.) Cultivation under High-Yield, High-Quality and Water-Saving Multi-Objective Demands. Plants 2024, 13, 2828. [Google Scholar] [CrossRef]
  42. Wang, C.; Huang, S.; Yu, B.; Shan, F.; Lyu, X.; Yan, C.; Ma, C.; Jiang, B. Hormone Regulation Effect of Blue Light on Soybean Stem Internode Growth Based on the Grey Correlation Analysis Model. Int. J. Mol. Sci. 2025, 26, 4411. [Google Scholar] [CrossRef]
  43. Higashide, T. Prediction of Tomato Yield on the Basis of Solar Radiation Before Anthesis under Warm Greenhouse Conditions. HortScience 2009, 44, 1874–1878. [Google Scholar] [CrossRef]
  44. Cohen, J. Statistical Power Analysis for the Behavioral Sciences, 2nd ed.; Routledge: New York, NY, USA, 2013; ISBN 978-0-203-77158-7. [Google Scholar]
  45. Jiang, X.; Fan, M.; Wang, T.; Gong, S.; Hao, W.; Ye, Y.; Zhao, Y.; Cui, N.; Zhao, H.; Zhao, L. Modeling Tomato Yield and Quality Responses to Water and Nitrogen Deficits with a Modified Crop Water Production Function. Horticulturae 2024, 10, 898. [Google Scholar] [CrossRef]
  46. Zhao, Z.-L.; Li, B.; Xue, F.; Yao, M.-Z.; Xie, Y.; Xing, J.-W.; Li, C.-X. Parameter Estimation and Verification of DSSAT-CROPGRO-Tomato Model under Different Irrigation Levels in Greenhouse. Chin. J. Appl. Ecol. 2018, 29, 2017. [Google Scholar] [CrossRef]
  47. Zhang, J.; Lee, K.P.; Liu, Y.; Kim, C. Temperature-Driven Changes in Membrane Fluidity Differentially Impact FILAMENTATION TEMPERATURE-SENSITIVE H2-Mediated Photosystem II Repair. Plant Cell 2025, 37, koae323. [Google Scholar] [CrossRef]
  48. Kabir, M.F.; Ju, L.-K. On Optimization of Enzymatic Processes: Temperature Effects on Activity and Long-Term Deactivation Kinetics. Process Biochem. 2023, 130, 734–746. [Google Scholar] [CrossRef]
  49. Sato, H.; Mizoi, J.; Shinozaki, K.; Yamaguchi-Shinozaki, K. Complex Plant Responses to Drought and Heat Stress under Climate Change. Plant J. 2024, 117, 1873–1892. [Google Scholar] [CrossRef]
  50. Mehmood, M.; Tanveer, N.A.; Joyia, F.A.; Ullah, I.; Mohamed, H.I. Effect of High Temperature on Pollen Grains and Yield in Economically Important Crops: A Review. Planta 2025, 261, 141. [Google Scholar] [CrossRef]
  51. Rayaprolu, L.; Jayasankar, K.; Aarts, M.G.M.; Harbinson, J. Photosynthetic Variation for Climate-Resilient Crops: Photosynthetic Responses to Fluctuating Light and Chilling in Tomato. Physiol. Plant. 2025, 177, e70241. [Google Scholar] [CrossRef] [PubMed]
  52. Li, Y.; Zhao, J.; Ma, H.; Pu, L.; Zhang, J.; Huang, X.; Yang, H.; Fan, G. Shade Tolerance in Wheat Is Related to Photosynthetic Limitation and Morphological and Physiological Acclimations. Front. Plant Sci. 2024, 15, 1465925. [Google Scholar] [CrossRef]
  53. Zhang, J.; Xu, J.; Wang, X.; Liu, Y.; Li, S.; Zhang, J.; He, L.; Guo, L.; Li, C.; Li, X.-X.; et al. Light Signal Regulates Endoreduplication and Tomato Fruit Expansion through the SlPIF1a-SlTLFP8-SlCDKB2 Module. Proc. Natl. Acad. Sci. USA 2025, 122, e2404445122. [Google Scholar] [CrossRef]
  54. Grunwald, Y.; Yaaran, A.; Moshelion, M. Illuminating Plant Water Dynamics: The Role of Light in Leaf Hydraulic Regulation. New Phytol. 2024, 241, 1404–1414. [Google Scholar] [CrossRef] [PubMed]
Figure 1. Controlled environment chambers.
Figure 1. Controlled environment chambers.
Agronomy 16 00031 g001
Figure 2. Diurnal variations in temperature and PAR (24 h).
Figure 2. Diurnal variations in temperature and PAR (24 h).
Agronomy 16 00031 g002
Figure 3. Tomato fruit quality under different treatments. (a) Soluble solids content. (b) Ratio of sugar and acid. (c) Vitamin C content. (d) Lycopene content. (e) Significant effects of temperature, PAR, and their interaction on fruit quality indicators. In (ad), different lowercase letters indicate significant differences between different treatments. In (e), the symbol “**” indicates a highly significant difference at p < 0.01; “*” indicates a significant difference at p < 0.05; and “NS” indicates no significant difference.
Figure 3. Tomato fruit quality under different treatments. (a) Soluble solids content. (b) Ratio of sugar and acid. (c) Vitamin C content. (d) Lycopene content. (e) Significant effects of temperature, PAR, and their interaction on fruit quality indicators. In (ad), different lowercase letters indicate significant differences between different treatments. In (e), the symbol “**” indicates a highly significant difference at p < 0.01; “*” indicates a significant difference at p < 0.05; and “NS” indicates no significant difference.
Agronomy 16 00031 g003
Figure 4. Effects of different temperature and PAR on fruit number per plant (a) and yield per plant (b). (c) Significant effects of temperature, PAR, and their interaction on fruit number and yield per plant. In (a), blue represents the T1 temperature level, red represents the T2 temperature level, and green represents the T3 temperature level. Figure (b) shows a surface fitted based on discrete data points, illustrating the overall trend. In (c), the symbol “**” indicates a highly significant difference at p < 0.01.
Figure 4. Effects of different temperature and PAR on fruit number per plant (a) and yield per plant (b). (c) Significant effects of temperature, PAR, and their interaction on fruit number and yield per plant. In (a), blue represents the T1 temperature level, red represents the T2 temperature level, and green represents the T3 temperature level. Figure (b) shows a surface fitted based on discrete data points, illustrating the overall trend. In (c), the symbol “**” indicates a highly significant difference at p < 0.01.
Agronomy 16 00031 g004
Figure 5. Tomato water consumption. (a) Effects of different treatments on daily water consumption at various growth stages. (b) Effects of different treatments on total water consumption of plants. (c) Effects of different treatments on water use efficiency. (d) Significant effects of temperature, PAR, and their interaction on total water consumption and WUE. In (ac), different lowercase letters indicate significant differences between different treatments. In (d), the symbol “**” indicates a highly significant difference at p < 0.01; “*” indicates a significant difference at p < 0.05.
Figure 5. Tomato water consumption. (a) Effects of different treatments on daily water consumption at various growth stages. (b) Effects of different treatments on total water consumption of plants. (c) Effects of different treatments on water use efficiency. (d) Significant effects of temperature, PAR, and their interaction on total water consumption and WUE. In (ac), different lowercase letters indicate significant differences between different treatments. In (d), the symbol “**” indicates a highly significant difference at p < 0.01; “*” indicates a significant difference at p < 0.05.
Agronomy 16 00031 g005
Table 1. Experimental treatments.
Table 1. Experimental treatments.
Temperature (°C)PAR (μmol·m−2·s−1)
L1 (800)L2 (600)L3 (400)
T1 (25/15)T1L1T1L2T1L3
T2 (30/20)T2L1T2L2T2L3
T3 (33/23)T3L1T3L2T3L3
Table 2. Yamazaki tomato nutrient solution formula.
Table 2. Yamazaki tomato nutrient solution formula.
Number of Millimoles of Elements per Liter (mmol/L)
Yamazaki nutrient solution formulaNPKCaMgS
NH4+-NNO3-N
0.677.00.674.01.51.01.0
Table 3. Tomato development period.
Table 3. Tomato development period.
Development Period (Day)ClusterTreatment
T1T2T3
L1L2L3L1L2L3L1L2L3
Flowering1000000000
2000−1+1+10+1−1
30+1+20+10+1−1−1
40+1+8−2−100−1−1
50+8+9−1+1+1−20+8
600+9−3−4−3−2−40
Fruit setting100+200+10+2+3
20+1+40−3+1−5−3+1
300+3−2+1+7−5−4−1
400+8−4+1+8×××
50+12+13−2−1+8+19××
600+9+1−3+1+1+1×
Veraison period 10−2−1−16−15−9−19−17−17
20+2+4−16−10−9−18−18−11
30+4+11−13−9−4×××
40+3+6−16−14−9×××
50+6+8−14−12−6−21××
60+2+5−19−16−15−34−29×
The symbol “×” means aborted fruit. The timing of flowering, fruit-setting, and veraison periods was assessed with reference to the T1L1 treatment, assigned a standard value of 0. Values of −1 and +1 represent one day earlier and one day later than the standard, respectively. The background color in the table indicates an earlier development period.
Table 4. Fruit chroma and fruit shape index of tomatoes under different treatments.
Table 4. Fruit chroma and fruit shape index of tomatoes under different treatments.
TreatmentL*C*Fruit Shape Index
T1L138.49 ± 0.54 c26.26 ± 0.99 e0.81 ± 0.02 bc
T1L238.61 ± 1.21 c24.91 ± 0.57 f0.79 ± 0.01 c
T1L340.10 ± 1.25 abc30.10 ± 0.57 d0.79 ± 0.01 c
T2L139.81 ± 0.63 abc33.36 ± 0.16 a0.84 ± 0.01 abc
T2L239.50 ± 0.73 bc30.72 ± 0.54 cd0.81 ± 0.02 bc
T2L339.52 ± 1.14 bc31.90 ± 0.70 b0.82 ± 0.02 bc
T3L139.77 ± 0.15 abc32.96 ± 0.27 a0.87 ± 0.04 a
T3L240.79 ± 0.79 ab31.63 ± 0.39 bc0.86 ± 0.02 ab
T3L341.18 ± 0.41 a33.25 ± 0.59 a0.87 ± 0.05 ab
Temperature (°C)******
PAR (μmol·m−2·s−1)NS**NS
Temperature × PARNS**NS
L* indicates lightness; C* indicates chroma. Different lowercase letters indicate significant differences between different treatments. The symbol “**”indicate a highly significant difference at p < 0.01; and “NS” indicates no significant difference.
Table 5. Tomato index weight table based on entropy weight method.
Table 5. Tomato index weight table based on entropy weight method.
IndexInformation Entropy Value eWeight (%)
Yield per plant0.85819
Total water consumption per plant0.86219
Water use efficiency0.83123
Chroma0.91212
Soluble solids content 0.86818
Development process0.9319
Table 6. Comprehensive evaluation of tomato index.
Table 6. Comprehensive evaluation of tomato index.
TreatmentTOPSISLinear Weighting MethodGRAOverall
ScoreRankingScoreRankingScoreRankingScoreRanking
T1L10.6736 10.7318 10.661820.6861 1
T1L20.6104 20.6374 20.5700 40.6041 2
T1L30.5690 30.6118 30.5200 70.5642 4
T2L10.4945 50.5278 50.6761 10.5672 3
T2L20.4787 60.4986 60.5341 50.5036 6
T2L30.5149 40.5558 40.4883 80.5173 5
T3L10.3852 70.3349 90.6566 30.4652 7
T3L20.3759 80.3680 70.5328 60.4282 8
T3L30.3725 90.3661 80.4826 90.4090 9
Table 7. Effect size analysis.
Table 7. Effect size analysis.
x1x2x12x22x1x2
95% CI[−0.182, −0.071][0.045, 0.069][−0.112, −0.003][0.011, 0.0038][−0.053, −0.015]
Standardized regression coefficients−0.6170.556−0.2860.136−0.220
Table 8. Regression model performance evaluation.
Table 8. Regression model performance evaluation.
Model Validation Evaluation IndexTrainingValidation
R20.9800.959
RMSE0.01020.0114
SD0.0910.0863
Disclaimer/Publisher’s Note: The statements, opinions and data contained in all publications are solely those of the individual author(s) and contributor(s) and not of MDPI and/or the editor(s). MDPI and/or the editor(s) disclaim responsibility for any injury to people or property resulting from any ideas, methods, instructions or products referred to in the content.

Share and Cite

MDPI and ACS Style

Han, L.; Gao, Y.; Wen, Z.; Gao, X.; Wei, X.; Guo, W.; Xu, F. A Comprehensive Evaluation of High Air Temperature and Low Light Based on Tomato Development and Water Use. Agronomy 2026, 16, 31. https://doi.org/10.3390/agronomy16010031

AMA Style

Han L, Gao Y, Wen Z, Gao X, Wei X, Guo W, Xu F. A Comprehensive Evaluation of High Air Temperature and Low Light Based on Tomato Development and Water Use. Agronomy. 2026; 16(1):31. https://doi.org/10.3390/agronomy16010031

Chicago/Turabian Style

Han, Lin, Yinan Gao, Ziyi Wen, Xiangyu Gao, Xiaoming Wei, Wenzhong Guo, and Fan Xu. 2026. "A Comprehensive Evaluation of High Air Temperature and Low Light Based on Tomato Development and Water Use" Agronomy 16, no. 1: 31. https://doi.org/10.3390/agronomy16010031

APA Style

Han, L., Gao, Y., Wen, Z., Gao, X., Wei, X., Guo, W., & Xu, F. (2026). A Comprehensive Evaluation of High Air Temperature and Low Light Based on Tomato Development and Water Use. Agronomy, 16(1), 31. https://doi.org/10.3390/agronomy16010031

Note that from the first issue of 2016, this journal uses article numbers instead of page numbers. See further details here.

Article Metrics

Back to TopTop