Combined Effect of Antifungal Coating and Polyethylene Packaging on the Quality of Banana During Storage
Abstract
1. Introduction
2. Materials and Methods
2.1. Chemicals
2.2. Samples Preparation
2.3. Coating Design
2.4. Physical Analysis
2.4.1. Weight Variation
2.4.2. Fruit Dimensions
2.4.3. Firmness
2.4.4. Color
2.5. Chemical Analysis
2.5.1. pH
2.5.2. Titratable Acidity
2.5.3. Soluble Solids
2.6. Respiration Rate
2.7. Microbiological Analysis
2.8. Sensory Evaluation
2.9. Statistical Analysis
3. Results
3.1. Physical Analysis
3.1.1. Weight Variation
3.1.2. Fruit Dimensions
3.1.3. Firmness
3.1.4. Color Parameters
3.2. Chemical Analysis
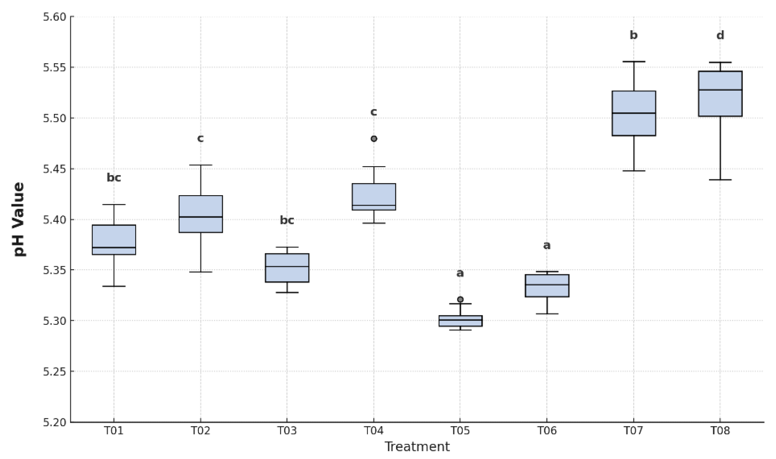
3.2.1. pH
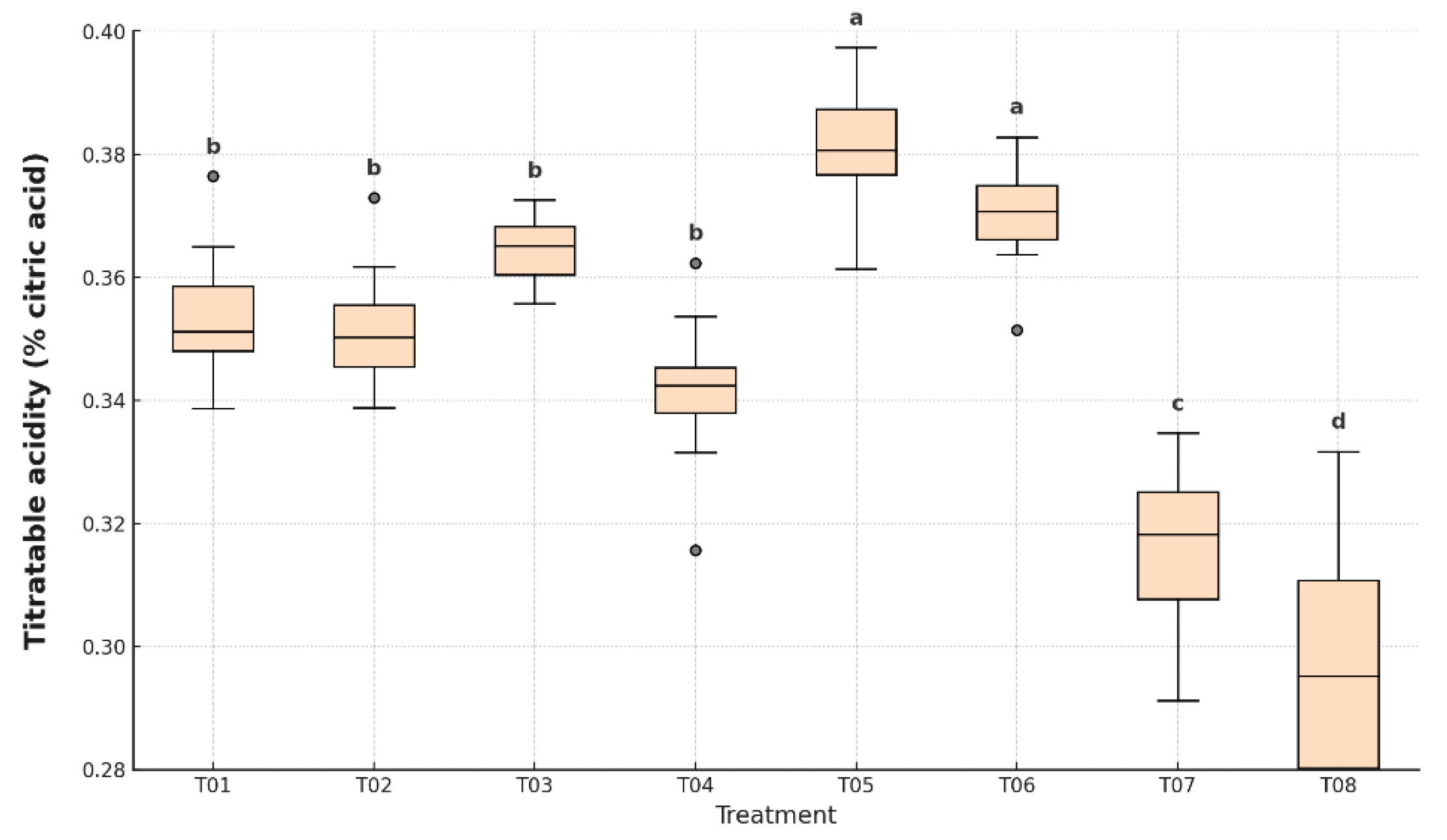
3.2.2. Titratable Acidity
3.2.3. Soluble Solids
3.3. Respiration Rate
3.4. Microbiological Quality
3.5. Sensory Evaluation
4. Discussion
4.1. Physical Analysis
4.1.1. Weight Variation
4.1.2. Fruit Dimensions
4.1.3. Firmness
4.1.4. Color Parameters
4.2. Chemical Analysis
4.2.1. pH
4.2.2. Titratable Acidity
4.2.3. Soluble Solids
4.3. Respiration Rate
4.4. Microbiological Quality
4.5. Sensory Evaluation
4.6. Statistical Analysis
5. Conclusions
Author Contributions
Funding
Institutional Review Board Statement
Informed Consent Statement
Data Availability Statement
Acknowledgments
Conflicts of Interest
References
- Capa Benítez, L.B.; Alaña Castillo, T.P.; Benítez Narváez, R.M. Importancia de la producción de banano orgánico. Caso: Provincia El Oro, Ecuador. Rev. Univ. Y Soc. 2016, 8, 64–71. [Google Scholar]
- EAF Vegetal. Tecnología poscosecha. Agron. Costarric. 2005, 29, 207–209. [Google Scholar]
- Kabir, J.; Kore, V.; Tawade, S. Application of Edible Coatings on Fruits and Vegetables. Imp. J. Interdiscip. Res. 2017, 3, 591–603. [Google Scholar]
- Ruiz Medina, M.D.; Ruales, J. Post-Harvest Alternatives in Banana Cultivation. Agronomy 2024, 14, 2109. [Google Scholar] [CrossRef]
- Palma, R.M.M.; Pérez, A.A.F.; Padilla, M.C. Recubrimientos comestibles para extender la vida de anaquel de productos hortofrutícolas. Cienc. Lat. Rev. Científica Multidiscip. 2021, 5, 4605–4625. [Google Scholar] [CrossRef]
- Akhtar, M.; Khan, M.R.; Hussain, S. Impact of edible coatings on the preservation of postharvest fruit quality. Int. J. Food Sci. Technol. 2020, 55, 3424–3431. [Google Scholar] [CrossRef]
- Ruiz Medina, M.D.; Quimbita Yupangui, Y.; Ruales, J. Effect of a Protein–Polysaccharide Coating on the Physicochemical Properties of Banana (Musa paradisiaca) During Storage. Coatings 2025, 15, 812. [Google Scholar] [CrossRef]
- Moradinezhad, F.; Adiba, A.; Ranjbar, A.; Dorostkar, M. Edible Coatings to Prolong the Shelf Life and Improve the Quality of Subtropical Fresh/Fresh-Cut Fruits: A Review. Horticulturae 2025, 11, 577. [Google Scholar] [CrossRef]
- Lin, Y.; Lin, H.; Fan, Z.; Wang, H.; Lin, M.; Chen, Y.; Hung, Y.-C. Inhibitory effect of propyl gallate on pulp breakdown of longan fruit and its relationship with ROS metabolism. Postharvest Biol. Technol. 2020, 168, 111272. [Google Scholar] [CrossRef]
- Castellanos, D.A.; Algecira, N.A.; Villota, C.P. Aspectos relevantes en el almacenamiento de banano en empaques con atmósferas modificadas. Rev. Iberoam. Tecnol. Postcosecha 2011, 12, 114–134. [Google Scholar]
- Vargas, A.; Valle, H.; González, M. Efecto del color y de la densidad del polietileno de fundas para cubrir el racimo sobre dimensiones, presentación y calidad poscosecha de frutos de banano y plátano. Agron. Costarric. 2010, 34, 269–285. [Google Scholar] [CrossRef]
- Peña-Baracaldo, F.J.; Chaparro, H.N.; Orjuela-Matta, H.M.; Romero-Guerrero, G. Respuesta en poscosecha de frutos de agraz (Vaccinium meridionale Swartz) a almacenamiento en dos tipos de plástico. Rev. U.D.C.A Actual. Divulg. Científica 2020, 23, 4605–4625. [Google Scholar] [CrossRef]
- Chiriboga, J. Hacia una agricultura más sostenible: Recubrimientos comestibles naturales para extender la vida útil de las frutas. Enero 2025, 2, 18–32. [Google Scholar] [CrossRef]
- Ruiz Medina, M.; Ávila, J.; Ruales, J. Diseño de un recubrimiento comestible bioactivo para aplicarlo en la frutilla (Fragaria vesca) como proceso de postcosecha. Rev. Iberoam. Tecnol. Postcosecha 2016, 17, 276–287. [Google Scholar]
- Bello-Lara, J.E.; Balois-Morales, R.; Juárez-López, P.; Alia-Tejacal, I.; Peña-Valdivia, C.B.; Jiménez-Zurita, J.O.; Sumaya-Martínez, M.T.; Jiménez-Ruíz, E.I. Coatings based on starch and pectin from ‘Pear’ banana (Musa ABB), and chitosan applied to postharvest ‘Ataulfo’ mango fruit. Rev. Chapingo Ser. Hortic. 2016, 22, 209–218. [Google Scholar] [CrossRef]
- Arce Ortiz, K.L.; Ortega Villalba, K.J.; Ochoamartinez, C.I.; Vélez Pasos, C. Postharvest properties of banana gross michel coated with whey protein and chitosan. Vitae 2016, 23, S749–S753. [Google Scholar]
- Elsayed, N.; Hassan, A.A.; Abdelaziz, S.M.; Abdeldaym, E.A.; Darwish, O.S. Effect of Whey Protein Edible Coating Incorporated with Mango Peel Extract on Postharvest Quality, Bioactive Compounds and Shelf Life of Broccoli. Horticulturae 2022, 8, 770. [Google Scholar] [CrossRef]
- Jafarizadeh, H.; Osman, A.; Tan, C.P.; Rahman, R.A. Effects of edible surface coatings (sodium carboxymethyl cellulose, sodium caseinate and glycerol) on storage quality of berangan banana (Musa sapientum cv. Berangan) using response surface methodology. J. Food Process. Preservation. 2012, 36, 252–261. [Google Scholar] [CrossRef]
- Sanchez-Tamayo, M.; Plaza-Dorado, J.L.; Ochoa-Martínez, C. Influence of Composite Edible Coating of Pectin, Glycerol, and Oregano Essential Oil on Postharvest Deterioration of Mango Fruit. Food Sci. Nutr. 2024, 12, 10646–10654. [Google Scholar] [CrossRef] [PubMed]
- Anjos, I.V.d.; Melo, S.S.d.; Gilio, T.A.S.; Kreitlow, J.P.; Neves, S.M.A.d.S.; Araújo, K.L.; Serafim, M.E.; Neves, L.G. Molecular Characterization of Isolates of Fusarium spp. Associated with Wilt in Capsicum spp. J. Agric. Sci. 2024, 11, 519–527. [Google Scholar] [CrossRef]
- Aquino-Martínez, J.G.; Vázquez-García, L.M.; Reyes-Reyes, B.G. Biocontrol in vitro e in vivo de Fusarium oxysporum Schlecht. f. sp. dianthi (Prill. y Delacr.) Snyder y Hans. con Hongos Antagonistas Nativos de la Zona Florícola de Villa Guerrero, Estado de México. Rev. Mex. Fitopatol. 2008, 26, 127–137. [Google Scholar]
- Ali, A.; Muhammad, M.T.M.; Sijam, K.; Siddiqui, Y. Effect of chitosan coatings on the physicochemical characteristics of Eksotika II papaya (Carica papaya L.) fruit during cold storage. Food Chem. 2011, 118, 620–626. [Google Scholar] [CrossRef]
- Barrera Necha, L.L.; García Barrera, L.J. Actividad antifúngica de aceites esenciales y sus compuestos sobre el crecimiento de Fusarium sp. aislado de papaya (Carica papaya). Rev. Científica UDO Agrícola 2008, 8, 33–41. [Google Scholar]
- Allagui, M.B.; Moumni, M.; Romanazzi, G. Antifungal Activity of Thirty Essential Oils to Control Pathogenic Fungi of Postharvest Decay. Antibiotics 2024, 13, 28. [Google Scholar] [CrossRef]
- Ruiz Medina, M.D.; Ruales, J. Essential Oils as an Antifungal Alternative to Control Several Species of Fungi Isolated from Musa paradisiaca: Part III. Microorganisms 2025, 13, 1663. [Google Scholar] [CrossRef]
- Abd Rashed, A.; Rathi, D.-N.G.; Ahmad Nasir, N.A.H.; Abd Rahman, A.Z. Antifungal Properties of Essential Oils and Their Compounds for Application in Skin Fungal Infections: Conventional and Nonconventional Approaches. Molecules 2021, 26, 1093. [Google Scholar] [CrossRef] [PubMed]
- Bakkali, F.; Averbeck, S.; Averbeck, D.; Idaomar, M. Biological effects of essential oils—A review. Food Chem. Toxicol. 2008, 46, 446–475. [Google Scholar] [CrossRef]
- Martínez, M.; Gómez, S. Antifungal properties of essential oils in fruit preservation. Food Res. Int. 2020, 127, 108679. [Google Scholar] [CrossRef]
- Aboboreira, M. Principales labores del cultivo de banano. Primera. Costa Rica: Finca Comercial. 1994. Available online: https://kipdf.com/principales-labores-del-cultivo-de-banano_5ae1b9687f8b9a8e4e8b45be.html (accessed on 13 February 2025).
- Galan, V.; Rangel, A.; Lopez, J.; Hernandez, J.B.P.; Sandoval, J.; Rocha, H.S. Propagación del banano: Técnicas tradicionales, nuevas tecnologías e innovaciones. Rev. Bras. Frutic. 2018, 40, 1–22. [Google Scholar] [CrossRef]
- Oms-Oliu, G.; Soliva-Fortuny, R.; Martín-Belloso, O. Using polysaccharide-based edible coatings to maintain quality of fresh-cut Fuji apples. LWT Food Sci. Technol. 2008, 41, 146–156. [Google Scholar] [CrossRef]
- Verma, S.; Giri, S.; Yadav, S. Effect of polyethylene packaging on the storage of tropical fruits. Food Packag. Shelf Life 2019, 22, 100422. [Google Scholar] [CrossRef]
- Zhao, L.; Wu, J.; Li, J. Application of polysaccharide-based edible coatings for the preservation of fresh fruits. Food Hydrocoll. 2019, 87, 221–230. [Google Scholar] [CrossRef]
- Brackmann, A.; Steffens, C.A.; Sestari, I.; Neuwald, D.A.; Giehl, R.F.H. Modified and controlled atmosphere storage of “Prata” banana with ethylene scrubbing. Ciênc. Agrotec. 2006, 30, 914–919. [Google Scholar] [CrossRef]
- Nischitha, R.; Shravya; Pooja, D.V.; Shetty, M. Impact of Edible Coating in Extending the Shelf Life of Post-Harvested Banana Under Storage Condition. ResearchGate n.d. Available online: https://www.researchgate.net/publication/378011325_Impact_of_Edible_Coating_in_Extending_the_Shelf_life_of_Post-harvested_Banana_under_Storage_Condition. (accessed on 26 May 2025).
- Al-Dairi, M.; Pathare, P.B.; Al-Yahyai, R.; Jayasuriya, H.; Al-Attabi, Z. Postharvest quality, technologies, and strategies to reduce losses along the supply chain of banana: A review. Trends Food Sci. Technol. 2023, 134, 177–191. [Google Scholar] [CrossRef]
- Aroca, K.; Regalado, O.; Acosta, S. Estudio de la conservación de frutas en “Gamma IV” con la aplicación de un recubrimiento biodegradable-activo. Ecuad. ES Calid. Rev. Científica Ecuat. 2018, 5, 1–9. [Google Scholar] [CrossRef]
- Caicedo, W.; Vargas, J.C.; Uvidia, H.; Samaniego, E.; Valle, S.; Flores, L.; Moyano, J.; Aguiar, S. Physicochemical, biological and organoleptic indicators in banana silage (Musa sapientum) for pig feeding. Cuban J. Agric. Sci. 2017, 51, 85–92. Available online: https://www.redalyc.org/articulo.oa?id=653768175010 (accessed on 10 April 2025).
- Alzate Acevedo, S.; Díaz Carrillo, Á.J.; Flórez-López, E.; Grande-Tovar, C.D. Recovery of Banana Waste-Loss from Production and Processing: A Contribution to a Circular Economy. Molecules 2021, 26, 5282. [Google Scholar] [CrossRef] [PubMed]
- Ruiz Medina, M.D.; Ruales, J. Essential Oils as an Antifungal Alternative to Control Several Species of Fungi Isolated of Musa paradisiaca: Part II. Microorganisms 2025, 13, 1663. [Google Scholar] [CrossRef] [PubMed]
- Lieu, D.M.; Dang, T.T.K.; Nguyen, H.T. Protein and polysaccharide edible coatings: A promising approach for fruits preservation—Recent advances. Food Chem. X 2025, 27, 102388. [Google Scholar] [CrossRef]
- Ruiz Medina, M.D.; Ruales, J. Essential Oils as an Antifungal Alternative for the Control of Various Species of Fungi Isolated from Musa paradisiaca: Part I. Microorganisms 2025, 13, 1827. [Google Scholar] [CrossRef]
- Fernández, N.M.; Echeverria, D.C.; Mosquera, S.A.; Paz, S.P. Estado actual del uso de recubrimientos comestibles en frutas y hortalizas. Biotecnol. Sect. Agropecu. Y Agroindustrial 2017, 15, 134–141. [Google Scholar] [CrossRef]
- Villalta, R.; Pérez, L.; Guzmán, M. Estimación de la pérdida de peso en frutos de banano (Musa AAA) empacado con destino al mercado europeo. CORBANA 2019, 45, 19–32. [Google Scholar]
- Ulloa, L.; Sáenz, M.; Castro, J. Efecto del almacenamiento a diferentes temperaturas sobre el desarrollo de color externo y la calidad de frutos de piña cv. Dorada extra dulce. Agron. Costarric. 2015, 39, 9–20. [Google Scholar] [CrossRef]
- Castellanos, D.; Algecira, N. Modelling change in color and firmness of baby banana (Musa acuminata AA) in modified atmosphere packaging. Agron. Colomb. 2012, 30, 84–94. [Google Scholar]
- Vásquez-Castillo, W.; Racines-Oliva, M.; Moncayo, P.; Viera, W.; Seraquive, M.; Vásquez-Castillo, W.; Racines-Oliva, M.; Moncayo, P.; Viera, W.; Seraquive, M. Calidad del fruto y pérdidas poscosecha de banano orgánico Musa acuminata en el Ecuador. Enfoque UTE 2019, 10, 57–66. [Google Scholar] [CrossRef]
- ISO 11036:2017; Fruits and vegetables—Measurement of firmness. ISO: Geneva, Switzerland, 2017.
- ISO 11037:1997; Fruit and vegetable products—Determination of color. ISO: Geneva, Switzerland, 1997.
- AOAC International. AOAC 981.12-1982; pH of Acidified Food. In Official Methods of Analysis of AOAC International, 15th ed.; AOAC International: Washington, DC, USA, 1981. [Google Scholar]
- AOAC International. AOAC 942.15-1965; Acidity Titratable of Fruit Products. In Official Methods of Analysis of AOAC International, 16th ed.; AOAC International: Washington, DC, USA, 1997. [Google Scholar]
- Davara, P.R.; Patel, N.C. Assessment of post harvest losses in banana grown in Gujarat. J. Hortic. Sci. 2009, 4, 187–190. [Google Scholar] [CrossRef]
- International, A. Official Methods of Analysis of AOAC International, 16th ed.; Association of Official Analytical Chemists: Arlington, VA, USA, 1997. [Google Scholar]
- Ladino, A.; Valencia, S. Estudio del manejo poscosecha del maíz tierno (Zea mays L.) procedente del cantón San Miguel de la provincia de Bolívar. Rev. EPN 2014, 33, 1–11. Available online: https://www.redalyc.org/articulo.oa?id=688773656004 (accessed on 28 January 2025).
- Kandsamy, P. Respiration Rate of Fruits and Vegetables for Modified Atmosphere Packaging: A Mathematical Approach. ResearchGate 2022. Available online: https://www.researchgate.net/publication/358532606_Respiration_rate_of_fruits_and_vegetables_for_modified_atmosphere_packaging_a_mathematical_approach (accessed on 16 July 2025).
- Maturin, L. Chapter 3 Aerobic Plate Count. In Bacteriological Analytical Manual; Association of Official Analytical Chemists: Rockville, MD, USA, 2018. Available online: https://www.fda.gov/food/laboratory-methods-food/bam-chapter-3-aerobic-plate-count (accessed on 17 December 2024).
- Kemp, S.E.; Hort, J.; Hollowood, T. Descriptive Analysis in Sensory Evaluation; John Wiley & Sons: Hoboken, NJ, USA, 2018; ISBN 978-0-470-67139-9. [Google Scholar]
- Lawless, H.T.; Heymann, H. Sensory Evaluation of Food: Principles and Practices; Springer: Berlin/Heidelberg, Germany, 2010; ISBN 978-1-4419-6488-5. [Google Scholar]
- ASTM E1871-10; Standard Guide for Serving Protocol for Sensory Evaluation of Foods and Beverages. ASTM International: West Conshohocken, PA, USA, 2010. Available online: https://standards.iteh.ai/catalog/standards/astm/06e76b44-4e1b-41ff-8ffc-cb1c938aded6/astm-e1871-10 (accessed on 12 July 2025).
- Samarakoon, K.W.; Thong, P.H.; Jeewanthi, R.K.C. Evaluation of antifungal activity of cassia and holy basil essential oils against postharvest banana pathogens. Chem. Pap. 2020, 74, 3113–3121. [Google Scholar] [CrossRef]
- Hwang, S.; Lee, J. Effect of whey protein-based edible coatings on the shelf life of bananas. Food Chem. 2016, 210, 120–125. [Google Scholar]
- Anaya-Esparza, L.M.; Pérez-Larios, A.; Ruvalcaba-Gómez, J.M.; Sánchez-Burgos, J.A.; Romero-Toledo, R.; Montalvo-González, E. Funcionalización de los recubrimientos a base de quitosano para la conservación postcosecha de frutas y hortalizas. TIP Rev. Espec. Cienc. Quím. Biol. 2020, 23, 1–14. [Google Scholar] [CrossRef]
- Uscocovich, Á.; Zambrano, E.; Proaño, M.; Díaz, E.; Bosquez, A.; Travez, F. Influencia del recubrimiento con quitosano en la calidad física del banano en poscosecha. Peer Reviewed. Multidiscip. Sci. J. Yachasun 2023, 7, 40–56. Available online: https://editorialibkn.com/index.php/Yachasun/article/view/391 (accessed on 14 June 2025).
- Al-Yahyai, L.; Al-Yahyai, R.; Janke, R.; Al-Dairi, M.; Pathare, P.B. Effect of Natural Edible Oil Coatings and Storage Conditions on the Postharvest Quality of Bananas. AgriEngineering 2025, 7, 234. [Google Scholar] [CrossRef]
- Dávila, M.; Cortés, R.M.; Gil, G.J.H. Cambios físicos y fisicoquímicos durante el almacenamiento en plátano impregnado al vacío con soluciones antioxidantes. Biotecnol. Sect. Agropecu. Agroind. 2016, 14, 125–134. [Google Scholar] [CrossRef]
- Dussán-Sarria, S.; Gaona-Acevedo, A.F.; Hleap-Zapata, J.I. Efecto del Uso de Antioxidantes en Plátano Verde Dominico-Hartón (Musa AAB Simmonds) Cortado en Rodajas. Inf. Tecnológica 2017, 28, 3–10. [Google Scholar] [CrossRef]
- Dussán-Sarria, S.; Camacho-Tamayo, J.H.; Álvarez-Herrera, J.G. Los cambios en atributos de calidad y comportamiento fisiológico de banano entero (Musa acuminata cv. ‘cavendish’) durante el almacenamiento comercial. Rev. Bras. Ciências Agrárias 2024, 19, 1–8. [Google Scholar] [CrossRef]
- Fernández-Valdés, D.; García-Pereira, A.; Hernández-Gómez, A.; Monzón-Monrabal, L.L. Evaluación del daño mecánico producido por cargas estáticas de compresión en guayaba (Psidium guajaba L.) variedad enana roja EEA-123. Científica 2012, 16, 91–98. [Google Scholar]
- Alvarez, L.F.A.; Maya, C.F.H.; Troya, E.T.T.; Luzuriaga, S.A.G. Estudio del efecto del pardeamiento enzimático en la calidad nutricional del banano (Musa Paradisiaca l.). RECIENA 2023, 3, 15–21. [Google Scholar] [CrossRef]
- García, J.C.; Gómez, C.A.; Herrera, A.O. Efecto del 1-metilciclopropeno (1-MCP) en el comportamiento poscosecha de banano bocadillo (Musa acuminata AA, Simmonds). In Avances en la Postcosecha de Frutas y Hortalizas. XI Simposio Nacional y VIII Ibérico sobre Maduración y Postcosecha, Valencia, Spain, 21–23 October 2014; Zacarías, L., Ballester, R., Marcos, J.F., Pérez Gago, M.B., Eds.; Universidad Nacional de Colombia: Bogotá, Colombia, 2014; pp. 339–343. ISBN 978-84-617-1950-1. [Google Scholar]
- Singh, G.; Maurya, S.; de Lampasona, M.P.; Catalan, C.A.N. A comparison of chemical, antioxidant and antimicrobial studies of cinnamon leaf and bark volatile oils, oleoresins and their constituents. Food Chem. Toxicol. 2007, 45, 1650–1661. [Google Scholar] [CrossRef]
- Borges, C.V.; Amorim, E.P.; Leonel, M.; Gomez, H.A.; Santos, T.P.R.; Ledo, C.A.S.; Belin, M.A.F.; Almeida, S.L.; Minatel, I.O.; Lima, G.P.P. Post-harvest physicochemical profile and bioactive compounds of 19 bananas and plantains genotypes. Bragantia 2019, 78, 284–296. [Google Scholar] [CrossRef]










| Código | Description | Company |
|---|---|---|
| T01 | Banana with antifungal coating and low-density polyethylene (LDPE) | A |
| T02 | Banana with antifungal coating and high-density polyethylene (HDPE) | A |
| T03 | Banana with antifungal coating and low-density polyethylene (LDPE) | B |
| T04 | Banana with antifungal coating and high-density polyethylene (HDPE) | B |
| T05 | Banana with antifungal coating and low-density polyethylene (LDPE) | C |
| T06 | Banana with antifungal coating and high-density polyethylene (HDPE) | C |
| T07 | Control: Banana packed in plastic without coating | |
| T08 | Control: Banana without coating or packaging |
| Treatment | ΔL* (Lightness Loss) | Δa* (Shift to Red) | Δb* (Loss of Yellow) |
|---|---|---|---|
| T01 | 6.9 ± 0.2 b | 2.9 ± 0.1 b | 3.7 ± 0.1 b |
| T02 | 7.3 ± 0.2 b | 3.1 ± 0.1 b | 3.9 ± 0.1 b |
| T03 | 6.6 ± 0.2 b | 2.8 ± 0.1 b | 3.5 ± 0.1 b |
| T04 | 7.4 ± 0.2 b | 3.2 ± 0.1 b | 4.0 ± 0.1 b |
| T05 | 5.3 ± 0.1 a | 2.4 ± 0.1 a | 3.1 ± 0.1 a |
| T06 | 5.5 ± 0.1 a | 2.5 ± 0.1 a | 3.3 ± 0.1 a |
| T07 | 8.7 ± 0.2 c | 3.8 ± 0.1 c | 4.7 ± 0.1 c |
| T08 | 12.8 ± 0.3 d | 5.4 ± 0.1 d | 6.2 ± 0.1 d |
Disclaimer/Publisher’s Note: The statements, opinions and data contained in all publications are solely those of the individual author(s) and contributor(s) and not of MDPI and/or the editor(s). MDPI and/or the editor(s) disclaim responsibility for any injury to people or property resulting from any ideas, methods, instructions or products referred to in the content. |
© 2025 by the authors. Licensee MDPI, Basel, Switzerland. This article is an open access article distributed under the terms and conditions of the Creative Commons Attribution (CC BY) license (https://creativecommons.org/licenses/by/4.0/).
Share and Cite
Ruiz Medina, M.D.; Quimbita Yupangui, Y.; Artés-Hernández, F.; Ruales, J. Combined Effect of Antifungal Coating and Polyethylene Packaging on the Quality of Banana During Storage. Agronomy 2025, 15, 2028. https://doi.org/10.3390/agronomy15092028
Ruiz Medina MD, Quimbita Yupangui Y, Artés-Hernández F, Ruales J. Combined Effect of Antifungal Coating and Polyethylene Packaging on the Quality of Banana During Storage. Agronomy. 2025; 15(9):2028. https://doi.org/10.3390/agronomy15092028
Chicago/Turabian StyleRuiz Medina, Maritza D., Yadira Quimbita Yupangui, Francisco Artés-Hernández, and Jenny Ruales. 2025. "Combined Effect of Antifungal Coating and Polyethylene Packaging on the Quality of Banana During Storage" Agronomy 15, no. 9: 2028. https://doi.org/10.3390/agronomy15092028
APA StyleRuiz Medina, M. D., Quimbita Yupangui, Y., Artés-Hernández, F., & Ruales, J. (2025). Combined Effect of Antifungal Coating and Polyethylene Packaging on the Quality of Banana During Storage. Agronomy, 15(9), 2028. https://doi.org/10.3390/agronomy15092028

