Effects of Nitrogen and Water Addition on Ecosystem Carbon Fluxes in a Grazing Desert Steppe
Abstract
1. Introduction
2. Materials and Methods
2.1. Study Site
2.2. Experimental Design
2.3. Measurements of Ecosystem Carbon Fluxes, Soil Moisture, and Temperature
2.4. Data Analysis
3. Results
3.1. Air Temperature and Precipitation
3.2. Soil Temperature and Soil Moisture
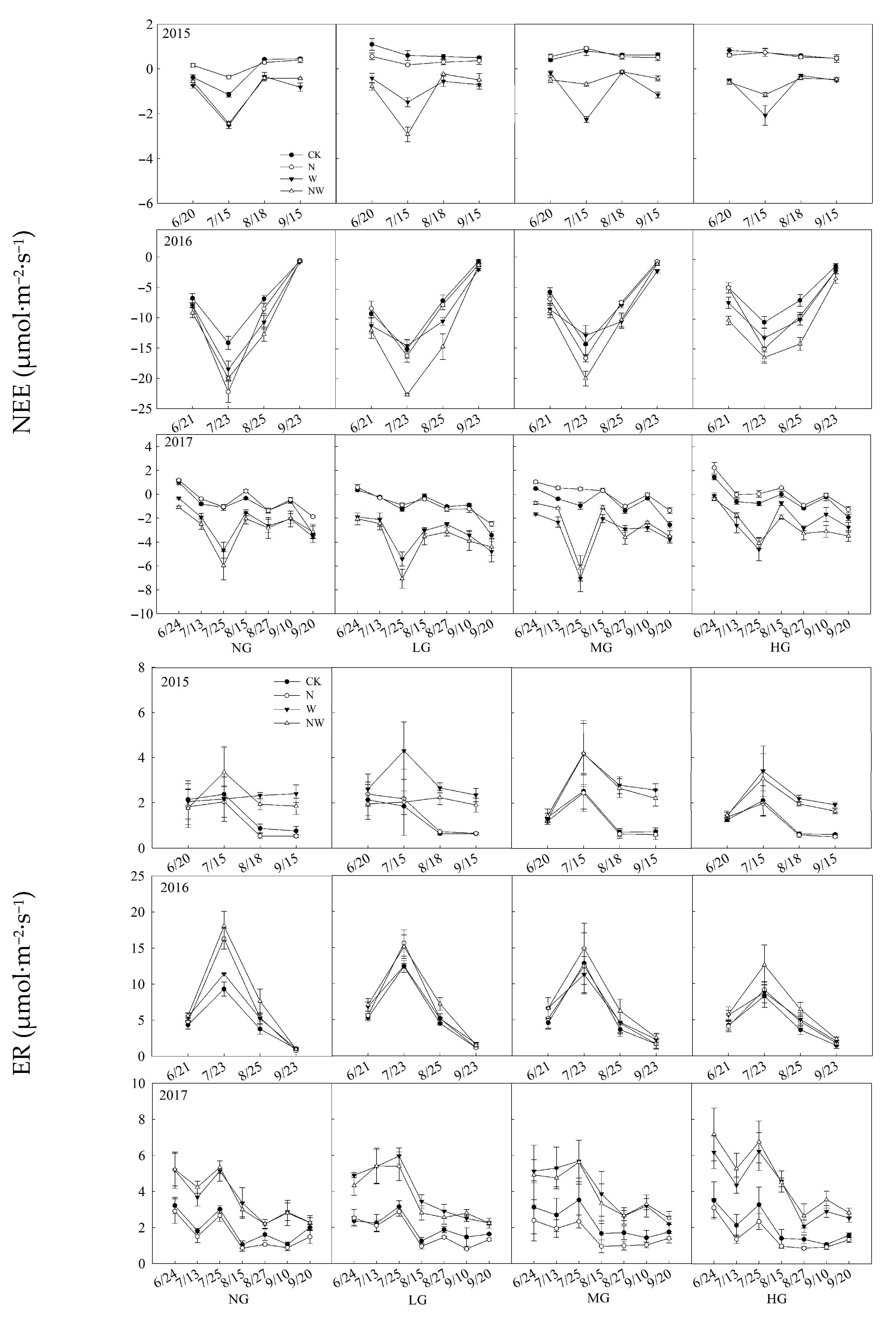
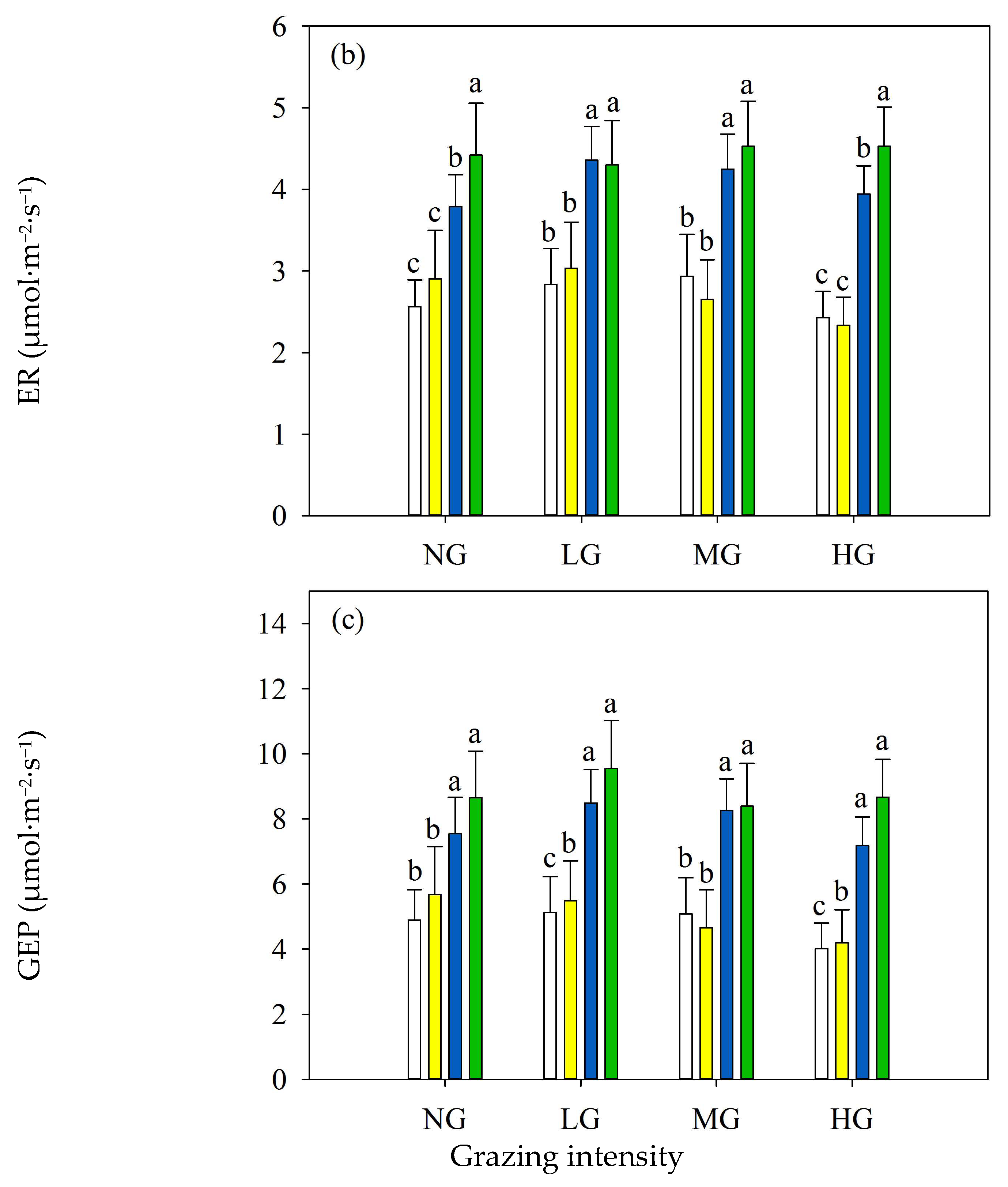
3.3. Characteristics of Ecosystem CO2 Fluxes Under Water and Nitrogen Addition Treatments
3.4. Relationships of Ecosystem CO2 Fluxes with Soil Temperature and Soil Moisture
4. Discussion
5. Conclusions
Author Contributions
Funding
Data Availability Statement
Conflicts of Interest
Abbreviations
| NEE | Net ecosystem CO2 exchange |
| GEP | Gross ecosystem productivity |
| ER | Ecosystem respiration |
| C | Carbon |
| NG | No grazing |
| LG | Light grazing |
| MG | Moderate grazing |
| HG | Heavy grazing |
| CK | No water and nitrogen addition |
| N | Nitrogen addition |
| W | Water addition |
| NW | Combined water and nitrogen addition |
| GI | Historical grazing intensity |
| Y | Year |
| ST | Soil temperature |
| SM | Soil moisture |
References
- Shen, H.H.; Zhu, Y.K.; Zhao, X.; Geng, X.Q.; Gao, S.Q.; Fang, J.Y. Analysis of current grassland resources in China. Chin. Sci. Bull. 2016, 61, 139–154. [Google Scholar]
- Bai, Y.F.; Huang, J.H.; Zheng, S.X.; Pan, Q.M.; Zhang, L.X.; Zhou, H.K.; Xu, H.L.; Li, Y.L.; Ma, J. Drivers and regulating mechanisms of grassland and desert ecosystem services. Chin. J. Plant Ecol. 2014, 38, 93–102. [Google Scholar]
- Niu, S.; Wu, M.; Han, Y.; Xia, J.; Li, L.; Wan, S. Water-mediated responses of ecosystem carbon fluxes to climatic change in a temperate steppe. New Phytol. 2007, 177, 209–219. [Google Scholar] [CrossRef] [PubMed]
- Sloat, L.L.; Henderson, A.N.; Lamanna, C.; Enquist, B.J. The effect of the foresummer drought on carbon exchange in Subalpine meadows. Ecosystems 2015, 18, 533–545. [Google Scholar] [CrossRef]
- Bobbink, R.; Hicks, K.; Galloway, J.; Spranger, T.; Alkemade, R.; Ashmore, M.; Bustamante, M.; Cinderby, S.; Davidson, E.; Dentener, F.; et al. Global assessment of nitrogen deposition effects on terrestrial plant diversity: A synthesis. Ecol. Appl. 2010, 20, 30–59. [Google Scholar] [CrossRef]
- Hilker, T.; Natsagdorj, E.; Waring, R.H.; Lyapustin, A.; Wang, Y. Satellite observed widespread decline in Mongolian grasslands largely due to overgrazing. Glob. Change Biol. 2013, 20, 418–428. [Google Scholar] [CrossRef]
- Lemoine, N.P.; Sheffield, J.; Dukes, J.S.; Knapp, A.K.; Smith, M.D. Terrestrial Precipitation Analysis (TPA): A resource for characterizing long-term precipitation regimes and extremes. Methods Ecol. Evol. 2016, 7, 1396–1401. [Google Scholar] [CrossRef]
- Zhang, H.; Wang, B.; Wu, Y.; Wu, L.; Yue, L.; Bai, Y.; Chen, D. Plants and soil biota co-regulate stability of ecosystem multifunctionality under multiple environmental changes. Ecology 2025, 106, e4534. [Google Scholar] [CrossRef] [PubMed]
- Xu, F.; Li, J.; Su, J.; Sasaki, T.; Lu, X.; Wang, Y.; Chen, D.; Bai, Y. Understanding the drivers of ecosystem multifunctionality in the Mongolian steppe: The role of grazing history and resource input. Agric. Ecosyst. Environ. 2023, 359, 108748. [Google Scholar] [CrossRef]
- Zhou, G.; Zhou, X.; He, Y.; Shao, J.; Hu, Z.; Liu, R.; Zhou, H.; Hosseinibai, S. Grazing intensity significantly affects belowground carbon and nitrogen cycling in grassland ecosystems: A meta-analysis. Glob. Change Biol. 2016, 23, 1167–1179. [Google Scholar] [CrossRef]
- Post, A.K.; Knapp, A.K. The importance of extreme rainfall events and their timing in a semi-arid grassland. J. Ecol. 2020, 108, 2431–2443. [Google Scholar] [CrossRef]
- Zhao, F.; Ren, C.; Shelton, S.; Wang, Z.; Pang, G.; Chen, J.; Wang, J. Grazing intensity influence soil microbial communities and their implications for soil respiration. Agric. Ecosyst. Environ. 2017, 249, 50–56. [Google Scholar] [CrossRef]
- Wu, J.; Wang, H.; Li, G.; Lu, Y.; Wei, X. Effects of rainfall amount and frequency on carbon exchange in a wet meadow ecosystem on the Qinghai-Tibet Plateau. Catena 2022, 219, 106629. [Google Scholar] [CrossRef]
- Liu, Y.; Chen, R.; Han, C.; Liu, Z.; Yang, Z.; Zhao, Y. Diurnal pattern and characteristic of soil respiration and net ecosystem carbon exchange in alpine meadow ecosystem on the northeastern Qinghai-Tibet Plateau. Ecol. Indic. 2024, 165, 112180. [Google Scholar] [CrossRef]
- Hasi, M.; Zhang, X.; Niu, G.; Wang, Y.; Geng, Q.; Quan, Q.; Chen, S.; Han, X.; Huang, J. Soil moisture, temperature and nitrogen availability interactively regulate carbon exchange in a meadow steppe ecosystem. Agric. For. Meteorol. 2021, 304–305, 108389. [Google Scholar] [CrossRef]
- Wang, Y.; Meng, B.; Zhong, S.; Wang, D.; Ma, J.; Sun, W. Aboveground biomass and root/shoot ratio regulated drought susceptibility of ecosystem carbon exchange in a meadow steppe. Plant Soil 2018, 432, 259–272. [Google Scholar] [CrossRef]
- Li, J.; Huang, Y.; Xu, F.; Wu, L.; Chen, D.; Bai, Y. Responses of growing-season soil respiration to water and nitrogen addition as affected by grazing intensity. Funct. Ecol. 2018, 32, 1890–1901. [Google Scholar] [CrossRef]
- Xu, F.; Li, J.; Wu, L.; Zhu, B.; Chen, D.; Bai, Y. Grazing legacy mediates the diverse responses of grassland multidimensional stability to resource enrichment. Agric. Ecosyst. Environ. 2024, 378, 109313. [Google Scholar] [CrossRef]
- Wang, Y.; Zhao, Q.; Wang, Z.; Zhao, M.; Han, G. Overgrazing leads to decoupling of precipitation patterns and ecosystem carbon exchange in the desert steppe through changing community composition. Plant Soil 2023, 486, 607–620. [Google Scholar] [CrossRef]
- Jin, Y.X.; Liu, F.; Zhang, J.; Han, M.Q.; Wang, Z.W.; Qu, Z.Q.; Han, G.D. Net ecosystem carbon exchange characteristics in Stipa breviflora desert steppe with different stocking rates. Chin. J. Plant Ecol. 2018, 42, 361–371. [Google Scholar]
- Huian, G. Effects of grazing on carbon and nitrogen in plants and soils in a semiarid desert grassland, China. J. Arid Land 2014, 7, 341–349. [Google Scholar]
- Shen, C.; Zhang, J.; Yang, X.; Liu, J.; Han, G. Effects of grazing on temperate grassland ecosystems: A meta-analysis. Agric. Ecosyst. Environ. 2024, 381, 109452. [Google Scholar] [CrossRef]
- Bai, Y.; Cotrufo, M.F. Grassland soil carbon sequestration: Current understanding, challenges, and solutions. Science 2022, 377, 603–608. [Google Scholar] [CrossRef]
- Wang, H.; Li, Y.; Zhang, J.; Zhang, T.; Wang, Y.; Li, F.Y. Moderate grazing reduces while mowing increases greenhouse gas emissions from a steppe grassland: Key modulating function played by plant standing biomass. J. Environ. Manag. 2025, 374, 124142. [Google Scholar] [CrossRef]
- Chen, J.; Shi, W.; Cao, J. Effects of grazing on ecosystem CO2 exchange in a meadow grassland on the Tibetan Plateau during the growing season. Environ. Manag. 2014, 55, 347–359. [Google Scholar] [CrossRef]
- Hou, L.; Liu, Y.; Du, J.; Wang, M.; Wang, H.; Mao, P. Grazing effects on ecosystem CO2 fluxes differ among temperate steppe types in Eurasia. Sci. Rep. 2016, 6, 29028. [Google Scholar] [CrossRef]
- Zhou, W.C.; Suolang, D.E.J.; Cui, L.J.; Wang, Y.F.; Li, W. Effects of fencing and grazing on the emissions of CO2 and CH4 in Zoige Peatland, East Qinghai-Tibetan Plateau. Ecol. Environ. Sci. 2015, 24, 183–189. [Google Scholar]
- Chen, S.; Lin, G.; Huang, J.; Jenerette, G.D. Dependence of carbon sequestration on the differential responses of ecosystem photosynthesis and respiration to rain pulses in a semiarid steppe. Glob. Change Biol. 2009, 15, 2450–2461. [Google Scholar] [CrossRef]
- Yu, J.; Zhang, Y.; Wang, Y.; Luo, X.; Liang, X.; Huang, X.; Zhao, Y.; Zhou, X.; Li, J. Ecosystem photosynthesis depends on increased water availability to enhance carbon assimilation in semiarid desert steppe in northern China. Glob. Ecol. Conserv. 2022, 38, e02202. [Google Scholar] [CrossRef]
- Harpole, W.S.; Potts, D.L.; Suding, K.N. Ecosystem responses to water and nitrogen amendment in a California grassland. Glob. Change Biol. 2007, 13, 2341–2348. [Google Scholar] [CrossRef]
- Risch, A.; Frank, D. Effects of increased soil water availability on grassland ecosystem carbon dioxide fluxes. Biogeochemistry 2007, 86, 91–103. [Google Scholar] [CrossRef]
- Koerner, S.E.; Collins, S.L.; Blair, J.M.; Knapp, A.K.; Smith, M.D. Rainfall variability has minimal effects on grassland recovery from repeated grazing. J. Veg. Sci. 2013, 25, 36–44. [Google Scholar] [CrossRef]
- Guan, K.Y.; Good, S.P.; Caylor, K.K.; Medvigy, D.; Pan, M.; Wood, E.F.; Sato, H.; Biasutti, M.; Chen, M.; Ahlström, A.; et al. Simulated sensitivity of African terrestrial ecosystem photosynthesis to rainfall frequency, intensity, and rainy season length. Environ. Res. Lett. 2017, 13, 025013. [Google Scholar] [CrossRef]
- Liu, J.; Ma, X.; Duan, Z.; Jiang, J.; Reichstein, M.; Jung, M. Impact of temporal precipitation variability on ecosystem productivity. Wires Water 2020, 7, e1481. [Google Scholar] [CrossRef]
- Huang, G.; Li, Y.; Padilla, F.M. Ephemeral plants mediate responses of ecosystem carbon exchange to increased precipitation in a temperate desert. Agric. For. Meteorol. 2014, 201, 141–152. [Google Scholar] [CrossRef]
- Hao, G.; Hu, Z.; Di, K.; Li, S. Rainfall pulse response of carbon exchange to the timing of natural intra-annual rainfall in a temperate grass ecosystem. Ecol. Indic. 2020, 118, 106730. [Google Scholar] [CrossRef]
- Brueck, H.; Erdle, K.; Gao, Y.; Giese, M.; Zhao, Y.; Peth, S.; Lin, S. Effects of N and water supply on water use-efficiency of a semiarid grassland in Inner Mongolia. Plant Soil 2009, 328, 495–505. [Google Scholar] [CrossRef]
- Jiang, L.; Guo, R.; Zhu, T.; Niu, X.; Guo, J.; Sun, W. Water- and plant-mediated responses of ecosystem carbon fluxes to warming and nitrogen addition on the Songnen grassland in northeast China. PLoS ONE 2012, 7, e45205. [Google Scholar] [CrossRef] [PubMed]
- Niu, S.; Wu, M.; Han, Y.; Xia, J.; Zhang, Z.; Yang, H.; Wan, S. Nitrogen effects on net ecosystem carbon exchange in a temperate steppe. Glob. Change Biol. 2009, 16, 144–155. [Google Scholar] [CrossRef]
- Chen, D.; Xing, W.; Lan, Z.; Saleem, M.; Wu, Y.; Hu, S.; Bai, Y. Direct and indirect effects of nitrogen enrichment on soil organisms and carbon and nitrogen mineralization in a semi-arid grassland. Funct. Ecol. 2018, 33, 175–187. [Google Scholar] [CrossRef]
- Yan, L.; Chen, S.; Huang, J.; Lin, G. Increasing water and nitrogen availability enhanced net ecosystem CO2 assimilation of a temperate semiarid steppe. Plant Soil 2011, 349, 227–240. [Google Scholar] [CrossRef]
- Song, W.; Ochoa-Hueso, R.; Cui, H.; Yang, X.; Fan, M.; Sun, W. Effects of nitrogen addition on ecosystem-level carbon fluxes and water use efficiency are more dependent on early growing season precipitation than on annual precipitation in a semi-arid meadow steppe. Agric. For. Meteorol. 2023, 330, 109316. [Google Scholar] [CrossRef]
- Wang, Z.; Jiao, S.; Han, G.; Zhao, M.; Ding, H.; Zhang, X.; Wang, X.; Ayers, E.L.; Willms, W.D.; Havsatad, K.; et al. Effects of stocking rate on the variability of peak standing crop in a desert steppe of Eurasia grassland. Environ. Manag. 2013, 53, 266–273. [Google Scholar] [CrossRef]
- Zhang, P.J.; Huang, J.H.; Mu, L.; Shan, Y.M.; Ye, R.H.; Wen, C.; Chang, H.; Ren, T.T.; Chen, S.P.; Bai, Y.F. Influence of nitrogen and water addition on the primary productivity of Stipa breviflora in a desert steppe under different grazing intensities. Acta Ecol. Sin. 2022, 42, 5458–5470. [Google Scholar] [CrossRef]
- Chen, S.; Lin, G.; Huang, J.; He, M. Responses of soil respiration to simulated precipitation pulses in semiarid steppe under different grazing regimes. J. Plant Ecol. 2008, 1, 237–246. [Google Scholar] [CrossRef]
- Zhang, X.; Tan, Y.; Li, A.; Ren, T.; Chen, S.; Wang, L.; Huang, J. Water and nitrogen availability co-control ecosystem CO2 exchange in a semiarid temperate steppe. Sci. Rep. 2015, 5, 15549. [Google Scholar] [CrossRef]
- Kang, X.; Hao, Y.; Cui, X.; Chen, H.; Li, C.; Rui, Y.; Tian, J.; Kardol, P.; Zhong, L.; Wang, J.; et al. Effects of grazing on CO2 balance in a semiarid steppe: Field observations and modeling. J. Soils Sediments 2013, 13, 1012–1023. [Google Scholar] [CrossRef]
- Zhang, F.; Quan, Q.; Ma, F.; Zhou, Q.; Niu, S. Clipping increases ecosystem carbon sequestration and its sensitivity to precipitation change in an alpine meadow. Plant Soil 2019, 458, 165–174. [Google Scholar] [CrossRef]
- Chang, Q.; Xu, T.; Ding, S.; Wang, L.; Liu, J.; Wang, D.; Wang, Y.; Li, Z.; Zhao, X.; Song, X.; et al. Herbivore Assemblage as an Important Factor Modulating Grazing Effects on Ecosystem Carbon Fluxes in a Meadow Steppe in Northeast China. J. Geophys. Res. Biogeosci. 2020, 125, e2020JG005652. [Google Scholar] [CrossRef]
- Zhu, L.; Johnson, D.A.; Wang, W.; Ma, L.; Rong, Y. Grazing effects on carbon fluxes in a Northern China grassland. J. Arid Environ. 2014, 114, 41–48. [Google Scholar] [CrossRef]
- Fan, F.; Liang, C.; Tang, Y.; Harker-schuch, I.; Porter, J.R. Effects and relationships of grazing intensity on multiple ecosystem services in the Inner Mongolian steppe. Sci. Total Environ. 2019, 675, 642–650. [Google Scholar] [CrossRef]
- Koncz, P.; Pintér, K.; Balogh, J.; Papp, M.; Hidy, D.; Csintalan, Z.; Molnár, E.; Szaniszló, A.; Kampfl, G.; Horváth, L.; et al. Extensive grazing in contrast to mowing is climate-friendly based on the farm-scale greenhouse gas balance. Agric. Ecosyst. Environ. 2017, 240, 121–134. [Google Scholar] [CrossRef]
- Giltrap, D.L.; Kirschbaum, M.U.; Laubach, J.; Hunt, J.E. The effects of irrigation on carbon balance in an irrigated grazed pasture system in New Zealand. Agric. Syst. 2020, 182, 102851. [Google Scholar] [CrossRef]
- Xu, F.; Li, J.; Su, J.; Lu, X.; Wang, Y.; Wu, L.; Wang, C.; Chen, D.; Bai, Y. Seasonality regulates the effects of resource addition on plant diversity and ecosystem functioning in semi-arid grassland. J. Plant Ecol. 2021, 14, 1143–1157. [Google Scholar] [CrossRef]
- Hawkes, C.V.; Waring, B.G.; Rocca, J.D.; Kivlin, S.N. Historical climate controls soil respiration responses to current soil moisture. Proc. Natl. Acad. Sci. USA 2017, 114, 6322–6327. [Google Scholar] [CrossRef] [PubMed]
- Wang, Y.H.; Chen, J.Q.; Zhou, G.S.; Shao, C.L.; Chen, J.; Wang, Y.; Song, J.M. Predominance of precipitation event controls ecosystem CO2 exchange in an Inner Mongolian desert grassland, China. J. Clean. Prod. 2018, 197, 781–793. [Google Scholar] [CrossRef]
- Mu, L.; Zhang, P.J.; Shan, Y.M.; Wen, C.; Ye, R.H.; Chang, H.; Qiu, X.; Sun, H.L.; Ren, T.T.; Chen, S.P.; et al. Influence of short-term nitrogen and water addition on the leaf traits of Stipa brevifora in a desert steppe under different grazing intensities. Acta Eoologica Sin. 2021, 41, 522–534. [Google Scholar]
- Ye, R.; Liu, G.; Chang, H.; Shan, Y.; Mu, L.; Wen, C.; Te, R.; Wu, N.; Shi, L.; Liu, Y.; et al. Response of plant traits of Stipa breviflora to grazing intensity and fluctuation in annual precipitation in a desert steppe, northern China. Glob. Ecol. Conserv. 2020, 24, e01237. [Google Scholar] [CrossRef]
- Li, Y.L.; Hong, M.; Bai, W.M.; Han, G.D.; Wang, H.M. The response of gas exchange on water supplied and N addition in the Stipa breviflora steppe. Ecol. Environ. Sci. 2014, 23, 217–222. [Google Scholar]
- Wu, Q.; Han, G.D.; Wang, Z.W.; Pan, Z.L.; Liu, F.; Wang, R.Z.; Zhang, R.Y.; Qin, J.; Li, J.W. Effects of warming and N addition on ecosystem carbon exchange in a desert steppe. Chin. J. Ecol. 2016, 35, 1427–1434. [Google Scholar]
- Wang, J.; Liu, Y.; Wang, S.; Ma, P.; Li, Y.; Wang, R.; Liu, W.; Jia, Z.; Li, W.; Niu, Y.; et al. Enhanced ecosystem carbon sink in shrub-grassland ecotone under grazing exclusion on Tibetan plateau. Ecol. Indic. 2024, 160, 111854. [Google Scholar] [CrossRef]
- Li, G.; Han, H.; Du, Y.; Hui, D.; Xia, J.; Niu, S.; Li, X.; Wan, S. Effects of warming and increased precipitation on net ecosystem productivity: A long-term manipulative experiment in a semiarid grassland. Agric. For. Meteorol. 2016, 232, 359–366. [Google Scholar] [CrossRef]
- Du, L.; Luo, Y.; Zhang, J.; Shen, Y.; Zhang, J.; Tian, R.; Shao, W.; Xu, Z. Reduction in precipitation amount, precipitation events, and nitrogen addition change ecosystem carbon fluxes differently in a semi-arid grassland. Sci. Total Environ. 2024, 927, 172276. [Google Scholar] [CrossRef] [PubMed]
- Agurla, S.; Gahir, S.; Munemasa, S.; Murata, Y.; Raghavendra, A.S. Advances in Experimental Medicine and Biology; Springer: Singapore, 2018; pp. 215–232. [Google Scholar]









| ST | SM | NEE | ER | GEP | |
|---|---|---|---|---|---|
| Y | 0.17 | 3.80 | 0.01 | 0.08 | 0.03 |
| GI | 29.73 *** | 1.64 | 24.37 *** | 0.62 | 12.88 ** |
| W | 21.39 *** | 1367.44 *** | 358.07 *** | 312.52 *** | 455.71 *** |
| N | 1.26 | 45.73 *** | 14.57 *** | 5.20 * | 13.24 *** |
| Y × GI | 4.10 * | 1.63 | 0.05 | 5.72 * | 1.92 |
| Y × W | 7.09 ** | 33.42 *** | 14.04 *** | 30.20 *** | 27.66 *** |
| Y × N | 1.54 | 8.66 ** | 1.95 | 1.17 | 2.13 |
| GI × W | 1.29 | 2.13 | 1.78 | 5.67 * | 4.36 * |
| GI × N | 3.15 | 0.58 | 0.09 | 1.33 | 0.63 |
| W × N | 3.78 | 6.57 * | 4.07* | 3.70 | 5.28 * |
| Y × GI × W | 0.01 | 8.77 ** | 0.01 | 0.52 | 0.09 |
| Y × GI × N | 0.03 | 1.23 | 0.26 | 0.29 | 0.003 |
| Y × W × N | 2.12 | 4.54 * | 1.77 | 2.28 | 2.69 |
| GI × W × N | 0.08 | 1.02 | 0.27 | 1.65 | 1.00 |
| Y × GI × W × N | 0.06 | 0.32 | 0.01 | 0.41 | 0.17 |
Disclaimer/Publisher’s Note: The statements, opinions and data contained in all publications are solely those of the individual author(s) and contributor(s) and not of MDPI and/or the editor(s). MDPI and/or the editor(s) disclaim responsibility for any injury to people or property resulting from any ideas, methods, instructions or products referred to in the content. |
© 2025 by the authors. Licensee MDPI, Basel, Switzerland. This article is an open access article distributed under the terms and conditions of the Creative Commons Attribution (CC BY) license (https://creativecommons.org/licenses/by/4.0/).
Share and Cite
Wen, C.; Huang, J.; Shan, Y.; Yang, D.; Mu, L.; Zhang, P.; Liu, X.; Chang, H.; Ye, R. Effects of Nitrogen and Water Addition on Ecosystem Carbon Fluxes in a Grazing Desert Steppe. Agronomy 2025, 15, 2016. https://doi.org/10.3390/agronomy15082016
Wen C, Huang J, Shan Y, Yang D, Mu L, Zhang P, Liu X, Chang H, Ye R. Effects of Nitrogen and Water Addition on Ecosystem Carbon Fluxes in a Grazing Desert Steppe. Agronomy. 2025; 15(8):2016. https://doi.org/10.3390/agronomy15082016
Chicago/Turabian StyleWen, Chao, Jianhui Huang, Yumei Shan, Ding Yang, Lan Mu, Pujin Zhang, Xinchao Liu, Hong Chang, and Ruhan Ye. 2025. "Effects of Nitrogen and Water Addition on Ecosystem Carbon Fluxes in a Grazing Desert Steppe" Agronomy 15, no. 8: 2016. https://doi.org/10.3390/agronomy15082016
APA StyleWen, C., Huang, J., Shan, Y., Yang, D., Mu, L., Zhang, P., Liu, X., Chang, H., & Ye, R. (2025). Effects of Nitrogen and Water Addition on Ecosystem Carbon Fluxes in a Grazing Desert Steppe. Agronomy, 15(8), 2016. https://doi.org/10.3390/agronomy15082016

