Abstract
Hydroponic cultivation offers a promising solution to water scarcity by using less water than traditional soil-based agriculture. Although the integration of silicon (Si) in hydroponic systems is still limited, its foliar application is crucial for optimizing plant growth, enhancing resilience, and improving productivity. Therefore, this study aims to explore the effects of silicon foliar application on growth, yield parameters, and photosynthetic activity of one of the most important fruit vegetables worldwide—tomatoes (Solanum lycopersicum L.)—cultivated in a closed hydroponic system. Tomato plants were subjected to a weekly silicon foliar spray (1 mM Na2SiO3) over a period of 10 weeks. Our results demonstrate that silicon foliar spray in hydroponically grown tomatoes significantly improved photosynthetic pigment concentration and enhanced the photochemical efficiency of the photosystems, particularly the quantum yields Y(I) and Y(II). Moreover, silicon treatment resulted in reduced energy dissipation within the photosystems, as indicated by decreases in Y(NPQ), Y(NO), and Y(ND), along with enhanced oxidation of PSI (P700ox). These physiological improvements were directly linked to increased stem width and length, and a substantial boost in plant dry weight compared with untreated controls. Consequently, the silicon foliar spray resulted in a significant increase in the number of racemes, flowers, and fruits. Ultimately, these enhancements culminated in a 69% increase in fruit biomass yield (r2 = 0.70; p < 0.01), highlighting the positive impact of silicon on tomato productivity in hydroponic systems. These findings suggest that silicon foliar application optimizes growth and photosynthetic efficiency while reducing energy dissipation. Consequently, silicon supplementation enhances tomato productivity in hydroponic systems, offering a promising solution for increasing yields in water-efficient agriculture.
Keywords:
hydroponic cultivation; silicon application; tomato; photosynthetic activity; growth; fruit; yield 1. Introduction
A growing number of countries are facing escalating challenges related to water scarcity, exacerbated by climate change. These impacts are recognized globally with increasing pressure on water resources becoming a key concern for both developed and developing nations [1]. Climate change contributes to rising temperatures, higher evaporation rates, and greater variability in precipitation, all of which reduce water availability for essential uses, including agriculture, industry, and domestic consumption [2]. As a result, water reserves, such as groundwater and reservoirs, are under greater strain, posing significant challenges for irrigation, particularly in regions reliant on water-intensive agricultural practices [2].
Tunisia, like many other countries, is experiencing severe consequences due to water scarcity. The country has been identified as one of the most affected countries by these issues, which have profound implications for agricultural productivity and food security [3]. In light of this pressing challenge, hydroponic farming has emerged as a promising and viable alternative. Hydroponics offers a more efficient use of water resources compared with conventional soil-based agriculture. Studies have shown that hydroponic systems can reduce water consumption by as much as 90% in some cases, making it a more sustainable solution in regions suffering from water shortages [4]. Additionally, hydroponic farming is less dependent on climatic factors, as it does not rely on natural rainfall, making it a more stable and reliable cultivation method. It also has the added benefit of reducing the need for chemical pesticides and herbicides, thus contributing to a more environmentally friendly and sustainable form of agriculture [4]. However, despite these advantages, hydroponic systems are not free from their own set of challenges, such as plant diseases, salinity issues, and nutrient deficiencies, all of which can limit crop productivity and the overall quality of yields.
In this context, the use of silicon has garnered attention as a highly effective solution for enhancing plant resilience to both biotic (living organism-related) and abiotic (environment-related) stresses. Silicon has been demonstrated to improve plant resistance to biotic stresses, such as pathogen infections and insect infestations, by strengthening the plant’s cell walls and activating protective biochemical pathways. For instance, silicon-enriched crops have shown enhanced resistance to fungal diseases and pests, which are common threats to crop health [5]. Regarding abiotic stresses, silicon plays a crucial role in improving plant tolerance to environmental conditions that would otherwise reduce plant growth and productivity. This includes stresses such as drought [6,7,8], salinity [9,10,11], extreme temperatures [12,13,14], and nutrient imbalances [15,16,17], which are becoming increasingly prevalent due to climate change. Silicon enhances the plant’s ability to maintain cellular integrity and physiological functions under such stressful conditions, making it a key tool in mitigating the adverse effects of climate change on agriculture.
Recently, the integration of silicon in hydroponic systems has gained significant attention as a beneficial practice to enhance plant resilience to both biotic and abiotic stresses. This growing interest is supported by recent studies highlighting the multifaceted role of Si in hydroponics. For instance, a comprehensive review by Verma et al. [18] discusses how Si mitigates biotic stress in plants by strengthening cell walls, inducing defense responses, and enhancing pathogen resistance. Additionally, Si supplementation in hydroponic systems has been shown to alleviate abiotic stresses such as salinity and high temperatures, by improving water relations, nutrient uptake, and photosynthetic efficiency [19].
An important factor for the widespread adoption of silicon as a plant growth enhancer is its safety for human consumption. Silicon is a naturally occurring element that is widely distributed in the environment, and its presence in plants does not pose any harm to human health. In fact, studies have shown that silicon is beneficial for human health and does not pose any risk when incorporated into the food chain, thus making it an ideal candidate for use in crops meant for human consumption [20]. This safety profile, combined with its positive effects on plant health and productivity, strengthens the argument for using silicon in agricultural systems, particularly in those systems aimed at producing food for human consumption.
The importance of tomatoes as one of the most widely produced fruit vegetables worldwide motivates this study. Tomatoes are not only the second most produced fruit globally, but are also among the crops that consume the most water in conventional agricultural systems (Food and Agriculture Organization of the United Nations). Given the water-intensive nature of conventional tomato cultivation, hydroponic farming presents a promising solution to reduce water consumption and improve yield, especially in water-scarce regions.
A significant research gap remains in understanding the mechanistic effects of silicon in large-scale hydroponic systems, particularly with regard to its influence on photosystem activity and its contribution to plant performance. This gap is central to our study, which aims to elucidate the effects of silicon on photosynthetic efficiency and plant growth in hydroponic tomato cultivation. We hypothesize that silicon enhances plant productivity by improving photosynthetic activity, chlorophyll biosynthesis, and the functionality of the photosystems PSII and PSI, which are essential for efficient light energy conversion and carbon fixation. These improvements are expected to lead to increased plant growth, greater yield, and enhanced resilience to environmental stresses, making Si a valuable tool for optimizing hydroponic tomato cultivation.
Thus, the novelty of our study lies in its focus on the mechanistic understanding of silicon’s role in enhancing photosynthetic processes on a large scale, which has not been sufficiently addressed in previous research.
2. Materials and Methods
2.1. Sodium Silicate Synthesis
The silicon source used in this study was sodium silicate (Na2SiO3). The synthesis of Na2SiO3 was carried out through a reaction between Tunisian silica sand (collected from Borj Hfaiedh, located in northeastern Tunisia and consisting of more than 99% SiO2) and sodium carbonate (Na2CO3) at elevated temperatures (above 1200 °C) [21]. The synthesis of sodium silicate was conducted at the “Laboratory of Valorization of Useful Materials” of the “National Center for Research in Materials Sciences” (Tunisia). The sodium silicate solution was prepared by dissolving the solid compound in an appropriate volume of deionized water. The experimental concentrations were determined by analyzing the SiO2 and Na+ concentrations using gravimetric analysis and flame emission spectroscopy, respectively. For each measurement, the difference between the theoretical and experimental concentrations did not exceed 2%, indicating that the sodium silicate used has a purity greater than 98% (Figure 1).
Figure 1.
Representative experimental protocol used for the synthesis of sodium silicate from Tunisian silica sand applied as a treatment for tomato (Solanum lycopersicum L.) plants. Protocol developed by the “Laboratory of Valorization of Useful Materials” (LVMU: Laboratoire de Valorisation des Matériaux Utiles) of the “National Center for Research in Materials Sciences” (CNRSM: Centre National de Recherches en Sciences des Matériaux, Tunisia).
2.2. Plant Material
The tomato (Solanum lycopersicum L.) variety chosen for this study was the “Sabra” variety, due to its excellent adaptation to Tunisian growing conditions and strong performance in both fresh and processed markets. According to the expertise of the Tunisian Union of Agriculture and Fisheries (UTAP), this variety is highly recommended for hydroponic cultivation, as it demonstrates great adaptability and high productivity in controlled environments. Recognized for its high yield and disease resistance, this variety ensures optimal fruit quality and suitability for industrial processing.
2.3. Experimental Site
Tomato cultivation was carried out in the pilot greenhouse at the “Potato and Artichoke Technical Center” in Manouba, Tunisia (36.832589° N, 9.970414° E), as part of the INTESA project, coordinated in Tunisia by the “Tunisian Union of Agriculture and Fisheries” (UTAP). The greenhouse was a multi-span glass structure designed to provide optimal environmental conditions for cultivation (Figure 2).
Figure 2.
Photos of tomato cultivation in the pilot greenhouse, part of the INTESA project, coordinated by the Tunisian Union of Agriculture and Fisheries (UTAP): (A) greenhouse structure, a multi-span glass construction designed to provide optimal environmental conditions for cultivation; (B) hydroponic system used for tomato cultivation, with plants grown using parallel Nutrient Film Technique (NFT) systems; (C) tomato plants during the cultivation period highlighting their growth and development under controlled conditions.
2.4. Growth Conditions
The plants were grown hydroponically for a period of 154 days. The tomatoes were cultivated using parallel Nutrient Film Technique (NFT) systems. The plant density was maintained at 4 plants per square meter. Throughout the cultivation period, strict monitoring of crop development and phytosanitary conditions was implemented to ensure optimal growth conditions (Figure 2 and Figure 3A). The average temperature during the cultivation period was around 20 °C. The air humidity was controlled and maintained at 80%. The pH range of the nutrient solution was 5.5–6.5, and the EC ranged from 1.5 to 2.5 dS m−1. The composition of the nutrient solution used during the three growth stages is provided in Table 1.
Figure 3.
Monitoring and protection during tomato cultivation in the pilot greenhouse: (A) monitoring of plant development, with close inspection of the crops to ensure optimal growth conditions; (B) application of silicon treatment, where plants are sprayed with a silicon solution containing 1 mM of Sodium Silicate (Na2SiO3) after 85 days in the hydroponic system. The treatments were applied once a week for ten weeks; (C) harvesting of tomatoes, with workers carefully measuring growth parameters, such as stem length, the number of racemes, flowers, and fruits.
Table 1.
Nutrient concentrations (in PPM) for hydroponic tomato growth at different stages.
Strict protection standards were applied throughout the cultivation process to prevent contamination and phytosanitary issues, as shown in Figure 3.
2.5. Silicon Application
The experiment involved two hydroponic foliar spray treatments: the C treatment (control), in which plants were sprayed with distilled water, and the Si treatment, in which plants were sprayed with a silicon solution containing 1 mM of sodium silicate (Na2SiO3). The treatments were applied to plants that had been in the hydroponic system for 85 days, starting from the initiation of the experiment. Plants were sprayed once a week for ten weeks. The concentration choice was based on the expertise of the “Laboratory of Extremophile Plants” regarding silicon usage, supported by preliminary experiments. The solutions were applied using a suitable sprayer, ensuring that the same volumes were applied to each row of the NFT system (Figure 3B).
2.6. Growth Parameters
2.6.1. Pre-Harvest Growth Parameters
Plants were harvested after a hydroponic cultivation period of 154 days, following 10 weeks of foliar spraying, which started on day 85. On the last day of cultivation, several key parameters were measured directly in the greenhouse, including the main stem length and the number of racemes, flowers, and fruits. The number of flowers and fruits was determined on a per-raceme basis, starting from the base and moving towards the top of the plant, to ensure precise and consistent measurement (Figure 3B,C).
2.6.2. Post-Harvest Growth Parameters
Plants were harvested after the hydroponic cultivation period of 154 days, following 10 weeks of foliar spraying. The plants were then separated into fruits, leaves, stems, and roots. The lengths of the roots and stems were measured directly using standard methods. The stem width, measured 1 cm from the plant crown, was determined using a digital caliper (ACEM). The numbers of fruits, leaves, and stems were counted. The roots were then rinsed with cold hydrochloric acid (HCl, 0.1 N) and thoroughly washed with distilled water to remove any adhering substances, before being dried using filter paper. The different plant parts were immediately weighed to determine their fresh weights (FW). Dry weights (DW) were measured after drying the samples at 60 °C for 7 days in a drying oven.
2.7. Water Content
The water content (WC) of leaves, stems, and roots was determined by measuring both the fresh weight (FW) and the dry weight (DW) of the plant tissues. The fresh weight was recorded immediately after harvesting the plant samples, while the dry weight was obtained by drying the plant material at 60 °C for 7 days in a drying oven until a constant weight was reached. The water content was then calculated using the following equation: WC (ml H2O g−1 DW) = (FW − DW)/DW.
This method allows for the accurate determination of the water content relative to the dry weight of the tissues, providing a reliable measure of the water retained by the plant structures.
2.8. SPAD Measurement
The SPAD (Soil and Plant Analysis Development) value is a greenness index, measured using a lightweight handheld meter. This device quantifies the chlorophyll content in leaves without causing harm to the plant. The SPAD meter estimates chlorophyll concentrations by analyzing the light transmitted through the leaf blade in the red and near-infrared spectrum (700–780 nm). SPAD readings were taken using a Portable Chlorophyll Meter (CM-B Model, Biobase Biodustry Co., Ltd., Jinan, China) from the same intermediate leaf level of all analyzed plants on the day of harvest.
2.9. Determination of Chlorophyll and Carotenoid Contents
The contents of chlorophyll a (Chl. a), chlorophyll b (Chl. b), and carotenoids (Car.) were extracted according to the procedure outlined by Lichtenthaler [22]. Fresh leaf samples (100 mg) were sliced into small fragments and incubated in 5 mL of 80% acetone for 72 h at 4 °C to facilitate the extraction of photosynthetic pigments. The absorbance of the resulting extracts was recorded at 470, 663, and 646 nm using a UV–visible spectrophotometer (Specord 210 Plus, Analytik Jena, Jena, Germany).
The concentrations of Chl. a, Chl. b, and carotenoids were calculated using the following formulas:
where A470, A663, and A646 denote the absorbance of the extract at 470, 663, and 646 nm, respectively.
Chl. a (μg ml−1) = (12.21 × A663) − (2.81 × A646)
Chl. b (μg ml−1) = (20.13 × A646) − (5.03 × A663)
Carotenoids (μg ml−1) = (1000 × A470 − 3.27 × Chl. a − 104 × Chl. b)/229,
2.10. Photosystem Activities
The assessment of PSI and PSII activities was carried out following the procedure outlined by Klughammer and Schreiber [23,24], utilizing the Dual-PAM-100 (Heinz Walz, Effeltrich, Germany) on tomato leaves that were dark-adapted for 30 min prior to the measurements.
The minimum fluorescence (F0) was initially measured by exposing the leaves to very low-intensity light. Under these conditions, all PSII reaction centers were open, resulting in a minimal fluorescence signal. A saturating light pulse was then applied to induce the highest fluorescence level (Fm). This flash led to the closure of all PSII reaction centers, causing a reduction in photochemical efficiency and an increase in Fm.
The variable fluorescence (Fv) was calculated by subtracting the initial fluorescence (F0) from the maximum fluorescence (Fm). The maximal quantum yield of PSII was then determined using the Fv/Fm ratio, which reflects the overall efficiency of PSII activity.
The same dark-adapted leaves were subjected to different actinic light intensities (0, 6, 12, 21, 56, 107, 146, 257, 412, 652, and 1017 μmol photons m−2 s−1). This exposure to light triggered electron transport between the photosystems, enabling the measurement of key parameters: the photochemical energy conversion yield in PSII (Y(II)), the yield of regulated non-photochemical energy dissipation in PSII (Y(NPQ)), the yield of non-regulated non-photochemical energy dissipation in PSII (Y(NO)), and the electron transfer rate in PSII (ETR(II)) [25].
As described by Klughammer and Schreiber [24], PSI absorbance measurements were performed using the P700 dual-wavelength emitter–detector units at 830 and 875 nm, enabling the evaluation of PSI function efficiency. Initially, with all PSI centers open, the oxidation state (P700ox) and the maximum fluorescence yield of dark-adapted samples with all PSII centers closed (P700) were recorded. Furthermore, the yield of illuminated samples with all PSI centers closed (P700m’) was re-measured during the curve of varying PAR intensities.
Subsequently, the quantum yield of photochemical energy conversion in PSI (Y(I)), the quantum yield of non-photochemical energy dissipation in reaction centers limited by the acceptor side (Y(NA)), and the quantum yield of non-photochemical energy dissipation in reaction centers limited by the donor side (Y(ND)), along with the electron transfer rate in PSI (ETR(I)), were measured using saturating pulses during the induction curve process, which resulted in the closure of all PSI centers.
2.11. Graphical Representations
Graphical representations were created using SigmaPlot 14.0 (developed by Graphti LLC, Broomfield, CO, USA) and Microsoft Excel (v. 2021, developed by Microsoft Corporation, Redmond, WA, USA). The illustrations for Figure 1 and Figure 17 were created using Canva (www.canva.com, Sydney, Australia).
2.12. Statistical Analysis
All statistical analyses were conducted using XLSTAT software, version 2016 (www.xlstat.com, Addinsoft, Paris, France). Comparisons between the means of two independent sample groups were carried out using Student’s t-test at three significance levels (p < 0.05, p < 0.01, and p < 0.001). Correlation analysis and principal component analysis (PCA) were also performed, with the variables centered around their means and standardized to a standard deviation of 1.
3. Results
3.1. Morphological Aspect
As shown in Figure 4, all plants treated with silicon exhibited improvements in both plant growth and morphological characteristics, with greener and more developed leaves and fruits compared with the control group. This improvement became evident one month after Si application and persisted until harvest, highlighting the positive effect of silicon on plant development.
Figure 4.
Morphological aspect of tomato (Solanum lycopersicum L.) plants treated with 1 mM silicon (Si) and the control (C) (0 mM Si). The control group (C) did not receive any silicon treatment, while the treated plants (Si) were sprayed weekly with a 1 mM sodium silicate (Na2SiO3) solution for 10 weeks.
3.2. Growth Parameters
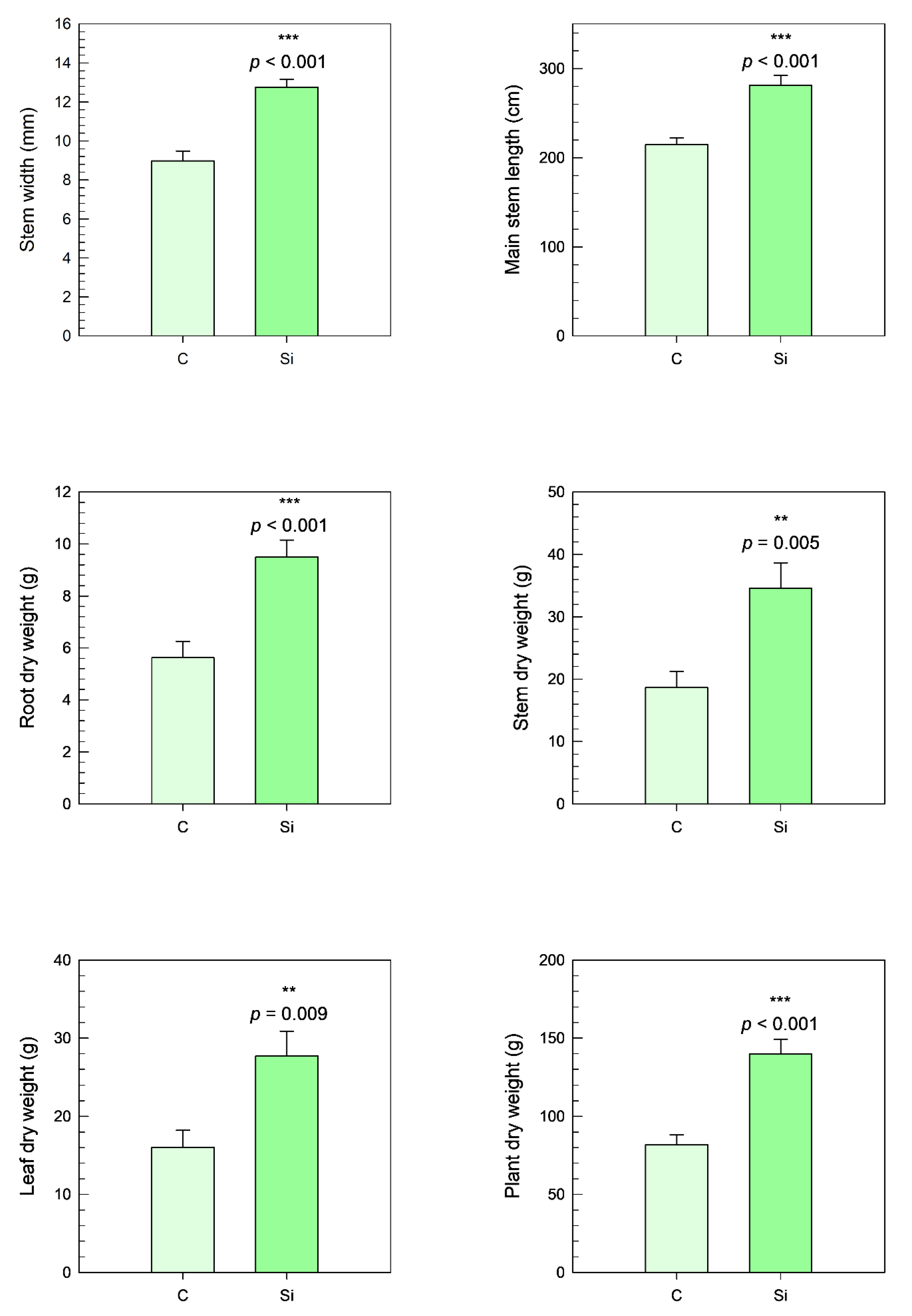
The results presented indicate that the application of a silicon foliar spray significantly enhanced plant biomass production. This effect was evident across various growth parameters, with statistical significance confirmed for all measured traits. Specifically, there was a marked increase in stem width, with a 42% improvement (p < 0.001), and in the main stem length, which increased by 31% (p < 0.001), compared with the control group (Figure 5).
Figure 5.
Morphological and dry weight parameters of tomato plants treated with silicon (Si) compared to the control (C). The data represent the following measurements: stem width, main stem length, root dry weight, stem dry weight, leaf dry weight, and total plant dry weight. Values are expressed as means ± SE (n = 8), and statistical significance was determined using a Student’s t-test. Significant differences are indicated by asterisks: *** p < 0.001, ** p < 0.01, * p < 0.05. ns: No significant differences.
Furthermore, the application of silicon resulted in a substantial increase in the dry weight of the plant components. Root dry weight increased by 69% (p < 0.001), stem dry weight by 86% (p = 0.005), and leaf dry weight by 73% (p = 0.009), compared to the plants not treated with silicon. Consequently, these increases led to an overall plant dry weight enhancement of 71% (p < 0.001).
Additionally, the number of reproductive structures showed a significant improvement. The number of racemes increased by 78% (p < 0.001), the number of flowers exhibited a 124% rise (p < 0.001), and the number of fruits increased by 43% (p = 0.003), relative to the control group (Figure 6). The box plots of these parameters (Figure 6) provide further insight into the variability and distribution of the data. For silicon-treated plants, the median, lower quartile, and upper quartile values were consistently higher than those of the control group, indicating an overall improvement in plant growth. In addition, the dispersion of data points was significantly greater for silicon-treated plants, as reflected by the longer interquartile ranges and the broader overall range of the datasets. Specifically, the distances between the ends of the whiskers were greater for the silicon-treated plants, signifying greater variation in their responses to silicon application.
Figure 6.
Box plots showing the number of racemes, flowers, and fruits of tomato plants treated with silicon (Si) compared to the control (C). The middle line within the boxes represents the median, while the dashed line indicates the mean. The data are expressed as means ± SE (n = 8), and statistical significance was determined using a Student’s t-test. Significant differences are indicated by asterisks: *** p < 0.001, ** p < 0.01, * p < 0.05. ns: No significant differences.
The effects of silicon treatment were evaluated based on the number of fruits and flowers per raceme at various positions on the plant (Figure 7). For the control plants (C), the number of fruits per raceme decreased as the position of the raceme moved from the base to the top of the plant. This decrease followed a clear quadratic pattern, with a strong fit to the data (r2 = 0.91). In contrast, silicon-treated plants (Si) consistently exhibited a more gradual decline in fruit numbers with increasing raceme positions, which indicates that silicon treatment helps mitigate the reduction in fruit production, especially at higher raceme positions (r2 = 0.82).
Figure 7.
Number of fruits (top) and flowers (bottom) per raceme in tomato plants treated with silicon (Si) compared to the control (C). The data are presented as a function of the position of the raceme, from the base to the top of the plant. Polynomial regression curves are shown for both control (●) and silicon-treated plants (○), with the corresponding equations and r2 values indicated for each treatment.
A similar trend was observed for the number of flowers per raceme. In control plants, the number of flowers initially increased and then decreased as the raceme position increased, peaking at an intermediate position (r2 = 0.78). However, silicon-treated plants consistently showed a more pronounced peak in flower production, with the curves for silicon-treated plants shifted toward higher raceme positions. This shift indicates that silicon treatment promotes flower production at higher raceme positions, and the number of flowers remained more consistent across raceme positions compared to the control (r2 = 0.92). The silicon treatment not only enhanced flower production but also made the distribution of flowers more stable and predictable.
The results indicate that Si foliar treatment positively influenced both fruit and flower production across various raceme positions. Specifically, silicon-treated plants maintained higher numbers of fruits and flowers at the mid-to-upper positions.
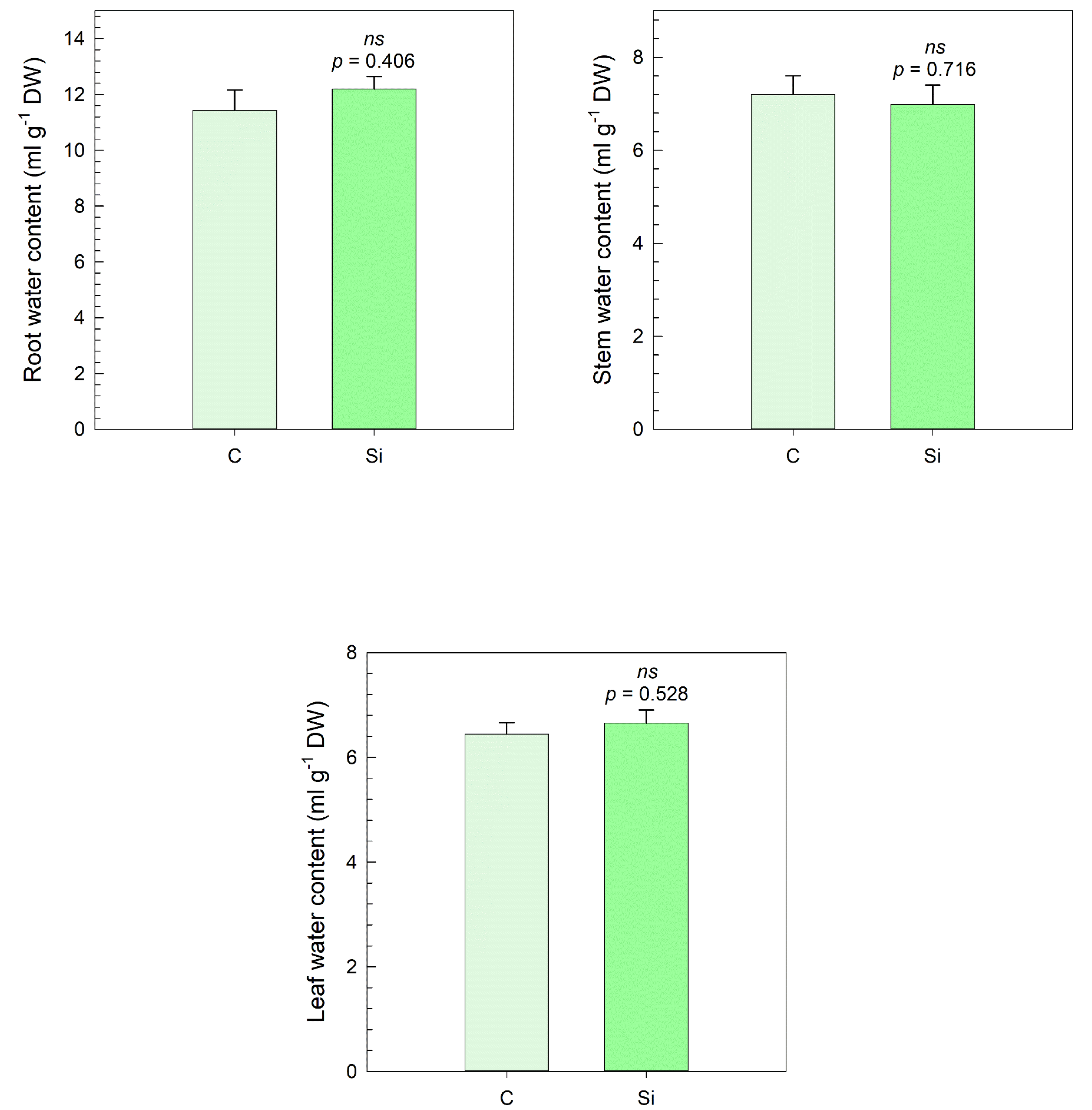
3.3. Water Content
No significant differences were observed in the water content of any plant organs between the silicon-treated plants and the control group (Figure 8). Specifically, the water content of the root, stem, and leaf in the silicon-treated plants was similar to that of the control plants. These results suggest that silicon treatment did not significantly affect the water retention capacity in the measured plant organs.
Figure 8.
Water content in different plant tissues (root, stem, and leaf) of tomato plants treated with silicon (Si) compared to the control (C). The data represent the water content in milliliters per gram of dry weight (ml g−1 DW). Values are expressed as means ± SE (n = 8), and statistical significance was determined using a Student’s t-test. Significant differences are indicated by asterisks: *** p < 0.001, ** p < 0.01, * p < 0.05. ns: No significant differences.
3.4. SPAD Value and Photosynthetic Pigment Contents
The addition of silicon resulted in a statistically significant increase in the SPAD value of the leaves (Figure 9). Specifically, the box plots demonstrate that the median, lower quartile, and upper quartile values for the silicon-treated plants were all higher than those for the control group, with a wider overall range in the dataset for the control group. This is reflected in the longer whisker distances in the control group, indicating greater variation in SPAD values than in the silicon-treated plants. The SPAD value increased by 23% (p < 0.001) in the silicon-treated plants compared with the control group.
Figure 9.
Box plot showing the SPAD (Soil Plant Analysis Development) value of tomato plants treated with silicon (Si) compared to the control (C). The middle line within the box represents the median, while the dashed line indicates the mean. The data are expressed as means ± SE (n = 8), and statistical significance was determined using a Student’s t-test. Significant differences are indicated by asterisks: *** p < 0.001, ** p < 0.01, * p < 0.05. ns: No significant differences.
In addition to the increase in SPAD values, significant increases in the concentrations of chlorophylls (Chl. a and Chl. b) and total chlorophylls (Chl. a + Chl. b) were observed in silicon-treated plants, with increases of 113% (p < 0.001), 91% (p < 0.001), and 108% (p < 0.001), respectively. A corresponding significant increase in carotenoid (Car.) content was also observed, with a 72% increase (p < 0.001). These results indicate that silicon treatment promotes chlorophyll synthesis and enhances carotenoid production, both of which are vital components of the photosynthetic machinery (Figure 10).
Figure 10.
Chlorophyll (Chl. a, Chl. b) and carotenoid (Car.) concentrations, and their ratios in tomato plants treated with silicon (Si) compared to the control (C). Values are expressed as means ± SE (n = 8), and statistical significance was determined using a Student’s t-test. Significant differences are indicated by asterisks: *** p < 0.001, ** p < 0.01, * p < 0.05. ns: No significant differences.
Additionally, a significant effect was detected in the Chl. a/Chl. b ratio (p = 0.010), indicating a slight alteration in the relative proportions of chlorophyll a and chlorophyll b in silicon-treated plants compared with the control group. Interestingly, a marked decrease was observed in the carotenoid/chlorophyll (a + b) ratio in silicon-treated plants, with a reduction of 17% (p < 0.001). This could indicate a shift in the balance between chlorophylls and carotenoids, potentially reflecting a physiological adjustment to optimize photosynthesis under the influence of silicon (Figure 10).
3.5. Photosystem Activities
Under dark-adapted conditions, the maximal quantum yield of PSII photochemistry (Fm) did not show a statistically significant variation between the control and the silicon-treated plants (p > 0.05) (Figure 11).
Figure 11.
Fluorescence parameters for dark-adapted tomato leaves treated with silicon (Si) compared to the control (C). The data represent the following parameters: Fv/Fm (maximal quantum yield of PSII photochemistry), P700m (maximal fluorescence yield of dark-adapted sample with all PSI centers closed), P700ox (oxidized PSI), and Fv/P700m (maximal quantum yield of PSII photochemistry relative to P700m). Values are expressed as means ± SE (n = 6). Significant differences are indicated by asterisks: *** p < 0.001, ** p < 0.01, * p < 0.05. ns: No significant differences.
In contrast, significant increases were observed for PSI-related parameters. The maximal fluorescence yield of the dark-adapted sample with all PSI centers closed (P700m) increased by 28% in Si-treated samples compared to the control (p < 0.001). Similarly, the oxidized PSI signal (P700ox) increased markedly under Si treatment, corresponding to a 70% enhancement (p < 0.001).
Interestingly, the ratio between the maximal quantum yield of PSII and the maximal fluorescence yield of PSI (Fv/P700m) decreased by 19% in Si-treated plants, suggesting a relative shift in the excitation energy balance or electron transport capacities favoring PSI under these conditions (p = 0.007) (Figure 11).
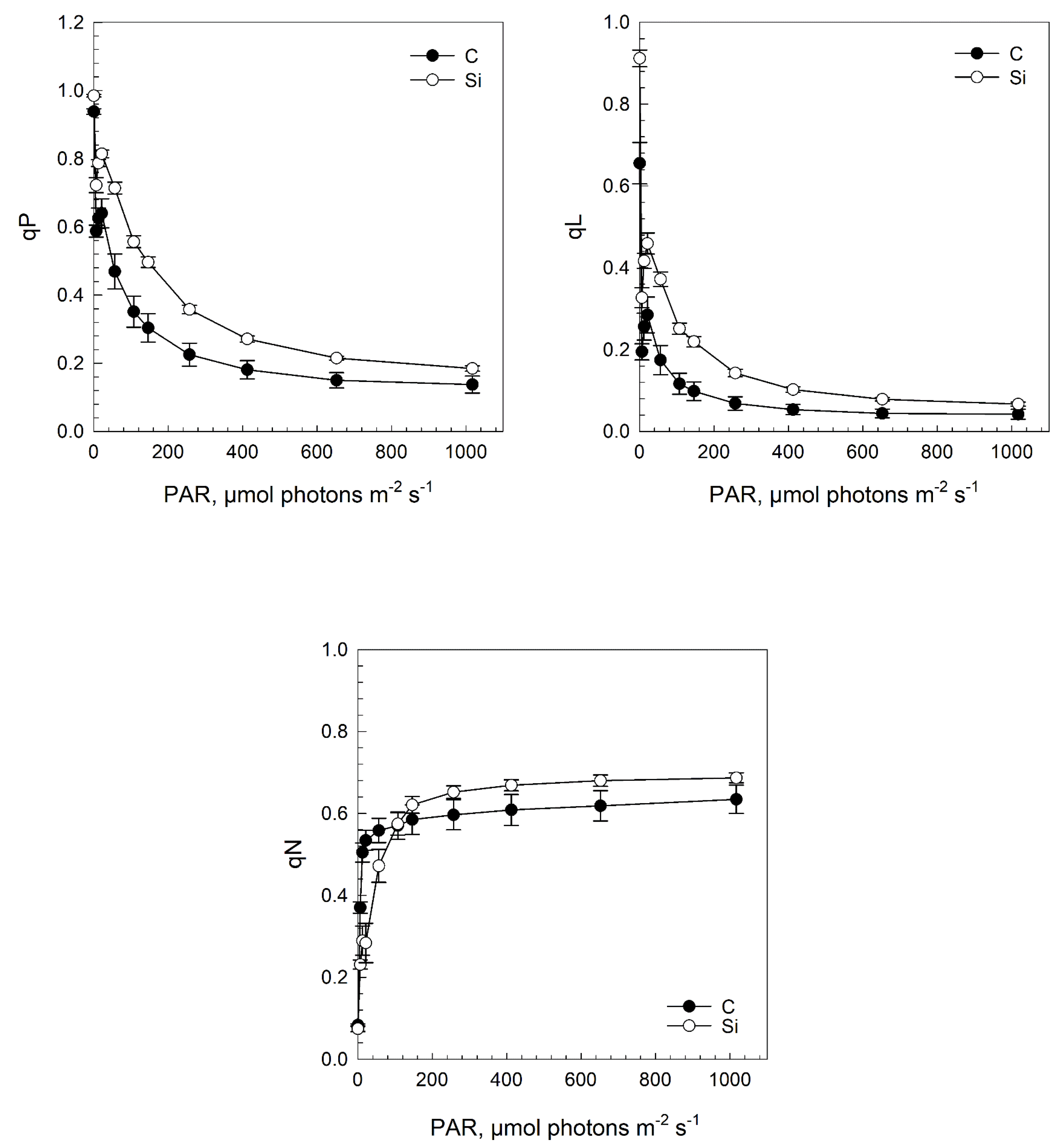
The effects of silicon treatment on photosystem activities were assessed under varying light intensities (PAR), as shown in Figure 12. The quantum yield of photochemical energy conversion in PSII (Y(II)) was significantly improved in Si-treated plants compared to the control, suggesting that silicon treatment enhances the overall photochemical efficiency of PSII.
Figure 12.
Fluorescence parameters of PSII for light-adapted tomato leaves treated with silicon (Si), compared to the control (C), under varying Photosynthetically Active Radiation (PAR) levels. The data represent the following parameters: Y(II) (quantum yield of photochemical energy conversion in PSII), Y(NPQ) (quantum yield of regulated nonphotochemical energy dissipation in PSII), Y(NO) (quantum yield of nonregulated nonphotochemical energy dissipation in PSII), and ETR(II) (electron transfer rate through PSII). Values are expressed as means ± SE (n = 6).
In contrast, the quantum yield of regulated nonphotochemical energy dissipation in PSII (Y(NPQ)) showed a substantial increase in Si-treated plants.
Significantly, the quantum yield of nonregulated nonphotochemical energy dissipation in PSII (Y(NO)) was markedly reduced in Si-treated plants compared to the control.
Additionally, the electron transfer rate (ETR(II)) showed a considerable improvement in Si-treated plants under increasing PAR. The Si-treated plants consistently exhibited a significantly higher electron transport capacity compared to the control (Figure 12).
As shown in Figure 12, the silicon treatment significantly influenced several parameters related to PSII activity and light energy dissipation.
The photochemical quenching coefficient (qP) was improved in Si-treated plants, as indicated by the higher qP values compared to the control. Similarly, the proportion of open PSII centers coefficient (qL) also increased in Si-treated plants, showing higher values compared to the control, particularly at lower PAR levels.
Interestingly, the non-photochemical light dissipation coefficient (qN) showed a significant difference between the two treatments. Si-treated plants exhibited higher qN values at low PAR. However, at higher light intensities (starting from approximately 150 µmol photons m−2 s−1), qN in Si-treated plants decreased significantly (Figure 13).
Figure 13.
Photochemical quenching (qP), the proportion of opened PSII centers (qL), and the non-photochemical light dissipation (qN) coefficients of tomato plants treated with silicon (Si) compared to the control (C) under varying Photosynthetically Active Radiation (PAR) levels. Values are expressed as means ± SE (n = 6).
The results shown in Figure 14 indicate that the silicon treatment significantly enhanced several parameters related to PSI.
Figure 14.
PSI parameters for light-adapted tomato leaves treated with silicon (Si), compared to the control (C), under varying Photosynthetically Active Radiation (PAR) levels. The data represent the following parameters: Y(I) (quantum yield of photochemical energy conversion in PSI), Y(ND) (quantum yield of nonphotochemical energy dissipation in PSI), Y(NA) (quantum yield of nonphotochemical energy dissipation limited by acceptor side), ETR(I) (electron transfer rate through PSI), P700m (maximal fluorescence yield of dark-adapted sample with all PSI centers closed), and P700ox (oxidized PSI). Values are expressed as means ± SE (n = 6).
The quantum yield of photochemical energy conversion in PSI (Y(I)) was enhanced by the silicon treatment, with Si-treated plants exhibiting higher Y(I) values. However, this improvement in Y(I) was less pronounced than the increase observed for PSII (Y(II)), suggesting that silicon has a stronger enhancing effect on PSII compared to PSI.
For the quantum yield of nonphotochemical energy dissipation in reaction centers limited by the donor side (Y(ND)), the silicon treatment also led to an improvement. Si-treated plants showed higher Y(ND) values.
In contrast, the quantum yield of nonphotochemical energy dissipation in reaction centers limited by the acceptor side (Y(NA)) showed no significant change under silicon treatment.
The electron transfer rate (ETR) in PSI was also significantly improved in Si-treated plants, with higher ETR values observed at increasing light intensities.
Regarding PSI fluorescence parameters, P700m (maximal fluorescence yield of illuminated sample with all PSI centers closed) exhibited increased values in Si-treated plants. Lastly, P700ox (oxidized PSI) also showed a significant improvement with silicon treatment, with Si-treated plants exhibiting higher P700ox values at increasing PAR (Figure 14).
3.6. Fruit Biomass Yield
The application of silicon significantly enhanced fruit biomass yield compared to the control. As shown in Figure 15, plants treated with Si exhibited a mean fruit biomass yield of 1126 g plant−1, whereas control plants only reached 667 g plant−1, corresponding to an increase of approximately 69%. Statistical analysis revealed that this difference was significant (p = 0.028), indicating a positive impact of Si supplementation on plant productivity.
Figure 15.
Fruit biomass yield of tomato plants treated with silicon (Si) compared to the control (C). Values are expressed as means ± SE (n = 8). Significant differences are indicated by asterisks: *** p < 0.001, ** p < 0.01, * p < 0.05. ns: No significant differences.
3.7. Correlation Analysis
The correlation analysis conducted in this study provided strong evidence supporting the treatment effects observed with the foliar application of silicon on various growth and physiological parameters of tomato plants in hydroponic systems. The correlations between treatments and the corresponding variables were significant, with many variables showing highly significant relationships, affirming the effectiveness of silicon application (Table 2).
Table 2.
Pearson’s correlation matrix analyzing “C” and “Si” treatments with different parameters studied.
The correlation analysis revealed strong relationships between the silicon treatment and various growth parameters, including stem width, main stem length, root dry weight, stem dry weight, leaf dry weight, plant dry weight, number of racemes, flowers, and fruits. The correlations were particularly significant (ranging from 0.63 to 0.84), confirming that silicon positively impacts plant growth and fruit production.
Further, water content parameters such as root, stem, and leaf water content did not display significant correlations, indicating that the foliar application of silicon did not notably affect water retention in the plants.
However, chlorophyll-related variables, including SPAD, chlorophyll a, chlorophyll b, and carotenoids, showed strong positive correlations (ranging from 0.72 to 0.80 for silicon treatments, p < 0.001), suggesting a beneficial effect of silicon on chlorophyll synthesis and on photosynthetic efficiency.
Additionally, parameters related to photosynthetic efficiency, such as P700m and P700ox, demonstrated high correlation values with the silicon treatment (ranging from 0.79 to 0.93 for silicon treatments), confirming that silicon not only influences growth but also plays a significant role in improving photosynthetic performance. These findings were further validated by the correlation with fruit biomass yield, which showed a significant positive correlation (r = 0.70, p < 0.01), highlighting the potential of silicon to enhance yield productivity in hydroponic tomato systems.
In conclusion, the correlation analysis strongly corroborated the treatment effects observed in the study, demonstrating that foliar application of silicon effectively improves multiple growth and physiological parameters in hydroponic tomatoes, with significant effects on biomass accumulation, photosynthesis, and yield components.
3.8. Principal Component Analysis (PCA)
Principal Component Analysis (PCA) was performed to further explore the underlying structure of the dataset and to assess the relationships between the various growth and physiological variables. The PCA results, as depicted in Figure 16, reveal the primary components that account for the variance observed in the data.
Figure 16.
Principal Component Analysis (PCA) of the studied parameters. Red circles (●) represent the different parameters analyzed, while blue squares (■) represent the treatments (C; Si). All parameters and treatments are projected onto the first two principal components (F1 and F2), which collectively explain 69% of the total variation in the data. Fv/Fm (maximal quantum yield of PSII photochemistry), P700m (maximal fluorescence yield of dark-adapted sample with all PSI centers closed), P700ox (oxidized PSI), and Fv/P700m (maximal quantum yield of PSII photochemistry relative to P700m).
In the biplot, the red vectors represent the loadings of the variables, while the blue squares represent the treatment conditions. The clear separation of variables along distinct axes indicates that the silicon treatment influences multiple plant traits, with certain variables such as stem width, main stem length, root dry weight, and plant dry weight being closely associated with one another. The clustering of these traits along the first principal component suggests a common underlying influence, likely related to the effect of silicon on plant growth and biomass accumulation.
Figure 16 also highlights variables such as chlorophyll content (SPAD, Chl. a, Chl. b) and photosynthetic efficiency (P700m and P700ox), which are prominently positioned along the first principal component, indicating their strong relationship with silicon treatment and the enhancement of plant physiological processes. Furthermore, the distribution of the treatment points (blue squares) along the principal components suggests that the silicon treatment notably shifts the plant growth and physiological responses in a manner that is captured well by the first two principal components.
Overall, PCA provides a robust confirmation of the observed treatment effects, demonstrating that silicon application induces distinct and significant changes in plant morphology and physiology, as reflected in the clustering of key variables. The results support the hypothesis that silicon has a broad and positive impact on tomato plants, enhancing various traits associated with growth and yield.
4. Discussion
The present study aimed to investigate whether silicon can improve the growth and productivity of tomatoes in hydroponic systems and to explore the underlying mechanisms that might contribute to this potential enhancement.
Our findings demonstrated that Si foliar treatment significantly enhanced various growth parameters, including stem width, main stem length, and dry weight of plant components, leading to an overall increase in plant biomass. In addition, the number of reproductive structures, such as racemes, flowers, and fruits, was notably higher in Si-treated plants compared to controls.
In our study, conducted under controlled conditions in large-scale greenhouses using closed hydroponic systems, these results align with previous studies that have reported similar benefits of Si application in tomatoes. For instance, Jalali et al. [26] observed that foliar spraying with Si improved fruit firmness, fruit volume, and yield per plant in laboratory-scale experiments. Similarly, Costan et al. [27] reported enhanced tomato growth following Si application in hydroponic setups under controlled laboratory conditions.
The beneficial effects of silicon on plant growth can be attributed to several physiological mechanisms. Specifically, studies have demonstrated that Si promotes cell elongation, enhances cell wall extensibility, and supports stem development, all of which contribute to improved plant growth and increased biomass accumulation [28]. Additionally, silicon has been shown to reinforce cell wall structure and optimize nutrient uptake, supporting sustained plant growth under challenging conditions. In fact, research indicates that Si deposited in cell walls enhances rigidity and stability, which in turn improves nutrient uptake and metabolism in cells [29].
Moreover, silicon has been implicated in the regulation of phytohormone biosynthesis. It has been suggested that Si influences the synthesis and activity of plant hormones such as auxins, gibberellins, and cytokinins, which play crucial roles in cell division, elongation, and differentiation. Thus, this hormonal modulation may contribute to the observed improvements in growth and reproductive development in Si-treated plants [30]. Recent findings have also indicated that silicon may enhance the balance between these hormones, optimizing their synergistic effects to promote growth and development. This regulatory effect could be one of the key factors driving the observed improvements in plant health and reproductive success [31,32].
With regard to plant hydration, while several studies have demonstrated beneficial effects of silicon on plant hydration [6], the present study did not observe significant differences in water content between silicon-treated plants and the control group in the roots, stems, or leaves. This discrepancy may be attributed to the hydroponic cultivation system employed, which provided sufficient water availability, potentially masking the effects of silicon supplementation on water retention.
In terms of pigment biosynthesis, our results demonstrate notable increases in SPAD values and pigment content, suggesting that silicon plays a key role in modulating chlorophyll biosynthesis and prompting a reevaluation of its functional significance in plant metabolism. In fact, a growing body of evidence supports the role of Si in enhancing chlorophyll content across various plant species. For instance, it has been demonstrated that Si supplementation increases chlorophyll levels in tomato plants, a result that underscores the potential for Si to improve photosynthetic efficiency in crops [33]. This trend is also observed in other species, such as barley [34,35], sea barley [21,36], and sorghum [37]. Importantly, Silicon’s ability to enhance chlorophyll content is especially pronounced under conditions of abiotic stress, such as salinity, nutrient deficiency, and temperature extremes, where chlorophyll degradation frequently occurs.
The positive impact of Si on chlorophyll biosynthesis has been extensively reported [38]. However, while the underlying mechanisms by which Si enhances chlorophyll biosynthesis have been partially explored, there is still a need for further elucidation at the molecular level [38]. Recent research has provided deeper insights into the molecular mechanisms by which silicon influences chlorophyll biosynthesis. Studies have shown that Si interacts with secondary messengers to modulate gene expression under stress, thereby enhancing the plant’s ability to maintain chlorophyll production. Furthermore, Si has been found to protect chlorophyll pigments and reduce damage to the chloroplast structure, preserving the integrity of chlorophyll biosynthesis and improving plant resilience under adverse conditions [38,39].
Concerning the modulation of photosystem activities by silicon treatment, our data demonstrate a substantial enhancement in both photosystem II (PSII) and photosystem I (PSI)-related parameters. Such findings highlight the significant potential of silicon to optimize photosynthetic efficiency, which may have important implications for plant productivity. Thus, these results align with the growing body of research suggesting that silicon enhances the photosynthetic efficiency of plants, particularly under stress conditions [35,36,37].
Looking more closely at the modulation of PSII activity, Si foliar treatment enhanced PSII activity, as indicated by the increased values of key parameters (Y(II), ETR(II), qP, and qL). This consistent elevation across multiple photochemical parameters underscores a robust enhancement rather than artefactual or isolated effects. This suggests that silicon treatment improves the efficiency of PSII, contributing to an overall enhancement in photosynthetic performance specifically within this system.
Additionally, silicon treatment resulted in a reduction of energy losses due to nonregulated dissipation processes (Y(NPQ) and Y(NO)), further enhancing the efficiency of the photosynthetic machinery. The observed shift from energy dissipation to photochemical utilization indicates that silicon may reprogram energy allocation mechanisms within the chloroplast. The reduction in unnecessary energy dissipation suggests that silicon helps in optimizing the plant’s energy use by reducing losses and improving energy conversion efficiency. These findings point to the role of silicon in enhancing the plant’s ability to harness absorbed light energy for photochemical processes, rather than dissipating it as heat [35].
Regarding the regulation of PSI activity, our results demonstrate that Si foliar treatment also significantly enhanced PSI activity, as indicated by the elevated Y(I) and ETR(I) values. These increases suggest that silicon may alleviate limitations on PSI electron acceptor side capacity, thereby promoting a more efficient electron flow through the photosynthetic electron transport chain. This is particularly relevant because PSI is highly susceptible to photoinhibition under environmental stresses due to the over-reduction of its acceptor side [40]. Moreover, the observed improvement in ETR(I) may also reflect better coordination between the light reactions and the Calvin cycle, enhancing carbon assimilation efficiency [41].
Furthermore, the observed decrease in Y(ND) following silicon supplementation reflects enhanced regulation of donor-side electron flow in PSI, indicative of improved energy utilization efficiency. Specifically, the reduction of Y(ND) suggests that silicon mitigates donor-side over-reduction, promoting a more balanced redox state in PSI. Similar regulatory effects of silicon on PSI have been reported by Raihan et al. [42], who demonstrated that silicon application under salt stress significantly increased the fraction of open PSI centers and minimized over-reduction [42]. Although their observed effect was more pronounced, likely due to stress conditions, our results indicate that, even under non-stress conditions, silicon can fine-tune PSI redox poising. This donor-side modulation may reflect silicon’s broader role in stabilizing thylakoid membrane structures and optimizing electron transfer components, even in the absence of severe external stress. Previous studies suggest that silicon enhances the structural integrity of photosynthetic machinery, which may indirectly affect PSI donor-side [36,43].
More importantly, the present study provides novel evidence that silicon plays an active role in modulating the redox state of P700, a crucial factor for maintaining efficient electron transport and minimizing oxidative damage, especially under high light and low CO2 conditions [44]. Thus, the significant enhancement in P700 oxidation observed in silicon-treated plants suggests that silicon contributes directly to the stabilization of PSI reaction centers. By maintaining P700 in its oxidized state, silicon likely facilitates dissipation of excess excitation energy and minimizes the over-reduction of PSI acceptor-side components, thereby reducing ROS formation—a process in line with Kadota et al. [45]—who demonstrated that P700 oxidation induces alternative electron flow pathways that mitigate oxidative stress [45]. This mechanism is particularly critical under environmental stress conditions, where an imbalance between energy absorption and utilization increases ROS production and can cause photoinhibition and irreversible damage to PSI. In this way, the maintenance of P700+ status mitigates acceptor-side over-reduction by channeling electrons into alternative flows—such as charge recombination or cyclic pathways—thus safeguarding PSI integrity [44].
As we conclude this section on photosynthesis, it is important to mention that several studies have highlighted that Si supplementation regulates genes related to photosynthesis, thereby improving the overall photosynthetic process. However, despite this growing evidence, research on the molecular mechanisms linking Si to gene expression modulation in photosynthesis remains limited. Therefore, future studies focusing on the gene regulatory networks influenced by Si could provide deeper insights into the molecular pathways by which Si enhances photosynthetic efficiency [38].
Having established improvements in photosynthetic efficiency and plant growth, we now focus on a critical parameter: yield. Our results demonstrated that silicon foliar application led to a 69% increase in fruit biomass yield compared to the control (r = 0.70; p < 0.01), along with improvements in growth parameters such as stem width, plant biomass, and reproductive structure formation. The observed increases in productivity are closely linked to enhanced photosynthetic performance, driven by silicon’s optimization of both PSII and PSI efficiency, as well as its role in boosting chlorophyll biosynthesis. These findings directly contribute to plant growth and the observed increase in fruit biomass yield. Our findings align with previous studies that highlight silicon’s role in enhancing plant productivity and stress resilience [46,47], reinforcing its potential to improve photosynthetic performance and crop yield.
The results effectively supported our initial hypothesis, confirming that silicon enhances photosynthetic efficiency, chlorophyll biosynthesis, and the functionality of PSII and PSI, which are essential for efficient light energy conversion and carbon fixation. These findings underscore the potential of silicon to enhance plant growth, increase yield, and improve resilience to environmental stresses in hydroponic tomato cultivation.
The schematic representation (Figure 17) provides a comprehensive summary of the key findings, integrating the most important observations from the present study.
Figure 17.
Graphical summary illustrating the effects of silicon (Si) treatment on tomato plant growth and productivity. The image highlights the sequential improvements observed: (1) increase in chlorophyll and carotenoid levels; (2) enhancement of PSII and PSI activities; (3) improvement in photosynthetic efficiency; (4) boost in biomass production; (5) enhancement of reproductive structure formation; and finally (6) a significant increase in fruit biomass yield, showing a 69% enhancement.
In conclusion, one limitation of this study is that it focuses primarily on the beneficial effects of silicon on tomato productivity, without addressing the quality of the fruits. This limitation has been explored in a separate study, the results of which will be presented in our forthcoming research.
5. Conclusions
In conclusion, this study demonstrates that foliar silicon application significantly enhances tomato growth and productivity in hydroponic systems. The treatment improved chlorophyll and carotenoid levels, optimizing light energy capture and enhancing photosystem activity, which boosted overall photosynthetic efficiency. This led to more effective energy utilization, resulting in increased biomass production, particularly in stem dimensions and dry weight.
Additionally, silicon treatment promoted the development of reproductive structures, including flowers and tomato fruits, leading to a 69% increase in fruit biomass yield. These findings emphasize the critical role of silicon in enhancing tomato productivity in water-efficient hydroponic systems.
Given these results, foliar silicon application emerges as a promising strategy for improving crop yields, particularly in regions with water scarcity.
Future studies should investigate the effect of silicon on the quality of tomato fruits, as well as its potential to mitigate salt stress in hydroponic systems using saline water resources.
Author Contributions
Conceptualization, C.A., W.Z. and I.S.; Methodology, M.H., M.B., A.H.H., C.A., W.Z. and I.S.; Software, R.B., W.Z. and I.S.; Formal analysis, R.B., R.H., M.F., F.B., W.Z. and I.S.; Investigation, R.B., R.H., S.Z., M.H., M.F., F.B., M.B., A.H.H., W.Z. and I.S.; Resources, S.Z.; Data curation, R.B., R.H., M.F., F.B., W.Z. and I.S.; Writing—original draft, R.B.; Writing—review and editing, C.A., W.Z. and I.S.; Visualization, R.B.; Supervision, I.S.; Project administration, W.Z. All authors have read and agreed to the published version of the manuscript.
Funding
Hydroponic plant cultivation was conducted in the pilot greenhouse, which is part of the INTESA project, coordinated by the Tunisian Union of Agriculture and Fisheries (UTAP). With regard to plant analysis and the synthesis of sodium silicate, this research was financially supported by the Tunisian Ministry of Higher Education and Scientific Research through grant numbers LR15CBBC02 and LR16CNRSM02. Additionally, part of this work was supported by the PHC-UTIQUE 2025 network (Partenariat Hubert Curien UTIQUE 2025, project number 25G0905 [“SiCropSave” Project]) and the Young Researchers Encouragement Program (Programme d’Encouragement des Jeunes Chercheurs, project number 21PEJC D4P1 (“Si-Grow” Project)).
Data Availability Statement
Data supporting the results of this study are available from the corresponding authors, Walid Zorrig and Inès Slama, upon justified request.
Acknowledgments
This work was carried out in fruitful collaboration between the “Tunisian Union of Agriculture and Fisheries” (UTAP: Union Tunisienne de l’Agriculture et de la Pêche) and the “Laboratory of Extremophile Plants” (LPE: Laboratoire des Plantes Extrêmophiles) of the “Centre of Biotechnology of Borj-Cedria” (CBBC: Centre de Biotechnologie de Borj-Cédria, Tunisia). The synthesis of sodium silicate was conducted at the “Laboratory of Valorization of Useful Materials” (LVMU: Laboratoire de Valorisation des Matériaux Utiles) of the “National Center for Research in Materials Sciences” (CNRSM: Centre National de Recherches en Sciences des Matériaux, Tunisia). We would like to express our profound gratitude to the staff of the CNRSM for their unwavering technical and administrative support. Hydroponic plant cultivation was performed in the pilot greenhouse, which is part of the INTESA project, coordinated by UTAP. We would like to express our deepest gratitude to Mr. Bayram HAMADA and Dr. Maroua MEJRI, the coordinators of the INTESA project, for their invaluable support. We also wish to acknowledge and thank the technical and administrative staff of UTAP for their dedicated assistance throughout this study. Plant analyses were conducted at LPE, CBBC. We wish to convey our sincere appreciation to Prof. Ahmed DEBEZ and Dr. Mohsen HANANA, who successively directed the LPE during this study. Additionally, we extend our profound gratitude to the staff of CBBC for their unwavering technical and administrative support.
Conflicts of Interest
The authors declare that there are no conflicts of interest regarding the publication of this paper.
References
- Ripple, W.J.; Wolf, C.; Gregg, J.W.; Rockström, J.; Mann, M.E.; Oreskes, N.; Lenton, T.M.; Rahmstorf, S.; Newsome, T.M.; Xu, C.; et al. The 2024 State of the Climate Report: Perilous Times on Planet Earth. Bioscience 2024, 74, 812–824. [Google Scholar] [CrossRef]
- Darko, R.O.; Odoi-Yorke, F.; Abbey, A.A.; Afutu, E.; Owusu-Sekyere, J.D.; Sam-Amoah, L.K.; Acheampong, L. A Review of Climate Change Impacts on Irrigation Water Demand and Supply—A Detailed Analysis of Trends, Evolution, and Future Research Directions. Water Resour. Manag. 2024, 39, 17–45. [Google Scholar] [CrossRef]
- Derouez, F.; Ifa, A. Desalination for Food Security in Tunisia: Harnessing Renewable Energy to Address Water Scarcity and Climate Change by Using ARDL Approach and VECM Technical. Sustainability 2025, 17, 1046. [Google Scholar] [CrossRef]
- Velazquez-Gonzalez, R.S.; Garcia-Garcia, A.L.; Ventura-Zapata, E.; Barceinas-Sanchez, J.D.O.; Sosa-Savedra, J.C. A Review on Hydroponics and the Technologies Associated for Medium- and Small-Scale Operations. Agriculture 2022, 12, 646. [Google Scholar] [CrossRef]
- Islam, W.; Tauqeer, A.; Waheed, A.; Ali, H.; Zeng, F. Silicon in Plants Mitigates Damage Against Pathogens and Insect Pests. In Benefits of Silicon in the Nutrition of Plants; Springer: Cham, Switzerland, 2023; pp. 347–378. [Google Scholar] [CrossRef]
- Wang, M.; Wang, R.; Mur, L.A.J.; Ruan, J.; Shen, Q.; Guo, S. Functions of Silicon in Plant Drought Stress Responses. Hortic. Res. 2021, 8, 254. [Google Scholar] [CrossRef]
- Malik, M.A.; Wani, A.H.; Mir, S.H.; Rehman, I.U.; Tahir, I.; Ahmad, P.; Rashid, I. Elucidating the Role of Silicon in Drought Stress Tolerance in Plants. Plant Physiol. Biochem. 2021, 165, 187–195. [Google Scholar] [CrossRef]
- Bhardwaj, S.; Kapoor, D. Fascinating Regulatory Mechanism of Silicon for Alleviating Drought Stress in Plants. Plant Physiol. Biochem. 2021, 166, 1044–1053. [Google Scholar] [CrossRef]
- Dhiman, P.; Rajora, N.; Bhardwaj, S.; Sudhakaran, S.S.; Kumar, A.; Raturi, G.; Chakraborty, K.; Gupta, O.P.; Devanna, B.N.; Tripathi, D.K.; et al. Fascinating Role of Silicon to Combat Salinity Stress in Plants: An Updated Overview. Plant Physiol. Biochem. 2021, 162, 110–123. [Google Scholar] [CrossRef]
- Singh, P.; Kumar, V.; Sharma, J.; Saini, S.; Sharma, P.; Kumar, S.; Sinhmar, Y.; Kumar, D.; Sharma, A. Silicon Supplementation Alleviates the Salinity Stress in Wheat Plants by Enhancing the Plant Water Status, Photosynthetic Pigments, Proline Content and Antioxidant Enzyme Activities. Plants 2022, 11, 2525. [Google Scholar] [CrossRef]
- Peña Calzada, K.; Calero Hurtado, A.; Olivera Viciedo, D.; Habermann, E.; de Mello Prado, R.; de Oliveira, R.; Ajila, G.; Tenesaca, L.F.L.; Rodríguez, J.C.; Gratão, P.L. Regulatory Role of Silicon on Growth, Potassium Uptake, Ionic Homeostasis, Proline Accumulation, and Antioxidant Capacity of Soybean Plants Under Salt Stress. J. Plant Growth Regul. 2023, 42, 4528–4540. [Google Scholar] [CrossRef]
- Saha, G.; Mostofa, M.G.; Rahman, M.M.; Tran, L.S.P. Silicon-Mediated Heat Tolerance in Higher Plants: A Mechanistic Outlook. Plant Physiol. Biochem. 2021, 166, 341–347. [Google Scholar] [CrossRef] [PubMed]
- Shilpha, J.; Manivannan, A.; Soundararajan, P.; Jeong, B.R. Heat Stress Mitigation by Silicon Nutrition in Plants: A Comprehensive Overview. In Benefits of Silicon in the Nutrition of Plants; Springer: Cham, Switzerland, 2023; pp. 329–346. [Google Scholar] [CrossRef]
- Bishnoi, A.; Jangir, P.; Shekhawat, P.K.; Ram, H.; Soni, P. Silicon Supplementation as a Promising Approach to Induce Thermotolerance in Plants: Current Understanding and Future Perspectives. J. Soil Sci. Plant Nutr. 2022, 23, 34–55. [Google Scholar] [CrossRef]
- Pavlovic, J.; Kostic, L.; Bosnic, P.; Kirkby, E.A.; Nikolic, M. Interactions of Silicon With Essential and Beneficial Elements in Plants. Front. Plant Sci. 2021, 12, 697592. [Google Scholar] [CrossRef]
- Araújo, W.B.S.; Teixeira, G.C.M.; de Mello Prado, R.; Rocha, A.M.S. Silicon Mitigates Nutritional Stress of Nitrogen, Phosphorus, and Calcium Deficiency in Two Forages Plants. Sci. Rep. 2022, 12, 6611. [Google Scholar] [CrossRef] [PubMed]
- Costa, M.G.; Prado, R.d.M.; Santos Sarah, M.M.; Souza Júnior, J.P.; de Souza, A.E.S. Silicon, by Promoting a Homeostatic Balance of C:N:P and Nutrient Use Efficiency, Attenuates K Deficiency, Favoring Sustainable Bean Cultivation. BMC Plant Biol. 2023, 23, 213. [Google Scholar] [CrossRef]
- Verma, K.K.; Song, X.P.; Liang, Q.; Huang, H.R.; Bhatt, R.; Xu, L.; Chen, G.L.; Li, Y.R. Unlocking the Role of Silicon against Biotic Stress in Plants. Front. Plant Sci. 2024, 15, 1430804. [Google Scholar] [CrossRef]
- Kambale, R.D.; Su, Q.; Karthikeyan, R.; Adelberg, J.; Jeong, B.R. Enhancing Resilience in Hydroponic Crops with Silicon: Insights into Growth Enhancement and Stress Mitigation. In Silicon Advances for Sustainable Agriculture and Human Health; Springer: Cham, Switzerland, 2024; pp. 365–379. [Google Scholar] [CrossRef]
- Sadowska, A.; Świderski, F. Sources, Bioavailability, and Safety of Silicon Derived from Foods and Other Sources Added for Nutritional Purposes in Food Supplements and Functional Foods. Appl. Sci. 2020, 10, 6255. [Google Scholar] [CrossRef]
- Laifa, I.; Hajji, M.; Farhat, N.; Elkhouni, A.; Smaoui, A.; M’nif, A.; Hamzaoui, A.H.; Savouré, A.; Abdelly, C.; Zorrig, W. Beneficial Effects of Silicon (Si) on Sea Barley (Hordeum marinum Huds.) under Salt Stress. Silicon 2021, 13, 4501–4517. [Google Scholar] [CrossRef]
- Lichtenthaler, H.K. Chlorophylls and Carotenoids: Pigments of Photosynthetic Biomembranes. Methods Enzymol. 1987, 148, 350–382. [Google Scholar] [CrossRef]
- Klughammer, C.; Schreiber, U. Complementary PS II Quantum Yields Calculated from Simple Fluorescence Parameters Measured by PAM Fluorometry and the Saturation Pulse Method. PAM Appl. Notes 2008, 1, 201–247. [Google Scholar]
- Klughammer, C.; Schreiber, U. Saturation Pulse Method for Assessment of Energy Conversion in PSI. PAM Appl. Notes 2008, 1, 11–14. [Google Scholar]
- Baker, N.R. Chlorophyll Fluorescence: A Probe of Photosynthesis in Vivo. Annu. Rev. Plant Biol. 2008, 59, 89–113. [Google Scholar] [CrossRef] [PubMed]
- Jalali, P.; Roosta, H.R.; Khodadadi, M.; Torkashvand, A.M.; Jahromi, M.G. Effects of Brown Seaweed Extract, Silicon, and Selenium on Fruit Quality and Yield of Tomato under Different Substrates. PLoS ONE 2022, 17, e0277923. [Google Scholar] [CrossRef]
- Costan, A.; Stamatakis, A.; Chrysargyris, A.; Petropoulos, S.A.; Tzortzakis, N. Interactive Effects of Salinity and Silicon Application on Solanum lycopersicum Growth, Physiology and Shelf-Life of Fruit Produced Hydroponically. J. Sci. Food Agric. 2020, 100, 732–743. [Google Scholar] [CrossRef]
- Xu, R.; Huang, J.; Guo, H.; Wang, C.; Zhan, H. Functions of Silicon and Phytolith in Higher Plants. Plant Signal. Behav. 2023, 18, 2198848. [Google Scholar] [CrossRef]
- Sheng, H.; Ma, J.; Pu, J.; Wang, L. Cell Wall-Bound Silicon Optimizes Ammonium Uptake and Metabolism in Rice Cells. Ann. Bot. 2018, 122, 303–313. [Google Scholar] [CrossRef]
- Khan, I.; Awan, S.A.; Rizwan, M.; Brestic, M.; Xie, W. Silicon: An Essential Element for Plant Nutrition and Phytohormones Signaling Mechanism under Stressful Conditions. Plant Growth Regul. 2022, 100, 301–319. [Google Scholar] [CrossRef]
- Thakur, A.; Singh, A.; Tandon, A.; Sharma, V. Insights into the Molecular Mechanisms of Uptake, Phytohormone Interactions and Stress Alleviation by Silicon: A Beneficial but Non-Essential Nutrient for Plants. Plant Growth Regul. 2023, 101, 1–13. [Google Scholar] [CrossRef]
- Hassan, K.M.; Ajaj, R.; Abdelhamid, A.N.; Ebrahim, M.; Hassan, I.F.; Hassan, F.A.S.; Alam-Eldein, S.M.; Ali, M.A.A. Silicon: A Powerful Aid for Medicinal and Aromatic Plants against Abiotic and Biotic Stresses for Sustainable Agriculture. Horticulturae 2024, 10, 806. [Google Scholar] [CrossRef]
- Wang, S.; Shen, X.; Guan, X.; Sun, L.; Yang, Z.; Wang, D.; Chen, Y.; Li, P.; Xie, Z. Nano-Silicon Enhances Tomato Growth and Antioxidant Defense under Salt Stress. Environ. Sci. Nano 2025, 12, 315–324. [Google Scholar] [CrossRef]
- Falouti, M.; Ellouzi, H.; Amraoui, S.; Hemissi, I.; Bounaouara, F.; Rabhi, M.; Abdelly, C.; Zorrig, W.; Slama, I. Silicon (Si) Seed Priming Improves Growth and Photosynthetic Efficiency of Barley Plants Under Salt Stress in Agricultural Field Conditions. J. Plant Growth Regul. 2025, 44, 2405–2424. [Google Scholar] [CrossRef]
- Falouti, M.; Ellouzi, H.; Bounaouara, F.; Farhat, N.; Aggag, A.M.; Debez, A.; Rabhi, M.; Abdelly, C.; Slama, I.; Zorrig, W. Higher Activity of PSI Compared to PSII Accounts for the Beneficial Effect of Silicon on Barley (Hordeum vulgare L.) Plants Challenged with Salinity. Photosynthetica 2022, 60, 508–520. [Google Scholar] [CrossRef] [PubMed]
- Laifa, I.; Ellouzi, H.; Idoudi, M.; Farhat, N.; Rabhi, M.; Mahmoudi, H.; Smaoui, A.; Debez, A.; Cabassa-Hourton, C.; Savouré, A.; et al. Silicon (Si) Treatment Has Preferential Beneficial Effects on Photosystem I Photochemistry in Salt-Treated Hordeum marinum (Huds.) Plants. J. Soil Sci. Plant Nutr. 2023, 23, 3232–3248. [Google Scholar] [CrossRef]
- Bounaouara, F.; Hidri, R.; Falouti, M.; Rabhi, M.; Abdelly, C.; Zorrig, W.; Slama, I. Silicon Mitigates Salinity Effects on Sorghum-Sudangrass (Sorghum Bicolor × Sorghum Sudanense) by Enhancing Growth and Photosynthetic Efficiency. Funct. Plant Biol. 2024, 51, FP24029. [Google Scholar] [CrossRef]
- Rastogi, A.; Yadav, S.; Hussain, S.; Kataria, S.; Hajihashemi, S.; Kumari, P.; Yang, X.; Brestic, M. Does Silicon Really Matter for the Photosynthetic Machinery in Plants…? Plant Physiol. Biochem. 2021, 169, 40–48. [Google Scholar] [CrossRef]
- Basu, S.; Kumar, G. Exploring the Significant Contribution of Silicon in Regulation of Cellular Redox Homeostasis for Conferring Stress Tolerance in Plants. Plant Physiol. Biochem. 2021, 166, 393–404. [Google Scholar] [CrossRef]
- Sonoike, K. Photoinhibition of Photosystem I. Physiol. Plant. 2011, 142, 56–64. [Google Scholar] [CrossRef]
- Yamori, W.; Sakata, N.; Suzuki, Y.; Shikanai, T.; Makino, A. Cyclic Electron Flow around Photosystem I via Chloroplast NAD(P)H Dehydrogenase (NDH) Complex Performs a Significant Physiological Role during Photosynthesis and Plant Growth at Low Temperature in Rice. Plant J. 2011, 68, 966–976. [Google Scholar] [CrossRef]
- Raihan, M.R.H.; Antala, M.; Stróżecki, M.; Haque, M.I.; Hasanuzzaman, M.; Juszczak, R.; Rastogi, A. Silicon-Induced Photosynthetic Adaptations in Common Buckwheat under Salt Stress Revealed by Prompt Chlorophyll a Fluorescence Analysis. Sci. Rep. 2025, 15, 19343. [Google Scholar] [CrossRef]
- Ksiaa, M.; Farhat, N.; Rabhi, M.; Elkhouni, A.; Smaoui, A.; Debez, A.; Cabassa-Hourton, C.; Savouré, A.; Abdelly, C.; Zorrig, W. Silicon (Si) Alleviates Iron Deficiency Effects in Sea Barley (Hordeum marinum) by Enhancing Iron Accumulation and Photosystem Activities. Silicon 2022, 14, 6697–6712. [Google Scholar] [CrossRef]
- Shimakawa, G.; Miyake, C. Oxidation of P700 Ensures Robust Photosynthesis. Front. Plant Sci. 2018, 9, 1617. [Google Scholar] [CrossRef] [PubMed]
- Kadota, K.; Furutani, R.; Makino, A.; Suzuki, Y.; Wada, S.; Miyake, C. Oxidation of P700 Induces Alternative Electron Flow in Photosystem I in Wheat Leaves. Plants 2019, 8, 152. [Google Scholar] [CrossRef] [PubMed]
- Souri, Z.; Khanna, K.; Karimi, N.; Ahmad, P. Silicon and Plants: Current Knowledge and Future Prospects. J. Plant Growth Regul. 2020, 40, 906–925. [Google Scholar] [CrossRef]
- Mir, R.A.; Bhat, B.A.; Yousuf, H.; Islam, S.T.; Raza, A.; Rizvi, M.A.; Charagh, S.; Albaqami, M.; Sofi, P.A.; Zargar, S.M. Multidimensional Role of Silicon to Activate Resilient Plant Growth and to Mitigate Abiotic Stress. Front. Plant Sci. 2022, 13, 819658. [Google Scholar] [CrossRef]
Disclaimer/Publisher’s Note: The statements, opinions and data contained in all publications are solely those of the individual author(s) and contributor(s) and not of MDPI and/or the editor(s). MDPI and/or the editor(s) disclaim responsibility for any injury to people or property resulting from any ideas, methods, instructions or products referred to in the content. |
© 2025 by the authors. Licensee MDPI, Basel, Switzerland. This article is an open access article distributed under the terms and conditions of the Creative Commons Attribution (CC BY) license (https://creativecommons.org/licenses/by/4.0/).
















