Effects of Water Application Frequency and Water Use Efficiency Under Deficit Irrigation on Maize Yield in Xinjiang
Abstract
1. Introduction
2. Materials and Methods
2.1. Experiment Site
2.2. Experimental Design
2.3. Material
2.4. Sampling and Measurements
2.4.1. Stand Growth Index
2.4.2. Maize Yields and Yield Components
2.4.3. Water Use Efficiency (WUE) Calculation
2.5. Statistical Analysis
3. Results
3.1. Effects of Irrigation Frequency and Amount on Maize Growth Parameters
3.2. Yield and Its Components
3.3. Harvest Index
3.4. Water Use Efficiency (WUE)
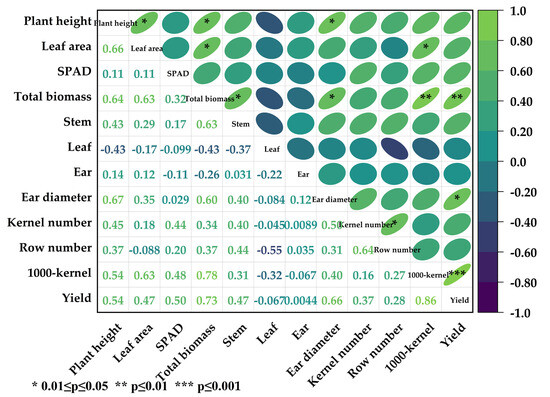
3.5. Key Growth Parameters Driving Maize Yield
4. Discussion
4.1. Physiological Mechanisms of Water Regulation Efficiency
4.2. Climate-Adaptive Optimization
4.3. Unresolved Issues and Implementation Challenges
5. Conclusions
Author Contributions
Funding
Data Availability Statement
Acknowledgments
Conflicts of Interest
References
- Nasir, J.; Ashfaq, M.; Baig, I.A.; Punthakey, J.F.; Culas, R.; Ali, A.; Hassan, F.U. Socioeconomic Impact Assessment of Water Resources Conservation and Management to Protect Groundwater in Punjab, Pakistan. Water 2021, 13, 2672. [Google Scholar] [CrossRef]
- Longo-Minnolo, G.; Consoli, S.; Vanella, D.; Ramírez-Cuesta, J.M.; Greimeister-Pfeil, I.; Neuwirth, M.; Vuolo, F. A stand-alone remote sensing approach based on the use of the optical trapezoid model for detecting the irrigated areas. Agric. Water Manag. 2022, 274, 107975. [Google Scholar] [CrossRef]
- Zhang, X.; Wang, X.; Zhou, B. CMIP6-projected changes in drought over Xinjiang, Northwest China. Int. J. Climatol. 2023, 43, 6560–6577. [Google Scholar] [CrossRef]
- Zhu, H.; Zheng, B.; Nie, W.; Fei, L.; Shan, Y.; Li, G.; Liang, F. Optimization of maize irrigation strategy in Xinjiang, China by AquaCrop based on a four-year study. Agric. Water Manag. 2024, 297, 108816. [Google Scholar] [CrossRef]
- Chen, H.; Chen, S.; Yang, R.; Shan, L.; Hao, J.; Ye, Y. Optimizing the Cropland Fallow for Water Resource Security in the Groundwater Funnel Area of China. Land 2023, 12, 462. [Google Scholar] [CrossRef]
- Shen, Q.; Deng, H.; Wen, X.; Chen, Z.; Xu, H. Statistical Texture Learning Method for Monitoring Abandoned Suburban Cropland Based on High-Resolution Remote Sensing and Deep Learning. IEEE J. Sel. Top. Appl. Earth Obs. Remote Sens. 2023, 16, 3060–3069. [Google Scholar] [CrossRef]
- Li, X.; Zhang, C.; Huo, Z. Optimizing irrigation and drainage by considering agricultural hydrological process in arid farmland with shallow groundwater. J. Hydrol. 2020, 585, 124785. [Google Scholar] [CrossRef]
- Pool, S.; Francés, F.; Garcia-Prats, A.; Puertes, C.; Pulido-Velazquez, M.; Sanchis-Ibor, C.; Schirmer, M.; Yang, H.; Jiménez-Martínez, J. Hydrological Modeling of the Effect of the Transition From Flood to Drip Irrigation on Groundwater Recharge Using Multi-Objective Calibration. Water Resour. Res. 2021, 57, e2021WR029677. [Google Scholar] [CrossRef]
- Al-Ogaidi, A.A.M.; Wayayok, A.; Kamal, R.; Abdullah, A.F. A Modified Empirical Model for Estimating the Wetted Zone Dimensions Under Drip Irrigation. J. Teknologi. 2015, 76, 69–73. [Google Scholar] [CrossRef]
- Tian, H.; Bo, L.; Mao, X.; Liu, X.; Wang, Y.; Hu, Q. Modelling Soil Water, Salt and Heat Dynamics under Partially Mulched Conditions with Drip Irrigation, Using HYDRUS-2D. Water 2022, 14, 2791. [Google Scholar] [CrossRef]
- Han, W.; Sun, J.; Zhang, K.; Mao, L.; Gao, L.; Hou, X.; Cui, N.; Kang, W.; Gong, D. Optimizing drip fertigation management based on yield, quality, water and fertilizer use efficiency of wine grape in North China. Agric. Water Manag. 2023, 280, 108188. [Google Scholar] [CrossRef]
- Bian, Q.; Dong, Z.; Fu, Y.; Zhao, Y.; Feng, Y.; Wang, Z.; Zhu, J. Optimizing Irrigation Strategies to Improve Yield and Water Use Efficiency of Drip-Irrigated Maize in Southern Xinjiang. Plants 2024, 13, 3492. [Google Scholar] [CrossRef] [PubMed]
- Zhang, H.; Chen, X.; Xue, D.; Zhang, W.; Li, F.; Teng, A.; Zhang, C.; Lei, L.; Ba, Y. Dry Matter Accumulation, Water Productivity and Quality of Potato in Response to Regulated Deficit Irrigation in a Desert Oasis Region. Plants 2024, 13, 1927. [Google Scholar] [CrossRef] [PubMed]
- Zhang, G.; Shen, D.; Ming, B.; Xie, R.; Hou, P.; Xue, J.; Wang, K.; Li, S. Optimizing Planting Density to Increase Maize Yield and Water Use Efficiency and Economic Return in the Arid Region of Northwest China. Agriculture 2022, 12, 1322. [Google Scholar] [CrossRef]
- Sun, Q.; Li, Y.; Gong, D.; Hu, A.; Zhong, W.; Zhao, H.; Ning, Q.; Tan, Z.; Liang, K.; Mu, L.; et al. A NAC-EXPANSIN module enhances maize kernel size by controlling nucellus elimination. Nat. Commun. 2022, 13, 5708. [Google Scholar] [CrossRef]
- Diao, Z.; Guo, P.; Zhang, B.; Yan, J.; He, Z.; Zhao, S.; Zhao, C.; Zhang, J. Spatial-spectral attention-enhanced Res-3D-OctConv for corn and weed identification utilizing hyperspectral imaging and deep learning. Comput. Electron. Agric. 2023, 212, 108092. [Google Scholar] [CrossRef]
- Himanshu, S.K.; Ale, S.; Bell, J.; Fan, Y.; Samanta, S.; Bordovsky, J.P.; Gitz Iii, D.C.; Lascano, R.J.; Brauer, D.K. Evaluation of growth-stage-based variable deficit irrigation strategies for cotton production in the Texas High Plains. Agric. Water Manag. 2023, 280, 108222. [Google Scholar] [CrossRef]
- Mpanga, I.K.; Idowu, O.J. A Decade of Irrigation Water use trends in Southwestern USA: The Role of Irrigation Technology, Best Management Practices, and Outreach Education Programs. Agric. Water Manag. 2021, 243, 106438. [Google Scholar] [CrossRef]
- Wang, W.; Tang, S.; Han, H.; Xu, Y. Spatiotemporal Changes in Precipitation during the Summer Maize Growing Season in the North China Plain and Analysis of Its Causes. Atmosphere 2022, 13, 1288. [Google Scholar] [CrossRef]
- Shiferaw, B.; Tesfaye, K.; Kassie, M.; Abate, T.; Prasanna, B.M.; Menkir, A. Managing vulnerability to drought and enhancing livelihood resilience in sub-Saharan Africa: Technological, institutional and policy options. Weather Clim. Extrem. 2014, 3, 67–79. [Google Scholar] [CrossRef]
- Mirhashemi, S.H.; Panahi, M. Investigation and prediction of maize water requirements in four growth stages under the influence of natural factors (Case study: Qazvin plain, Iran). Environ. Technol. Innov. 2021, 24, 102062. [Google Scholar] [CrossRef]
- Shan, Y.; Li, G.; Tan, S.; Su, L.; Sun, Y.; Mu, W.; Wang, Q. Optimizing the Maize Irrigation Strategy and Yield Prediction under Future Climate Scenarios in the Yellow River Delta. Agronomy 2023, 13, 960. [Google Scholar] [CrossRef]
- Puértolas, J.; Larsen, E.K.; Davies, W.J.; Dodd, I.C. Applying ‘drought’ to potted plants by maintaining suboptimal soil moisture improves plant water relations. J. Exp. Bot. 2017, 68, 2413–2424. [Google Scholar] [CrossRef] [PubMed]
- Lasky, J.R.; Upadhyaya, H.D.; Ramu, P.; Deshpande, S.; Hash, T.; Bonnette, J.; Juenger, T.E.; Hyma, K.; Acharya, C.; Mitchell, S.E.; et al. Genome-environment associations in sorghum landraces predict adaptive traits. Sci. Adv. 2015, 1, e1400218. [Google Scholar] [CrossRef]
- Lipan, L.; Cano-Lamadrid, M.; Vázquez-Araújo, L.; Sendra, E.; Hernández, F.; Corell, M.; Moriana, A.; Carbonell-Barrachina, Á.A. How does water stress and roasting temperature affect the physicochemical parameters of almonds? LWT 2021, 150, 112073. [Google Scholar] [CrossRef]
- Gong, L.-S.; Qu, S.-J.; Huang, G.-M.; Guo, Y.-L.; Zhang, M.-C.; Li, Z.-H.; Zhou, Y.-Y.; Duan, L.-S. Improving maize grain yield by formulating plant growth regulator strategies in North China. J. Integr. Agric. 2021, 20, 622–632. [Google Scholar] [CrossRef]
- Zhang, G.; Ming, B.; Shen, D.; Xie, R.; Hou, P.; Xue, J.; Wang, K.; Li, S. Optimizing Grain Yield and Water Use Efficiency Based on the Relationship between Leaf Area Index and Evapotranspiration. Agriculture 2021, 11, 313. [Google Scholar] [CrossRef]
- El-Hendawy, S.E.; El-Lattief, E.A.A.; Ahmed, M.S.; Schmidhalter, U. Irrigation rate and plant density effects on yield and water use efficiency of drip-irrigated corn. Agric. Water Manag. 2008, 95, 836–844. [Google Scholar] [CrossRef]
- Liu, W.; Hou, P.; Liu, G.; Yang, Y.; Guo, X.; Ming, B.; Xie, R.; Wang, K.; Liu, Y.; Li, S. Contribution of total dry matter and harvest index to maize grain yield—A multisource data analysis. Food Energy Secur. 2020, 9, e256. [Google Scholar] [CrossRef]
- Wang, F.; Xie, R.; Ming, B.; Wang, K.; Hou, P.; Chen, J.; Liu, G.; Zhang, G.; Xue, J.; Li, S. Dry matter accumulation after silking and kernel weight are the key factors for increasing maize yield and water use efficiency. Agric. Water Manag. 2021, 254, 106938. [Google Scholar] [CrossRef]
- Zhang, G.; Shen, D.; Ming, B.; Xie, R.; Jin, X.; Liu, C.; Hou, P.; Xue, J.; Chen, J.; Zhang, W.; et al. Using irrigation intervals to optimize water-use efficiency and maize yield in Xinjiang, northwest China. Crop J. 2019, 7, 322–334. [Google Scholar] [CrossRef]
- Zhang, G.; Liu, C.; Xiao, C.; Xie, R.; Ming, B.; Hou, P.; Liu, G.; Xu, W.; Shen, D.; Wang, K.; et al. Optimizing water use efficiency and economic return of super high yield spring maize under drip irrigation and plastic mulching in arid areas of China. Field Crops Res. 2017, 211, 137–146. [Google Scholar] [CrossRef]
- Wang, F.-X.; Kang, Y.; Liu, S.-P. Effects of drip irrigation frequency on soil wetting pattern and potato growth in North China Plain. Agric. Water Manag. 2006, 79, 248–264. [Google Scholar] [CrossRef]
- Du, T.; Kang, S.; Zhang, X.; Zhang, J. China’s food security is threatened by the unsustainable use of water resources in North and Northwest China. Food Energy Secur. 2013, 3, 7–18. [Google Scholar] [CrossRef]
- Veenstra, R.L.; Messina, C.D.; Berning, D.; Haag, L.A.; Carter, P.; Hefley, T.J.; Prasad, P.V.V.; Ciampitti, I.A. Tiller biomass in low plant-density corn enhances transient C sink without direct harvest index detriment. Field Crops Res. 2023, 292, 108804. [Google Scholar] [CrossRef]
- Li, Y.; Ming, B.; Fan, P.; Liu, Y.; Wang, K.; Hou, P.; Xue, J.; Li, S.; Xie, R. Quantifying contributions of leaf area and longevity to leaf area duration under increased planting density and nitrogen input regimens during maize yield improvement. Field Crops Res. 2022, 283, 108551. [Google Scholar] [CrossRef]
- Tan, S.; Wang, Q.; Zhang, J.; Chen, Y.; Shan, Y.; Xu, D. Performance of AquaCrop model for cotton growth simulation under film-mulched drip irrigation in southern Xinjiang, China. Agric. Water Manag. 2018, 196, 99–113. [Google Scholar] [CrossRef]
- Wu, P.; Liu, F.; Wang, J.; Liu, Y.; Gao, Y.; Zhang, X.; Chen, G.; Huang, F.; Ahmad, S.; Zhang, P.; et al. Suitable fertilization depth can improve the water productivity and maize yield by regulating development of the root system. Agric. Water Manag. 2022, 271, 107784. [Google Scholar] [CrossRef]





| Index | Total Hardness (mg/L) (CaCO3) | Mineralization Degree (mg/L) | (NH4-N) (mg/L) | Permanganate Index (mg/L) | SO42− (mg/L) | CL− (mg/L) | Phenol | EC (mS/m) |
|---|---|---|---|---|---|---|---|---|
| Content | 155 | 367 | <0.05 | 13.53 | 92.09 | 25.53 | <0.002 | 1 |
| Treatment/Period | Seedling Stage | Jointing Stage | Bell- Mouth Stage | Heading Stage | Flowering Stage | Silking Stage | Grain Formation Stage | Milk- Ripe Stage | Maturity Stage | Total | |
|---|---|---|---|---|---|---|---|---|---|---|---|
| HC | Irrigation quantity (kg3·hm−2) | 164.0 | 600.0 | 600.0 | 600.0 | 600.0 | 600.0 | 600.0 | 564.0 | 472.0 | 4800.0 |
| Urea (kg·hm−2) | 0.0 | 81.8 | 81.8 | 90.9 | 81.8 | 81.8 | 72.7 | 54.5 | 0.0 | 545.3 | |
| Monoammonium phosphate (kg·hm−2) | 36.4 | 36.4 | 45.5 | 45.5 | 45.5 | 27.3 | 18.2 | 18.2 | 0.0 | 273.0 | |
| Potassium sulfate (kg·hm−2) | 0.0 | 18.2 | 27.3 | 27.3 | 36.4 | 22.7 | 18.2 | 13.6 | 0.0 | 163.7 | |
| HL | Irrigation quantity (kg3·hm−2) | 164.0 | 300.0 | 300.0 | 300.0 | 300.0 | 300.0 | 300.0 | 282.0 | 154.0 | 2400.0 |
| Urea (kg·hm−2) | 0.0 | 81.8 | 81.8 | 90.9 | 81.8 | 81.8 | 72.7 | 54.5 | 0.0 | 545.3 | |
| Monoammonium phosphate (kg·hm−2) | 36.4 | 36.4 | 45.5 | 45.5 | 45.5 | 27.3 | 18.2 | 18.2 | 0.0 | 273.0 | |
| Potassium sulfate (kg·hm−2) | 0.0 | 18.2 | 27.3 | 27.3 | 36.4 | 22.7 | 18.2 | 13.6 | 0.0 | 163.7 | |
| LC | Irrigation quantity (kg3·hm−2) | 164.0 | 600.00 | 600.0 | 600.0 | 436.0 | 2400.0 | ||||
| Urea (kg·hm−2) | 0.0 | 163.6 | 172.7 | 154.5 | 54.5 | 545.3 | |||||
| Monoammonium phosphate (kg·hm−2) | 36.4 | 81.9 | 91 | 45.5 | 18.2 | 273.0 | |||||
| Potassium sulfate (kg·hm−2) | 0.0 | 45.5 | 63.7 | 40.9 | 13.6 | 163.7 | |||||
| Years | Sowing Date | Flowering Stage | Maturity Stage | Harvest Date | Total Days |
|---|---|---|---|---|---|
| 2018 | 28 Apr | 18 Jul | 25 Aug | 27 Sep | 152 |
| 2019 | 30 Apr | 14 Jul | 22 Aug | 22 Sep | 145 |
| 2020 | 26 Apr | 15 Jul | 2 Sep | 1 Oct | 158 |
| 2021 | 7 May | 19 Jul | 27 Aug | 24 Sep | 140 |
| Year | Treatment | Ear Diameter (mm) | Kernel Number Per Row | Row Number Per Ear | 1000-Kernel Weight (g) | Yield(kg·hm−2) |
|---|---|---|---|---|---|---|
| 2018 | HC | 46.85 ± 0.91 a | 32.45 ± 1.82 a | 14.30 ± 0.48 a | 330.43 ± 14.66 a | 15,041.43 ± 1022.43 a |
| HL | 44.70 ± 0.62 b | 31.85 ± 0.82 a | 13.45 ± 1.03 ab | 310.58 ± 8.08 b | 11,929.02 ± 320.29 b | |
| LC | 42.70 ± 1.15 b | 30.65 ± 2.07 b | 13.15 ± 0.25 a | 302.93 ± 9.85 b | 11,047.74 ± 398.14 b | |
| 2019 | HC | 43.55 ± 0.74 a | 33.05 ± 1.06 a | 16.11 ± 0.36 a | 329.25 ± 9.46 a | 13,164.46 ± 1506.54 a |
| HL | 42.95 ± 0.53 a | 32.35 ± 1.68 a | 14.75 ± 0.19 b | 306.75 ± 19.6 ab | 9465.83 ± 752.97 b | |
| LC | 42.70 ± 0.53 a | 31.95 ± 0.77 a | 13.95 ± 0.20 c | 300.00 ± 15.10 b | 8677.52 ± 252.19 b | |
| 2020 | HC | 43.50 ± 0.87 a | 31.40 ± 2.12 a | 14.80 ± 1.26 a | 333.75 ± 5.56 a | 15,775.93 ± 2027.60 a |
| HL | 42.60 ± 0.53 a | 30.95 ± 1.24 a | 14.20 ± 0.23 a | 329.66 ± 14.57 ab | 10,972.99 ± 279.96 b | |
| LC | 42.35 ± 1.02 a | 29.95 ± 1.64 a | 13.70 ± 0.50 a | 309.60 ± 17.56 b | 8068.67 ± 514.82 c | |
| 2021 | HC | 43.53 ± 0.76 a | 31.40 ± 0.85 a | 14.80 ± 0.35 a | 340.00 ± 3.56 a | 16,569.64 ± 301.29 a |
| HL | 42.18 ± 1.21 a | 28.58 ± 1.39 b | 13.48 ± 0.36 b | 317.00 ± 21.59 ab | 10,805.78 ± 333.15 b | |
| LC | 40.73 ± 0.77 b | 27.00 ± 1.67 b | 13.20 ± 0.41 b | 302.50 ± 3.42 b | 8722.51 ± 547.40 c | |
| Mean | HC | 44.35 ± 1.66 a | 32.08 ± 0.82 a | 15.00 ± 0.77 a | 333.36 ± 4.82 a | 15,137.86 ± 1456.10 a |
| HL | 43.19 ± 1.11 a | 30.93 ± 1.67 a | 13.97 ± 0.63 b | 316.00 ± 10.05 b | 10,793.78 ± 1013.98 b | |
| LC | 42.12 ± 0.94 a | 29.89 ± 2.10 a | 13.50 ± 0.39 b | 303.76 ± 4.10 c | 9129.11 ± 1313.38 b |
| Treatment | Dry Matter at Flowering Stage (kg·hm−2) | Dry Matter at Maturity (kg·hm−2) | Dry Matter Translocation (kg·hm−2) | Dry Matter Transport Efficiency (%) | Grain Contribution (%) | Harvest Index (%) |
|---|---|---|---|---|---|---|
| HC | 21,215.07 ± 511.32 a | 26,341.57 ± 3011.91 a | 7825.96 ± 948.32 a | 65.00 ± 12.42 a | 53.52 ± 11.82 a | 58.13 ± 10.00 a |
| HL | 16,513.99 ± 1071.80 b | 24,164.32 ± 2368.45 ab | 5467.53 ± 1247.47 b | 48.31 ± 7.52 b | 50.99 ± 12.45 a | 48.46 ± 5.45 ab |
| LC | 14,720.43 ± 823.66 c | 21,869.60 ± 2948.25 b | 4444.22 ± 1222.41 b | 43.07 ± 12.12 b | 50.59 ± 18.11 a | 43.78 ± 6.78 b |
| Year | Treatment | Irrigation Amount in Maize Growth Period (m3·hm−2) | Yield (kg·hm−2) | WUE (kg·m−3) | IWUE (kg·m−3) | PUE (kg·m−3) |
|---|---|---|---|---|---|---|
| 2018 | HC | 4800 | 15,041.43 ± 1022.43 a | 2.74 ± 0.17 c | 3.13 ± 0.21 c | 22.12 ± 1.50 a |
| HL | 2400 | 11,929.02 ± 320.29 b | 3.87 ± 0.10 a | 4.97 ± 0.13 a | 17.54 ± 0.47 b | |
| LC | 2400 | 11,047.74 ± 398.14 b | 3.59 ± 0.13 b | 4.60 ± 0.17 b | 16.25 ± 0.59 b | |
| 2019 | HC | 4800 | 13,164.46 ± 1506.54 a | 2.29 ± 0.27 b | 2.73 ± 0.33 b | 14.08 ± 1.68 a |
| HL | 2400 | 9465.83 ± 752.97 b | 2.86 ± 0.24 a | 3.97 ± 0.33 a | 10.24 ± 0.86 b | |
| LC | 2400 | 8677.52 ± 252.19 b | 2.61 ± 0.08 ab | 3.62 ± 0.11 a | 9.33 ± 0.27 b | |
| 2020 | HC | 4800 | 15,775.93 ± 2027.60 a | 3.04 ± 0.39 b | 3.29 ± 0.42 b | 39.94 ± 5.13 a |
| HL | 2400 | 10,972.99 ± 279.6 b | 3.93 ± 0.10 a | 4.57 ± 0.12 a | 27.78 ± 0.71 b | |
| LC | 2400 | 8068.67 ± 514.82 c | 2.89 ± 0.18 b | 3.36 ± 0.21 b | 20.43 ± 1.30 c | |
| 2021 | HC | 4800 | 16,569.64 ± 301.29 a | 3.20 ± 0.06 b | 3.45 ± 0.06 c | 43.60 ± 0.79 a |
| HL | 2400 | 10,805.78 ± 333.15 b | 3.89 ± 0.12 a | 4.50 ± 0.14 a | 28.44 ± 0.88 b | |
| LC | 2400 | 8722.51 ± 547.40 c | 3.14 ± 0.20 b | 3.63 ± 0.23 b | 22.95 ± 1.44 c | |
| Mean | HC | 4800 | 15,137.89 ± 1456.10 a | 2.82 ± 0.40 a | 3.15 ± 0.31 c | 29.93 ± 14.13 a |
| HL | 2400 | 10,793.78 ± 1013.98 b | 3.63 ± 0.52 a | 4.50 ± 0.42 a | 20.99 ± 8.74 a | |
| LC | 2400 | 9129.11 ± 1313.38 b | 3.06 ± 0.42 a | 3.80 ± 0.55 b | 17.24 ± 5.95 a | |
| P | Year | *** | *** | *** | *** | |
| Treatment | *** | *** | *** | *** | ||
| Year × Treatment | *** | *** | *** | *** | ||
Disclaimer/Publisher’s Note: The statements, opinions and data contained in all publications are solely those of the individual author(s) and contributor(s) and not of MDPI and/or the editor(s). MDPI and/or the editor(s) disclaim responsibility for any injury to people or property resulting from any ideas, methods, instructions or products referred to in the content. |
© 2025 by the authors. Licensee MDPI, Basel, Switzerland. This article is an open access article distributed under the terms and conditions of the Creative Commons Attribution (CC BY) license (https://creativecommons.org/licenses/by/4.0/).
Share and Cite
Duan, T.; Zhang, L.; Wang, G.; Liang, F. Effects of Water Application Frequency and Water Use Efficiency Under Deficit Irrigation on Maize Yield in Xinjiang. Agronomy 2025, 15, 1110. https://doi.org/10.3390/agronomy15051110
Duan T, Zhang L, Wang G, Liang F. Effects of Water Application Frequency and Water Use Efficiency Under Deficit Irrigation on Maize Yield in Xinjiang. Agronomy. 2025; 15(5):1110. https://doi.org/10.3390/agronomy15051110
Chicago/Turabian StyleDuan, Tianjiang, Licun Zhang, Guodong Wang, and Fei Liang. 2025. "Effects of Water Application Frequency and Water Use Efficiency Under Deficit Irrigation on Maize Yield in Xinjiang" Agronomy 15, no. 5: 1110. https://doi.org/10.3390/agronomy15051110
APA StyleDuan, T., Zhang, L., Wang, G., & Liang, F. (2025). Effects of Water Application Frequency and Water Use Efficiency Under Deficit Irrigation on Maize Yield in Xinjiang. Agronomy, 15(5), 1110. https://doi.org/10.3390/agronomy15051110

