Soil Carbon Dynamics, Sequestration Potential, and Physical Characteristics Under Grazing Management in Regenerative Organic Agroecosystems
Abstract
1. Introduction
2. Materials and Methods
2.1. Site Description
2.2. Farm Management Systems
- (1)
- grazing ruminants with cover crops (RGCC),
- (2)
- grazing ruminants on native grasses without seeded cover crops (RGNCC),
- (3)
- cover crop seeded with no grazing (NGCC) and,
- (4)
- Orchard with no cover crops and no grazing (NGNCC). The orchard was planted with elderberry trees (Sambucus sp.) at a high density at the start of the experiment in 2022, with trees spacing 1.5 m between rows and 0.5 m within the same row. The orchard was planted with different varieties, however in this study, soil under elderberries were examined.
2.3. Soil Sampling
2.4. Calculation of Total Organic Carbon (TOC) Sequestration in Soils
- % C = Mean percent of carbon content in the soil;
- BD = Mean bulk density (in Mg/m3);
- D = Soil layer depth (m);
- m = meters, ha = hectare;
- Mg = mega grams (metric tons).
2.5. Bulk Density
- Db = Bulk density of <2 mm particles (g cm−3), ODW = Oven dry samples (g),
- RF = Weight of rocks (g), CW = Weight of empty core (g), CV = Core volume (cm3),
- and,
- PD = Rocks density (g cm−3)
2.6. Wet Aggregate Stability
2.7. Soil Particle Size Distribution
2.8. Soil Penetration Resistance
2.9. Statistical Analysis
3. Results and Discussion
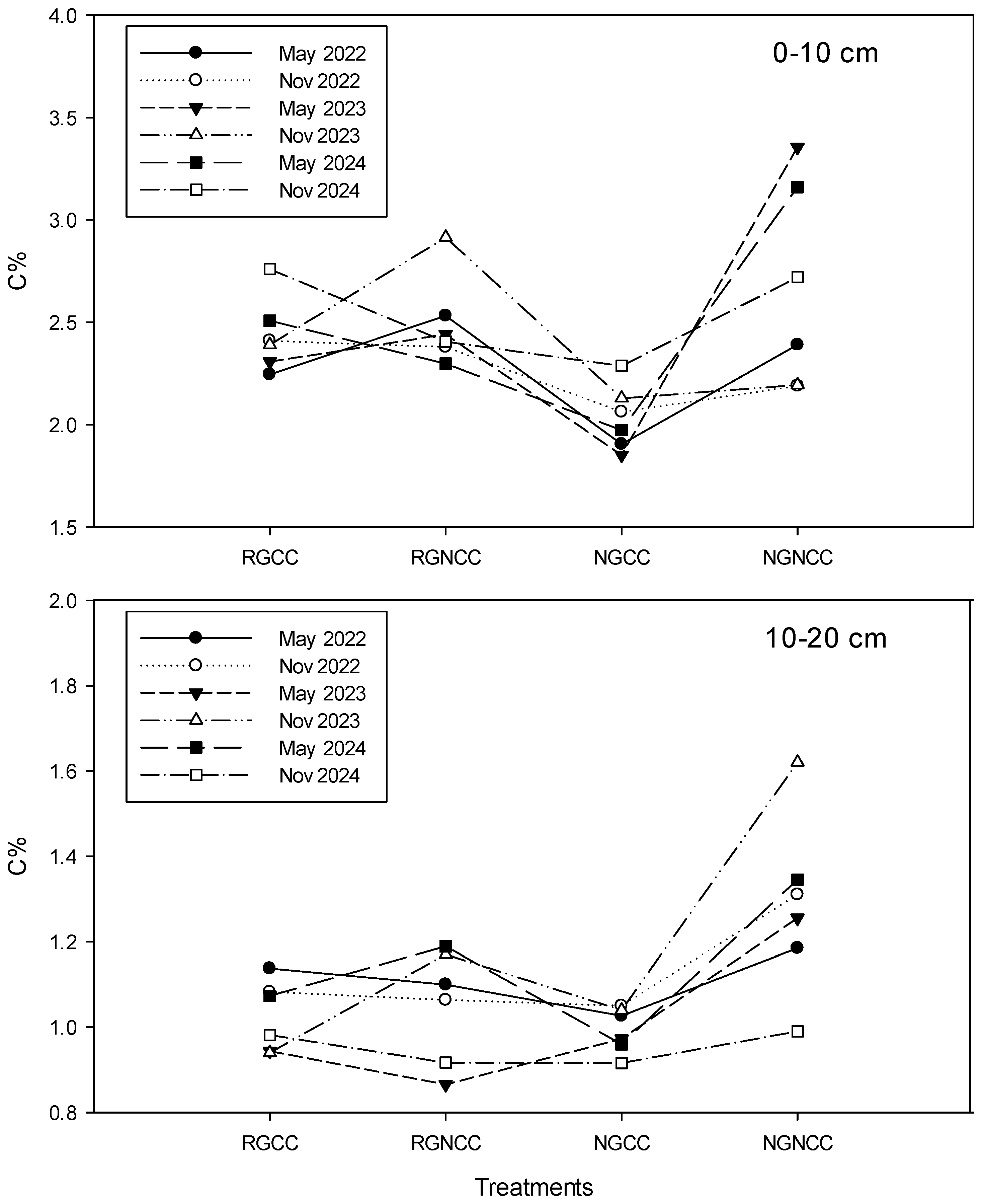
3.1. SOC Dynamics Across Profile Depths
3.2. Soil Organic Carbon Sequestered (SOCS) in the Soil Profile
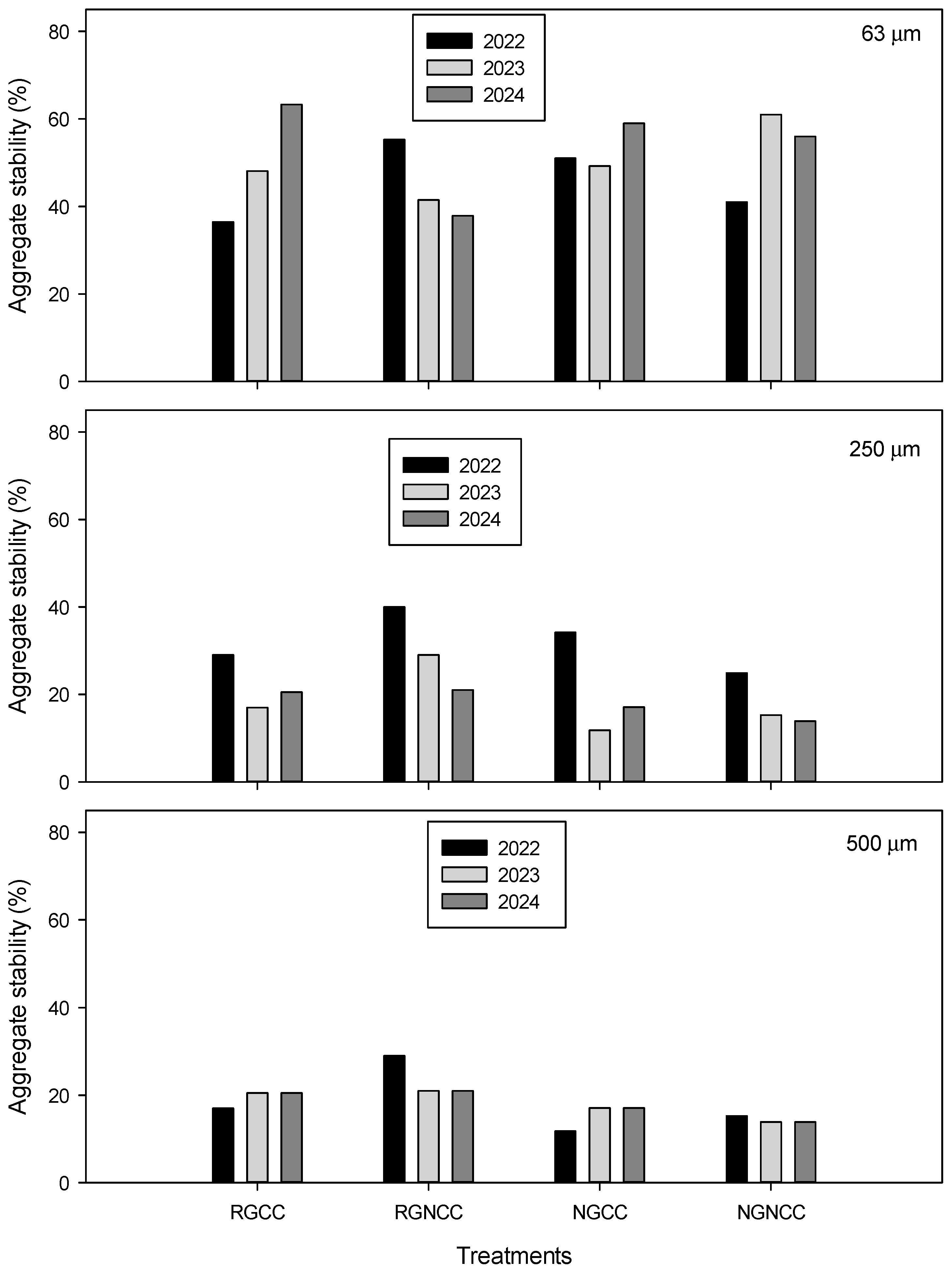
3.3. Aggregate Stability Under Different Managements
3.4. Soil Penetration Resistance
4. Conclusions
Author Contributions
Funding
Data Availability Statement
Acknowledgments
Conflicts of Interest
References
- Beillouin, D.; Corbeels, M.; Demenois, J.; Berre, D.; Boyer, A.; Fallot, A.; Feder, F.; Cardinael, R. A global meta-analysis of soil organic carbon in the Anthropocene. Nat. Commun. 2023, 14, 3700. [Google Scholar] [CrossRef]
- Rodrigues, C.I.D.; Brito, L.M.; Nunes, L.J.R. Soil Carbon Sequestration in the Context of Climate Change Mitigation: A Review. Soil Syst. 2023, 7, 64. [Google Scholar] [CrossRef]
- Georgiou, K.; Jackson, R.B.; Vindušková, O.; Abramoff, R.Z.; Ahlström, A.; Feng, W.; Harden, J.W.; Pellegrini, A.F.A.; Polley, H.W.; Soong, J.L.; et al. Global stocks and capacity of mineral-associated soil organic carbon. Nat. Commun. 2022, 13, 3797. [Google Scholar] [CrossRef] [PubMed]
- Zhou, G.; Xu, S.; Ciais, P.; Manzoni, S.; Fang, J.; Yu, G.; Tang, X.; Zhou, P.; Wang, W.; Yan, J.; et al. Climate and litter C/N ratio constrain soil organic carbon accumulation. Natl. Sci. Rev. 2019, 6, 746–757. [Google Scholar] [CrossRef] [PubMed]
- Derrien, D.; Barré, P.; Basile-Doelsch, I.; Cécillon, L.; Chabbi, A.; Crème, A.; Fontaine, S.; Henneron, L.; Janot, N.; Lashermes, G.; et al. Current controversies on mechanisms controlling soil carbon storage: Implications for interactions with practitioners and policymakers. A review. Agron. Sustain. Dev. 2023, 43, 21. [Google Scholar] [CrossRef] [PubMed]
- Petropoulos, T.; Benos, L.; Busato, P.; Kyriakarakos, G.; Kateris, D.; Aidonis, D.; Bochtis, D. Soil Organic Carbon Assessment for Carbon Farming: A Review. Agriculture 2025, 15, 567. [Google Scholar] [CrossRef]
- Mehre, J.; Schneider, K.; Jayasundara, S.; Gillespie, A.; Wagner-Riddle, C. Adaptive multi-paddock grazing increases soil carbon stocks and decreases the carbon footprint of beef production in Ontario, Canada. J. Environ. Manag. 2024, 371, 123255. [Google Scholar] [CrossRef] [PubMed]
- FAO. Land use statistics and indicators statistics. In Global, Regional and Country Trends 1990–2019; FAOSTAT Analytical 552 Brief Series No 28; FAO: Rome, Italy, 2021. [Google Scholar]
- Stanley, P.; Roche, L.; Bowles, T. Amping up soil carbon: Soil carbon stocks in California rangelands under adaptive multi-paddock and conventional grazing management. Int. J. Agric. Sustain. 2025, 23, 2461826. [Google Scholar] [CrossRef]
- Mosier, S.; Apfelbaum, S.; Byck, P.; Calderon, F.; Teague, R.; Thompson, R.; Cotrufo, M.F. Adaptive multi-paddock grazing enhances soil carbon and nitrogen stocks and stabilization through mineral association in southeastern U.S. grazing lands. J. Environ. Manag. 2021, 15, 112409. [Google Scholar] [CrossRef] [PubMed]
- Fohrafellner, J.; Zechmeister-Boltenstern, S.; Murugan, R.; Keiblinger, K.; Spiegel, H.; Valkama, E. Meta-analysis protocol on the effects of cover crops on pool specific soil organic carbon. MethodsX 2023, 11, 102411. [Google Scholar] [CrossRef]
- Khatri-Chhetri, U.; Thompson, K.; Quideau, S.; Boyce, M.; Chang, S.; Bork, E.; Carlyle, C. Adaptive multi-paddock grazing increases mineral associated soil carbon in Northern grasslands. Agric. Ecosyst. Environ. 2024, 369, 109000. [Google Scholar] [CrossRef]
- Villat, J.; Nicholas, K.A. Quantifying soil carbon sequestration from regenerative agricultural practices in crops and vineyards. Front. Sustain. Food Syst. 2023, 7, 1234108. [Google Scholar] [CrossRef]
- Bork, E.; Döbert, T.; Grenke, J.; Carlyle, C.; Cahill, J.; Boyce, M. Comparative Pasture Management on Canadian Cattle Ranches with and without Adaptive Multipaddock Grazing. Rangel. Ecol. Manag. 2021, 78, 5–14. [Google Scholar] [CrossRef]
- Wu, H.; Wiesmeier, M.; Yu, Q.; Steffens, M.; Han, X.; Kögel-Knabner, I. Labile Organic C and N Mineralization of Soil Aggregate Size Classes in Semiarid Grasslands as Affected by Grazing Management. Biol. Fertil. Soils 2012, 48, 305–313. [Google Scholar] [CrossRef]
- Six, J.; Bossuyt, H.; Degryze, S.; Denef, K. A history of research on the link between (micro)aggregates, soil biota, and soil organic matter dynamics. Soil Tillage Res. 2004, 79, 7–31. [Google Scholar] [CrossRef]
- Laclau, P.B.; Laclau, J.P. Growth of the whole root system for a plant crop of sugarcane under rainfed and irrigated environments in Brazil. Field Crops Res. 2009, 114, 351–360. [Google Scholar] [CrossRef]
- Teague, W.R.; Dowhower, S.; Baker, S.A.; Haile, N.; DeLaune, P.; Conover, D. Grazing management impacts on vegetation soil biota and chemical physical and hydrological properties in tall grass prairie. Agric. Ecosyst. Environ. 2011, 141, 310–322. [Google Scholar] [CrossRef]
- Park, J.; Ale, S.; Teague, W.R.; Jeong, J. Evaluating the ranch and watershed scale impacts of using traditional and adaptive multi-paddock grazing on runoff, sediment and nutrient losses in North Texas, USA. Agric. Ecosyst. Environ. 2017, 240, 32–44. [Google Scholar] [CrossRef]
- Bilgili, A. Changes in select soil properties of lightly grazed highland rangelands. Environ Monit Assess. 2023, 195, 1528. [Google Scholar] [CrossRef]
- Gourlez de la Motte, L.; MamadouMamadou, O.; Beckers, Y.; Bodson, B.; Heinesch, B.; Aubinet, M. Rotational and Continuous Grazing Does Not Affect the Total Net Ecosystem Exchange of a Pasture Grazed by Cattle but Modifies CO2 Exchange Dynamics. Agric. Ecosyst. Environ. 2018, 253, 157–165. [Google Scholar] [CrossRef]
- Byrnes, R.C.; Eastburn, D.J.; Tate, K.W.; Roche, L.M. A Global Meta-Analysis of Grazing Impacts on Soil Health Indicators. J. Environ. Qual. 2018, 47, 758–765. [Google Scholar] [CrossRef] [PubMed]
- Batjes, N.H.; Sombroek, W.G. Possibilities for carbon sequestration in tropical and subtropical soils. Glob. Change Biol. 1997, 3, 161–173. [Google Scholar] [CrossRef]
- Oelkers, E.H.; Cole, D.R. Carbon dioxide sequestration: A solution to the global problem. Elements 2008, 4, 305–310. [Google Scholar] [CrossRef]
- Knorr, W.; Prentice, I.C.; House, J.I.; Holland, E.A. Longterm sensitivity of soil carbon turnover to warming. Nature 2005, 433, 298–301. [Google Scholar] [CrossRef]
- Poeplau, C.; Don, A. Carbon sequestration in agricultural soils via cultivation of cover crops—A meta-analysis. Agric. Ecosyst. Environ. 2015, 200, 33–41. [Google Scholar] [CrossRef]
- Blanco-Canqui, H.; Shaver, T.M.; Lindquist, J.L.; Shapiro, C.A.; Elmore, R.W.; Francis, C.A.; Hergert, G.W. Cover crops and ecosystem services: Insights from studies in temperate soils. Agron. J. 2015, 107, 2449–2474. [Google Scholar] [CrossRef]
- PRISM Climate Group. PRISM Climate Data: 30-Year Normals (1981–2010 & 1991–2020), Oregon State University. 2023. Available online: http://prism.oregonstate.edu (accessed on 11 October 2025).
- NOAA National Centers for Environmental Information (NCEI). Climate Normals for Missouri (1991–2020), U.S. Department of Commerce, National Oceanic and Atmospheric Administration. 2023. Available online: https://www.ncei.noaa.gov (accessed on 11 October 2025).
- PlantMaps. Climate Data for Koshkonong, Missouri (36.60° N, 91.65° W). 2023. Available online: https://www.plantmaps.com (accessed on 11 October 2025).
- US Climate Data. Average Weather for Koshkonong, Missouri. 2023. Available online: https://www.usclimatedata.com (accessed on 11 October 2025).
- Soil Survey Staff. Keys to Soil Taxonomy, 13th ed.; U.S. Department of Agriculture, Natural Resources Conservation Service: Washington, DC, USA, 2022. Available online: https://www.nrcs.usda.gov/resources/guides-and-instructions/keys-to-soil-taxonomy (accessed on 11 October 2025).
- Nelson, D.; Sommers, L. Total Carbon, Organic Carbon, and Organic Matter. In Methods of Soil Analysis: Part 3 Chemical Methods; Sparks, D.L., Page, A.L., Helmke, P.A., Loeppert, R.H., Eds.; Soil Science Society of America, Inc.: Madison, WI, USA; American Society of Agronomy, Inc.: Madison, WI, USA, 1996; pp. 961–1010. [Google Scholar] [CrossRef]
- Skjemstad, J.; Baldock, J.A. Total and Organic Carbon. In Soil Sampling and Methods of Analysis, 2nd ed.; Carter, M.E., Gregorich, E.G., Eds.; Soil Science Society of Canada: Boca Raton, FL, USA, 2007; pp. 225–238. [Google Scholar]
- Li, Y.; Wang, X.J.; Wu, B.; Tang, H.J.; Xie, Y.Y. Effect of temperature on decomposition of magnesium bicarbonate. Appl. Mech. Mater. 2013, 423, 488–492. [Google Scholar]
- United States Environmental Protection Agency (USEPA). Terrestrial Carbon Sequestration: Field Guide for Sampling and Analysis at Sites Remediated with Soil Amendments; EPA, 2010, EPA-542-R-10-002; USEPA: Washington, DC, USA, 2010; Available online: http://www.cluin.org/download/issues/ecotools/terrestrial_carbon_seq_field_guide.pdf (accessed on 30 July 2025).
- U.S. Department of Agriculture. Soil Survey Staff Soil Survey Manual; Agricultural Handbook No 18; Natural Resources Conservation Service; U.S. Department of Agriculture: Washington, DC, USA, 2017. Available online: https://www.nrcs.usda.gov/sites/default/files/2022-09/The-Soil-Survey-Manual.pdf (accessed on 30 July 2025).
- Kemper, W.D.; Rosenau, R.C. Aggregate stability and size distribution. In Methods of Soil Analysis: Part 1-Physical and Mineralogical Methods, 2nd ed.; Soil Science Society of America: Madison, WI, USA, 1986; pp. 425–442. [Google Scholar] [CrossRef]
- Day, P.R. Particle fractionation and particle-size analysis. In Methods of Soil Analysis, Part 1; Black, C.A., Ed.; American Society of Agronomy: Madison, WI, USA, 1965; pp. 545–567. [Google Scholar]
- Han, Z.; Wu, X.; Gao, H.; Jia, A.; Gao, Q. Long-Term Conservation Tillage Increases Soil Organic Carbon Stability by Modulating Microbial Nutrient Limitations and Aggregate Protection. Agronomy 2025, 15, 1571. [Google Scholar] [CrossRef]
- Gee, G.W.; Bauder, J.W. Particle-Size Analysis. In Methods of Soil Analysis: Part 1 Physical and Mineralogical Methods; American Society of Agronomy: Madison, WI, USA, 1986; Volume 5, pp. 383–411. [Google Scholar]
- Systat Software, version 12.3; Inc. SigmaPlot for Windows; Systat Software, Inc.: San Jose, CA, USA, 2011.
- Kern, J.; Johnson, M. Conservation tillage impacts on national soil and atmospheric carbon levels. Soil Sci. Soc. Am. J. 1993, 57, 200–210. [Google Scholar] [CrossRef]
- Schuman, G.E.; Reeder, J.D.; Manley, J.T.; Hart, R.H.; Manley, W.A. Impact of grazing management on the carbon and nitrogen balance of a mixed-grass rangeland. Ecol. Appl. 1999, 9, 65–71. [Google Scholar] [CrossRef]
- Povirk, K. Carbon and Nitrogen Dynamics of an Alpine Grassland: Effects of Grazing History and Experimental Warming on CO2 Flux and Soil Properties. Master’s Thesis, University of Wyoming, Laramie, WY, USA, 1999. [Google Scholar]
- Tiessen, H.; Stewart, J.W.B. Particle size fractions and their use in studies of soil organic matter: II. Cultivation effects on organic matter composition in size fractions. Soil Sci. Soc. Am. J. 1983, 47, 509–514. [Google Scholar] [CrossRef]
- Wander, M.; Bollero, G. Soil quality assessment of tillage impacts in Illinois. Soil Sci. Soc. Am. J. 1999, 63, 961–971. [Google Scholar] [CrossRef]
- Derner, J.D.; Briske, D.D.; Boutton, T.W. Does grazing mediate soil carbon and nitrogen accumulation beneath C4, perennial grasses along an environmental gradient? Plant Soil 1997, 191, 47–156. [Google Scholar] [CrossRef]
- Scandellari, F.; Caruso, G.; Liguori, G.; Meggio, F.; Palese, A.M.; Zanotelli, D.; Celano, G.; Gucci, R.; Inglese, P.; Pitacco, A.; et al. A survey of carbon sequestration potential of orchards and vineyards in Italy. Eur. J. Hortic. Sci. 2016, 81, 106–114. [Google Scholar] [CrossRef]
- Liguori, G.; Gugliuzza, G.; Inglese, P. Evaluating carbon fluxes in orange orchards in relation to planting density. J. Agric. Sci. 2009, 147, 637–645. [Google Scholar] [CrossRef]
- Zheng, H.; Liu, W.; Zheng, J.; Luo, Y.; Li, R.; Wang, H.; Qi, H. Effect of long-term tillage on soil aggregates and aggregate-associated carbon in black soil of Northeast China. PLoS ONE 2018, 13, e0199523. [Google Scholar] [CrossRef]
- Idowu, O.J.; Sanogo, S.; Brewer, C.E. Short-term impacts of pecan waste by-products on soil quality in texturally different arid soils. Commun. Soil Sci. Plant Anal. 2017, 48, 1781–1791. [Google Scholar] [CrossRef]
- Breker, J. Soil Aggregate Stability: What Does It Measure? Soil Health, Soil Physical Analysis. AGVISE Laboratories. 2021. Available online: https://www.agvise.com/soil-aggregate-stability-what-does-it-measure/ (accessed on 15 August 2022).
- Dong, L.; Zheng, Y.; Martinsen, V.; Liang, C.; Mulder, J. Effect of grazing exclusion and rotational grazing on soil aggregate stability in typical grasslands in inner Mongolia, China. Front. Environ. Sci. 2002, 10, 844151. [Google Scholar] [CrossRef]
- McSherry, M.; Ritchie, M. Effects of Grazing on Grassland Soil Carbon: A Global Review. Glob. Change Biol. 2013, 19, 1347–1357. [Google Scholar] [CrossRef] [PubMed]
- Steffens, M.; Kölbl, A.; Schörk, E.; Gschrey, B.; Kögel-Knabner, I. Distribution of Soil Organic Matter between Fractions and Aggregate Size Classes in Grazed Semiarid Steppe Soil Profiles. Plant Soil 2011, 338, 63–81. [Google Scholar] [CrossRef]
- Obia, A.; Mulder, J.; Martinsen, V.; Cornelissen, G.; Børresen, T. In Situ effects of Biochar on Aggregation, Water Retention and Porosity in Light-Textured Tropical Soils. Soil Tillage Res. 2016, 155, 35–44. [Google Scholar] [CrossRef]
- Bronick, C.J.; Lal, R. Soil Structure and Management: A Review. Geoderma 2005, 124, 3–22. [Google Scholar] [CrossRef]
- Wilson, C.H.; Strickland, M.S.; Hutchings, J.A.; Bianchi, T.S.; Flory, S.L. Grazing Enhances Belowground Carbon Allocation, Microbial Biomass, and Soil Carbon in a Subtropical Grassland. Glob. Change Biol. 2018, 24, 2997–3009. [Google Scholar] [CrossRef]
- Steffens, M.; Kölbl, A.; Totsche, K.U.; Kögel-Knabner, I. Grazing Effects on Soil Chemical and Physical Properties in a Semiarid Steppe of Inner Mongolia (P.R. China). Geoderma 2008, 143, 63–72. [Google Scholar] [CrossRef]
- Wang, J.; Zhao, C.; Zhao, L.; Wen, J.; Li, Q. Effects of Grazing on the Allocation of Mass of Soil Aggregates and Aggregate-Associated Organic Carbon in an alpine Meadow. PLoS ONE 2020, 15, e0234477. [Google Scholar] [CrossRef] [PubMed]
- Tarawally, M.A.; Medina, H.; Frómeta, M.E.; Alberto Itza, C. Field compaction at different soil–water status: Effects on pore size distribution and soil water characteristics of a Rhodic Ferralsol in Western Cuba. Soil Tillage Res. 2004, 76, 95–103. [Google Scholar] [CrossRef]
- Zhang, S.; Grip, H.; Lovdahl, L. Effect of soil compaction on hydraulic properties of two loess soils in China. Soil Tillage Res. 2006, 90, 117–125. [Google Scholar] [CrossRef]
- Botta, G.F.; Jorajuria, D.; Balbuena, R.; Ressia, M.; Ferrero, C.; Rosatto, H.; Tourn, M. Deep tillage and traffic effects on subsoil compaction and sunflower (Helianthus annus L.) yields. Soil Tillage Res. 2006, 91, 164–172. [Google Scholar] [CrossRef]
- Usowics, B.; Lipiec, J. Spatial distribution of soil penetration resistance as affected by soil compaction: The fractal approach. Ecol. Complex. 2009, 6, 263–271. [Google Scholar] [CrossRef]





| Source of Variation | DF | F | p |
|---|---|---|---|
| Treatment | 3 | 7.449 | <0.001 |
| Time | 5 | 1.726 | 0.126 |
| Depth | 1 | 317.898 | <0.001 |
| Treatment × Time | 15 | 1.274 | 0.213 |
| Treatment × Depth | 3 | 3.535 | 0.015 |
| Time × Depth | 5 | 0.836 | 0.524 |
| Treatment × Time × Depth | 15 | 0.706 | 0.779 |
| Source of Variation | DF | F | p |
|---|---|---|---|
| Year | 1 | 1.375 | 0.242 |
| Treatment | 3 | 142.415 | <0.001 |
| Depth | 4 | 56.195 | <0.001 |
| Year × Treatment | 3 | 0.6 | 0.615 |
| Year × Depth | 4 | 0.577 | 0.679 |
| Treatment × Depth | 12 | 56.433 | <0.001 |
| Year × Treatment × Depth | 12 | 0.337 | 0.982 |
| Source of Variation | DF | F | p |
|---|---|---|---|
| Year | 2 | 5.713 | 0.004 |
| Treatment | 3 | 5.59 | <0.001 |
| Size | 2 | 118.191 | <0.001 |
| Year × Treatment | 6 | 1.217 | 0.296 |
| Year × Size | 4 | 1.959 | 0.1 |
| Treatment × Size | 6 | 2.316 | 0.033 |
| Year × Treatment × Size | 12 | 1.801 | 0.046 |
| Source of Variation * | DF | F | p |
|---|---|---|---|
| Year | 1 | 110 | <0.001 |
| depth | 8 | 544 | <0.001 |
| treatments | 3 | 136 | <0.001 |
Disclaimer/Publisher’s Note: The statements, opinions and data contained in all publications are solely those of the individual author(s) and contributor(s) and not of MDPI and/or the editor(s). MDPI and/or the editor(s) disclaim responsibility for any injury to people or property resulting from any ideas, methods, instructions or products referred to in the content. |
© 2025 by the authors. Licensee MDPI, Basel, Switzerland. This article is an open access article distributed under the terms and conditions of the Creative Commons Attribution (CC BY) license (https://creativecommons.org/licenses/by/4.0/).
Share and Cite
Hamido, S.A.; Ghalehgolabbehbahani, A.; Smith, A. Soil Carbon Dynamics, Sequestration Potential, and Physical Characteristics Under Grazing Management in Regenerative Organic Agroecosystems. Agronomy 2025, 15, 2426. https://doi.org/10.3390/agronomy15102426
Hamido SA, Ghalehgolabbehbahani A, Smith A. Soil Carbon Dynamics, Sequestration Potential, and Physical Characteristics Under Grazing Management in Regenerative Organic Agroecosystems. Agronomy. 2025; 15(10):2426. https://doi.org/10.3390/agronomy15102426
Chicago/Turabian StyleHamido, Said A., Arash Ghalehgolabbehbahani, and Andrew Smith. 2025. "Soil Carbon Dynamics, Sequestration Potential, and Physical Characteristics Under Grazing Management in Regenerative Organic Agroecosystems" Agronomy 15, no. 10: 2426. https://doi.org/10.3390/agronomy15102426
APA StyleHamido, S. A., Ghalehgolabbehbahani, A., & Smith, A. (2025). Soil Carbon Dynamics, Sequestration Potential, and Physical Characteristics Under Grazing Management in Regenerative Organic Agroecosystems. Agronomy, 15(10), 2426. https://doi.org/10.3390/agronomy15102426

