Next Article in Journal
Long-Term Winter Cover Crops Alter the Soil Microbial Biomass and Enzyme Activities in Brazilian Oxisols
Next Article in Special Issue
Soluble Phosphate Additives Remodel Microbial Networks to Accelerate Organic Matter Transformation in Food Waste Composting
Previous Article in Journal
Response of Pearl Millet (Pennisetum glaucum [L.] R. Br.) Growth to Post-Emergence Water Stress
 
 
Font Type:
Arial Georgia Verdana
Font Size:
Aa Aa Aa
Line Spacing:
Column Width:
Background:
Article

Assessment of the Role of Bulking Agents and Composting Phases on the Quality of Compost Tea from Poultry Wastes

by
Higor Eisten Francisconi Lorin
1,
Maico Chiarelotto
1,
Plínio Emanoel Rodrigues Silva
1,
María Ángeles Bustamante
2,
Raul Moral
2 and
Monica Sarolli Silva de Mendonça Costa
1,*
1
Research Group on Water Resources and Environmental Sanitation—RHESA, Western Parana State University—UNIOESTE, Agricultural Engineering Graduate Program—PGEAGRI, Cascavel 85.819-110, Brazil
2
Centro de Investigación e Innovación Agroalimentaria y Agroambiental (CIAGRO-UMH), Universidad Miguel Hernández, EPS-Orihuela, Ctra. Beniel Km 3.2, 03300 Orihuela, Spain
*
Author to whom correspondence should be addressed.
Agronomy 2025, 15(10), 2322; https://doi.org/10.3390/agronomy15102322
Submission received: 24 August 2025 / Revised: 18 September 2025 / Accepted: 25 September 2025 / Published: 30 September 2025
(This article belongs to the Special Issue Innovations in Composting and Vermicomposting)

Abstract

In this study, the effects of composting phase and bulking agent on macronutrient extraction and the chemical, physicochemical, and biological properties of 20 compost teas from poultry waste composting mixtures were evaluated. Phosphorus (P) extraction was more efficient during stabilization after the thermophilic phase; however, water-soluble P declined as composting progressed. K was more amenable to extraction, with yields ranging from 30% to 70%, followed by N (2% to 12%) and P (1% to 7%). Compost tea quality was clearly affected by both the bulking agent and the composting stage. Bulking agents that accelerate the process, such as cotton waste (CW) and Napier grass (NG), contributed to nutrient mineralization, increasing availability in the compost tea but also raising salt contents responsible for phytotoxicity. In contrast, tree trimmings (TT), sawdust (S), and sugarcane bagasse (SCB) showed better results, striking a balance between nutrient availability and salt content. The period between the thermophilic phase and cooling was the most suitable for extraction, providing the greatest contribution of water-soluble nutrients. This study highlights the influence of bulking agents and composting phases on nutrient extraction and phytotoxicity of compost teas and provides new insights into the role of electrical conductivity as a threshold indicator for safe agricultural application.

1. Introduction

The expected growth of the global population and the associated rise in demand for food and energy will intensify reliance on fertilizers and phytosanitary inputs, which are mainly synthetic [1]. In this context, sustainable agriculture, particularly organic farming, seeks to address environmental, food safety, and health concerns arising from conventional practices [2]. Organic systems rely on the recycling of animal and plant residues and their by-products, such as manure and compost, to maintain soil fertility, with nutrient release mediated by microbial degradation processes [3]. Recycling organic materials is therefore essential not only to reduce dependence on mineral fertilizers, whose prices and environmental impacts are increasing, but also to close nutrient loops and advance circular economy strategies [4]. In this sense, our study contributes by evaluating compost teas from poultry waste as a way to recycle nutrients and return them safely to agricultural systems. This global challenge is particularly evident in intensive livestock production systems, where large amounts of organic waste must be managed safely and sustainably.
Brazil, the world’s second largest producer of chicken meat, generates vast amounts of poultry waste, with the state of Paraná alone accounting for nearly 40% of national production [5]. A large share of this waste is treated in composting facilities. Along the poultry production chain, diverse residues are generated at different stages, such as flotation sludge, cellulose casings, incubatory waste, and broiler breeder litter. The amounts and types of residues produced vary according to management practices and processing conditions, which makes it difficult to establish a single, consolidated figure for waste generation. Nevertheless, these materials represent a major environmental challenge and, at the same time, an opportunity for sustainable recycling strategies.
Beyond the traditional application of compost to improve soil fertility and structure, compost teas (aqueous extracts of compost) have gained increasing attention as a strategy to enhance nutrient recycling and agronomic value. Compost teas can supply nutrients, stimulate plant growth, and suppress plant pathogens when applied to soils or foliage [1,2,6,7,8].
The properties of compost teas depend on factors such as the source material, compost maturity, and extraction methods [2,9,10,11,12]. Previous studies have also demonstrated that the choice of bulking agents, such as different carbon sources, strongly influences composting dynamics and the quality of the final product, which in turn affects the properties of compost extracts [13]. Most studies have focused on teas derived from mature compost or vermicompost, but little is known about how composting phase and bulking agent influence nutrient extraction and potential phytotoxicity. This knowledge gap limits the safe and efficient use of compost teas in agricultural systems.
In this study, we extracted compost teas from poultry industry waste mixtures at different degrees of decomposition corresponding to four composting phases. We evaluated their chemical, physicochemical, and biological properties to address three research questions: (i) how composting phase affects macronutrient extraction; (ii) how bulking agents influence compost tea properties; and (iii) how soluble salt concentration relates to the germination index (GI). We hypothesized that both the bulking agent and the composting phase affect the extraction of soluble nutrients and, consequently, the phytotoxicity of compost teas derived from poultry wastes.

2. Materials and Methods

2.1. Composting Procedure and Characteristics of the Composting Materials Used

Twenty compost teas were produced from five composts and extracted in different composting phases: after the thermophilic phase (AT) (compost temperature < 40 °C), after cooling (AC, room temperature), and after a short (15 days, 15 M) or long (80 days, 80 M) maturation period.
The five composts were prepared from poultry industry waste, mixed at different inclusion rates, with the addition of a bulking agent to each composting mix to achieve the desired carbon-to-nitrogen (C:N) ratio of between 20:1 and 30:1 required for composting [13]. Accordingly, the proportion of bulking material was kept at approximately 50% of the total mass, with small variations (e.g., 50–51%) reflecting adjustments necessary to maintain the target C:N ratio.
Composts were named according to the bulking agents used in each formulation: cotton waste (CW), tree trimmings (TT), sawdust (S), sugarcane bagasse (SCB), and ground Napier grass (Pennisetum purpureum) (NG). The formulation of each composting mix (poultry industry waste plus bulking agent) on a dried matter basis is presented in Table 1.
In addition, 50 kg of coal (20% of the total dry weight) were added to each formulation [14]. Coal was derived from the incomplete burning of wood in furnaces for heating water in industrial boilers.
Composting windrows were of approximately 500–710 kg on a fresh weight basis, 270–330 kg on a dry weight basis, and 2–7 m3 depending on the bulking agent used. The composting mixtures were placed in a covered structure with a cemented floor where moisture level was maintained within the desirable range (50–60%) for microbial metabolism [15]. The mixtures were manually turned twice weekly in the first month and weekly as compost cooled. Windrow temperature was measured daily until cooling was complete. After cooling (AC), composts were allowed to rest for a short (15 days) or long (80 days) maturation period. Windrows were not turned during the 80-day maturation phase and only water was added to the compost to adjust moisture level. The same procedure was adopted for the 15-day short maturation period, in which no turning was performed and only water was added when necessary to maintain adequate moisture. The chemical composition of the five solid composts in each composting phase is summarized in Table 2. The values presented for AT, AC, 15 M, and 80 M correspond to the total number of days from the beginning of the composting process at the time of sampling, rather than the duration of each individual phase.

2.2. Compost Tea Extraction

Compost teas were produced with a compost weight to water volume ratio of 1:10 (w/v, 100 g dry matter L−1), following procedures adapted from Pant et al. [10], Islam et al. [2], and Kim et al. [6]. After distilled water was added to fresh compost, the compost/water solution was stirred on a platform shaker at 160 rpm for 24 h, without additional aeration. Thus, compost tea preparation was performed under conditions of limited oxygen availability. Extract samples were centrifuged in Falcon tubes at 6000 rpm for 15 min and then vacuum filtered using a cellulose nitrate filter with 0.45 μm diameter pores to remove suspended material from the compost tea extracts and enable the analysis of soluble elements. Following filtration, the chemical (different compounds, listed below) and physicochemical (pH and electrical conductivity) properties of the 20 compost teas were determined using methods described for the analysis of compost. In addition, the effect of compost tea on germination was evaluated through the germination index (GI).

2.3. Analytical Methods

Moisture content was determined by drying each compost sample at 105 °C for 24 h in a forced-air oven, as described by Carmo & Silva [16]. Electrical conductivity (EC) and pH of the compost teas were determined according to standard procedures, immediately after filtration and without additional dilution, maintaining the extraction ratio of 1:10 (w/v), as previously described in composting studies [13,17].
The total organic carbon (TOC) content in the solid compost (Table 1) was determined gravimetrically, as described by [16]. Total Kjeldahl nitrogen (TKN) was used as a proxy for total N in the solid compost. TKN was determined by digesting the samples with sulfuric acid, followed by distillation and titration [17].
Total phosphorus (TP), potassium (K), and sodium (Na) content in the solid compost (Table 1) was determined by digesting the samples using a nitric-perchloric solution (3:1). TP content was determined by measuring the absorbance at 725 nm and total K and Na were measured using a flame photometer Digimed model DM-62 (Digimed, São Paulo, Brazil).
Total dissolved carbon (TDC) and nitrogen (NTD) were determined using a Shimadzu® Total Organic Carbon analyser (TOC-VCSH, Shimadzu Corporation, Kyoto, Japan) coupled to a Total Nitrogen analyser.
Total dissolved phosphorus (PTD), K, and Na content in the 20 compost extracts were determined following digestion of compost tea samples in a nitric-perchloric solution (3:1) and measured as per the procedure for the solid composts.
The extraction yield of soluble nutrients (EY, %) in compost teas on a dry weight basis was estimated based on the following equation (Equation (1)):
EY (%) = (DMC × 100)/(TMC)
where
  • DMC = dissolved macronutrient (NTD, PTD, and K) content in compost tea extracts;
  • TMC = total macronutrient (TKN, TP, and K) content in solid compost.
The germination index (GI) was calculated following the methodology of Zucconi et al. [18]. Lepidium sativum was selected because it is the standard species in this classical phytotoxicity test, widely used as a bioindicator due to its rapid germination, sensitivity to toxic compounds, and low nutritional requirements. Seeds of cress (Lepidium sativum) were placed on Whatman grade 1 filter paper in autoclaved Petri dishes (9.5 cm diameter) moistened with 3 mL of compost tea extract (1:10, w/v). Seedlings were evaluated after 72 h of incubation, a period in which endosperm reserves are sufficient to sustain germination and early growth, ensuring that differences reflect compost tea properties rather than nutritional limitations. For each extract, germination (%) and primary root length (mm) were recorded, and GI (%) was computed as: GI = (G_sample × L_sample)/(G_control × L_control) × 100.
Humic acid (HA) content was determined from the difference between 0.1 mol·L−1 NaOH-extractable organic carbon and fulvic acid (FA) carbon after precipitation of the HA at pH < 2. The C content in each fraction was determined on a TOC analyzer for liquid samples (TOC-V CSN Analyzer, Shimadzu Corporation, Kyoto, Japan) as described by [19].

2.4. Statistical Analysis

Principal component analysis (PCA) on autoscaled data (correlation matrix) was performed to explore multivariate patterns (Minitab® version 21.3—Minitab LLC, State College, PA, USA). The PCA was used to summarize the data and to investigate associations among chemical, physicochemical, and biological parameters and their effects on the properties of the 20 compost teas produced from the five compost formulations obtained in four composting phases. Percent of total variance explained > 70% was used for selecting the principal components (PCs). Analysis of variance (ANOVA) followed by Tukey’s multiple comparison test (p ≤ 0.05) was performed using Sisvar version 5.6 (Universidade Federal de Lavras, Lavras, Brazil). Simple linear regression was used to predict the threshold tolerance level of EC for classifying the compost teas as either phytotoxic, non-phytotoxic, or phytostimulant according to Rashad et al. [20].

3. Results

3.1. Effect of Compost Type and Composting Phase on Macronutrient Extraction

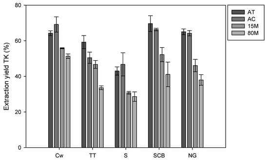
The extraction yield (EY) of N, P, and K in compost teas was affected by the bulking agent and composting phase. The EY percentage of TKN ranged from 2% to 12% (Figure 1). EY is a measure of the percentage of dissolved TKN (NTD) in compost teas relative to total N (TKN) in the solid composts (Table 2). This difference is due to the presence of water-soluble forms of nitrogen (N-NH4+ and N-NO3), most of which is likely to occur in the form of N-NO3 as reported elsewhere [6,10,11]. These differences also reflect the biological characteristics of the bulking agents: cellulose-rich and more easily degradable materials (e.g., cotton waste and Napier grass) stimulate microbial activity and N mineralization, resulting in higher EY, whereas more lignified materials (e.g., tree trimmings and sawdust) decompose more slowly, limiting nutrient release into the liquid phase.
The extraction yield of total phosphorus (TP) ranged from 1% to 7% (Figure 2).
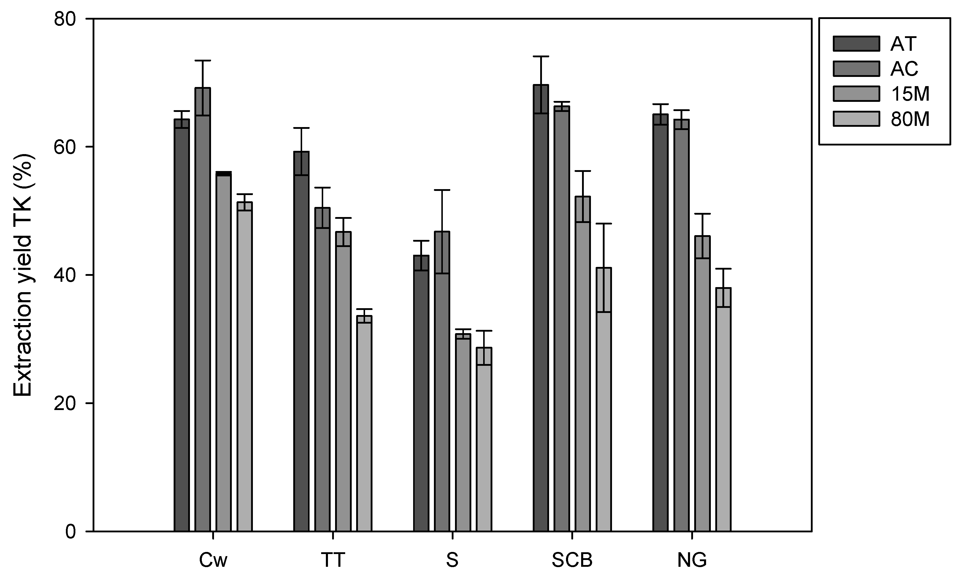
Even though potassium compounds have excellent water solubility, not all K in compost dissolves into compost teas. On average, EY values of total potassium (TK) ranged from 30% to 70% (Figure 3).

3.2. Effect of Compost Type and Composting Phase on Compost Tea Properties

The chemical, physicochemical, and biological properties of the 20 compost teas are summarized in Table 3.
The results suggest that higher concentrations of soluble salts in compost teas, as indicated by EC values, negatively affected seed germination and root elongation. This was evidenced by the significant negative linear correlation observed between EC and GI across the 20 compost teas (Figure 4). This finding highlights the need to monitor EC levels when applying compost teas in agriculture, since excessive salinity can suppress germination and compromise crop establishment, thereby limiting their safe agronomic use.

3.3. Joint Data Analysis

Principal component analysis (PCA) of chemical, physicochemical, and biological characteristics of the 20 compost teas generated eight principal components (PCs) that explained 100% of the variance in the data. PC1 and PC2 together explained 85% of the total variance (61.2% and 23.8%, respectively) and were therefore the most informative. PC1 was mainly associated with salinity-related variables (EC, Na, K, and NTD) and showed a negative correlation with GI, clearly separating CW and NG (higher salt content, lower GI) from TT, S, and SCB (lower salinity, higher GI). PC2 captured variation related to TOC, PTD, and pH, with NG positioned distinctly due to its higher TOC and PTD values in the early composting phases. Thus, the first two PCs not only summarize most of the variance but also distinguish compost teas according to both composting phase and bulking agent (Figure 5).

4. Discussion

4.1. Effect of Compost Type and Composting Phase on Macronutrient Extraction

The extraction yield (EY) of TKN was significantly higher (p ≤ 0.05) in compost teas from CW, SCB, and NG compared to TT and S (Figure 1), confirming the influence of the bulking agent on N availability. Although total N concentrations in the solid composts were similar (Table 1), extraction efficiencies differed, suggesting that the bulking agent modulates the release of soluble N forms.
Composting phase also had a significant effect (p ≤ 0.05). For example, EY of TKN increased progressively from AT to 80 M in CW and SCB, whereas TT showed lower values throughout. These differences are consistent with the nitrification of organic N during composting, which enhances the availability of nitrate [21,22]. However, part of the water-soluble N may be lost by leaching, explaining the reductions observed in TT and NG from 15 M to 80 M [23,24].
EY of TP was the highest after the thermophilic phase (p ≤ 0.05; Figure 2) and decreased as composting progressed, in agreement with [25]. NG and TT presented the greatest extraction efficiencies, despite their lower total P contents in the solid phase, suggesting that the bulking agent plays a more decisive role than the absolute P concentration. In NG, EY reached 6.6% after AT, significantly higher than that of TT (3.3%) and the other bulking agents.
For potassium, EY values were consistently higher than for N and P, ranging from 30% to 70% (Figure 3). Although differences among compost types were not significant, K extraction decreased with compost maturation (p ≤ 0.05), likely due to leaching of more soluble fractions while organically bound K remained in the solid compost. This reinforces K as the most amenable macronutrient to extraction into compost teas.
These differences in TN and TP extraction among bulking agents can be attributed to the intrinsic biochemical composition of each material and its interaction with poultry wastes during composting. Although most bulking agents were of plant origin (cotton waste, tree trimmings, sugarcane bagasse, and Napier grass), they differed considerably in their initial C:N ratios, lignocellulosic fractions, and nutrient contents. Materials such as cotton waste and Napier grass contained higher proportions of readily degradable organic matter, which supported faster microbial activity and nitrogen mineralization, resulting in greater soluble N fractions in the compost teas. In contrast, sawdust and tree trimmings, with higher lignin and cellulose contents, decomposed more slowly and released lower amounts of soluble N. Phosphorus dynamics also reflected these differences: although floating sludge was the richest P source, the immobilization of P in sawdust- and bagasse-based mixtures limited its solubilization into the teas. Conversely, Napier grass and tree trimmings favored conditions (pH and microbial activity) that promoted orthophosphate solubilization, leading to higher EY of TP even when total P concentrations were lower. Thus, the marked differences in TN and TP extraction efficiency are explained not simply by the plant origin of bulking agents but by their specific biochemical characteristics and their influence on composting dynamics.

4.2. Effect of Compost Type and Composting Phase on Compost Tea Properties

The average pH of compost teas was significantly higher during the thermophilic phase (p ≤ 0.05) and decreased as composts matured, consistent with the release of organic acids during microbial decomposition [2]. TOC also decreased significantly with composting (p ≤ 0.05; Table 2), reflecting the progressive mineralization and stabilization of organic carbon [1,26].
Dissolved N (NTD) was strongly influenced by the bulking agent (p ≤ 0.05). Teas from CW and SCB showed the highest NTD values after cooling (203–285 mg L−1), significantly higher than S and TT (37–85 mg L−1), while NG showed intermediate values. These differences can be explained by the chemical composition of the bulking agents. Napier grass (NG), a forage grass with relatively low C:N ratio, favors faster mineralization and release of soluble N. Sugarcane bagasse (SCB), although lignocellulosic, contains residual sugars and easily degradable fractions that stimulate microbial activity and enhance N solubilization during the early composting phases. In contrast, sawdust and tree trimmings, with higher lignin content and wider C:N ratios, decompose more slowly and consequently release less soluble N into the compost teas.
Dissolved P (PTD) decreased with maturation (p ≤ 0.05), as expected due to precipitation and immobilization of soluble P, but NG consistently presented the highest PTD levels. This pattern likely reflects the higher initial P content in Napier grass, as well as its relatively fast decomposition rate, resulting in greater solubilization of P during the early stages of composting. These values exceeded those previously reported for poultry-based compost teas [10,11].
Humic acid (HA) content ranged from 307 to 619 mg L−1, with no significant differences among composting phases, similar to values reported in vermicompost teas [11]. In contrast, K and Na contents decreased significantly during maturation (p ≤ 0.05), which was reflected in lower EC values after 80 M. EC was highest at AT and AC (p ≤ 0.05), and reductions over time are consistent with leaching, precipitation, and incorporation of salts into more stable forms. Differences among bulking agents were evident: CW and NG, with higher K and Na contents, produced teas with greater EC, while TT, S, and SCB released lower amounts of soluble salts.
The germination index (GI) varied widely (32–137%), showing a negative correlation with EC. According to Rashad et al. [20], compost teas with EC < 8.1 dS m−1 were not phytotoxic, whereas those with EC > 12.1 dS m−1 were very phytotoxic. Regression analysis confirmed EC as the main predictor of phytotoxic or phytostimulant effects, supporting the importance of controlling compost-to-water ratios and extraction times to manage salt concentrations. In our study, CW and NG teas, which had the highest EC, fell into the phytotoxic range, while TT, S, and SCB produced teas with EC values below the phytotoxic threshold and GI above 100%, indicating non-phytotoxic or even phytostimulant effects. These contrasting results reinforce the importance of bulking agent characteristics in determining compost tea quality.

4.3. Joint Data Analysis

Principal component analysis (PCA) explained 85% of the total variance, with PC1 alone accounting for 61.2% and clearly separating the compost teas according to salinity and germination response (Figure 5). CW and NG were positioned on the positive side of PC1 due to significantly higher Na, EC, K, and NTD values, which were associated with lower GI (p ≤ 0.05). In contrast, TT, S, and SCB grouped on the negative side of PC1, showing lower salt concentrations and higher GI, confirming the negative impact of soluble salts on seed germination [27,28,29,30,31]. PC2 captured variation related to TOC, PTD, and pH, with NG consistently positioned in the lower quadrant due to higher TOC and PTD levels (Table 2). This pattern reflects the early composting phases (AT and AC), when soluble organic C and P fractions are more abundant [25,32], and the progressive decline of these compounds during maturation. Although PC3 and PC4 explained only minor portions of variance (<10% each), they mainly captured residual variation not directly related to salinity or nutrient solubility. Taken together, the first two principal components not only emphasize the influence of composting phase, but also highlight the distinct grouping of bulking agents: CW and NG associated with high salinity and phytotoxicity, and TT, S, and SCB with lower salinity and higher GI, reinforcing the role of bulking agent characteristics in compost tea quality.

5. Conclusions

Compost tea quality was significantly influenced by both the bulking agent and the composting phase. CW and NG accelerated nutrient mineralization, increasing N and P availability but also raising salinity to levels that compromised seed germination. In contrast, TT, S, and SCB provided a better balance between nutrient release and salt content, without phytotoxic effects. The period between the thermophilic and cooling phases was critical for soluble salt accumulation, and EC thresholds of 4.75 and 8.1 dS m−1 were identified as limits for phytostimulatory and phytotoxic responses, respectively.
In addition, the solid phase remaining after compost tea extraction proved to be a valuable nutrient source, as most N and P were retained in this fraction, which also supported higher seed germination rates than those of the liquid extracts. Further research is needed to optimize the combined use of liquid and solid fractions for sustainable agricultural applications.
Overall, our findings provide novel evidence that the choice of bulking agent not only affects the chemical composition of compost teas but also determines their agronomic safety through soluble salt dynamics. In particular, the identification of EC thresholds associated with the germination index represents an important contribution for guiding compost tea use in sustainable agricultural practices.
From a practical perspective, these results highlight that bulking agent selection can guide farmers in optimizing compost tea applications. CW and NG, while enhancing nutrient availability, generated higher salinity and should be used with caution—such as by applying diluted teas or targeting crops with higher salt tolerance. Conversely, TT, S, and SCB produced teas with lower salinity and higher germination indices, making them more suitable for direct application. These insights provide actionable guidance for compost users to manage salinity risks while still benefiting from the nutrient supply of compost teas.

Author Contributions

Conceptualization, M.S.S.d.M.C. and H.E.F.L.; methodology, H.E.F.L.; formal analysis, M.C. and P.E.R.S.; investigation, H.E.F.L., M.C. and P.E.R.S.; resources, M.S.S.d.M.C.; writing—original draft preparation, H.E.F.L.; writing—review and editing, M.Á.B. and R.M.; visualization, all authors; supervision, M.S.S.d.M.C.; project administration, H.E.F.L.; funding acquisition, M.S.S.d.M.C. All authors have read and agreed to the published version of the manuscript.

Funding

This research was funded by Coordination for the Improvement of Higher Education Personnel (grant number 88881.133946/2016-01), National Council for Scientific and Technological Development (grant number 305313/2016-9) and Araucária Foundation (grant number 389/2013). The APC was funded by Araucária Foundation, grant number 239/2023 FA.

Data Availability Statement

The original contributions presented in this study are included in the article. Further inquiries can be directed to the corresponding author.

Acknowledgments

This paper is a part of the PhD Thesis of Higor Eisten Francisconi Lorin, presented at the Universidade Estadual do Oeste do Paraná-(UNIOESTE), Brazil.

Conflicts of Interest

The authors declare no conflicts of interest. The funders had no role in the design of the study; in the collection, analyses, or interpretation of data; in the writing of the manuscript; or in the decision to publish the results.

References

  1. Ksheem, A.M.; Bennett, J.; Antille, D.L.; Raine, S.R. Towards a method for optimized extraction of soluble nutrients from fresh and composted chicken manure. Waste Manag. 2015, 45, 76–90. [Google Scholar] [CrossRef]
  2. Islam, M.K.; Yaseen, T.; Traversa, A.; Ben Kheder, M.; Brunetti, G.; Cocozza, C. Effects of the main extraction parameters on chemical and microbial characteristics of compost tea. Waste Manag. 2016, 52, 62–68. [Google Scholar] [CrossRef] [PubMed]
  3. Badgley, C.; Perfecto, I. Can organic agriculture feed the world? Renew. Agric. Food Syst. 2007, 22, 80–86. [Google Scholar] [CrossRef]
  4. Tomić, T.; Schneider, D.R. The role of energy from waste in circular economy and closing the loop concept—Energy analysis approach. Renew. Sustain. Energy Rev. 2018, 98, 268–287. [Google Scholar] [CrossRef]
  5. ABPA—Associação Brasileira de Proteína Animal. Relatório Anual 2025. 2025. Available online: https://abpa-br.org/wp-content/uploads/2025/04/ABPA.-Relatorio-Anual-2025.pdf (accessed on 24 September 2025).
  6. Kim, M.J.; Shim, C.K.; Kim, Y.K.; Hong, S.J.; Park, J.H.; Han, E.J.; Kim, J.H.; Kim, S.C. Effect of aerated compost tea on the growth promotion of lettuce, soybean, and sweet corn in organic cultivation. Plant Pathol. J. 2015, 31, 259–268. [Google Scholar] [CrossRef] [PubMed]
  7. Hewidy, M.; Traversa, A.; Ben Kheder, M.; Ceglie, F.; Cocozza, C. Short-term effects of different organic amendments on soil properties and organic broccoli growth and yield. Compost Sci. Util. 2015, 23, 207–215. [Google Scholar] [CrossRef]
  8. Siddiqui, Y.; Islam, T.M.; Naidu, Y.; Meon, S. The conjunctive use of compost tea and inorganic fertiliser on the growth, yield and terpenoid content of Centella asiatica (L.) urban. Sci. Hortic. 2011, 130, 289–295. [Google Scholar] [CrossRef]
  9. Milinković, M.; Lalević, B.; Jovičić-Petrović, J.; Golubović-Ćurguz, V.; Kljujev, I.; Raičević, V. Biopotential of compost and compost products derived from horticultural waste—Effect on plant growth and plant pathogens’ suppression. Process Saf. Environ. Prot. 2019, 121, 299–306. [Google Scholar] [CrossRef]
  10. Pant, A.; Radovich, T.J.K.; Hue, N.V.; Arancon, N.Q. Effects of vermicompost tea (aqueous extract) on pak choi yield, quality, and on soil biological properties. Compost Sci. Util. 2011, 19, 279–292. [Google Scholar] [CrossRef]
  11. Wang, K.-H.; Radovich, T.; Pant, A.; Cheng, Z. Integration of cover crops and vermicompost tea for soil and plant health management in a short-term vegetable cropping system. Appl. Soil Ecol. 2014, 82, 26–37. [Google Scholar] [CrossRef]
  12. St. Martin, C.C.G.; Brathwaite, R.A.I. Compost and compost tea: Principles and prospects as substrates and soil-borne disease management strategies in soil-less vegetable production. Biol. Agric. Hortic. 2012, 28, 1–33. [Google Scholar] [CrossRef]
  13. Costa, M.S.S.M.; Bernardi, F.H.; Costa, L.A.M.; Pereira, D.C.; Lorin, H.E.F.; Rozatti, M.A.T.; Carneiro, L.J. Composting as a cleaner strategy to broiler agro-industrial wastes: Selecting carbon source to optimize the process and improve the quality of the final compost. J. Clean. Prod. 2017, 142, 2084–2092. [Google Scholar] [CrossRef]
  14. Steiner, C.; Melear, N.; Harris, K.; Das, K. Biochar as bulking agent for poultry litter composting. Carbon Manag. 2011, 2, 227–230. [Google Scholar] [CrossRef]
  15. Guo, Y.; Chen, Q.; Qin, Y.; Yang, Y.; Yang, Q.; Wang, Y.; Cheng, Z.; Cao, N.; Zhang, G. Succession of the microbial communities and function prediction during short-term peach sawdust-based composting. Bioresour. Technol. 2021, 332, 125079. [Google Scholar] [CrossRef]
  16. Carmo, D.L.; Silva, C.A. Métodos de quantificação de carbono e matéria orgânica em resíduos orgânicos. Rev. Bras. Ciênc. Solo 2012, 36, 1211–1220. [Google Scholar] [CrossRef]
  17. Sáez-Plaza, P.; Michałowski, T.; Navas, M.J.; Asuero, A.G.; Wybraniec, S. An Overview of the Kjeldahl Method of Nitrogen Determination. Part I. Early History, Chemistry of the Procedure, and Titrimetric Finish. Crit. Rev. Anal. Chem. 2013, 43, 178–223. [Google Scholar] [CrossRef]
  18. Zucconi, F.; Pera, A.; Forte, M.; DeBertolli, M. Evaluating toxicity of immature compost. Biocycle 1981, 22, 54–57. [Google Scholar]
  19. Lerma-Moliz, R.; López-González, J.; Suárez-Estrella, F.; Martínez-Gallardo, M.; Jurado, M.; Estrella-González, M.; Toribio, A.; Jimenez, R.; López, M. Mitigation of phytotoxic effect of compost by application of optimized aqueous extraction protocols. Sci. Total Environ. 2023, 873, 162288. [Google Scholar] [CrossRef]
  20. Rashad, F.M.; Saleh, W.D.; Moselhy, M.A. Bioconversion of rice straw and certain agro-industrial wastes to amendments for organic farming systems: 1. Composting, quality, stability and maturity indices. Bioresour. Technol. 2010, 101, 5952–5960. [Google Scholar] [CrossRef]
  21. Brito, L.M.; Amaro, A.L.; Mourão, I.; Coutinho, J. Transformação da matéria orgânica e do nitrogênio durante a compostagem da fração sólida do chorume bovino. Rev. Bras. Ciênc. Solo 2008, 32, 1959–1968. [Google Scholar] [CrossRef]
  22. Kalemelawa, F.; Nishihara, E.; Endo, T.; Ahmad, Z.; Yeasmin, R.; Tenywa, M.M.; Yamamoto, S. An evaluation of aerobic and anaerobic composting of banana peels treated with different inoculums for soil nutrient replenishment. Bioresour. Technol. 2012, 126, 375–382. [Google Scholar] [CrossRef]
  23. de Guardia, A.; Mallard, P.; Teglia, C.; Marin, A.; Le Pape, C.; Launay, M.; Benoist, J.C.; Petiot, C. Comparison of five organic wastes regarding their behaviour during composting: Part 2, nitrogen dynamic. Waste Manag. 2010, 30, 415–425. [Google Scholar] [CrossRef]
  24. Fornes, F.; Mendoza-Hernández, D.; García-de-la-Fuente, R.; Abad, M.; Belda, R.M. Composting versus vermicomposting: A comparative study of organic matter evolution through straight and combined processes. Bioresour. Technol. 2012, 118, 296–305. [Google Scholar] [CrossRef]
  25. Eneji, A.E.; Honna, T.; Yamamoto, S.; Masuda, T.; Endo, T.; Irshad, M. Changes in humic substances and phosphorus fractions during composting. Commun. Soil Sci. Plant Anal. 2003, 34, 2303–2314. [Google Scholar] [CrossRef]
  26. Zmora-Nahum, S.; Markovitch, O.; Tarchitzky, J.; Chen, Y. Dissolved organic carbon (DOC) as a parameter of compost maturity. Soil Biol. Biochem. 2005, 37, 2109–2116. [Google Scholar] [CrossRef]
  27. Spiassi, A.; Santos, F.T.; Nóbrega, L.H.P.; Cestonaro, T.; Costa, M.S.S.M. Toxicity of biofertilizers on seeds of lettuce and maize. Científica 2015, 43, 156–164. [Google Scholar] [CrossRef][Green Version]
  28. Said-Pullicino, D.; Erriquens, F.G.; Gigliotti, G. Changes in the chemical characteristics of water-extractable organic matter during composting and their influence on compost stability and maturity. Bioresour. Technol. 2007, 98, 1822–1831. [Google Scholar] [CrossRef] [PubMed]
  29. Zhang, H.; Li, C.; Li, G.; Zang, B.; Yang, Q. Effect of spent air reusing (SAR) on maturity and greenhouse gas emissions during municipal solid waste (msw) composting-with different pile height. Procedia Environ. Sci. 2012, 16, 59–69. [Google Scholar] [CrossRef]
  30. Gavilanes-Terán, I.; Jara-Samaniego, J.; Idrovo-Novillo, J.; Bustamante, M.A.; Pérez-Murcia, M.D.; Pérez-Espinosa, A.; López, M.; Paredes, C. Agroindustrial compost as a peat alternative in the horticultural industry of Ecuador. J. Environ. Manag. 2017, 186, 79–87. [Google Scholar] [CrossRef]
  31. Lorin, H.E.F. Aproveitamento dos Resíduos da Cadeia Produtiva do Frango de Corte: Compostagem, Obtenção de Chás de Composto e Uso dos Compostos como Substratos para Produção de Mudas. Ph.D. Thesis, Universidade Estadual do Oeste do Paraná, Cascavel, Brazil, February 2019. [Google Scholar]
  32. López-González, J.; López, M.; Vargas-García, M.; Suárez-Estrella, F.; Jurado, M.; Moreno, J. Tracking organic matter and microbiota dynamics during the stages of lignocellulosic waste composting. Bioresour. Technol. 2013, 146, 574–584. [Google Scholar] [CrossRef]
Figure 1. Extraction yield of soluble nutrients (EY, %) related to total Nitrogen (TN) from the five composts (Cw, TT, S, SCB and NG) in the four composting process phases, AT: after thermophilic phase; AC: after cooling; and after a short (15 days, 15 M) or long (80 days, 80 M) maturation period.
Figure 1. Extraction yield of soluble nutrients (EY, %) related to total Nitrogen (TN) from the five composts (Cw, TT, S, SCB and NG) in the four composting process phases, AT: after thermophilic phase; AC: after cooling; and after a short (15 days, 15 M) or long (80 days, 80 M) maturation period.
Agronomy 15 02322 g001
Figure 2. Extraction yield of soluble nutrients (EY, %) related to total Phosphorus (TP) from the five composts (Cw, TT, S, SCB and NG) in the four composting process phases, AT: after thermophilic phase; AC: after cooling; and after a short (15 days, 15 M) or long (80 days, 80 M) maturation period.
Figure 2. Extraction yield of soluble nutrients (EY, %) related to total Phosphorus (TP) from the five composts (Cw, TT, S, SCB and NG) in the four composting process phases, AT: after thermophilic phase; AC: after cooling; and after a short (15 days, 15 M) or long (80 days, 80 M) maturation period.
Agronomy 15 02322 g002
Figure 3. Extraction yield of soluble nutrients (EY, %) related to total Potassium (TK) from the five composts (Cw, TT, S, SCB and NG) in the four composting process phases, AT: after thermophilic phase; AC: after cooling; and after a short (15 days, 15 M) or long (80 days, 80 M) maturation period.
Figure 3. Extraction yield of soluble nutrients (EY, %) related to total Potassium (TK) from the five composts (Cw, TT, S, SCB and NG) in the four composting process phases, AT: after thermophilic phase; AC: after cooling; and after a short (15 days, 15 M) or long (80 days, 80 M) maturation period.
Agronomy 15 02322 g003
Figure 4. Linear regression line generated with the association of the Germination Index (GI) with the electrical conductivity (EC). The regression equation was GI = −10.3 EC + 149.9, with R2 = 0.70.
Figure 4. Linear regression line generated with the association of the Germination Index (GI) with the electrical conductivity (EC). The regression equation was GI = −10.3 EC + 149.9, with R2 = 0.70.
Agronomy 15 02322 g004
Figure 5. Biplot graphs generated from the PCA with the two principal components (PC1 and PC2). (a) Loading graphs: relationships among the eight chemical, physicochemical, and biological variables used in the PCA. (b) Score plots of the 20 compost teas obtained from the five organic composts (CW, TT, S, SCB, and NG) in the four composting phases: AT (after thermophilic phase), AC (after cooling), 15 M (after a short, 15-day maturation), and 80 M (after a long, 80-day maturation). PC1 primarily represents the gradient of soluble salts (EC, Na, K, NTD) and their negative association with the germination index (GI), while PC2 reflects variations in TOC, PTD, and pH across compost teas.
Figure 5. Biplot graphs generated from the PCA with the two principal components (PC1 and PC2). (a) Loading graphs: relationships among the eight chemical, physicochemical, and biological variables used in the PCA. (b) Score plots of the 20 compost teas obtained from the five organic composts (CW, TT, S, SCB, and NG) in the four composting phases: AT (after thermophilic phase), AC (after cooling), 15 M (after a short, 15-day maturation), and 80 M (after a long, 80-day maturation). PC1 primarily represents the gradient of soluble salts (EC, Na, K, NTD) and their negative association with the germination index (GI), while PC2 reflects variations in TOC, PTD, and pH across compost teas.
Agronomy 15 02322 g005
Table 1. Composition of compost formulations used in this study (%, wet weight basis).
Table 1. Composition of compost formulations used in this study (%, wet weight basis).
Compost CodeBulking Agent (%)Cellulosic Casing (%)Poultry Litter (%)Hatchery Waste (%)Floating Sludge (%)
CWCotton waste (51)33.08.04.04.0
TTTree trimmings (50)20.012.012.06.0
SSawdust (50)14.07.414.314.3
SCBSugarcane bagasse (50)13.010.013.313.7
NGNapier grass (50)29.28.38.34.2
Table 2. Chemical characterization of the five organic composts used to obtain the compost teas.
Table 2. Chemical characterization of the five organic composts used to obtain the compost teas.
Composting ProcessTOCTNKTPKNa
(Phase)(Days)(%)(g·kg−1)(g·kg−1)(g·kg−1)(g·kg−1)
CWAT5437.630.010.125.911.6
AC8436.331.610.124.510.7
15 M9936.333.210.427.312.4
80 M16435.731.89.923.510.3
TTAT6135.925.28.410.74.6
AC9136.224.28.211.84.8
15 M10636.626.48.711.34.8
80 M17134.726.29.110.04.1
SAT12434.316.410.56.23.9
AC15433.216.310.36.64.1
15 M16934.318.410.77.14.5
80 M23433.618.311.95.63.2
SCBAT6134.525.010.59.13.8
AC9134.324.610.59.74.1
15 M10633.427.210.311.04.7
80 M17132.224.011.58.73.4
NGAT6134.324.48.319.58.1
AC9133.525.88.517.87.4
15 M10634.326.68.722.19.5
80 M17132.827.28.818.37.3
CW = Cotton Waste; TT = Tree Trimmings; S = Sawdust; SCB = Sugarcane Bagasse; NG = Napier Grass. Compost formulations (dry matter basis): Cotton Waste (CW): 51% cotton waste + 33% cellulosic casing + 8% reproductive poultry litter + 4% hatchery waste + 4% floating sludge; Tree Trimmings (TT): 50% tree trimmings + 20% cellulosic casing + 12% hatchery waste + 12% poultry litter + 6% floating sludge; Sawdust (S): 50% sawdust + 14% cellulosic casing + 14.3% hatchery waste + 14.3% floating sludge + 7.4% poultry litter; Sugarcane Bagasse (SCB): 50% sugarcane bagasse + 13% cellulosic casing + 13.3% hatchery waste + 13.7% floating sludge + 10% poultry litter; Napier Grass (NG): 50% Napier grass + 29.2% cellulosic casing + 8.3% hatchery waste + 8.3% poultry litter + 4.2% floating sludge.
Table 3. Chemical and physicochemical characteristics of the compost teas.
Table 3. Chemical and physicochemical characteristics of the compost teas.
Composting PhasespHECTOCNTDPTDKNaGIHA
(dS·m−1)(mg·L−1)(%)(mg·L−1)
CWAT8.8 a10.2 a895 a87.1 c22.3 a1666 a968 a43.9 b370 ns
AC8.4 b10.9 a621 b232.3 b19.5 ab1694 a993 a32.2 b319 ns
15 M8.3 b10.0 a477 c240.5 b17.2 bc1521 a993 a44.2 b400 ns
80 M8.2 b8.7 b287 d285.1 a15.3 c1206 b609 b89.3 a307 ns
TTAT8.4 a4.4 a950 a85.5 a28.2 a632 a456 a137 a430 ns
AC8.2 b4.1 ab764 b67.1 b22.0 b598 ab403 a120 b398 ns
15 M8.3 ab3.9 b599 c51.4 bc20.3 b528 b332 b119 b471 ns
80 M8.3 ab2.8 c354 d48.0 c18.6 b337 c192 c136 a419 ns
SAT8.3 a2.7 a515 a44.4 b10.8 a265 a313 a149 a408 ns
AC7.8 c2.6 ab410 b37.9 b11.0 a270 a289 a114 b372 ns
15 M8.0 b2.4 b386 b40.4 b11.8 a217 b221 b116 b339 ns
80 M7.6 c2.0 c141 c71.0 a8.0 b162 c151 c110 b321 ns
SCBAT8.3 a4.4 ab748 a134.2 c24.5 a548 ab421 a117 a619 ns
AC7.6 c5.1 a590 ab289.1 a21.6 a644 a465 a72.8 c539 ns
15 M7.9 b4.7 a511 b241.8 b16.7 b576 ab390 ab79.3 c560 ns
80 M7.6 c3.5 b231 c203.3 b11.7 c355 c204 b98.3 b508 ns
NGAT8.7 a7.4 a1533 a133.9 b54.2 a1267 a728 a84.4 a548 ns
AC8.4 c7.5 a1600 a161.9 a49.3 a1141 b660 ab53.4 b571 ns
15 M8.5 b7.1 a1026 b126.5 b38.0 b1022 b554 c59.6 b545 ns
80 M8.4 c5.4 b593 c146.6 ab39.6 b695 c604 bc93.6 a510 ns
CW: 51% cotton waste + 33% cellulosic casing + 8% reproductive poultry litter + 4% hatchery waste + 4% floating sludge; TT: 50% tree trimmings + 20% cellulosic casing + 12% hatchery waste + 12% poultry litter + 6% floating sludge; S: 50% sawdust + 14% cellulosic casing + 14.3% hatchery waste + 14.3% floating sludge + 7.4% poultry litter; SCB: 50% sugarcane bagasse + 13% cellulosic casing + 13.3% hatchery waste + 13.7% floating sludge + 10% poultry litter; NG: 50% Napier grass + 29.2% cellulosic casing + 8.3% hatchery waste + 8.3% poultry litter + 4.2% floating sludge. Different letters within the same bulking agent indicate significant differences among composting phases according to Tukey’s test (p ≤ 0.05). ns = not significant.
Disclaimer/Publisher’s Note: The statements, opinions and data contained in all publications are solely those of the individual author(s) and contributor(s) and not of MDPI and/or the editor(s). MDPI and/or the editor(s) disclaim responsibility for any injury to people or property resulting from any ideas, methods, instructions or products referred to in the content.

Share and Cite

MDPI and ACS Style

Lorin, H.E.F.; Chiarelotto, M.; Silva, P.E.R.; Bustamante, M.Á.; Moral, R.; Costa, M.S.S.d.M. Assessment of the Role of Bulking Agents and Composting Phases on the Quality of Compost Tea from Poultry Wastes. Agronomy 2025, 15, 2322. https://doi.org/10.3390/agronomy15102322

AMA Style

Lorin HEF, Chiarelotto M, Silva PER, Bustamante MÁ, Moral R, Costa MSSdM. Assessment of the Role of Bulking Agents and Composting Phases on the Quality of Compost Tea from Poultry Wastes. Agronomy. 2025; 15(10):2322. https://doi.org/10.3390/agronomy15102322

Chicago/Turabian Style

Lorin, Higor Eisten Francisconi, Maico Chiarelotto, Plínio Emanoel Rodrigues Silva, María Ángeles Bustamante, Raul Moral, and Monica Sarolli Silva de Mendonça Costa. 2025. "Assessment of the Role of Bulking Agents and Composting Phases on the Quality of Compost Tea from Poultry Wastes" Agronomy 15, no. 10: 2322. https://doi.org/10.3390/agronomy15102322

APA Style

Lorin, H. E. F., Chiarelotto, M., Silva, P. E. R., Bustamante, M. Á., Moral, R., & Costa, M. S. S. d. M. (2025). Assessment of the Role of Bulking Agents and Composting Phases on the Quality of Compost Tea from Poultry Wastes. Agronomy, 15(10), 2322. https://doi.org/10.3390/agronomy15102322

Note that from the first issue of 2016, this journal uses article numbers instead of page numbers. See further details here.

Article Metrics

Back to TopTop