Effects of Tillage and Straw Mulching on Soil Hydrothermal and Nutrient Content in Agricultural Soil
Abstract
1. Introduction
2. Materials and Methods
2.1. Study Site
2.2. Experimental Design
2.3. Sampling and Measurement
2.3.1. Soil Temperature
2.3.2. Soil Moisture Content
2.3.3. Determination of Soil Ammonium Nitrogen
2.3.4. Determination of Soil Nitrate Nitrogen
2.4. Statistical Analysis
3. Results
3.1. Temporal and Spatial Variations of Soil Profile Temperature
3.2. Changes in Soil Moisture Dynamics
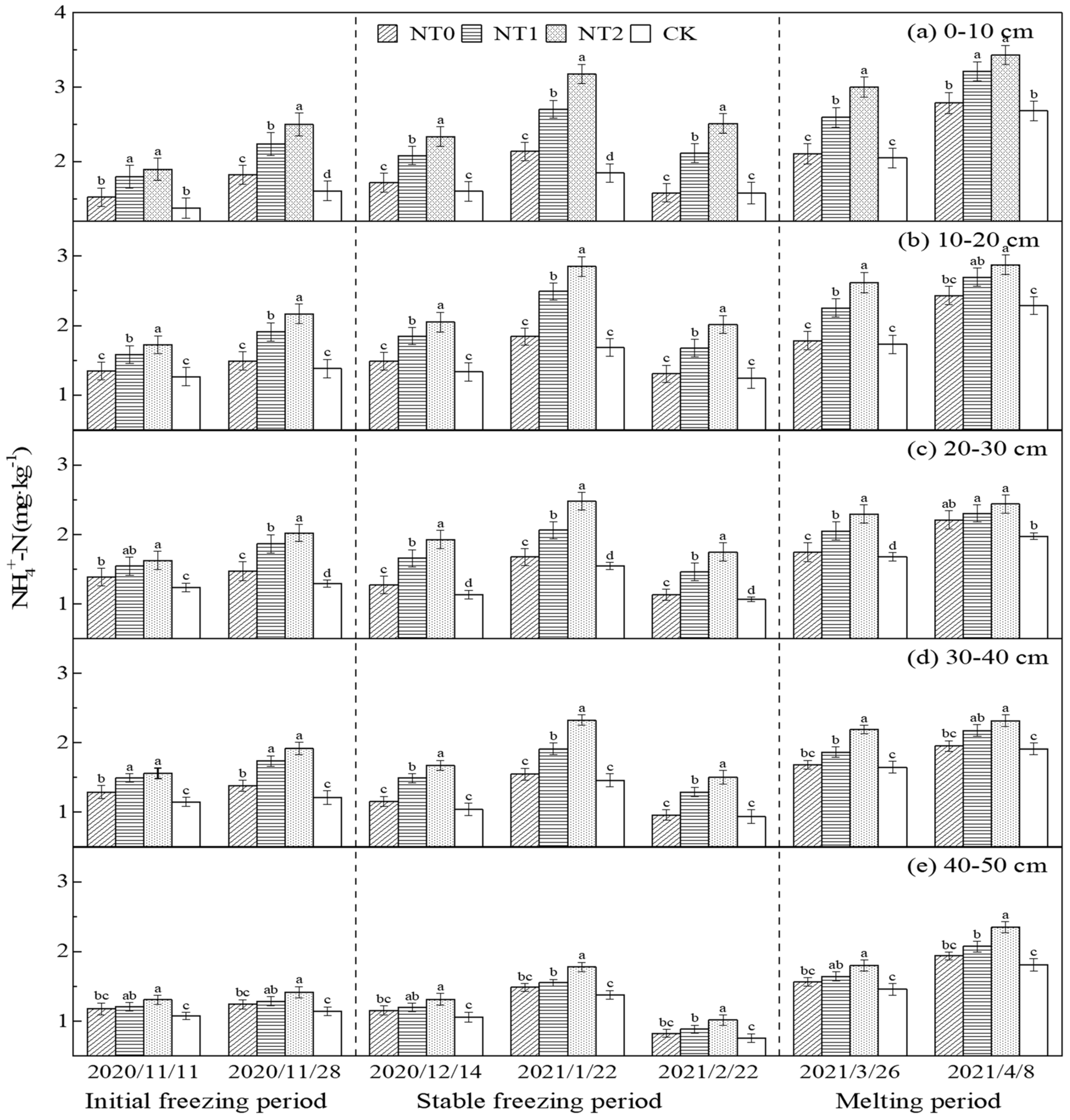
3.3. Changes in Soil Ammonium Nitrogen Content
3.4. Changes in Soil Nitrate Nitrogen Content
4. Discussion
5. Conclusions
Author Contributions
Funding
Data Availability Statement
Acknowledgments
Conflicts of Interest
References
- Cheng, H.; Wang, G.; Hu, H.; Wang, Y. The Variation of Soil Temperature and Water Content of Seasonal Frozen Soil with Different Vegetation Coverage in the Head Water Region of the Yellow River, China. Environ. Geol. 2008, 54, 1755–1762. [Google Scholar] [CrossRef]
- Fu, Q.; Hou, R.J.; Li, T.X.; Ma, Z.A.; Peng, L. Soil Moisture-Heat Transfer and Its Action Mechanism of Freeing and Thawing Soil. Trans. Chin. Soc. Agric. 2016, 47, 99–110. [Google Scholar]
- Niu, H. Effect of Freeze-Thaw Process on Aggregate Stability of Black Soil in Northeast China. Master’s Thesis, Northwest A&F University, Xi’an, China, 2020. [Google Scholar]
- Shi, G.X. Effects of Combined Regulation of Biochar and Tillage on Habitat Health and Crop Growth in Seasonal Frozon Soil Area. Ph.D. Thesis, Northeast Agricultural University, Harbin, China, 2023. [Google Scholar]
- Yang, X. Effect Mechanism of Biochar on Soil Water-Soil Environment and Carbon and Nitrogen Cycle under Freeze-Thaw Conditions. Master’s Thesis, Northeast Agricultural University, Harbin, China, 2022. [Google Scholar]
- Zhang, F. The Effect of Freeze-Thaw-Snow Melt on Soil Aggregate of Black Soil. Master’s Thesis, Shenyang Agricultural University, Shenyang, China, 2023. [Google Scholar]
- Dai, Z.J. Effects of Conservation Tillage on Soil Nitrogen Conversion in Weibei Arid Plateau. Ph.D. Thesis, Northwest A&F University, Xi’an, China, 2023. [Google Scholar]
- Akhtar, K.; Wang, W.Y.; Ren, G.X.; Yang, G.H. Changes in Soil Enzymes, Soil Properties, and Maize Crop Productivity under Wheat Straw Mulching in Guanzhong, China. Soil Tillage Res. 2018, 182, 94–102. [Google Scholar] [CrossRef]
- Cheng, Z.H.; Wang, H.Y.; Liu, G.X.; Yang, X.W.; Zhao, X.L.; Lu, D.J.; Zhou, J.M.; Li, C.Z. Changes in Soil Microbial Community and Organic Carbon Fractions under Short-term Straw Return in a Rice-wheat Cropping System. Soil Tillage Res. 2017, 165, 121–127. [Google Scholar] [CrossRef]
- Pang, Y.; Yuan, J.Y.; Yan, L.J.; Du, M.Y.; Li, G. Effects of Conservation Tillage on Soil Nitrogen Mineralization in Dry Wheat Fields on the Loess Platrau. Arid Zone Res. 2023, 40, 1446–1456. [Google Scholar]
- Zhang, P.; Wei, T.; Jia, Z.K.; Wang, Y.; Han, Q.F.; Ren, X.L. Soil Aggregate and Crop Yield Changes with Different Rates of Straw Incorporation in Semiarid Areas of Northwest China. Geoderma 2014, 230, 41–49. [Google Scholar] [CrossRef]
- Gong, X.Y.; Zhao, J.; Yang, X.G. Hydrothermal Effects of the Conservation Tillage in Soybean Farmland in Northeast China: A Meta-analy. Chin. J. Agrometeorol. 2022, 11, 867–880. [Google Scholar]
- Qiu, Y.; Wan, X. Effects of Tillage Patterns on Soil Moisture and Soybean Yield in Sloping Fields. Trans. CSAE 2018, 22, 128–137. [Google Scholar]
- Tang, W.Z.; Wang, C.X.; Lan, M.J.; Fan, W.B. An Experimental Research on Surface Covers Effects on the Temperature of the Soil Plough Layer in the Freezing and Thawing Period of the Northern Xinjiang Area. China Rural Water Hydropower 2016, 8, 44–48. [Google Scholar]
- Wu, C.D. Research on the Soil Moisture and Heat Regimes under Different Straw Mulching Thickness during Freezing-Thawing Period. Master’s Thesis, Northeast Agricultural University, Harbin, China, 2016. [Google Scholar]
- Sun, K. Study on the Control Techniques of Autumn Tillage on Farmland Soil Moisture, Heat and Nitrogen in Freeze-Thaw Period. Master’s Thesis, Shihezi University, Shihezi, China, 2022. [Google Scholar]
- Hao, X.Y.; Chen, M.M. Present Fertilizer Utilization of Crop Straw Situation and Suggestions for its Development: A Case Study of Heilongjiang Province. J. Hebei Agric. Univ. 2021, 6, 108–114. [Google Scholar]
- Song, F.; Liu, M.; Zhang, Z.X.; Qi, Z.J.; Li, T.C.; Du, S.C.; Li, A.; Liu, J. No-Tillage with Straw Mulching Increased Maize Yield and Nitrogen Fertilizer Recovery Rate in Northeast China. Agric. Water Manag. 2024, 292, 108687. [Google Scholar] [CrossRef]
- Pang, X.; He, W.Q.; Yan, C.R. Effects of Tillage Practices on Soil Hydrothermal Characteristics and Microbial Biomass Carbon. Acta. Ecol. Sin. 2013, 33, 1308–1316. [Google Scholar] [CrossRef][Green Version]
- Zhang, D.C.; Cai, D.X.; Dai, K. Soil Respiration and Response to Hydrothermal Factors under Different Tillage in Dry Farmland. Acta. Ecol. Sin. 2013, 33, 1916–1925. [Google Scholar] [CrossRef][Green Version]
- Xing, S.Y.; Liu, H.; Zheng, X.Q.; Liu, M.P. A Class of Closed Forms of Euler of Sum with Parameters. J. Taiyuan Univ. Technol. 2012, 43, 741–780. [Google Scholar]
- Shan, X.Q. Experimental Study on Dynamic Changes of Soil Moisture and Temperature under Different Combinations of Water and Nitrogen and Surface Coverage during Seasonal Freeze-Thaw Period. Master’s Thesis, Taiyuan University of Technology, Taiyuan, China, 2018. [Google Scholar]
- Xing, S.Y.; Zheng, X.Q.; Chen, J.F. Experimental Study on Effect of Corn Residue Management on Soil Water Content during Freezing-thawing Period. Trans. CSAE 2012, 28, 90–93. [Google Scholar]
- Chen, J.F.; Zheng, X.Q.; Qin, Z.D.; Liu, P.; Zang, H.F.; Sun, M. Effects of Maize Straw Mulch on Spatiotemporal Variation of Soil Moisture and Temperature during Freeze-thaw Period. Trans. CSAE 2013, 29, 102–108. [Google Scholar]
- Iwata, Y.; Hirota, T.; Hayashi, M. Effects of Frozen Soil and Snow Cover on Cold-season Soil Water Dynamics in Tokachi, Japan. Hydrol. Process. 2010, 24, 1755–1765. [Google Scholar] [CrossRef]
- Sharma, S.; Szele, Z.; Schilling, R.; Schloter, M. Influence of Freeze-thaw Stress on the Structure and Function of Microbial Communities and Denitrifying Populations in Soil. Appl. Environ. Microbiol. 2006, 2, 2148–2154. [Google Scholar] [CrossRef]
- Yang, Y.L.; Wu, F.Z.; Yang, W.Q.; Tang, B.; Kang, L.N. Effects of Snow Pack Removal on Soil Hydrolase Enzyme Activities in an Alpine Abies faxoniana Forest of Western Sichuan. Acta Ecol. Sin. 2012, 32, 7045–7052. [Google Scholar] [CrossRef]
- Nie, X.J.; Zhang, H.B.; Li, S.Y. Effects of Irrigation and Tillage on Soil Organic Carbon and Nutrients in Mining-induced Subsided Cropland. Soil Res. 2019, 57, 513–519. [Google Scholar] [CrossRef]
- Deluca, T.H.; Keeney, D.R.; Mccarty, G.W. Effect of Freeze-thaw Events on Mineralization of Soil Nitrogen. Biol. Fert. Soils 1992, 14, 116–120. [Google Scholar] [CrossRef]
- Li, Y. The Influence of Hydrothermal Conditions Change on Nitrogen Transformation and Enzyme Activities in Black Soil in Northeast China. Master’s Thesis, Northeast Normal University, Changchun, China, 2015. [Google Scholar]
- Teepe, R.; Brumme, R.; Beese, F. Nitrous Oxide Emissions from Soil during Freezing and Thawing Periods. Soil Biol. Biochem. 2001, 33, 1269–1275. [Google Scholar] [CrossRef]
- Gao, Y. Study on the Regulation Mechanism of Biochar on Soil Water-Heat, Carbon and Nitrogen Processes in Seasonal Frozen Soil Region. Ph.D. Thesis, Northeast Agricultural University, Harbin, China, 2021. [Google Scholar]
- Xie, Q.Y.; Gao, Y.H. The Effects of Freezing-thawing on Soil Carbon, Nitrogen and Phosphorus Availabilities in Alpine Meadow on the Qinghai-Tibetan Plateau. J. Soil Water Conserv. 2015, 29, 137–142. [Google Scholar]
- Zhou, W.M.; Wang, J.D.; Liu, J.S.; Qin, S.J.; Wang, Y. Effects of Freezing and Thawing on Dissolved Organic Carbon and Nitrogen Pool and Nitrogen Mineralization in Typical Wetland Soils from Sanjiang Plain, Heilongjiag, China. J. Ecol. Rural Environ. 2008, 3, 1–6. [Google Scholar]
- Herrmann, A.; Witter, E. Sources of C and N Contributing to the Flush in Mineralization Upon Freeze-thaw Cycles in Soils. Soil Biol. Biochem. 2002, 34, 1495–1505. [Google Scholar] [CrossRef]
- Jiang, N.; Juan, Y.H.; Tian, L.L.; Chen, X.D.; Sun, W.T.; Chen, L.J. Soil Water Contents Control the Responses of Dissolved Nitrogen Pools and Bacterial Communities to Freeze-Thaw in Temperate Soils. BioMed Res. Int. 2020, 3, 6867081. [Google Scholar] [CrossRef]
- Zhao, Q.; Wu, J.W.; Guo, C.Y. Effects of Freezing-Thawing Processes on Net Nitrogen Mineralization in Salinized Farmland Soil. Agron. J. 2022, 12, 2986. [Google Scholar] [CrossRef]






| Soil Depth (cm) | Available Nitrogen (mg·kg−1) | Available Phosphorus (mg·kg−1) | Available Potassium (mg·kg−1) | Organic Matter Content (g·kg−1) | pH |
|---|---|---|---|---|---|
| 0–20 | 154.4 | 40.1 | 376.8 | 25.07 | 7.27 |
| 20–50 | 150.1 | 36.8 | 356.3 | 22.37 | 7.25 |
| Item | Depth of Monitoring Points (cm) |
|---|---|
| soil temperature | 5, 10, 20, 30, 40, 50 |
| soil moisture content | 10, 20, 30, 40, 50 |
Disclaimer/Publisher’s Note: The statements, opinions and data contained in all publications are solely those of the individual author(s) and contributor(s) and not of MDPI and/or the editor(s). MDPI and/or the editor(s) disclaim responsibility for any injury to people or property resulting from any ideas, methods, instructions or products referred to in the content. |
© 2024 by the authors. Licensee MDPI, Basel, Switzerland. This article is an open access article distributed under the terms and conditions of the Creative Commons Attribution (CC BY) license (https://creativecommons.org/licenses/by/4.0/).
Share and Cite
Feng, Z.; Wang, B.; Wang, H.; Huang, Y. Effects of Tillage and Straw Mulching on Soil Hydrothermal and Nutrient Content in Agricultural Soil. Agronomy 2024, 14, 2147. https://doi.org/10.3390/agronomy14092147
Feng Z, Wang B, Wang H, Huang Y. Effects of Tillage and Straw Mulching on Soil Hydrothermal and Nutrient Content in Agricultural Soil. Agronomy. 2024; 14(9):2147. https://doi.org/10.3390/agronomy14092147
Chicago/Turabian StyleFeng, Zijia, Bai Wang, He Wang, and Yan Huang. 2024. "Effects of Tillage and Straw Mulching on Soil Hydrothermal and Nutrient Content in Agricultural Soil" Agronomy 14, no. 9: 2147. https://doi.org/10.3390/agronomy14092147
APA StyleFeng, Z., Wang, B., Wang, H., & Huang, Y. (2024). Effects of Tillage and Straw Mulching on Soil Hydrothermal and Nutrient Content in Agricultural Soil. Agronomy, 14(9), 2147. https://doi.org/10.3390/agronomy14092147
