Determinants and Pathways of Nitrous Oxide Emissions from Soil Irrigated with Reclaimed Water
Abstract
1. Introduction
2. Materials and Methods
2.1. Field Trial Design
2.2. Field Sample
2.3. 15N Isotope Trial
2.4. Data Analysis and Statistical Analyses
3. Results
3.1. The Patterns of Emission
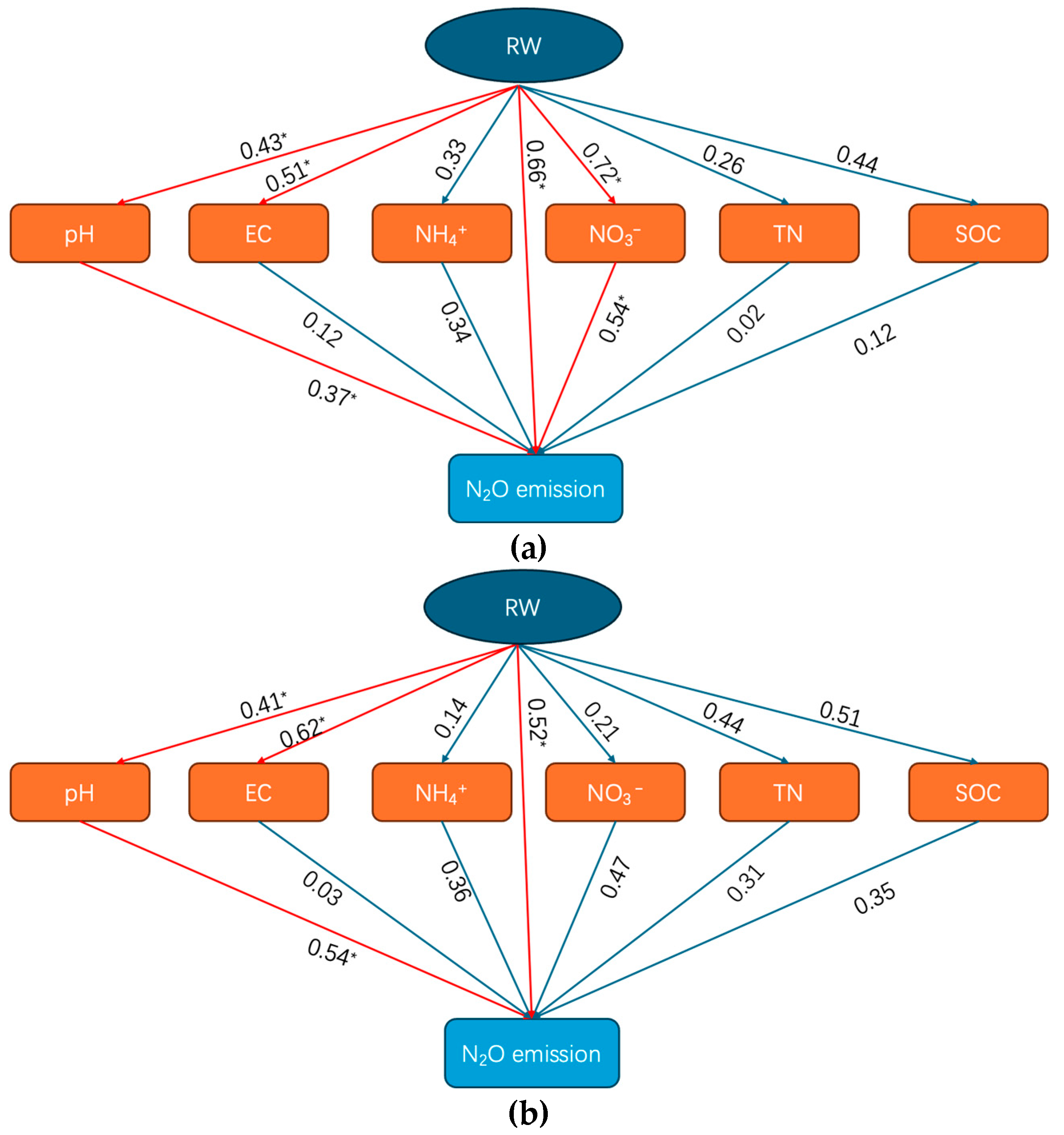
3.2. The Effect of Soil Properties on Emission under RW Irrigation
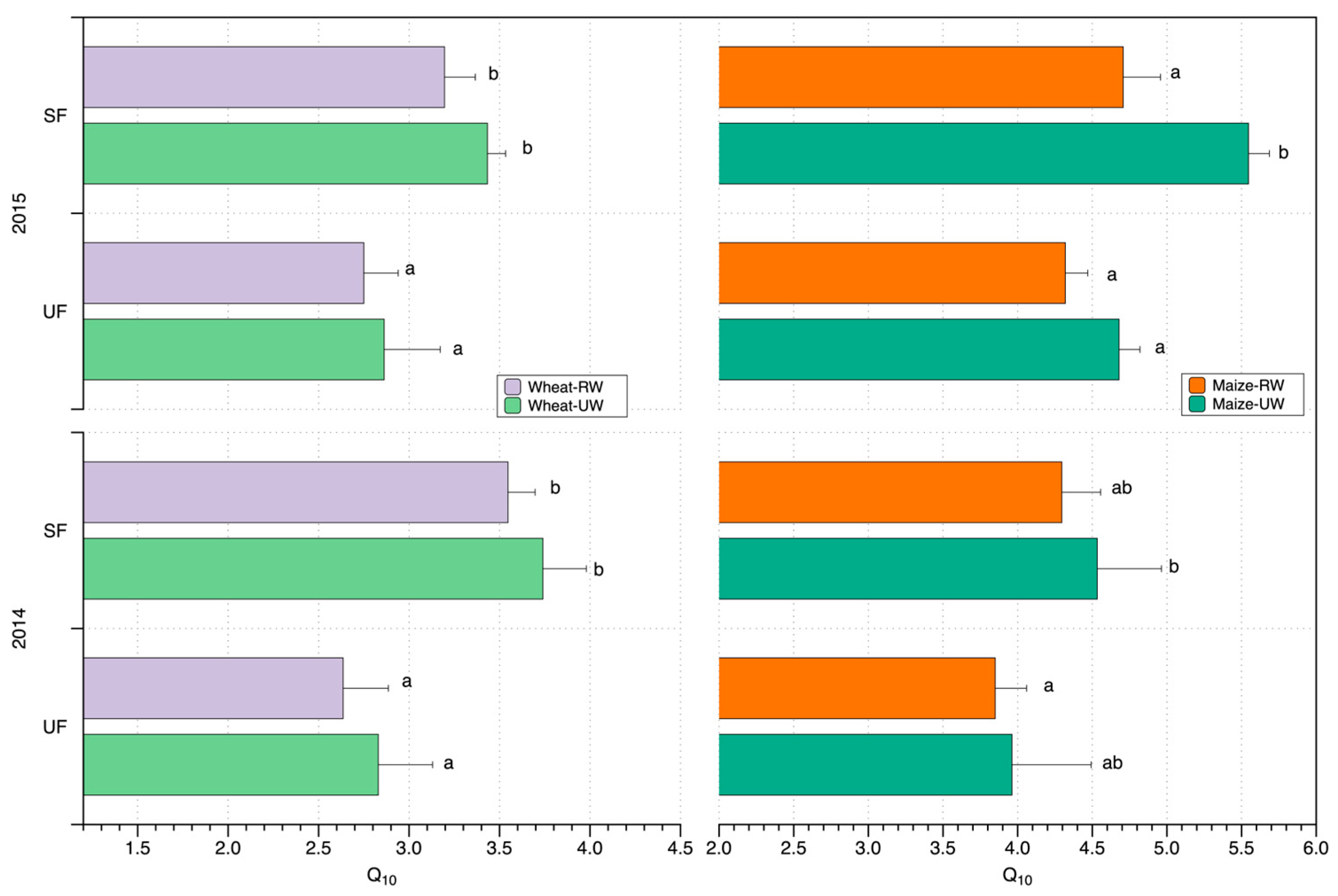
3.3. The Effect of Temperature on Emission
3.4. The Contribution of Emission under RW Irrigation
3.5. The Abundance of Nitrogen Transformation Genes
4. Discussion
4.1. The Effect of Soil Properties and Temperature on Flux
4.2. The Effect of RW on the Contribution of Production
5. Conclusions
Author Contributions
Funding
Data Availability Statement
Conflicts of Interest
References
- Hamilton, A.J.; Stagnitti, F.; Xiong, X.; Kreidl, S.L.; Benke, K.K.; Maher, P. Wastewater Irrigation: The State of Play. Vadose Zone J. 2007, 6, 823–840. [Google Scholar] [CrossRef]
- Zhu, Y.; Wei, C.; Chi, Y.; Yang, P. The Influencing Mechanisms of Reclaimed Water on N2O Production in a Multiyear Maize–Wheat Rotation. Agronomy 2023, 13, 2393. [Google Scholar] [CrossRef]
- Chi, Y.; Wei, C.; Zheng, Q.; Yang, P.; Ren, S. Potential Risk of Soil Reactive Gaseous Nitrogen Emissions under Reclaimed Water Irrigation in a Wheat-Maize Rotation System. Agric. Water Manag. 2023, 288, 108486. [Google Scholar] [CrossRef]
- Zou, J.; Liu, S.; Qin, Y.; Pan, G.; Zhu, D. Sewage Irrigation Increased Methane and Nitrous Oxide Emissions from Rice Paddies in Southeast China. Agric. Ecosyst. Environ. 2009, 129, 516–522. [Google Scholar] [CrossRef]
- Li, M.; Xue, L.; Zhou, B.; Duan, J.; He, Z.; Wang, X.; Xu, X.; Yang, L. Effects of Domestic Sewage from Different Sources on Greenhouse Gas Emission and Related Microorganisms in Straw-Returning Paddy Fields. Sci. Total Environ. 2020, 718, 137407. [Google Scholar] [CrossRef] [PubMed]
- Qian, Y.L.; Mecham, B. Long-Term Effects of Recycled Wastewater Irrigation on Soil Chemical Properties on Golf Course Fairways. Agron. J. 2005, 97, 717–721. [Google Scholar] [CrossRef]
- de Santana, F.B.; de Souza, A.M.; Poppi, R.J. Green Methodology for Soil Organic Matter Analysis Using a National near Infrared Spectral Library in Tandem with Learning Machine. Sci. Total Environ. 2019, 658, 895–900. [Google Scholar] [CrossRef]
- Hassanli, A.M.; Ahmadirad, S.; Beecham, S. Monitoring Sugar Beet Rooting Depth Irrigated with Recycled Waste Water and Different Irrigation Methods for Water Savings in an Arid Climate. Iran Agric. Res. 2016, 35, 21–26. [Google Scholar]
- Stevens, R.J.; Laughlin, R.J.; Burns, L.C.; Arah, J.R.M.; Hood, R.C. Measuring the Contributions of Nitrification and Denitrification to the Flux of Nitrous Oxide from Soil. Soil Biol. Biochem. 1997, 29, 139–151. [Google Scholar] [CrossRef]
- Li, Y.; Xi, R.; Wang, W.; Yao, H. The Relative Contribution of Nitrifiers to Autotrophic Nitrification across a pH-Gradient in a Vegetable Cropped Soil. J. Soils Sediments 2019, 19, 1416–1426. [Google Scholar] [CrossRef]
- Menyailo, O.V.; Stepanov, A.L.; Umarow, M.M. The Transformation of Nitrous Oxide by Denitrifyng Bacteria in Solonchaks. Eurasian Soil Sci. 1997, 30, 178–180. [Google Scholar]
- Chen, Z.; Tu, X.; Meng, H.; Chen, C.; Cai, Z. Microbial Process-Oriented Understanding of Stimulation of Soil N2O Emission Following the Input of Organic Materials. Environ. Pollut. 2021, 284, 117176. [Google Scholar] [CrossRef]
- Wang, J.; Wang, G.; Wanyan, H. Treated Wastewater Irrigation Effect on Soil, Crop and Environment: Wastewater Recycling in the Loess Area of China. J. Environ. Sci. 2007, 19, 1093–1099. [Google Scholar] [CrossRef] [PubMed]
- Lyu, S.; Chen, W. Soil Quality Assessment of Urban Green Space under Long-Term Reclaimed Water Irrigation. Environ. Sci. Pollut. Res. 2016, 23, 4639–4649. [Google Scholar] [CrossRef]
- Da Fonseca, A.F.; Melfi, A.J.; Montes, C.R. Maize Growth and Changes in Soil Fertility After Irrigation with Treated Sewage Effluent. I. Plant Dry Matter Yield and Soil Nitrogen and Phosphorus Availability. Commun. Soil Sci. Plant Anal. 2005, 36, 1965–1981. [Google Scholar] [CrossRef]
- Lu, S.; Zhang, X.; Liang, P. Influence of Drip Irrigation by Reclaimed Water on the Dynamic Change of the Nitrogen Element in Soil and Tomato Yield and Quality. J. Clean. Prod. 2016, 139, 561–566. [Google Scholar] [CrossRef]
- Chi, Y.; Yang, P.; Ren, S.; Ma, N.; Yang, J.; Xu, Y. Effects of Fertilizer Types and Water Quality on Carbon Dioxide Emissions from Soil in Wheat-Maize Rotations. Sci. Total Environ. 2020, 698, 134010. [Google Scholar] [CrossRef]
- Zalacáin, D.; Bienes, R.; Sastre-Merlín, A.; Martínez-Pérez, S.; García-Díaz, A. Influence of Reclaimed Water Irrigation in Soil Physical Properties of Urban Parks: A Case Study in Madrid (Spain). CATENA 2019, 180, 333–340. [Google Scholar] [CrossRef]
- Grave, R.A.; Nicoloso, R.d.S.; Cassol, P.C.; da Silva, M.L.B.; Mezzari, M.P.; Aita, C.; Wuaden, C.R. Determining the Effects of Tillage and Nitrogen Sources on Soil N2O Emission. Soil Tillage Res. 2018, 175, 1–12. [Google Scholar] [CrossRef]
- Wei, C.; Li, F.; Yang, P.; Ren, S.; Wang, S.; Wang, Y.; Xu, Z.; Xu, Y.; Wei, R.; Zhang, Y. Effects of Irrigation Water Salinity on Soil Properties, N2O Emission and Yield of Spring Maize under Mulched Drip Irrigation. Water 2019, 11, 1548. [Google Scholar] [CrossRef]
- Chi, Y.; Zheng, Q.; Yang, P.; Ren, S.; Ma, N. The Effect of Multi-Years Reclaimed Water Irrigation on Dryland Carbon Sequestration in the North China Plain. Water 2021, 13, 3260. [Google Scholar] [CrossRef]
- Yang, S.; Wu, H.; Wang, Z.; Semenov, M.V.; Ye, J.; Yin, L.; Wang, X.; Kravchenko, I.; Semenov, V.; Kuzyakov, Y.; et al. Linkages between the Temperature Sensitivity of Soil Respiration and Microbial Life Strategy Are Dependent on Sampling Season. Soil Biol. Biochem. 2022, 172, 108758. [Google Scholar] [CrossRef]
- Fan, C.; Duan, P.; Zhang, X.; Shen, H.; Chen, M.; Xiong, Z. Mechanisms Underlying the Mitigation of Both N2O and NO Emissions with Field-Aged Biochar in an Anthrosol. Geoderma 2020, 364, 114178. [Google Scholar] [CrossRef]
- Han, S.; Zeng, L.; Luo, X.; Xiong, X.; Wen, S.; Wang, B.; Chen, W.; Huang, Q. Shifts in Nitrobacter- and Nitrospira-like Nitrite-Oxidizing Bacterial Communities under Long-Term Fertilization Practices. Soil Biol. Biochem. 2018, 124, 118–125. [Google Scholar] [CrossRef]
- Kuang, W.; Gao, X.; Tenuta, M.; Gui, D.; Zeng, F. Relationship between Soil Profile Accumulation and Surface Emission of N2O: Effects of Soil Moisture and Fertilizer Nitrogen. Biol. Fertil. Soils 2019, 55, 97–107. [Google Scholar] [CrossRef]
- Shang, F.; Ren, S.; Yang, P.; Chi, Y.; Xue, Y. Effects of Different Irrigation Water Types, N Fertilizer Types, and Soil Moisture Contents on N2O Emissions and N Fertilizer Transformations in Soils. Water Air Soil Pollut. 2016, 227, 225–243. [Google Scholar] [CrossRef]
- Shahalam, A.; Zahra, B.M.A.; Jaradat, A. Wastewater Irrigation Effect on Soil, Crop and Environment: A Pilot Scale Study at Irbid, Jordan. Water Air Soil Pollut. 1998, 106, 425–445. [Google Scholar] [CrossRef]
- Kaplan, M.; Karaman, K.; Kardes, Y.M.; Kale, H. Phytic Acid Content and Starch Properties of Maize (Zea mays L.): Effects of Irrigation Process and Nitrogen Fertilizer. Food Chem. 2019, 283, 375–380. [Google Scholar] [CrossRef]
- Wei, Q.; Xu, J.; Liao, L.; Li, Y.; Wang, H.; Rahim, S. Water Salinity Should Be Reduced for Irrigation to Minimize Its Risk of Increased Soil N2O Emissions. Int. J. Environ. Res. Public Health 2018, 15, 2114. [Google Scholar] [CrossRef]
- Li, Y.; Xu, J.; Liu, B.; Wang, H.; Qi, Z.; Wei, Q.; Liao, L.; Liu, S. Enhanced N2O Production Induced by Soil Salinity at a Specific Range. Int. J. Environ. Res. Public Health 2020, 17, 5169. [Google Scholar] [CrossRef]
- Shi, Y.; Wu, W.; Meng, F.; Zhang, Z.; Zheng, L.; Wang, D. Integrated Management Practices Significantly Affect N2O Emissions and Wheat–Maize Production at Field Scale in the North China Plain. Nutr. Cycl. Agroecosyst. 2013, 95, 203–218. [Google Scholar] [CrossRef]
- Chen, T.; Oenema, O.; Li, J.; Misselbrook, T.; Dong, W.; Qin, S.; Yuan, H.; Li, X.; Hu, C. Seasonal Variations in N2 and N2O Emissions from a Wheat–Maize Cropping System. Biol Fertil Soils 2019, 55, 539–551. [Google Scholar] [CrossRef]
- Nishina, K.; Akiyama, H.; Nishimura, S.; Sudo, S.; Yagi, K. Evaluation of Uncertainties in N2O and NO Fluxes from Agricultural Soil Using a Hierarchical Bayesian Model. J. Geophys. Res. Biogeosciences 2012, 117, G04008. [Google Scholar] [CrossRef]
- Pan, Y.; Wu, J.; Liu, G.; Liu, W.; Ma, L. Differential Responses of Temperature Sensitivity of Greenhouse Gases Emission to Seasonal Variations in Plateau Riparian Zones. Environ. Pollut. 2024, 353, 124190. [Google Scholar] [CrossRef]
- Levy, G.J.; Rosenthal, A.; Tarchitzky, J.; Shainberg, I.; Chen, Y. Soil Hydraulic Conductivity Changes Caused by Irrigation with Reclaimed Waste Water. J. Environ. Qual. 1999, 28, 1658–1664. [Google Scholar] [CrossRef]
- Sun, J.; Chen, L.; Rene, E.R.; Hu, Q.; Ma, W.; Shen, Z. Biological Nitrogen Removal Using Soil Columns for the Reuse of Reclaimed Water: Performance and Microbial Community Analysis. J. Environ. Manag. 2018, 217, 100–109. [Google Scholar] [CrossRef] [PubMed]
- Pei, L.; Xiao, J.; Sun, L. Effects of Reclaimed Water Irrigation On The Soil Characteristics And Microbial Populations of Plant Rhizosphere. Environ. Sci. Pollut. Res. 2022, 29, 17570–17579. [Google Scholar]
- Ibekwe, A.M.; Gonzalez-Rubio, A.; Suarez, D.L. Impact of Treated Wastewater for Irrigation on Soil Microbial Communities. Sci. Total Environ. 2018, 622, 1603–1610. [Google Scholar] [CrossRef] [PubMed]
- Guo, W.; Andersen, M.N.; Qi, X.; Li, P.; Li, Z.; Fan, X.; Zhou, Y. Effects of Reclaimed Water Irrigation and Nitrogen Fertilization on the Chemical Properties and Microbial Community of Soil. J. Integr. Agric. 2017, 16, 679–690. [Google Scholar] [CrossRef]
- Yao, H.; Campbell, C.D.; Qiao, X. Soil pH Controls Nitrification and Carbon Substrate Utilization More than Urea or Charcoal in Some Highly Acidic Soils. Biol. Fertil. Soils 2011, 47, 515–522. [Google Scholar] [CrossRef]







| Abbreviation | Fertilizer | Water Quality | Irrigation Type | Fertilization Type |
|---|---|---|---|---|
| UUF | Urea | Groundwater | Drip irrigation | Base/topdressing |
| USF | Slow-released fertilizer | Groundwater | Drip irrigation | Base |
| RUF | Urea | Reclaimed water | Drip irrigation | Base/topdressing |
| RSF | Slow-released fertilizer | Reclaimed water | Drip irrigation | Base |
| Index | RW | UW | PW | Soil-UW | Soil-RW |
|---|---|---|---|---|---|
| (mg·L−1) | 41.23 ± 2.23 | 7.23 ± 7.34 | 221.44 ± 12.31 | / | / |
| (mg·L−1) | 8.23 ± 5.23 | 2.23 ± 0.53 | 75.72 ± 12.34 | / | / |
| -N (mg·kg−1) | 7.21 ± 3.62 | 0 | 53.41 ± 11.73 | 1.21 ± 0.12 | 0.81 ± 0.25 |
| -N (mg·kg−1) | 13.64 ± 4.12 | 0.40 ± 0.14 | 101.22 ± 12.45 | 9.12 ± 0.74 | 13.23 ± 0.37 |
| SS (mg·L−1) | 11.23 ± 3.35 | 0.42 ± 0.25 | / | / | / |
| TN | 0.03 ± 4.61 | 0 | 11.42 ± 2.44 | 3.33 ± 0.14 | 4.01 ± 1.22 |
| pH | 4.2 ± 0.42 | 7.80 ± 0.30 | 6.92 ± 3.92 | 7.82 ± 0.31 | 7.73 ± 0.11 |
| EC | 7.10 ± 0.2 | 273.74 ± 21.12 | 2121.34 ± 3.52 | 621.34 ± 32.32 | 812.34 ± 17.11 |
| Gene | F | F-Gene Sequence | R | R-Gene Sequence |
|---|---|---|---|---|
| AOA | amoAF | STAATGGTCTGGCTTAGACG | amoAR | GCGGCCATCCATCTGTATGT |
| AOB | bamoA1F | GGGGTTTCTACTGGTGGT | bamoA2R | CCCCTCKGSAAAGCCTTCTTC |
| nosZ | 1126F | GGGCTBGGGCCRTTGCA | 1381R | GGGCTBGGGCCRTTGCA |
| nirK | FLaCuF | ATCATGGTSCTGCCGCG | R3CuR | GCCTCGATCAGRTTGTGGTT |
| nirS | cd3aF | GTSAACGTSAAGGARACSGG | R3cdR | GASTTCGGRTGSGTCTTGA |
| Year | Crop | Maize (mg·h−1·m−2) | Wheat (mg·h−1·m−2) | ||
|---|---|---|---|---|---|
| Treatment | RW | UW | RW | UW | |
| 2014 | UF | 0.17 ± 0.03 Ab | 0.17± 0.04 Ab | 0.11 ± 0.03 Ab | 0.10 ± 0.02 Ab |
| SF | 0.12 ± 0.01 Aa | 0.12 ± 0.02 Aa | 0.70. ± 0.01 Aa | 66.09 ± 0.02 Aa | |
| WQ | n.s | n.s | |||
| FE | *** | *** | |||
| WQ&FE | n.s | n.s | |||
| 2015 | UF | 0.19± 0.02 Ab | 0.18± 0.01 Ab | 0.11± 0.01 Ab | 0.11 ± 0.01 Ab |
| SF | 0.13 ± 0.02 Ba | 0.11 ± 0.01 Aa | 0.09 ± 0.01 Ba | 0.07 ± 0.01 Aa | |
| WQ | * | * | |||
| FE | *** | *** | |||
| WQ&FE | * | * | |||
Disclaimer/Publisher’s Note: The statements, opinions and data contained in all publications are solely those of the individual author(s) and contributor(s) and not of MDPI and/or the editor(s). MDPI and/or the editor(s) disclaim responsibility for any injury to people or property resulting from any ideas, methods, instructions or products referred to in the content. |
© 2024 by the authors. Licensee MDPI, Basel, Switzerland. This article is an open access article distributed under the terms and conditions of the Creative Commons Attribution (CC BY) license (https://creativecommons.org/licenses/by/4.0/).
Share and Cite
Chi, Y.; Wei, C.; Yang, P.; Ma, N. Determinants and Pathways of Nitrous Oxide Emissions from Soil Irrigated with Reclaimed Water. Agronomy 2024, 14, 2089. https://doi.org/10.3390/agronomy14092089
Chi Y, Wei C, Yang P, Ma N. Determinants and Pathways of Nitrous Oxide Emissions from Soil Irrigated with Reclaimed Water. Agronomy. 2024; 14(9):2089. https://doi.org/10.3390/agronomy14092089
Chicago/Turabian StyleChi, Yanbing, Chenchen Wei, Peiling Yang, and Ning Ma. 2024. "Determinants and Pathways of Nitrous Oxide Emissions from Soil Irrigated with Reclaimed Water" Agronomy 14, no. 9: 2089. https://doi.org/10.3390/agronomy14092089
APA StyleChi, Y., Wei, C., Yang, P., & Ma, N. (2024). Determinants and Pathways of Nitrous Oxide Emissions from Soil Irrigated with Reclaimed Water. Agronomy, 14(9), 2089. https://doi.org/10.3390/agronomy14092089

