Mowing Height Effects on ‘TifTuf’ Bermudagrass during Deficit Irrigation
Abstract
1. Introduction
2. Materials and Methods
3. Results and Discussion
3.1. Effects of Mowing Height on ETa
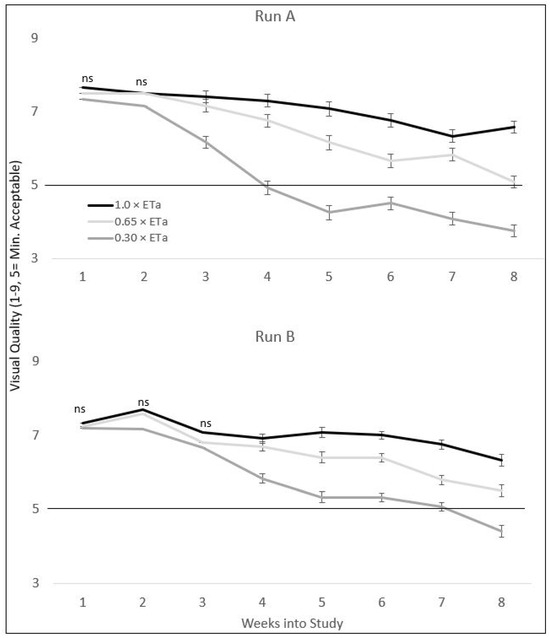
3.2. Mowing Height and Irrigation Level Effects on Visual Quality
3.3. Effects of Mowing Height and Deficit Irrigation on Clipping Production
3.4. Mowing Height Effects on Root Dry Weight
4. Conclusions
Author Contributions
Funding
Data Availability Statement
Acknowledgments
Conflicts of Interest
References
- Beard, J.B.; Green, R.L. The role of turfgrasses in environmental protection and their benefits to humans. J. Environ. Qual. 1994, 23, 452–460. [Google Scholar] [CrossRef]
- Emmons, R. Turfgrass Science and Management; Delmar Publishers: Albany, NY, USA, 1995. [Google Scholar]
- Arfanuzzaman, M.; Rahman, A.A. Sustainable water demand management in the face of rapid urbanization and ground water depletion for social-ecological resilience building. Glob. Ecol. Conserv. 2017, 10, 9–22. [Google Scholar] [CrossRef]
- Hajek, O.L.; Knapp, A.K. Shifting seasonal patterns of water availability: Ecosystem responses to an unappreciated dimension of climate change. New Phytol. 2021, 233, 119–125. [Google Scholar] [CrossRef]
- Hatfield, J. Turfgrass and climate change. Agron. J. 2017, 109, 1708–1718. [Google Scholar] [CrossRef]
- Shaddox, T.W.; Unruh, J.B.; Johnson, M.E.; Brown, C.D.; Stacey, G. Water use and management practices on U.S. golf courses. Crop Forage Turf. Manag. 2022, 8, e20182. [Google Scholar] [CrossRef]
- Soldat, D.J.; Brosnan, J.T.; Chandra, A.; Gaussoin, R.E.; Kowalewski, A.; Leinauer, B.; Rossi, F.S.; Stier, J.C.; Unruh, J.B. Estimating economic minimums of mowing, fertilizing, and irrigating turfgrass. Agric. Environ. Lett. 2020, 5, e20032. [Google Scholar] [CrossRef]
- Huang, B.; Fry, J.D. Turfgrass evapotranspiration. J. Crop Prod. 2000, 2, 317–333. [Google Scholar] [CrossRef]
- Biran, I.; Bravdo, B.; Bushkin-Harav, I.; Rawitz, E. Water consumption and growth rate of 11 turfgrasses as affected by mowing height, irrigation frequency, and soil moisture. Agron. J. 1981, 73, 85–90. [Google Scholar] [CrossRef]
- Johns, D.; Beard, J.B.; van Bavel, C.H.M. Resistances to evapotranspiration from a St. Augustinegrass turf canopy. Agron. J. 1983, 75, 419–422. [Google Scholar] [CrossRef]
- Feldhake, C.M.; Danielson, R.E.; Butler, J.D. Turfgrass evapotranspiration. I. Factors influencing rate in urban environments. Agron. J. 1983, 75, 824–830. [Google Scholar] [CrossRef]
- Fry, J.D.; Butler, J.D. Annual bluegrass and creeping bentgrass evapotranspiration rates. HortScience 1989, 24, 268–271. [Google Scholar] [CrossRef]
- Beard, J.B. Turfgrass root basics. Turfax 2001, 9, 4–5. [Google Scholar]
- Elansary, H.O.; Yessoufou, K. Growth regulators and mowing heights enhance the morphological and physiological performance of seaspray turfgrass drought conditions. Acta Physiol. Plant. 2015, 37, 232. [Google Scholar] [CrossRef]
- Shahba, M.A.; Abbas, M.S.; Alshammary, S.F. Drought resistance strategies of seashore paspalum at different mowing heights. HortScience 2014, 49, 221–229. [Google Scholar] [CrossRef]
- Zhou, Y.; Lambrides, C.J.; Kearns, R.; Ye, C.; Cao, N.; Fukai, S. Selecting for drought tolerance among Australian green couch grasses (Cynodon spp.). Crop Pasture Sci. 2009, 60, 1175–1183. [Google Scholar] [CrossRef]
- Zhou, Y.; Lambrides, C.J.; Kearns, R.; Ye, C.; Fukai, S. Water use, water use efficiency and drought resistance among warm-season turfgrasses in shallow soil profiles. Funct. Plant Biol. 2012, 39, 116–125. [Google Scholar] [CrossRef] [PubMed]
- Feldhake, C.M.; Danielson, R.E.; Butler, J.D. Turfgrass evapotranspiration. II. Responses to deficit irrigation. Agron. J. 1984, 76, 85–89. [Google Scholar] [CrossRef]
- Braun, R.C.; Bremer, D.J.; Ebdon, J.S.; Fry, J.D.; Patton, A.J. Review of cool-season turfgrass water use and requirements: I. Evapotranspiration and responses to deficit irrigation. Crop Sci. 2022, 62, 1661–1684. [Google Scholar] [CrossRef]
- Colmer, T.D.; Barton, L. A review of warm-season turfgrass evapotranspiration, responses to deficit irrigation, and drought resistance. Crop Sci. 2017, 57, S-98–S-110. [Google Scholar] [CrossRef]
- Fu, J.; Fry, J.; Huang, B. Minimum water requirements of four turfgrasses in the transition zone. HortScience 2004, 39, 1740–1744. [Google Scholar] [CrossRef]
- Allen, R.G.; Pereira, L.S.; Raes, D.; Smith, M. Crop evapotranspiration: Guidelines for computing crop water requirements. In FAO Irrigation and Drainage Paper 56; FAO: Rome, Italy, 1998. [Google Scholar]
- Wherley, B.; Dukes, M.D.; Cathey, S.; Miller, G.; Sinclair, T. Consumptive water use and crop coefficients for warm-season turfgrass species in the southeastern United States. Agric. Water Manag. 2015, 156, 10–18. [Google Scholar] [CrossRef]
- Wherley, B.; Heitholt, J.; Chandra, A.; Skulkaew, P. Supplemental irrigation requirements of zoysiagrass and bermudagrass cultivars. Crop Sci. 2014, 54, 1823–1831. [Google Scholar] [CrossRef]
- Hejl, R.W.; Wherley, B.G.; White, R.H.; Thomas, J.C.; Fontanier, C.H. Deficit irrigation and simulated traffic on ‘Tifway’ bermudagrass summer performance and autumn recovery. Crop Sci. 2016, 56, 809–817. [Google Scholar] [CrossRef]
- Banuelos, J.B.; Walworth, J.L.; Brown, P.W.; Kopec, D.M. Deficit irrigation of Seashore Paspalum and Bermudagrass. Agron. J. 2011, 103, 1567–1577. [Google Scholar] [CrossRef]
- Hanna, W.W.; Schwartz, B.M. Bermudagrass Named ‘DT-1’. U.S. Patent 27392P2, 15 November 2016. [Google Scholar]
- Schwartz, B.M.; Hanna, W.W.; Baxter, L.L.; Raymer, P.L.; Waltz, F.C.; Kowalewski, A.R.; Chandra, A.; Genovesi, D.; Wherley, B.G.; Miller, G.L.; et al. ‘DT-1’, a drought-tolerant triploid turf bermudagrass. HortScience 2018, 53, 1711–1714. [Google Scholar] [CrossRef]
- Morris, K.N.; Shearman, R.C. NTEP turfgrass evaluation guidelines. In Proceedings of the NTEP Turfgrass Evaluation Workshop, Beltsville, MD, USA, 17 October 1998; pp. 1–5. Available online: https://www.ntep.org/pdf/ratings.pdf (accessed on 9 October 2023).
- Madison, J.H.; Hagan, R.M. Extraction of soil moisture by ‘Merion’ bluegrass (Poa pratensis ‘Merion’) turf, as affected by irrigation frequency, mowing height, and other cultural operations. Agron. J. 1962, 54, 157–160. [Google Scholar] [CrossRef]
- Hanna, W.W.; Braman, S.K.; Schwartz, B.M. ‘ST-5’, a shade-tolerant turf bermudagrass. HortScience 2010, 45, 132–134. [Google Scholar] [CrossRef]
- Hejl, R.W.; Wherley, B.G.; Thomas, J.C.; White, R.H. Irrigation water quality and trinexapac-ethyl effects on bermudagrass response to deficit irrigation. HortScience 2015, 50, 1081–1087. [Google Scholar] [CrossRef]
- Wherley, B. Turfgrass growth, quality, and reflective heat load in response to deficit irrigation practices. In Evapotranspiration; Labedzki, L., Ed.; InTech: Rijeka, Croatia, 2011; pp. 419–430. [Google Scholar]
- Hejl, R.W.; Williams, C.F.; Monaco, T.A.; Serba, D.D.; Conley, M.M. Hybrid bermudagrass responses to impaired water sources. HortScience 2023, 58, 907–914. [Google Scholar] [CrossRef]
- Dernoeden, P.H.; Butler, J.D. Drought resistance of Kentucky bluegrass cultivars. HortScience 1978, 13, 667–668. [Google Scholar] [CrossRef]





| p Values | ||||||
|---|---|---|---|---|---|---|
| Evapotranspiration | Visual Quality | Clipping Production | Root Dry wt | |||
| A | B | A | B | |||
| Mowing (M) | *** | *** | *** | *** | *** | *** |
| Irrigation (I) | - | - | *** | *** | *** | NS |
| Date (D) | *** | *** | *** | *** | *** | - |
| M × I | - | - | *** | *** | * | NS |
| M × D | NS | NS | NS | NS | NS | - |
| I × D | - | - | *** | *** | * | - |
| M × I × D | - | - | NS | NS | NS | - |
| Mowing Height | Irrigation Level | Clipping Production (mg d−1) |
|---|---|---|
| 2.5 cm | 1.0 × ETa | 31.77 a |
| 0.65 × ETa | 31.05 ab | |
| 0.30 × ETa | 27.34 a–c | |
| 5.0 cm | 1.0 × ETa | 28.29 a–c |
| 0.65 × ETa | 31.96 a | |
| 0.30 × ETa | 24.34 a–c | |
| 7.5 cm | 1.0 × ETa | 24.71 a–c |
| 0.65 × ETa | 21.83 cd | |
| 0.30 × ETa | 15.39 d | |
| 10.0 cm | 1.0 × ETa | 23.40 bc |
| 0.65 × ETa | 21.54 cd | |
| 0.30 × ETa | 23.19 c | |
| p value | * |
Disclaimer/Publisher’s Note: The statements, opinions and data contained in all publications are solely those of the individual author(s) and contributor(s) and not of MDPI and/or the editor(s). MDPI and/or the editor(s) disclaim responsibility for any injury to people or property resulting from any ideas, methods, instructions or products referred to in the content. |
© 2024 by the authors. Licensee MDPI, Basel, Switzerland. This article is an open access article distributed under the terms and conditions of the Creative Commons Attribution (CC BY) license (https://creativecommons.org/licenses/by/4.0/).
Share and Cite
Hejl, R.W.; Conley, M.M.; Serba, D.D.; Williams, C.F. Mowing Height Effects on ‘TifTuf’ Bermudagrass during Deficit Irrigation. Agronomy 2024, 14, 628. https://doi.org/10.3390/agronomy14030628
Hejl RW, Conley MM, Serba DD, Williams CF. Mowing Height Effects on ‘TifTuf’ Bermudagrass during Deficit Irrigation. Agronomy. 2024; 14(3):628. https://doi.org/10.3390/agronomy14030628
Chicago/Turabian StyleHejl, Reagan W., Matthew M. Conley, Desalegn D. Serba, and Clinton F. Williams. 2024. "Mowing Height Effects on ‘TifTuf’ Bermudagrass during Deficit Irrigation" Agronomy 14, no. 3: 628. https://doi.org/10.3390/agronomy14030628
APA StyleHejl, R. W., Conley, M. M., Serba, D. D., & Williams, C. F. (2024). Mowing Height Effects on ‘TifTuf’ Bermudagrass during Deficit Irrigation. Agronomy, 14(3), 628. https://doi.org/10.3390/agronomy14030628

