Appropriate Water and Nitrogen Regulation Improves the Production of Wolfberry (Lycium barbarum L.)
Abstract
1. Introduction
2. Materials and Methods
2.1. Description of the Experimental Site
2.2. Experimental Design and Field Management
2.3. Indicators and Methods for Measurement
2.3.1. Soil Moisture
2.3.2. Plant Height and Stem Diameter Growth Amount
2.3.3. Chlorophyll Content (SPAD)
2.3.4. Photosynthetic Index
2.3.5. Environmental Factor
2.3.6. Yield
2.3.7. Water and Nitrogen-Use Efficiency [36]
- (1)
- Irrigation WUE (IWUE, kg·ha−1·mm−1)
- (2)
- WUE (kg·ha−1·mm−1)
- (3)
- Partial factor productivity of nitrogen (PFPN, kg·kg−1)
- (4)
- Agronomic NUE (ANUE, kg·kg−1)
2.3.8. Qualities
2.3.9. Economic Benefits
2.3.10. TOPSIS Method [40]
2.4. Data Analysis Method
3. Results
3.1. Effects of Water and Nitrogen Regulation on the Growth of Wolfberry
3.1.1. Plant Height Growth Amount
3.1.2. Stem Diameter Growth Amount
3.2. Effects of Water and Nitrogen Regulation on the Physiology of Wolfberry
3.2.1. SPAD
3.2.2. Photosynthetic Characteristics
3.2.3. Analysis of Driving Factors of Photosynthetic Parameters Regulated by Water and Nitrogen
- (1)
- Environmental factors
- (2)
- Driving factors analysis
3.3. Effects of Water and Nitrogen Regulation on Wolfberry Production
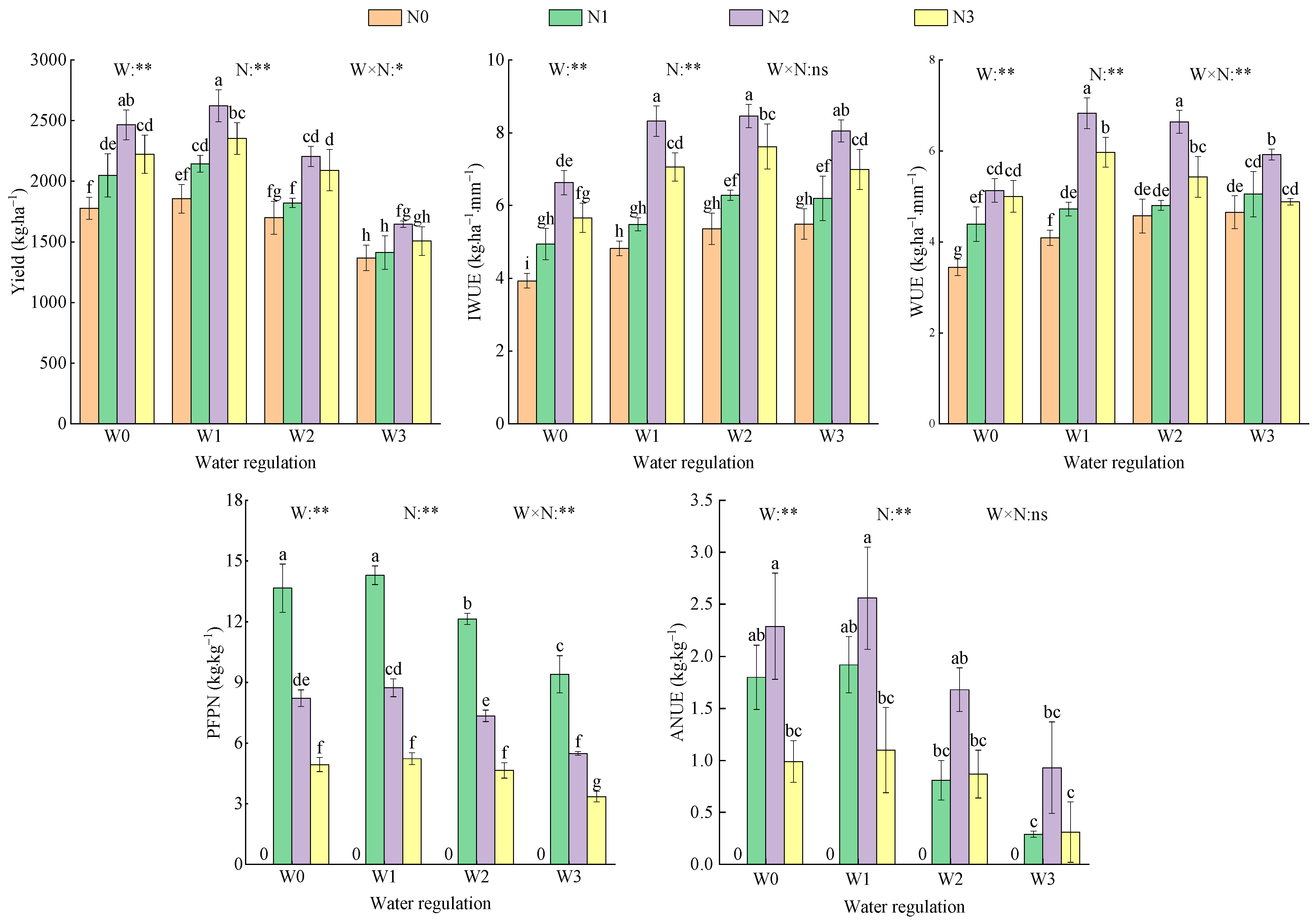
3.3.1. Yield, Water, and Nitrogen-Use Efficiency
3.3.2. Qualities
3.3.3. Economic Benefits
3.4. Comprehensive Evaluation of Water and Nitrogen Regulation of Wolfberry
4. Discussion
4.1. Effects of Water and Nitrogen Regulation on the Growth and Physiology of Wolfberry
4.2. Effects of Water and Nitrogen Regulation on Yield and Economic Benefits of Wolfberry
4.3. Effects of Water and Nitrogen Regulation on Water and Nitrogen-Use Efficiency of Wolfberry
4.4. Effects of Water and Nitrogen Regulation on Qualities of Wolfberry
5. Conclusions
Author Contributions
Funding
Data Availability Statement
Acknowledgments
Conflicts of Interest
References
- Sun, H.Z.; Xu, L.R.; Wang, J.; Fu, X. Remote sensing monitoring of spatial-temporal variation of soil salinization before and after irrigation in the Yellow River Delta. J. Coast. Res. 2021, 105, 56–60. [Google Scholar] [CrossRef]
- Wang, Y.F.; Qu, L.Q.; Li, J.M.; Li, L. Analysis of soil erosion control based on China soil and water conservation bulletin in the past two decades. J. Changjiang River Sci. Res. Inst. 2023, 40, 59–65. [Google Scholar] [CrossRef]
- Liu, R.H.; Feng, W.L. The technology of improving saline-alkali land with iron tailings compound modifier is successful. Gold 2016, 37, 55. [Google Scholar]
- Sun, T.; Feng, Z.M.; Yang, Y.Z.; Lin, Y.M.; Wu, Y.J. Research on land resource carrying capacity: Progress and prospects. J. Resour. Ecol. 2018, 9, 331–340. [Google Scholar] [CrossRef]
- Liu, Z. Introduction to Soil and Water Conservation in China; China Water Resources and Hydropower Press: Beijing, China, 2018. [Google Scholar]
- Yao, R.; Heinrich, M.; Weckerle, C.S. The genus Lycium as food and medicine: A botanical, ethnobotanical and historical review. J. Ethnopharmacol. 2018, 212, 50–66. [Google Scholar] [CrossRef]
- Khoo, H.E.; Azlan, A.; Tang, S.T.; Lim, S.M. Anthocyanidins and anthocyanins: Colored pigments as food, pharmaceutical ingredients, and the potential health benefits. Food Nutr. Res. 2017, 61, 1361779. [Google Scholar] [CrossRef]
- Muatasim, R.; Ma, H.L.; Yang, X. Effect of multimode ultrasound assisted extraction on the yield of crude polysaccharides from Lycium barbarum (Goji). Food Sci. Technol. 2018, 38, 160–166. [Google Scholar] [CrossRef]
- Wozniak, J.R.; Swannack, T.M.; Butzler, R.; Llewellyn, C.; Davis, S.E. River inflow, estuarine salinity, and Carolina wolfberry fruit abundance:linking abiotic drivers to Whooping Crane food. J. Coast. Conserv. 2012, 16, 345–354. [Google Scholar] [CrossRef]
- Kulczyński, B.; Gramza-Michałowska, A. Goji berry (Lycium barbarum): Composition and health effects-a review. Pol. J. Food Nutr. Sci. 2016, 66, 67–75. [Google Scholar] [CrossRef]
- Zhu, H.; Tian, J.C.; Yang, F.; Ma, B.; Yan, X.F.; Hao, X.F. Effects of water-fertilizer-air-heat coupling on yield and photosynthesis of wolfberry. J. Drain. Irrig. Machin. Eng. 2022, 40, 511–518. [Google Scholar] [CrossRef]
- Chen, Y.K.; Teng, Z.N.; Yuan, Y.Q.; Yi, Z.X.; Zheng, Q.; Yu, H.H.; Lv, J.H.; Wang, Y.X.; Duan, M.J.; Zhang, J.H.; et al. Excessive nitrogen in field-grown rice suppresses grain filling of inferior spikelets by reducing the accumulation of cytokinin and auxin. Field Crop Res. 2022, 283, 108542. [Google Scholar] [CrossRef]
- Li, J.P.; Zhang, Z.; Yao, C.S.; Liu, Y.; Wang, Z.M.; Fang, B.T.; Zhang, Y.H. Improving winter wheat grain yield and water-/nitrogen-use efficiency by optimizing the micro-sprinkling irrigation amount and nitrogen application rate. J. Integr. Agric. 2021, 20, 606–621. [Google Scholar] [CrossRef]
- Gheith, E.M.S.; El–Badry, O.Z.; Lamlom, S.F.; Ali, H.M.M.; Siddiqui, M.H.H.; Ghareeb, R.Y.Y.; El–Sheikh, M.H.H.; Jebril, J.; Abdelsalam, N.R.R.; Kandil, E.E.E. Maize (Zea mays L.) productivity and nitrogen-use efficiency in response to nitrogen application levels and time. Front. Plant Sci. 2022, 13, 941343. [Google Scholar] [CrossRef]
- Wu, J.N.; Wei, X.D.; Li, X.; Zhang, J.F.; Xie, Y.F. Research progress in nitrogen-use efficiency in plants. Plant Physiol. J. 2018, 54, 1401–1408. [Google Scholar] [CrossRef]
- Yang, Y.; Li, X.; Pan, C.; Hou, J.; Li, J.F.; Wu, Q.X.; Yang, J.; Qi, D.L. Research progresses on coupling effects of water and nitrogen on growth and grain yield of maize. Water Sav. Irrig. 2021, 5, 41–45. [Google Scholar]
- Wang, F.L.; Chai, C.W.; Zhao, P.; Tang, W.D.; Fu, G.Q.; Sun, T.; Xu, B.Y. Photosynthetic and chlorophyll fluorescence responses of three desert species to drought stress and evaluation of drought resistance. Acta Agric. Borea.-Occident. Sinica. 2021, 41, 1755–1765. [Google Scholar] [CrossRef]
- Ierna, A.; Pandino, G.; Lombardo, S.; Mauromicale, G. Tuber yield, water and fertilizer productivity in early potato as affected by a combination of irrigation and fertilization. Agric. Water Manag. 2011, 101, 35–41. [Google Scholar] [CrossRef]
- Si, Z.Y.; Zain, M.; Mehmood, F.; Wang, G.S.; Gao, Y.; Duan, A.W. Effects of nitrogen application rate and irrigation regime on growth, yield, and water-nitrogen-use efficiency of drip-irrigated winter wheat in the North China Plain. Agric. Water Manag. 2020, 231, 106002. [Google Scholar] [CrossRef]
- Miner, G.L.; Delgado, J.A.; Ippolito, K.A.; Barbarick, K.A.; Stewart, C.E.; Manter, D.K.; Del Grosso, S.J.; Halvorson, A.D.; Floyd, B.A.; D’Adamo, R.E. Influence of long-term nitrogen fertilization on crop and soil micronutrients in a no-till maize cropping system. Field Crop Res. 2018, 228, 170–182. [Google Scholar] [CrossRef]
- Liu, X.H.; Hao, K.; Han, Z.H.; Yu, N.; Yang, Q.L.; Liu, Y.W. Effect of water and nitrogen coupling on yield and quality of Arabica coffee in dry-hot area. Trans. Chin. Soc. Agric. Machin. 2016, 47, 143–150. [Google Scholar] [CrossRef]
- Fan, M.Y.; Qin, Y.H.; Jiang, X.L.; Cui, N.B.; Wang, Y.S.; Zhang, Y.X.; Zhao, L.; Jiang, S.Z. Proper deficit nitrogen application and irrigation of tomato can obtain a higher fruit quality and improve cultivation profit. Agronomy 2022, 12, 2578. [Google Scholar] [CrossRef]
- Deng, H.L.; Pan, X.F.; Zhang, H.J.; Xiao, Z.W.; Xiao, R.; Zhao, Z.X.; Chen, T. Comprehensive regulation of water-Nitrogen coupling in hybrid seed maize in the Hexi Oasis Irrigation Area based on the synergy of multiple indicators. Water 2023, 15, 3927. [Google Scholar] [CrossRef]
- Li, J.P.; Wang, Z.M.; Song, Y.H.; Li, J.C.; Zhang, Y.H. Effects of reducing nitrogen application rate under different irrigation methods on grain yield, water and nitrogen utilization in winter wheat. Agronomy 2022, 12, 1835. [Google Scholar] [CrossRef]
- Shrestha, B.; Darapuneni, M.; Stringam, B.L.; Lombard, K.; Djaman, K. Irrigation water and nitrogen fertilizer management in potato (Solanum tuberosum L.): A review. Agronomy 2023, 13, 2566. [Google Scholar] [CrossRef]
- Akkamis, M.; Caliskan, S. Responses of yield, quality and water-use efficiency of potato grown under different drip irrigation and nitrogen levels. Sci. Rep. 2023, 13, 9911. [Google Scholar] [CrossRef]
- Qi, D.L.; Hu, T.T.; Song, X. Effects of nitrogen application rates and irrigation regimes on grain yield and water-use efficiency of maize under alternate partial root-zone irrigation. J. Integr. Agric. 2020, 19, 2792–2806. [Google Scholar] [CrossRef]
- Saed-Moucheshi, A.; Pessarakli, M.; Mozafari, A.A.; Rezaizad, A.; Froozesh, P.; Tabarzad, A.; Alipour, H. Modeling and determining the best combination of nitrogen and irrigation levels for achieving high yield in sweet corn. J. Plant Nutr. 2022, 45, 2748–2757. [Google Scholar] [CrossRef]
- Kumar, R.; Pareek, N.K.; Kumar, U.; Javed, T.; Al-Huqail, A.A.; Rathore, V.S.; Nangia, V.; Choudhary, A.; Nanda, G.; Ali, H.M.; et al. Coupling effects of nitrogen and irrigation levels on growth attributes, nitrogen-use efficiency, and economics of cotton. Front. Plant Sci. 2022, 13, 890181. [Google Scholar] [CrossRef]
- Ali, S.; Hafeez, A.; Ma, X.L.; Tung, S.A.; Chattha, M.S.; Shah, A.N.; Luo, D.; Ahmad, S.; Liu, J.H.; Yang, G.Z. Equal potassium-nitrogen ratio regulated the nitrogen metabolism and yield of high-density late-planted cotton (Gossypium Hirsutum L.) in Yangtze River valley of China. Ind. Crop. Prod. 2019, 129, 231–241. [Google Scholar] [CrossRef]
- Ghannem, A.; Ben Aissa, I.; Majdoub, R. Effects of regulated deficit irrigation applied at different growth stages of greenhouse grown tomato on substrate moisture, yield, fruit quality, and physiological traits. Environ. Sci. Pollut. Res. 2021, 28, 46553–46564. [Google Scholar] [CrossRef] [PubMed]
- Wang, X.K.; Yun, J.; Shi, P.; Li, Z.B.; Li, P.; Xing, Y.Y. Root growth, fruit yield and water-use efficiency of greenhouse grown tomato under different irrigation regimes and nitrogen levels. J. Plant Growth Regul. 2019, 38, 400–415. [Google Scholar] [CrossRef]
- Wang, W.J.; Wang, L.J. The present situation and suggestion of product development of Lycium barbarum in Jingyuan county, Gansu province. Market Modern. 2018, 16, 11–12. [Google Scholar] [CrossRef]
- Wang, X.F.; Xia, J.B. Function of reducing soil salinity and soil improvement of different vegetation types in Yellow River Irrigation area of the Yellow River Delta. J. Soil Water Conserv. 2012, 26, 141–144. [Google Scholar] [CrossRef]
- Li, X.M.; Qi, G.P.; Kang, Y.X.; Wang, J.H.; Cai, L.H.; Zhao, M. Effects of Lycium barbarum intercropping with onobrychis viciaefolia on soil water, soil salt transport, and yield of L. barbarum in different salinized soils. Bull. Soil Water Conserv. 2020, 40, 51–57. [Google Scholar] [CrossRef]
- Bulut, S.; Çaglar, Ö.; Öztürk, A. Effects of sowing dates and seeding rates on nitrogen and water-use efficiency of facultative wheat. Gesunde Pflanz. 2022, 74, 291–301. [Google Scholar] [CrossRef]
- GB/T18672-2014; China National Standardization Administration (Wolfberry). Standards Press of China: Beijing, China, 2014.
- GB/T18672; National Standard of the People’s Republic of China (Wolfberry). General Administration of Quality Supervision, Inspection and Quarantine of the People’s Republic of China: Beijing, China, 2014.
- Li, H.S. Experimental Principles and Techniques of Plant Physiology and Biochemistry; Higher Education Press: Beijing, China, 2000. [Google Scholar]
- Zhao, S.T.; Shi, S.L.; Li, X.L.; Li, W.; Zhang, X.Y. Application of TOPSIS based on entropy weight to screen soil sustainable systems suitable for corn rotation in the Arid Region of Central Gansu. Acta. Agrestia. Sinica. 2019, 27, 997–1005. [Google Scholar] [CrossRef]
- Ma, J.; Luo, Z.Z.; Niu, Y.N. Effects of water and nitrogen levels on photosynthetic characteristics and water utilization of spring wheat. Crop Res. 2020, 34, 308–314. [Google Scholar] [CrossRef]
- Mao, H.P.; Jin, C.; Chen, Y. Research progress and prospect on control methods of greenhouse environment. Trans. Chin. Soci. Agric. Machin. 2018, 49, 1–13. [Google Scholar] [CrossRef]
- Gao, Y.L.; Qi, G.P.; Ma, Y.L.; Yin, M.H.; Wang, J.H.; Wang, C.; Tian, R.R.; Xiao, F.; Lu, Q.; Wang, J.J. Regulation effects of water and nitrogen on yield, water, and nitrogen-use efficiency of wolfberry. J. Arid Land 2024, 16, 29–45. [Google Scholar] [CrossRef]
- Song, Y.C.; Chen, X.L.; Ren, X.L.; Gao, X.D. Combined effects of regulated deficit irrigation and reduced nitrogen fertilization on yield and growth of Chinese wolfberry. Acta Agric. Borea.-Occident. Sin. 2019, 28, 1666–1673. [Google Scholar] [CrossRef]
- Ma, Z.H.; Yin, J.; Yang, Y.P.; Sun, F.B.; Yang, Z. Effect of water and nitrogen coupling regulation on the growth, physiology, yield, and quality attributes and comprehensive evaluation of wolfberry (Lycium barbarum L.). Front. Plant Sci. 2023, 14, 1130109. [Google Scholar] [CrossRef]
- Kamran, M.; Yan, Z.A.; Chang, S.H.; Ning, J.; Lou, S.N.; Ahmad, I.; Ghani, M.U.; Arif, M.; El Sabagh, A.; Hou, F.J. Interactive effects of reduced irrigation and nitrogen fertilization on resource use efficiency, forage nutritive quality, yield, and economic benefits of spring wheat in the arid region of Northwest China. Agric. Water Manag. 2023, 275, 108000. [Google Scholar] [CrossRef]
- Zhang, J.X.; Bei, Z.G.; Zhang, Y.; Cao, K. Growth characteristics, water and nitrogen use efficiencies of spinach in different water and nitrogen levels. Sains Malays. 2014, 43, 1665–1671. [Google Scholar]
- Yang, Y.P.; Yin, J.; Ma, Z.H.; Wei, X.D.; Sun, F.B.; Yang, Z. Water and nitrogen regulation effects and system optimization for potato (Solanum tuberosum L.) under film drip irrigation in the dry zone of Ningxia China. Agronomy 2023, 13, 308. [Google Scholar] [CrossRef]
- Stamatiadis, S.; Tsadilas, C.; Samaras, V.; Schepers, J.S.; Eskridge, K. Nitrogen uptake and N-use efficiency of mediterranean cotton under varied deficit irrigation and N fertilizer. Eur. J. Agron. 2016, 73, 144–151. [Google Scholar] [CrossRef]
- Li, X.X.; Liu, H.G.; He, X.L.; Gong, P.; Lin, E. Water-nitrogen coupling and multi-objective optimization of cotton under mulched drip irrigation in arid northwest China. Agronomy 2019, 9, 894. [Google Scholar] [CrossRef]
- Kong, Q.H.; Li, G.Y.; Wang, Y.H.; Huo, H.X. Bell pepper response to surface and subsurface drip irrigation under different fertigation levels. Irrig. Sci. 2012, 30, 233–245. [Google Scholar] [CrossRef]
- Wang, L.; Dong, S.T.; Liu, P.; Zhang, J.W.; Zhao, B. Effects of water and nitrogen interaction on physiological and photosynthetic characteristics and yield of winter wheat. J. Soil Water Conserv. 2018, 32, 301–308. [Google Scholar] [CrossRef]
- Ma, K.; Wang, Z.H.; Wang, T.Y.; Zong, R.; Wang, D.W. Effects of water and nitrogen coupling on photosynthetic characteristics and yield of film mulching cotton under brackish water drip irrigation. Acta Agric. Borea.-Occident. Sinica. 2022, 31, 559–568. [Google Scholar] [CrossRef]
- Gao, C.M.; Yang, Y.H.; He, F.; Han, W.F.; Wang, X.F.; Wu, J.C. Effects of water-nitrogen coupling on photosynthetic characteristics, irrigation water use characteristics and yield in winter wheat under different irrigation technologies. Acta Agric. Borea.-Occident. Sinica. 2020, 35, 72–80. [Google Scholar] [CrossRef]
- Hoffmann, B.; Varga, B.; Nagy, E.; Hoffmann, S.; Darkó, É.; Tajti, J.; Janda, T. Effects of nitrogen and water deficiency on agronomic properties, root characteristics and expression of related genes in soybean. Agronomy 2023, 11, 1329. [Google Scholar] [CrossRef]
- Marty, B.; Almayrac, M.; Barry, P.H.; Bekaert, D.V.; Broadley, M.W.; Byrne, D.J.; Ballentine, C.J.; Caracausi, A. An evaluation of the C/N ratio of the mantle from natural CO2-rich gas analysis: Geochemical and cosmochemical implications. Earth Planet. Sci. Lett. 2020, 551, 116574. [Google Scholar] [CrossRef]
- Zheng, R.; Kang, S.Z.; Hu, X.T.; Li, S.S. Effects of water and nitrogen conditions on the diurnal variation of photosynthesis characteristic and yield of grapevine in arid oasis region. Trans. Chin. Soc. Agric. Eng. 2013, 29, 133–141. [Google Scholar] [CrossRef]
- Dong, J.S.; Shen, X.J.; Li, Q.; Xue, Z.; Hou, X.F.; Miao, H.C.; Ning, H.F. Irrigation and fertilization scheduling for peanut cultivation under mulched drip irrigation in a desert-oasis area. Plants 2024, 13, 144. [Google Scholar] [CrossRef] [PubMed]
- Wang, H.D.; Wu, L.F.; Cheng, M.H.; Fan, J.L.; Zhang, F.C.; Zou, Y.F.; Chau, H.W.; Gao, Z.J.; Wang, X.K. Coupling effects of water and fertilizer on yield, water and fertilizer use efficiency of drip-fertigated cotton in northern Xinjiang, China. Field Crop. Res. 2018, 219, 169–179. [Google Scholar] [CrossRef]
- Fu, S.N.; Wei, X.G.; Zheng, S.Y.; Wu, L.L.; Li, B.; Wang, T.L. Effects of integrated management of water and fertilizer on the physiological characteristics and water-fertilizer use efficiency of grapes in greenhouse. Trans. Chin. Soc. Agric. Eng. 2021, 37, 61–72. [Google Scholar] [CrossRef]
- Zhang, Y.S.; Yang, H.S.; Ge, X.L.; Zhang, R.F.; Zhang, M.W.; Gao, X.; Li, Y.Y. Effects of water and nitrogen management on yield and benefit of maize under the shallow buried drip irrigation in Xiliaohe plain. J. North Agric. Sci. 2023, 48, 32–36. [Google Scholar] [CrossRef]
- Li, J.S.; Yang, Z.Q.; Wang, M.T.; Wei, T.T.; Zhao, H.L.; Jiang, M.Y.; Sun, Q.; Huang, Q.Q. Effect of water and nitrogen coupling on nitrogen metabolism enzyme activities in grapevine seedling leaves. Chin. J. Agrometeorol. 2019, 40, 369–379. [Google Scholar] [CrossRef]
- Liu, P.Z.; Li, M.H.; Song, Y.C.; Yang, D.; Gao, X.D.; Ren, X.L.; Chen, X.L. Effects of fertigation on yield, water and nitrogen utilization and economic productivity benefit of wolfberry (Lycium barbarum L.). Plant Nutr. Fert. Sci. 2021, 27, 1820–1828. [Google Scholar] [CrossRef]
- Liao, Q.; Ding, R.S.; Du, T.S.; Kang, S.Z.; Tong, L.; Li, S. Stomatal conductance drives variations of yield and water use of maize under water and nitrogen stress. Agric. Water Manag. 2022, 268, 107651. [Google Scholar] [CrossRef]
- Yan, W.K.; Fregeau-Reid, J.; Ma, B.L.; Pageau, D.; Vera, C. Nitrogen fertilizer complements breeding in improving yield and quality of milling oat. Crop Sci. 2017, 57, 3291–3302. [Google Scholar] [CrossRef]
- Wu, K.; Wang, S.S.; Song, W.Z.; Zhang, J.Q.; Wang, Y.; Liu, Q.; Yu, J.P.; Ye, Y.F.; Li, S.; Chen, J.F.; et al. Enhanced sustainable green revolution yield via nitrogen-responsive chromatin modulation in rice. Science 2020, 367, eaaz2046. [Google Scholar] [CrossRef]
- Zhao, M.; Qi, G.P.; Cai, L.H.; Lai, S.D.; Wang, J.J.; Wang, J.J. Effects of water regulation and planting patterns on growth and water-use efficiency of Lycium barbarum. Agric. Eng. 2021, 11, 75–81. [Google Scholar] [CrossRef]
- Li, X.M.; Qi, G.P.; Kang, Y.X.; Yin, M.H.; Wang, J.H.; Cai, L.H.; Zhao, M.; Lai, S.D. Effects of water deficit on water-use efficiency of red bean grass intercropped with Lycium barbarum. Water Resour. Plan. Des. 2020, 3, 135–140. [Google Scholar] [CrossRef]
- Zhang, Y.C.; Zhang, F.C.; Fan, J.L.; Hou, X.H.; Wang, H.D.; Liu, X.; He, P.R.; Xue, Z.Q. Effects of drip irrigation technical parameters on cotton growth, soil moisture and salinity in Southern Xinjiang. Trans. Chin. Soc. Agric. Eng. 2020, 36, 107–117. [Google Scholar] [CrossRef]
- Li, H.H.; Liu, H.; Gong, X.W.; Li, S.; Pang, J.; Chen, Z.F.; Sun, J.S. Optimizing irrigation and nitrogen management strategy to trade off yield, crop water productivity, nitrogen-use efficiency and fruit quality of greenhouse grown tomato. Agric. Water Manag. 2020, 245, 106570. [Google Scholar] [CrossRef]
- Gao, C.M.; Ding, J.L.; Zhang, J.M.; Jiang, Y.Q.; He, F.; Yang, Y.H.; Wu, J.C. The combined effects of irrigation and nitrogen fertilization on yield and water and nitrogen-use efficiency of summer maize. J. Irrig. Drainage 2022, 41, 44–51. [Google Scholar] [CrossRef]
- Abdalhi, M.A.M.; Cheng, J.; Feng, S.; Yi, G. Performance of drip irrigation and nitrogen fertilizer in irrigation water saving and nitrogen-use efficiency for waxy maize (Zea mays L.) and cucumber (Cucumis sativus L.) under solar greenhouse. Grassl. Sci. 2016, 62, 174–187. [Google Scholar] [CrossRef]
- Hao, K.; Fei, L.J.; Liu, L.H.; Jie, F.L.; Peng, Y.L.; Liu, X.G.; Khan, S.A.; Wang, D.; Wang, X.K. Comprehensive evaluation on the yield, quality, and water-nitrogen-use efficiency of mountain apple under surge-root irrigation in the Loess Plateau based on the improved TOPSIS method. Front. Plant Sci. 2022, 13, 853546. [Google Scholar] [CrossRef] [PubMed]
- Jiang, Y.M.; Li, L.; Cheng, M.Z.; Song, X.T.; Lu, Z.Y.; Sun, Q.; Yin, J. Investigation and analysis of the effect of water and nitrogen coupling on high yield and high efficiency in winter wheat Xinong 979. J. Henan Agric. Univ. 2014, 48, 263–268. [Google Scholar] [CrossRef]
- Yang, Z.; Fei, L.J.; Li, Z.; Peng, Y.L.; Hao, K.; Liu, T. Effects of water-nitrogen coupling under different irrigation techniques on yield and quality of mountain apples and water and fertilizer utilization. J. Soil Water Conserv. 2023, 37, 267–272. [Google Scholar] [CrossRef]
- Song, N.; Wang, F.X.; Yang, C.F.; Yang, K.J. Coupling effects of water and nitrogen on yield, quality and water use of potato with drip irrigation under plastic film mulch. Trans. Chin. Soc. Agric. Eng. 2013, 29, 98–105. [Google Scholar] [CrossRef]
- Kahsay, W.S. Effects of nitrogen and phosphorus on potatoes production in Ethiopia: A review. Cog. Food Agric. 2019, 5, 2–5. [Google Scholar] [CrossRef]
- Ma, B.; Huang, Y.; Tian, J.C. Optimization of irrigation scheduling based on yield-quality multi-index coupling at juvenile stage of Lycium barbarum L. in gravel-mulched field. Agric. Res. Arid Areas 2020, 38, 140–147. [Google Scholar] [CrossRef]
- Li, P.F.; Tan, H.; Wang, J.H.; Yang, P.L. Effect of water and fertilizer conditions under drip irrigation on yield, quality of cherry and physicochemical properties of soil. Trans. Chin. Soc. Agric. Machin. 2017, 48, 236–246. [Google Scholar] [CrossRef]
- Li, M.; Ma, L.; Han, Z.M.; Liu, S.Y.; Huang, Y.X.; Zheng, G.B. Effect of water stress in different growth stages on water consumption characteristics and fruit quality of wolfberry. North Horticult. 2022, 7, 106–113. [Google Scholar] [CrossRef]
- Li, S.B.; Zhou, L.L.; Wu, S.P.; Sun, M.; Ding, G.C.; Lin, S.Z. Effects of different nitrogen forms on nutrient uptake and distribution of Cunninghamia lanceolata plantlets under drought stress. Plant Nutr. Fert. Sci. 2020, 26, 152–162. [Google Scholar] [CrossRef]









| Treatment | Total Sugars (g·100 g−1) | Polysaccharides (g·100 g−1) | Amino Acids (%) | Proteins (g·100 g−1) | Fats (g·100 g−1) |
|---|---|---|---|---|---|
| W0N0 | 46.42 ± 1.20 efg | 4.69 ± 0.17 d | 6.65 ± 0.61 def | 10.45 ± 1.03 def | 1.93 ± 0.31 ab |
| W0N1 | 49.78 ± 1.23 bc | 5.04 ± 0.27 bcd | 7.93 ± 0.73 cde | 12.90 ± 1.17 ab | 1.79 ± 0.09 ab |
| W0N2 | 49.77 ± 1.85 bc | 5.11 ± 0.14 bcd | 9.08 ± 1.05 ab | 13.94 ± 0.68 a | 1.89 ± 0.18 ab |
| W0N3 | 48.89 ± 0.44 cd | 5.12 ± 0.43 bc | 8.65 ± 0.49 abc | 13.01 ± 1.13 ab | 1.94 ± 0.05 ab |
| W1N0 | 48.66 ± 1.20 de | 3.71 ± 0.22 f | 6.66 ± 1.08 def | 11.64 ± 0.47 bcd | 1.84 ± 0.40 ab |
| W1N1 | 50.94 ± 1.27 ab | 5.34 ± 0.20 b | 6.78 ± 1.00 def | 12.30 ± 1.17 bc | 2.00 ± 0.33 ab |
| W1N2 | 52.63 ± 0.84 a | 5.74 ± 0.20 a | 7.29 ± 1.02 cde | 12.78 ± 1.03 ab | 2.13 ± 0.09 a |
| W1N3 | 48.86 ± 0.67 cd | 4.26 ± 0.30 e | 8.22 ± 0.41 bcd | 10.77 ± 0.31 cde | 1.92 ± 0.11 ab |
| W2N0 | 45.26 ± 0.60 fg | 3.95 ± 0.09 ef | 5.42 ± 0.87 g | 9.54 ± 1.14 efg | 1.79 ± 0.76 ab |
| W2N1 | 47.17 ± 0.42 def | 4.93 ± 0.29 bcd | 6.60 ± 1.07 def | 11.56 ± 1.03 bcd | 1.95 ± 0.30 ab |
| W2N2 | 47.66 ± 0.92 de | 4.87 ± 0.17 cd | 8.18 ± 1.06 bcd | 10.48 ± 0.85 def | 1.90 ± 0.10 ab |
| W2N3 | 47.14 ± 1.33 defg | 4.09 ± 0.17 ef | 10.09 ± 1.10 a | 9.91 ± 0.33 ef | 1.89 ± 0.20 ab |
| W3N0 | 45.01 ± 1.11 g | 3.79 ± 0.19 f | 5.45 ± 0.93 g | 8.87 ± 0.90 fg | 1.46 ± 0.35 b |
| W3N1 | 45.94 ± 1.17 efg | 4.09 ± 0.15 ef | 6.23 ± 1.06 efg | 9.34 ± 0.78 efg | 1.68 ± 0.29 ab |
| W3N2 | 46.64 ± 0.92 efg | 4.05 ± 0.20 ef | 6.80 ± 0.01 def | 9.06 ± 0.65 fg | 1.59 ± 0.28 ab |
| W3N3 | 45.76 ± 1.59 efg | 3.71 ± 0.29 f | 5.89 ± 1.12 fg | 8.12 ± 0.70 g | 1.56 ± 0.09 ab |
| Analysis of variance | |||||
| W | ** | ** | * | ** | * |
| N | ** | ** | ns | ** | ns |
| W × N | ns | ** | ns | * | ns |
| Treatment | Total Income (×104 CNY·ha−1) | Total Cost (×104 CNY·ha−1) | Net Income (×104 CNY·ha−1) | Input–Output Ratio |
|---|---|---|---|---|
| W0N0 | 6.40 ± 0.33 f | 1.98 ± 0.00 h | 4.42 ± 0.33 fg | 3.23 ± 0.17 fg |
| W0N1 | 7.37 ± 0.64 de | 2.02 ± 0.01 f | 5.35 ± 0.65 de | 3.65 ± 0.33 de |
| W0N2 | 8.88 ± 0.44 ab | 2.06 ± 0.01 d | 6.82 ± 0.44 ab | 4.32 ± 0.20 ab |
| W0N3 | 8.00 ± 0.56 cd | 2.11 ± 0.01 a | 5.89 ± 0.55 cd | 3.79 ± 0.25 cd |
| W1N0 | 6.68 ± 0.28 ef | 1.96 ± 0.00 i | 4.72 ± 0.28 ef | 3.41 ± 0.14 ef |
| W1N1 | 7.72 ± 0.25 cd | 2.01 ± 0.01 f | 5.70 ± 0.25 cd | 3.83 ± 0.13 cd |
| W1N2 | 9.44 ± 0.47 a | 2.04 ± 0.00 e | 7.41 ± 0.47 a | 4.64 ± 0.23 a |
| W1N3 | 8.47 ± 0.47 bc | 2.09 ± 0.00 b | 6.38 ± 0.47 bc | 4.05 ± 0.23 bc |
| W2N0 | 6.12 ± 0.49 fg | 1.94 ± 0.00 j | 4.18 ± 0.49 fg | 3.15 ± 0.25 fg |
| W2N1 | 6.56 ± 0.14 f | 1.98 ± 0.00 h | 4.58 ± 0.14 fg | 3.31 ± 0.07 ef |
| W2N2 | 7.94 ± 0.30 cd | 2.02 ± 0.00 f | 5.92 ± 0.30 cd | 3.93 ± 0.15 cd |
| W2N3 | 7.53 ± 0.62 d | 2.07 ± 0.00 c | 5.46 ± 0.62 de | 3.63 ± 0.30 de |
| W3N0 | 4.93 ± 0.38 h | 1.92 ± 0.00 k | 3.01 ± 0.38 i | 2.57 ± 0.20 h |
| W3N1 | 5.08 ± 0.50 h | 1.96 ± 0.00 i | 3.12 ± 0.50 hi | 2.59 ± 0.26 h |
| W3N2 | 5.43 ± 0.42 gh | 2.00 ± 0.00 g | 3.43 ± 0.43 hi | 2.71 ± 0.21 h |
| W3N3 | 5.93 ± 0.09 fg | 2.06 ± 0.01 c | 3.87 ± 0.10 gh | 2.87 ± 0.05 gh |
| Analysis of variance | ||||
| W | ** | ** | ** | ** |
| N | ** | ** | ** | ** |
| W×N | * | * | * | * |
| Treatment | Irrigation Amount | Nitrogen Application Rate | Total Sugars | Polysac-Charides | Amino Acids | Proteins | Fats | Yield | IWUE | WUE | PFPN | ANUE | Net Income |
|---|---|---|---|---|---|---|---|---|---|---|---|---|---|
| W0N0 | 0.346 | 0.000 | 0.243 | 0.256 | 0.226 | 0.237 | 0.262 | 0.224 | 0.152 | 0.166 | 0.000 | 0.000 | 0.213 |
| W0N1 | 0.317 | 0.134 | 0.260 | 0.276 | 0.269 | 0.292 | 0.244 | 0.258 | 0.191 | 0.212 | 0.445 | 0.352 | 0.259 |
| W0N2 | 0.284 | 0.267 | 0.260 | 0.279 | 0.309 | 0.316 | 0.258 | 0.310 | 0.256 | 0.248 | 0.268 | 0.447 | 0.330 |
| W0N3 | 0.300 | 0.401 | 0.256 | 0.280 | 0.294 | 0.294 | 0.264 | 0.280 | 0.219 | 0.242 | 0.161 | 0.193 | 0.285 |
| W1N0 | 0.294 | 0.000 | 0.244 | 0.203 | 0.226 | 0.264 | 0.251 | 0.234 | 0.186 | 0.198 | 0.000 | 0.000 | 0.228 |
| W1N1 | 0.299 | 0.134 | 0.266 | 0.292 | 0.230 | 0.278 | 0.273 | 0.270 | 0.212 | 0.228 | 0.466 | 0.375 | 0.276 |
| W1N2 | 0.241 | 0.267 | 0.275 | 0.314 | 0.247 | 0.289 | 0.290 | 0.330 | 0.322 | 0.330 | 0.285 | 0.500 | 0.358 |
| W1N3 | 0.255 | 0.401 | 0.255 | 0.233 | 0.279 | 0.244 | 0.261 | 0.296 | 0.273 | 0.289 | 0.171 | 0.215 | 0.308 |
| W2N0 | 0.242 | 0.000 | 0.237 | 0.216 | 0.184 | 0.216 | 0.244 | 0.214 | 0.207 | 0.221 | 0.000 | 0.000 | 0.202 |
| W2N1 | 0.222 | 0.134 | 0.247 | 0.269 | 0.224 | 0.262 | 0.265 | 0.229 | 0.243 | 0.232 | 0.396 | 0.158 | 0.221 |
| W2N2 | 0.199 | 0.267 | 0.249 | 0.266 | 0.278 | 0.237 | 0.259 | 0.278 | 0.327 | 0.321 | 0.240 | 0.328 | 0.286 |
| W2N3 | 0.210 | 0.401 | 0.246 | 0.223 | 0.343 | 0.224 | 0.258 | 0.263 | 0.295 | 0.263 | 0.152 | 0.170 | 0.264 |
| W3N0 | 0.190 | 0.000 | 0.235 | 0.207 | 0.185 | 0.201 | 0.198 | 0.172 | 0.212 | 0.225 | 0.000 | 0.000 | 0.145 |
| W3N1 | 0.174 | 0.134 | 0.240 | 0.224 | 0.211 | 0.211 | 0.228 | 0.178 | 0.240 | 0.244 | 0.307 | 0.057 | 0.151 |
| W3N2 | 0.156 | 0.267 | 0.244 | 0.221 | 0.231 | 0.205 | 0.216 | 0.207 | 0.311 | 0.286 | 0.179 | 0.182 | 0.166 |
| W3N3 | 0.165 | 0.401 | 0.239 | 0.203 | 0.200 | 0.184 | 0.212 | 0.190 | 0.270 | 0.236 | 0.109 | 0.061 | 0.187 |
Disclaimer/Publisher’s Note: The statements, opinions and data contained in all publications are solely those of the individual author(s) and contributor(s) and not of MDPI and/or the editor(s). MDPI and/or the editor(s) disclaim responsibility for any injury to people or property resulting from any ideas, methods, instructions or products referred to in the content. |
© 2024 by the authors. Licensee MDPI, Basel, Switzerland. This article is an open access article distributed under the terms and conditions of the Creative Commons Attribution (CC BY) license (https://creativecommons.org/licenses/by/4.0/).
Share and Cite
Gao, Y.; Wang, J.; Ma, Y.; Yin, M.; Jia, Q.; Tian, R.; Kang, Y.; Qi, G.; Wang, C.; Jiang, Y.; et al. Appropriate Water and Nitrogen Regulation Improves the Production of Wolfberry (Lycium barbarum L.). Agronomy 2024, 14, 607. https://doi.org/10.3390/agronomy14030607
Gao Y, Wang J, Ma Y, Yin M, Jia Q, Tian R, Kang Y, Qi G, Wang C, Jiang Y, et al. Appropriate Water and Nitrogen Regulation Improves the Production of Wolfberry (Lycium barbarum L.). Agronomy. 2024; 14(3):607. https://doi.org/10.3390/agronomy14030607
Chicago/Turabian StyleGao, Yalin, Jinghai Wang, Yanlin Ma, Minhua Yin, Qiong Jia, Rongrong Tian, Yanxia Kang, Guangping Qi, Chen Wang, Yuanbo Jiang, and et al. 2024. "Appropriate Water and Nitrogen Regulation Improves the Production of Wolfberry (Lycium barbarum L.)" Agronomy 14, no. 3: 607. https://doi.org/10.3390/agronomy14030607
APA StyleGao, Y., Wang, J., Ma, Y., Yin, M., Jia, Q., Tian, R., Kang, Y., Qi, G., Wang, C., Jiang, Y., & Li, H. (2024). Appropriate Water and Nitrogen Regulation Improves the Production of Wolfberry (Lycium barbarum L.). Agronomy, 14(3), 607. https://doi.org/10.3390/agronomy14030607

