An Evaluation System of the Modernization Level of Irrigation Districts with an Analysis of Obstacle Factors: A Case Study for North China
Abstract
1. Introduction
2. Materials and Methods
2.1. Index System
- (1)
- There are four third-level indicators for efficient water conservation, including the water conservation project, water resource allocation, planting structure, and the water conservation mechanism. The indicators for the water conservation project include A11 and A12. They reflect the degree of coverage of irrigation district water sources and the coverage of highly efficient water conservation irrigation techniques. Water resource allocation mainly represents the efficiency and rationality of water resource utilization. It comprehensively considers water resource consumption from water sources to crops and lifts the ecological water supply to be parallel to the agricultural water supply to support the water ecological function of irrigation districts. The indicators in this section are the irrigation water use efficiency factor (A21) and the ecological water demand satisfaction rate (A22). For A22, the ecological water demand volume is measured by each irrigation district’s management bureau based on their own situation and mainly includes large-scale greenbelt water demand, river and lake replenishment within the irrigation district, groundwater recharge, and others. The indicator for planting structure is used to express the relative proportion of different plants. Furthermore, an area comparison between grain crops and cash crops will reveal the balance between grain production and agricultural economic development, which is represented by A31. The indicator for the water conservation mechanism includes A41 and A42, which represent the mechanism’s perfection degree in terms of rewards and penalties. For water users whose water consumption does not exceed the water quota in a certain year, the irrigation district management bureau will provide corresponding water conservation bonuses. However, owing to various reasons, these rewards are often difficult to fully implement; this indicator can fully reflect the implementation of water conservation policies in the irrigation district.
- (2)
- Perfect infrastructure includes four third-level indicators: water source engineering, water delivery and distribution engineering, field engineering, and drainage engineering. These indicators were established to measure the infrastructure development level of irrigation district canals and drainage ditches and can be quantified by the intact rate and matching rate during the process of modernization. The ten fourth-level indicators are B11 and B12 (for water source engineering); B21, B22, B23, and B24 (for delivery and distribution engineering); B31 and B32 (for field engineering); and B41 and B42 (for drainage engineering). High-Standard Farmland is a construction project supervised by the Chinese Agricultural Department and it has had a significant impact on the water use efficiency at the field scale. Due to limited past investments, some irrigation districts have not yet completed the construction of all drainage facilities; B42 is used to measure the ratio of built drainage facilities to all drainage facilities that should be built at a specific time point.
- (3)
- Scientific management includes two third-level indicators: normalization and standardization management and water consumption order. The normalization and standardization management considers dedicated administrators (C11, C12), funds and support (C14, C15), and grassroots water user association development (C13). The index of water consumption order should reflect water measurements, the collection of water charges, and information technology supporting the above tasks. The corresponding indicators are C21, C22, and C23. Information technology is used to collect water fees through precise measurements, ultimately improving the water management efficiency of irrigation district management bureaus.
- (4)
- The indicators related to good ecology should fully reflect the ecological service function of the irrigation district. There are two third-level indicators: the irrigation district residential environment composed of the forest cover rate (D11) and the water area rate (D12), and landscape service, which consists of the comfort level near water (D21) and is used to evaluate the satisfaction level of residents concerning the leisure and entertainment services provided by the water landscape, which reflects the ecological service function of the irrigation district. The landscape water quality compliance rate (D22) and the water ecological monitoring system coverage rate (D23) are automatically measured by water quality monitoring systems installed in backbone canal systems and drainage ditches to avoid water pollution.
2.2. Methods
2.2.1. AHP Method
2.2.2. OWA Operator Based on Stakeholders
2.2.3. TOPSIS Method
- (1)
- The determination of the evaluation objects. The panel data for 2020 and 2025 in the 4 irrigation districts were selected as the objects. The 2020 data were from actual investigation while the 2025 data were from planning data based on development predictions.
- (2)
- The establishment of an evaluation matrix. m represents the number of evaluation objects. m is equal to 8, since each irrigation district has two sets of panel data that correspond to the years 2020 and 2025, respectively. Two groups of ideal value are input into the matrix as 2 additional rows. n is the indicator number, and the data matrix is as follows:
- (3)
- The determination of the positive ideal and negative ideal solutions.For the positive ideal solution,For the negative ideal solution,where xm+2,j is the worst value of the jth indicator that was planned for the 4 irrigation districts for 2020.
- (4)
- The standardization of matrix X. The standardization process is as follows:For the profitability indicator,where j = 1, 2, 3, …, n.For the cost indicator,where j = 1,2,3, …, n.Then, the standardized matrix is
- (5)
- The construction of weighted matrix Y.where represents the final weight of ith indicator and .
- (6)
- The establishment of the weighted normalization matrix Z.where .
- (7)
- The calculation of the relative closeness of each irrigation district. The distance of the 4 irrigation districts from the positive ideal and negative ideal solutions can be obtained as follows:where i = 1, 2, …, m.The relative closeness of the irrigation districts iswhere Di is between 0 and 1. The larger the value, the better the modernization level of the corresponding evaluation object. Based on previous studies [69,70], the relative closeness can be divided into 5 grades, which are used to represent different phases in the process of modernization (Table 3).
2.2.4. Obstacle Factor Diagnosis Model
3. Application
3.1. Study Areas
3.2. Data Collection
4. Results
4.1. Weighting Results
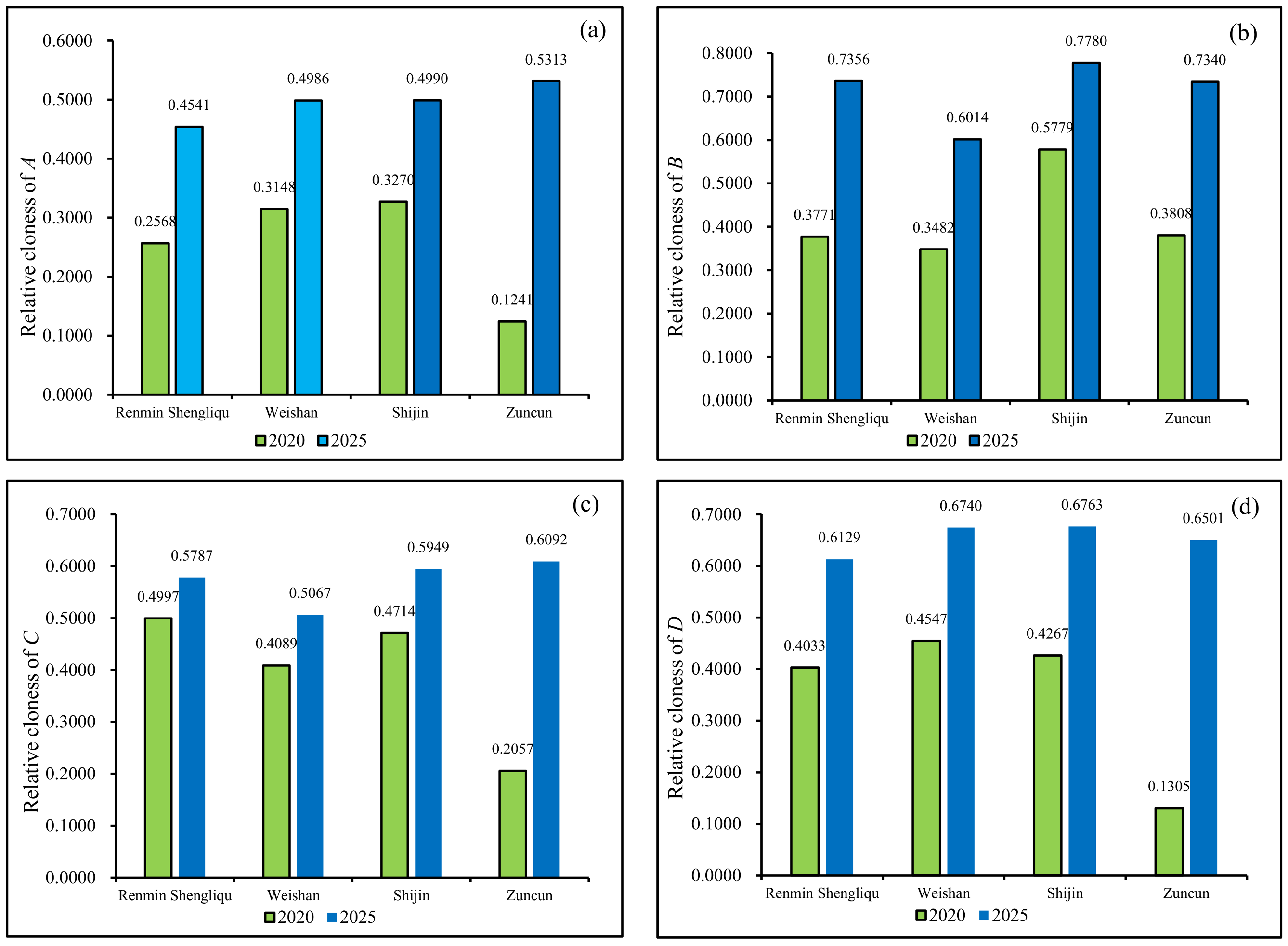
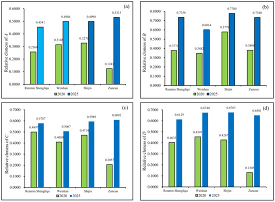
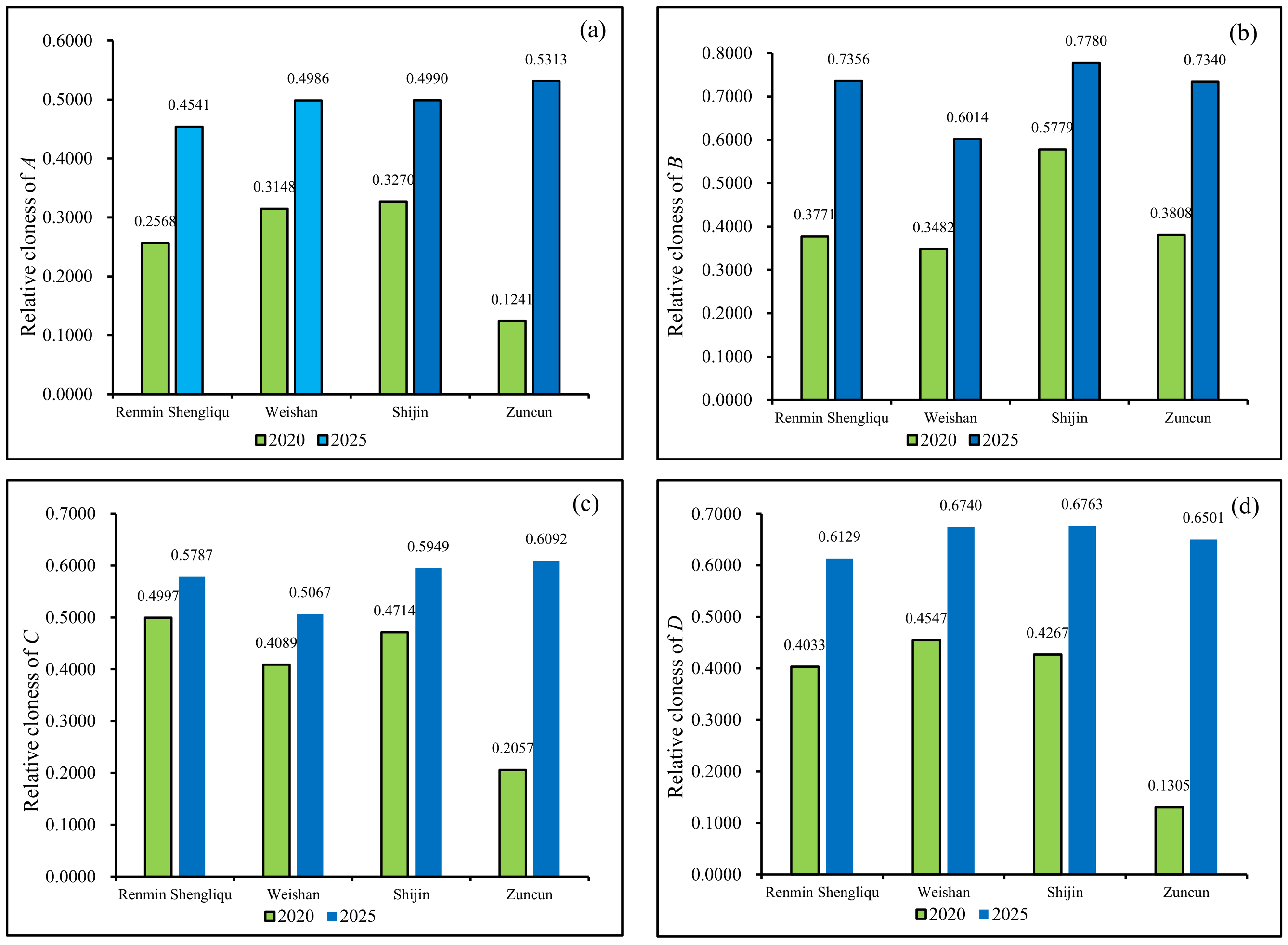
4.2. Evaluation Results
4.3. Determination of Obstacle Factors
- (1)
- Inefficient utilization of water resources. All four irrigation districts have a large coverage area and a long canal network, coupled with perennial heavy load running, which resulted in a low anti-seepage rate and canal system damage; for example, the Renmin Shengliqu Irrigation District’s water use efficiency factor merely reached 0.456 in 2020.
- (2)
- Insufficient informatization support. There have been varying degrees of exploration on informatization construction, but limited investment and an immature mode have resulted in low informatization levels, which appear as fragmented flow measurement systems and poor analysis and decision-making systems. Weishan only established a flow automatic monitoring system at some backbone canal nodes, and its overall informatization coverage rate was only 11% in 2020.
- (3)
- Inadequate application of high-efficiency water conservation irrigation technology. Water resource shortages are the biggest problem faced by irrigation districts in this region, so promoting efficient water conservation irrigation technology is an effective method to alleviate the contradiction between water supply and demand. Groundwater overextraction is a serious problem in Hebei Province, where the Shijin Irrigation District is located, and in view of this, spreading efficient water conservation irrigation technologies plays an important role in the modernization of Shijin, which will also become a key limiting factor affecting the modernization level.
- (4)
- Incomplete fields and matching facilities. The High-Standard Farmland Project can effectively solve the “Last One Kilometer” problem of irrigation districts and improve the overall water efficiency by improving field infrastructure. Typical examples include Zuncun, where, due to the limitations caused by its construction scale and corresponding industrial administration, it is difficult to form an effective connection between High-Standard Farmland and the irrigation district, leading to difficulties in achieving project benefits and reducing water resource waste.
- (5)
- Unsatisfying water ecosystem service functions. In recent years, constructing ecological irrigation districts has been a hot topic in the industry due to the increasing needs of local residents for irrigation districts’ ecological service function. Among the four irrigation districts, only Renmin Shengliqu has built a green ecological corridor along both sides of the main canal in the urban section to satisfy the residents’ need for entertainment. Moreover, the district has incorporated water ecosystem rehabilitation and water culture protection into its modernization process in order to enhance the ecological service function.
5. Discussion
6. Conclusions and Recommendations
6.1. Conclusions
- (1)
- In 2020, the modernization level of the four irrigation districts ranged from 0.2343 to 0.4493, corresponding to the modernization stage of the preparation phase (Zuncun) and the beginning phase (Renmin Shengliqu, Weishan, and Shijin). By 2025, the modernization level is expected to be in the range of 0.5396 to 0.6169, and the four irrigation districts will enter into the initial implementation phase together.
- (2)
- In North China, low irrigation water efficiency and unsound management systems are the two key obstacle factors that restrict irrigation district development. It is noteworthy that ecological function will become increasingly important with growing obstacle degrees for the four irrigation districts in the future, but it will not be a top priority.
- (3)
- In order to improve the modernization level, Renmin Shengliqu is recommended to continue to increase the irrigation water use efficiency factor, complete the upgrade of headworks before 2025, and promote ecological construction to meet the needs of residents after 2025. Weishan is recommended to prioritize water conservation and improve the management level by strengthening informatization construction. Shijin, similar to Weishan, should promote efficient water-conserving irrigation techniques. For Zuncun, improving the canal network is a precondition to increase the effective irrigation area and consolidate the irrigation foundation. In addition, establishing a complete management system is also essential for Zuncun.
- (4)
- A comprehensive evaluation system for irrigation districts was developed by designing an index system, subjective weighting using group decision-making, TOPSIS-based quantitative evaluation, and diagnosing the main obstacle factors. The present study can aid in irrigation district construction and administration.
- (5)
- With the increased promotion of irrigation district modernization, related evaluation research will inevitably be required to play an increasingly important leading role; how to guide the development of relevant industry standards and norms is predicted to become a research hotspot in the future.
6.2. Recommendations
- (1)
- We should continuously and deeply promote water conservation construction around irrigation districts. Water resources have always been a rigid constraint on the economic and social development of the region; irrigated districts are major water users for agriculture or even whole sectors, and the modernization of irrigation districts is bound to play an important role in alleviating the contradiction between the supply and demand of water resources in this area. The study results indicate that improving irrigation and drainage facilities and strengthening water use management for the purpose of water conservation are key to improving the modernization level of the irrigation district. More concretely, the water conservation construction is advised to focus on canal lining and management systems supported by information technology.
- (2)
- We should promote ecological construction using scientific evidence. Significant social benefits and hidden economic benefits can lead to long-term investments in irrigated districts, especially in North China. While undertaking heavier production and water conservation tasks, the ecological construction of an irrigation district must be rationally planned in space and time. To be specific, in the near future, ecological construction can be carried out in the form of small-scale pilot programs in eligible irrigation districts, and the suggested ecological construction includes completed channels or water storage projects. From a long-term perspective, the proposed ecological construction needs a mature process before it can be widely promoted.
- (3)
- We should promote the construction of a comprehensive evaluation system which can guide real-world practices. The results of this study show that there are certain differences between the problems faced by the four irrigation districts, which will probably produce differences in the modernization content; therefore, it is necessary to implement corresponding specific assessments. For example, the evaluation of the completeness of irrigation and drainage facilities is advisable for the Zuncun Irrigation District, and an environmental impact assessment of irrigation district modernization concerning groundwater is recommended for the Shijin Irrigation District.
Author Contributions
Funding
Data Availability Statement
Conflicts of Interest
Appendix A




References
- Zhou, Y.; Zhang, X.; Chen, Y.; Li, H. An Optimisation–Evaluation Framework for the Sustainable Management of the Water–Energy–Food Nexus for an Irrigation District under Uncertainty. Agronomy 2023, 13, 1714. [Google Scholar] [CrossRef]
- Pan, G.; Jiang, L.; Yang, Q. Study on the Appraisal Method for Sustainable Developmentof Large-Medium Sized Irrigation District. J. Irrig. Drain. 2004, 23, 37–40. [Google Scholar] [CrossRef]
- Ma, T.; Chi, D.; Wang, D.; Shi, L.; Wu, Q. Evaluation of sustainable development for irrigation district based on set pair analysis. J. Shenyang Agric. Univ. 2007, 38, 841–844. [Google Scholar] [CrossRef]
- Wang, S.; Fei, L.; Lei, Y. Comparative Study of Two Combination Weighting Method Applied to Benefit Evaluation of Water Saving and Improvement in Irrigation District. Bull. Soil Water Conserv. 2009, 29, 138–142. [Google Scholar] [CrossRef]
- Zhang, H.M.; Li, Z.B.; Yao, W.Y.; Jing, M. Multi-hierarchy and multi-objective fuzzy method for evaluation of water saving reform and irrigation district reconstruction effect. J. Hydraul. Eng. 2008, 39, 212–217. [Google Scholar] [CrossRef]
- Gongalves, J.M.; Pereira, L.S.; Fang, S.X.; Dong, B. Modelling and multicriteria analysis of water saving scenarios for an irrigation district in the upper Yellow River basin. Agric. Water Manag. 2007, 94, 93–108. [Google Scholar] [CrossRef]
- Chen, X.Z.; Thorp, K.R.; van Oel, P.R.; Xu, Z.C.; Zhou, B.; Li, Y.K. Environmental impact assessment of water-saving irrigation systems across 60 irrigation construction projects in northern China. J. Clean Prod. 2020, 245, 10. [Google Scholar] [CrossRef]
- Lei, B.; Liu, Y.; Du, L.; Wang, L.; Peng, Z. Primary Research on Integrated Evaluation of Environment Impacts by Water-saving Improvement in Irrigation Districts. J. Irrig. Drain. 2011, 30, 100–103. [Google Scholar] [CrossRef]
- Zhang, Q.; Diao, Y.F.; Yang, G.Y.; Peng, Z.G.; Wang, G.; Zhang, P.; Pan, J.Y. Study on Health Evaluation of an Ecological Irrigation District in Helan County, China. Water 2021, 13, 3325. [Google Scholar] [CrossRef]
- Fang, Y.; Yang, P.; Song, S.; Du, D.; Xue, Y.; Su, Y. Secondary fuzzy comprehensive evaluation model for ecosystem health of irrigation district and its application. Trans. Chin. Soc. Agric. Eng. 2011, 27, 199–205. [Google Scholar] [CrossRef]
- Yang, Z.; Tian, J.; Feng, K.; Gong, X. Health evaluation of the modern ecological irrigation district using multisource data in Helan County, Ningxia, China. Trans. Chin. Soc. Agric. Eng. 2021, 37, 307–316. [Google Scholar] [CrossRef]
- Deng, J.; Jia, S. Indicators system construction and application of regional water security. Adv. Water Sci. 2022, 33, 48–56. [Google Scholar] [CrossRef]
- Gu, H.; Li, X.; Ren, Y. Comprehensive Evaluation of the Sustainable Utilization of Water Resources in the People’s Victory Canal Irrigation Area. Yellow River 2016, 38, 63–66. [Google Scholar] [CrossRef]
- Wang, M.H.; Shao, G.C.; Meng, J.J.; Chen, C.R.; Huang, D.D. Variable fuzzy assessment of water use efficiency and benefits in irrigation district. Water Sci. Eng. 2015, 8, 205–210. [Google Scholar] [CrossRef]
- Zhang, Y.Q.; Yang, P.L. Agricultural Water Optimal Allocation Using Minimum Cross-Entropy and Entropy-Weight-Based TOPSIS Method in Hetao Irrigation District, Northwest China. Agriculture 2022, 12, 853. [Google Scholar] [CrossRef]
- Sun, H.Y.; Wang, S.F.; Hao, X.M. An Improved Analytic Hierarchy Process Method for the evaluation of agricultural water management in irrigation districts of north China. Agric. Water Manag. 2017, 179, 324–337. [Google Scholar] [CrossRef]
- Zhang, X.Y.; Du, X.F.; Li, Y.B. Comprehensive evaluation of water resources carrying capacity in ecological irrigation districts based on fuzzy set pair analysis. Desalin. Water Treat. 2020, 187, 63–69. [Google Scholar] [CrossRef]
- Liu, Z.; Chen, J.; Chen, D.; Zhang, S.; Li, X.; Zhu, Y.; Li, Y. Evaluation system of water ecological civilization of irrigation area in China. In Proceedings of the IOP Conference Series: Earth and Environmental Science, Taipei, Taiwan, 6–9 March 2016; p. 012054. [Google Scholar] [CrossRef]
- Chai, L.; Zhang, Q.; Xie, J.; Liu, J.; Jiang, R. Dynamic evaluation mode for ecological environment in irrigation based on theme classify and component technology. Trans. Chin. Soc. Agric. Eng. 2017, 33, 174–181. [Google Scholar] [CrossRef]
- Wang, J.T.; Dong, X.L.; Zhang, X.L.; Zhang, X.J.; Tian, L.; Lou, B.Y.; Liu, X.J.; Sun, H.Y. Comparing water related indicators and comprehensively evaluating cropping systems and irrigation strategies in the North China Plain for sustainable production. Ecol. Indic. 2023, 147, 14. [Google Scholar] [CrossRef]
- Zhu, X.T.; Zhang, G.P.; Yuan, K.Y.; Ling, H.B.; Xu, H.L. Evaluation of Agricultural Water Pricing in an Irrigation District Based on a Bayesian Network. Water 2018, 10, 768. [Google Scholar] [CrossRef]
- Liu, J.; Wu, P.; Wang, Y.; Zhao, X.; Cao, X.; Sun, S. Assessment of agricultural productive efficiency for Hetao irrigation district based on data envelopment analysis. Trans. Chin. Soc. Agric. Eng. 2014, 30, 110–118. [Google Scholar] [CrossRef]
- Xu, X.; Yang, L.; Wu, Q.; Gou, W.; Di, Z. The comprehensive evaluation method and application of modernization irrigation district based on variable fuzzy set. China Rural. Water Hydropower 2018, 428, 128–132. [Google Scholar] [CrossRef]
- Fan, X.; Qin, J.; Xu, L.; Liu, S.; Gu, S.; Lyu, M. Construction and empirical analysis of the evaluation index system for the water-saving level of large-sized irrigation districts. Trans. Chin. Soc. Agric. Eng. 2021, 37, 99–107. [Google Scholar] [CrossRef]
- Fei, L.; Sun, J.; Ren, C.; Xie, F. Evaluating projection pursuit model of irrigation district based on ant colony optimization algorithm for continuous domains. J. Drain. Irrig. Mach. Eng. 2014, 32, 631–636. [Google Scholar] [CrossRef]
- Radovanović, M.; Petrovski, A.; Behlić, A.; Perišić, M.; Samopjan, M.; Lakanović, B. Application model of MCDM for selection of automatic rifle. J. Decis. Anal. Intell. Comput. 2023, 3, 185–197. [Google Scholar] [CrossRef]
- Azeroual, O.; Ershadi, M.J.; Azizi, A.; Banihashemi, M.; Abadi, R.E. Data Quality Strategy Selection in CRIS: Using a Hybrid Method of SWOT and BMW. Informatica 2021, 45, 65–80. [Google Scholar] [CrossRef]
- Hwang, C.-L.; Yoon, K. Methods for Multiple Attribute Decision Making. In Multiple Attribute Decision Making Methods and Applications A State-of-the-Art Survey; Springer: Berlin/Heidelberg, Germany, 1981; pp. 58–191. [Google Scholar]
- Gupta, S.; Soni, U.; Kumar, G. Green supplier selection using multi-criterion decision making under fuzzy environment: A case study in automotive industry. Comput. Ind. Eng. 2019, 136, 663–680. [Google Scholar] [CrossRef]
- Moridi, S.S.; Moosavirad, S.H.; Mirhosseini, M.; Nikpour, H.; Mokhtari, A. Prioritizing power outages causes in different scenarios of the global business network matrix. Decis. Mak. Appl. Manag. Eng. 2023, 6, 321–340. [Google Scholar] [CrossRef]
- Watrobski, J.; Baczkiewicz, A.; Ziemba, E.; Salabun, W. Sustainable cities and communities assessment using the DARIA-TOPSIS method. Sustain. Cities Soc. 2022, 83, 103926. [Google Scholar] [CrossRef]
- Zhang, Y.; Zhang, Y.J.; Zhang, H.; Zhang, Y.X. Evaluation on new first-tier smart cities in China based on entropy method and TOPSIS. Ecol. Indic. 2022, 145, 17. [Google Scholar] [CrossRef]
- Saeidi, P.; Mardani, A.; Mishra, A.R.; Cajas, V.E.C.; Carvajal, M.G. Evaluate sustainable human resource management in the manufacturing companies using an extended Pythagorean fuzzy SWARA-TOPSIS method. J. Clean. Prod. 2022, 370, 19. [Google Scholar] [CrossRef]
- Modibbo, U.M.; Hassan, M.; Ahmed, A.; Ali, I. Multi-criteria decision analysis for pharmaceutical supplier selection problem using fuzzyTOPSIS. Manag. Decis. 2022, 60, 806–836. [Google Scholar] [CrossRef]
- Ma, W.W.; Xiao, C.Q.; Ahmed, S.F.; Feng, T.; Liu, G. Multi-objective carbon neutrality optimization and G1-EW-TOPSIS assessment for renewable energy transition. J. Clean Prod. 2023, 415, 14. [Google Scholar] [CrossRef]
- Xiang, K.L.; Zheng, N.; Chen, J.C.; Gao, W. Evaluation and obstacle degree analysis of low-carbon development level in Fujian province-based on entropy weight TOPSIS method. Front. Energy Res. 2022, 10, 11. [Google Scholar] [CrossRef]
- Wang, H.D.; Wang, X.K.; Bi, L.F.; Wang, Y.; Fan, J.L.; Zhang, F.C.; Hou, X.H.; Cheng, M.H.; Hu, W.H.; Wu, L.F.; et al. Multi-objective optimization of water and fertilizer management for potato production in sandy areas of northern China based on TOPSIS. Field Crop. Res. 2019, 240, 55–68. [Google Scholar] [CrossRef]
- Tüysüz, N.; Kahraman, C. An integrated picture fuzzy Z-AHP & TOPSIS methodology: Application to solar panel selection. Appl. Soft. Comput. 2023, 149, 14. [Google Scholar] [CrossRef]
- Opricovic, S.; Tzeng, G.H. Compromise solution by MCDM methods: A comparative analysis of VIKOR and TOPSIS. Eur. J. Oper. Res. 2004, 156, 445–455. [Google Scholar] [CrossRef]
- Chen, W.; Shen, Y.; Wang, Y.A. Evaluation of economic transformation and upgrading of resource-based cities in Shaanxi province based on an improved TOPSIS method. Sustain. Cities Soc. 2018, 37, 232–240. [Google Scholar] [CrossRef]
- Lin, S.S.; Shen, S.L.; Zhang, N.; Zhou, A.N. Comprehensive environmental impact evaluation for concrete mixing station (CMS) based on improved TOPSIS method. Sustain. Cities Soc. 2021, 69, 14. [Google Scholar] [CrossRef]
- Yu, X.J.; Hu, D.S.; Li, N.; Xiao, Y. Comprehensive Evaluation on Teachers’ Knowledge Sharing Behavior Based on the Improved TOPSIS Method. Comput. Intell. Neurosci. 2022, 2022, 2563210. [Google Scholar] [CrossRef]
- Zhao, Y.L.; Deng, C.A.J. Analysis of project benefit of solar energy collection and irrigation system based on AHP. Energy Rep. 2022, 8, 122–130. [Google Scholar] [CrossRef]
- Das, B.; Pal, S.C. Irrigation practices causing vulnerability of groundwater resources in water scarce Goghat-I and II Blocks of Hugli District using MCDA, AHP, Fuzzy logic and novel ensemble models. Adv. Space Res. 2020, 65, 2733–2748. [Google Scholar] [CrossRef]
- Velasco-Muñoz, J.F.; Aznar-Sánchez, J.A.; López-Felices, B.; Balacco, G. Adopting sustainable water management practices in agriculture based on stakeholder preferences. Agric. Econ. 2022, 68, 317–326. [Google Scholar] [CrossRef]
- Chen, Y.; Zhu, B.; Wei, J.; Cui, N.; Zhang, Q.; Feng, Y.; Hu, X.; Gong, D. The comprehensive evaluation model of irrigation operational level based on weighted rank sum ration method—Take the typical irrigation district in Sichuan as an example. China Rural. Water Hydropower 2018, 06, 122–127. [Google Scholar] [CrossRef]
- Zhang, Q.Y.; Qian, H.; Xu, P.P.; Hou, K.; Yang, F.X. Groundwater quality assessment using a new integrated-weight water quality index (IWQI) and driver analysis in the Jiaokou Irrigation District, China. Ecotox. Environ. Safe 2021, 212, 12. [Google Scholar] [CrossRef]
- Hu, J.; Wang, J.; Cheng, Z.; Xue, L.; Gao, K. Development research of the comprehensive evaluating software for operation condition of large-scale irrigation district. Agric. Res. Arid. Areas 2016, 34, 130–137. [Google Scholar] [CrossRef]
- Huang, Y.; Qu, Z. Coupling PCA and GRA-TOPSIS to evaluate water use efficiency of irrigation districts. J. Irrig. Drain. 2021, 40, 119–124. [Google Scholar] [CrossRef]
- Chen, J.F.; Hsieh, H.N.; Do, Q.H. Evaluating teaching performance based on fuzzy AHP and comprehensive evaluation approach. Appl. Soft. Comput. 2015, 28, 100–108. [Google Scholar] [CrossRef]
- Fattahi, R.; Khalilzadeh, M. Risk evaluation using a novel hybrid method based on FMEA, extended MULTIMOORA, and AHP methods under fuzzy environment. Saf. Sci. 2018, 102, 290–300. [Google Scholar] [CrossRef]
- Burak, S.; Samanlioglu, F.; Ülker, D. Evaluation of irrigation methods in Soke Plain with HF-AHP-PROMETHEE II hybrid MCDM method. Agric. Water Manag. 2022, 271, 12. [Google Scholar] [CrossRef]
- Ministry of Water Resources. 2020. Available online: http://nssd.mwr.gov.cn/tzgg/202003/t20200324_1393429.html (accessed on 11 October 2023).
- Saaty, T.L. How to make a decision: The analytic hierarchy process. Interfaces 1994, 24, 19–43. [Google Scholar] [CrossRef]
- Kodihal, S.; Akhtar, M.P. Sustainable Groundwater Recharge Potential Zone Identification: An AHP-OWA Approach Integrating Future Rainfall and Land-Use Projections. Water Resour. Manag. 2023, 38, 1079–1098. [Google Scholar] [CrossRef]
- Liu, C.K.; Gao, F.; Deng, S.X.; Zhang, G.K.; Lee, H.P.; Wang, M.Y. Damage characteristics and evaluation investigation of rigid projectiles penetrating steel-concrete-steel composite targets based on AHP-TOPSIS method. Int. J. Impact Eng. 2024, 185, 17. [Google Scholar] [CrossRef]
- Sotiropoulou, K.F.; Vavatsikos, A.P.; Botsaris, P.N. A hybrid AHP-PROMETHEE II onshore wind farms multicriteria suitability analysis using kNN and SVM regression models in northeastern Greece. Renew. Energy 2024, 221, 119795. [Google Scholar] [CrossRef]
- Saaty, T.L. Some mathematical concepts of the analytic hierarchy process. Behaviormetrika 1991, 18, 1–9. [Google Scholar] [CrossRef]
- Haktanir, E.; Kahraman, C. Integrated AHP & TOPSIS methodology using intuitionistic Z-numbers: An application on hydrogen storage technology selection. Expert Syst. Appl. 2024, 239, 14. [Google Scholar] [CrossRef]
- Yager, R.R. OWA aggregation of multi-criteria with mixed uncertain satisfactions. Inf. Sci. 2017, 417, 88–95. [Google Scholar] [CrossRef]
- Ghosal, S.; Jain, A. Weighted aspect based sentiment analysis using extended OWA operators and Word2Vec for tourism. Multimed. Tools Appl. 2023, 82, 18353–18380. [Google Scholar] [CrossRef]
- García-Zamora, D.; Labella, A.; Rodríguez, R.M.; Martínez, L. Symmetric weights for OWA operators prioritizing intermediate values. The EVR-OWA operator. Inf. Sci. 2022, 584, 583–602. [Google Scholar] [CrossRef]
- Kang, B.Y.; Deng, Y.; Hewage, K.; Sadiq, R. Generating Z-number based on OWA weights using maximum entropy. Int. J. Intell. Syst. 2018, 33, 1745–1755. [Google Scholar] [CrossRef]
- Li, W.W.; Yi, P.T.; Li, L.Y. Competitive behavior induced OWA operator and the weighting method. Int. J. Intell. Syst. 2021, 36, 4001–4015. [Google Scholar] [CrossRef]
- Zhao, H.; Ma, S.B.; Bu, Z.H. Constructing a Risk-Sharing Framework for Sponge City PPP Projects from the Perspective of the Individual Participant. Adv. Civ. Eng. 2020, 2020, 8832664. [Google Scholar] [CrossRef]
- Taylan, O.; Kabli, M.R.; Saeedpoor, M.; Vafadarnikjoo, A. Commentary on ‘Construction projects selection and risk assessment by Fuzzy AHP and Fuzzy TOPSIS methodologies’. Appl. Soft. Comput. 2015, 36, 419–421. [Google Scholar] [CrossRef]
- Zyoud, S.H.; Fuchs-Hanusch, D. A bibliometric-based survey on AHP and TOPSIS techniques. Expert Syst. Appl. 2017, 78, 158–181. [Google Scholar] [CrossRef]
- Lima, F.R.; Osiro, L.; Carpinetti, L.C.R. A comparison between Fuzzy AHP and Fuzzy TOPSIS methods to supplier selection. Appl. Soft. Comput. 2014, 21, 194–209. [Google Scholar] [CrossRef]
- Zhang, Z.X.; Li, Y.J.; Elahi, E.; Wang, Y.M. Comprehensive Evaluation of Agricultural Modernization Levels. Sustainability 2022, 14, 5069. [Google Scholar] [CrossRef]
- Bian, J.; Ren, H.; Liu, P.; Zhang, Y. Sustainable Urbanization Performance Evaluation Based on “Origin” and “Modernization” Perspectives: A Case Study of Chongqing, China. Int. J. Environ. Res. Public Health 2018, 15, 1714. [Google Scholar] [CrossRef]
- Chen, Y.; Zhu, M.K.; Lu, J.L.; Zhou, Q.; Ma, W.B. Evaluation of ecological city and analysis of obstacle factors under the background of high-quality development: Taking cities in the Yellow River Basin as examples. Ecol. Indic. 2020, 118, 10. [Google Scholar] [CrossRef]
- Gao, Z. Technical achievement and prospection in irrigation scheme development and management in China. J. Hydraul. Eng. 2019, 50, 88–96. [Google Scholar] [CrossRef]







| 2nd-Level Indicator | 3rd-Level Indicator | 4th-Level Indicator | Unit | Source(s) | Property |
|---|---|---|---|---|---|
| Efficient water conservation A | Water conservation project A1 | Proportion of efficient water conservation irrigation area A11 | % | [16,24] | Positive |
| Proportion of effective irrigated area A12 | % | MWR | Positive | ||
| Water resource allocation A2 | Irrigation water use efficiency factor A21 | no unit | MWR | Positive | |
| Ecological water demand satisfaction rate A22 | % | MWR, [18,24] | Positive | ||
| Planting structure A3 | Area ratio between grain crops and cash crops A31 | no unit | [16] | Positive | |
| Water conservation mechanism A4 | Implementation level of water conservation rewards A41 | % | MWR, [16] | Positive | |
| Collection rate of higher water bills A42 | % | MWR | Positive | ||
| Perfect infrastructure B | Water source engineering B1 | Matching rate of water source engineering B11 | % | MWR | Positive |
| Intact rate of water source engineering B12 | % | MWR | Positive | ||
| Water delivery and distribution engineering B2 | Lining rate of backbone canal system B21 | % | MWR, | Positive | |
| Intact rate of backbone canal system B22 | % | MWR | Positive | ||
| Matching rate of backbone canal system structures B23 | % | MWR | Positive | ||
| Intact rate backbone canal system structures B24 | % | MWR | Positive | ||
| Field engineering B3 | Matching rate of field channel facilities B31 | % | MWR | Positive | |
| Proportion of High-Standard Farmland area B32 | % | [7,16] | Positive | ||
| Drainage engineering B4 | Intact rate of drainage facilities B41 | % | MWR | Positive | |
| Matching rate of drainage facilities B42 | % | MWR | Positive | ||
| Scientific management C | Normalization and standardization management C1 | Number of dedicated administrators per 1000 ha C11 | 1000 ha−1 | MWR | Negative |
| Proportion of dedicated administrators with junior college degrees or above C12 | % | [16] | Positive | ||
| Coverage proportion of water user associations C13 | % | MWR | Positive | ||
| Implementation rate of personnel funds C14 | % | MWR, [14,16] | Positive | ||
| Implementation rate of maintenance funds C15 | % | MWR, [13,14] | Positive | ||
| Water consumption order C2 | Proportion of water charge collection C21 | % | MWR | Positive | |
| Flow rate in lateral canal entrance C22 | % | MWR, [12] | Positive | ||
| Coverage proportion of information technology C23 | % | MWR | Positive | ||
| Good ecology D | Residential environment D1 | Proportion of forest cover D11 | % | [10,11] | Positive |
| Proportion of water area D12 | % | [9] | Positive | ||
| Landscape service D2 | Comfort level near water D21 | % | MWR | Positive | |
| Landscape water quality compliance rate D22 | % | MWR | Positive | ||
| Water ecological monitoring system coverage rate D23 | % | MWR, [9,11] | Positive |
| m | 1 | 2 | 3 | 4 | 5 | 6 | 7 | 8 | 9 | 10 | 11 | 12 | 13 |
|---|---|---|---|---|---|---|---|---|---|---|---|---|---|
| RI | 0 | 0 | 0.58 | 0.90 | 1.12 | 1.24 | 1.32 | 1.41 | 1.45 | 1.49 | 1.51 | 1.54 | 1.56 |
| Relative Closeness | Modernization Phase |
|---|---|
| (0, 0.3000) | Preparation phase |
| [0.3000, 0.5000) | Beginning phase |
| [0.5000, 0.7000) | Initial implementation phase |
| [0.7000, 0.9000) | Basic realization phase |
| [0.9000, 1.0) | Developed phase |
| District | Designed Irrigation Area (104 Hectares) | Water Source(s) | Intake Type(s) | Water Carriage Mode | Main Soil Type |
|---|---|---|---|---|---|
| Renmin Shengliqu | 99,200 | Yellow River | Artesian diversion | Canal system | Loam, sandy soli |
| Zuncun | 110,667 | Yellow River | Electric pumping | Canal system | Clay loam, sandy loam |
| Shijin | 162,667 | Gangnan Reservoir, groundwater | Water storage irrigation, well irrigation | Canal system | Loam, sandy loam |
| Weishan | 338,667 | Yellow River | Artesian diversion | Canal system | Loam, sandy loam |
| District | Wheat | Maize | Rice | Peanut | Cotton | Fruit | Vegetable |
|---|---|---|---|---|---|---|---|
| Renmin Shengliqu | 69% | 61% | 12% | 10% | 9% | 8% | 12% |
| Shijin | 70% | 70% | 0% | 21% | 9% | 0% | 0% |
| Zuncun | 45% | 30% | 0% | 0% | 20% | 30% | 5% |
| Weishan | 75% | 66% | 0% | 5% | 5% | 0% | 0% |
| Stakeholder Type | No. | Department Type | Current Role | Years of Experience |
|---|---|---|---|---|
| Policymaker | 1 | Official water administrative department | Chief engineer | 24 |
| Manager | 2 | Specialized management organization | Head of organization | 21 |
| 3 | Specialized management organization | Head of organization | 20 | |
| 4 | Specialized management organization | Project manager | 16 | |
| 5 | Specialized management organization | Project manager | 23 | |
| 6 | Contracting company | Construction manager | 17 | |
| 7 | Contracting company | Construction manager | 13 | |
| Researcher | 8 | University | Professor | 18 |
| 9 | University | Professor | 17 | |
| 10 | University | Associate professor | 9 | |
| 11 | Research institute | Senior researcher | 28 | |
| 12 | Research institute | Senior researcher | 22 | |
| 13 | Research institute | Associate researcher | 9 | |
| 14 | Research institute | Senior researcher | 12 | |
| 15 | Research institute | Senior researcher | 13 | |
| Producer | 16 | Water user association | Head of WUA | 10 |
| 17 | Water user association | Head of WUA | 13 | |
| 18 | Water user association | Head of WUA | 8 | |
| 19 | Water user association | Head of WUA | 15 | |
| 20 | Water user association | Member of WUA | 14 | |
| 21 | Water user association | Member of WUA | 9 | |
| 22 | Water user association | Member of WUA | 11 |
| 2nd-Level Indicator | 3rd-Level Indicator | 4th-Level Indicator | Managers | Researchers | Producers | Final Weight |
|---|---|---|---|---|---|---|
| A | A1 | A11 | 0.0295 | 0.0357 | 0.0254 | 0.0306 |
| A12 | 0.0773 | 0.0626 | 0.0391 | 0.0652 | ||
| A2 | A21 | 0.0579 | 0.1012 | 0.0466 | 0.0686 | |
| A22 | 0.0116 | 0.0354 | 0.0084 | 0.0181 | ||
| A3 | A31 | 0.0256 | 0.0216 | 0.0948 | 0.0383 | |
| A4 | A41 | 0.0114 | 0.0345 | 0.0280 | 0.0217 | |
| A42 | 0.0206 | 0.0490 | 0.0118 | 0.0274 | ||
| B | B1 | B11 | 0.0370 | 0.0250 | 0.0410 | 0.0342 |
| B12 | 0.0229 | 0.0200 | 0.0303 | 0.0235 | ||
| B2 | B21 | 0.0421 | 0.0276 | 0.0342 | 0.0362 | |
| B22 | 0.0303 | 0.0221 | 0.0205 | 0.0259 | ||
| B23 | 0.0454 | 0.0254 | 0.0410 | 0.0385 | ||
| B24 | 0.0261 | 0.0193 | 0.0297 | 0.0248 | ||
| B3 | B31 | 0.0207 | 0.0210 | 0.0569 | 0.0280 | |
| B32 | 0.0285 | 0.0329 | 0.0381 | 0.0318 | ||
| B4 | B41 | 0.0126 | 0.0090 | 0.0156 | 0.0121 | |
| B42 | 0.0173 | 0.0188 | 0.0101 | 0.0163 | ||
| C | C1 | C11 | 0.0173 | 0.0112 | 0.0112 | 0.0143 |
| C12 | 0.0312 | 0.0262 | 0.0141 | 0.0263 | ||
| C13 | 0.0610 | 0.0242 | 0.0415 | 0.0461 | ||
| C14 | 0.0728 | 0.0408 | 0.0095 | 0.0506 | ||
| C15 | 0.0659 | 0.0356 | 0.0184 | 0.0473 | ||
| C2 | C21 | 0.0549 | 0.0389 | 0.0512 | 0.0494 | |
| C22 | 0.0247 | 0.0144 | 0.0343 | 0.0235 | ||
| C23 | 0.0494 | 0.0639 | 0.0896 | 0.0618 | ||
| D | D1 | D11 | 0.0280 | 0.0248 | 0.0164 | 0.0247 |
| D12 | 0.0120 | 0.0164 | 0.0141 | 0.0138 | ||
| D2 | D21 | 0.0205 | 0.0412 | 0.0733 | 0.0373 | |
| D22 | 0.0308 | 0.0346 | 0.0308 | 0.0319 | ||
| D23 | 0.0144 | 0.0667 | 0.0242 | 0.0320 |
| District | Year | Obstacle Factors and Ranking of Obstacle Degree | |||||||
|---|---|---|---|---|---|---|---|---|---|
| 1 | 2 | 3 | 4 | 5 | 6 | 7 | 8 | ||
| Renmin Shengliqu | 2020 | A21 (12.48%) | B11 (6.22%) | C23 (6.15%) | D23 (5.82%) | A12 (5.59%) | A11 (5.56%) | D21 (5.26%) | A42 (4.98%) |
| 2025 | A21 (23.28%) | D21 (9.34%) | C12 (9.07%) | B21 (8.97%) | A31 (8.58%) | A11 (7.20%) | C23 (7.07%) | D23 (6.52%) | |
| Weishan | 2020 | C23 (10.66%) | A21 (8.01%) | C13 (7.48%) | B23 (6.64%) | B21 (6.23%) | D23 (5.52%) | A11 (5.27%) | A42 (4.72%) |
| 2025 | C23 (17.88%) | A21 (12.88%) | B21 (10.72%) | C13 (6.77%) | B23 (6.03%) | D22 (5.87%) | B32 (5.47%) | A12 (4.71%) | |
| Shijin | 2020 | C23 (13.45%) | A21 (11.90%) | D21 (7.26%) | D23 (7.21%) | B32 (7.07%) | A42 (6.16%) | A11 (5.91%) | B31 (4.61%) |
| 2025 | A21 (24.49%) | A11 (13.10%) | D11 (12.26%) | C23 (8.20%) | D21 (7.06%) | C12 (5.95%) | B31 (5.90%) | B32 (4.30%) | |
| Zuncun | 2020 | A12 (7.81%) | C14 (6.05%) | C21 (5.92%) | C15 (5.66%) | C13 (5.52%) | A21 (5.48%) | C23 (4.99%) | A31 (4.58%) |
| 2025 | A31 (31.24%) | D11 (20.12%) | B32 (14.72%) | C12 (11.49%) | D12 (10.77%) | C11 (6.93%) | B22 (3.02%) | B31 (1.73%) | |
Disclaimer/Publisher’s Note: The statements, opinions and data contained in all publications are solely those of the individual author(s) and contributor(s) and not of MDPI and/or the editor(s). MDPI and/or the editor(s) disclaim responsibility for any injury to people or property resulting from any ideas, methods, instructions or products referred to in the content. |
© 2024 by the authors. Licensee MDPI, Basel, Switzerland. This article is an open access article distributed under the terms and conditions of the Creative Commons Attribution (CC BY) license (https://creativecommons.org/licenses/by/4.0/).
Share and Cite
Fan, X.; Qin, J.; Lv, M.; Jiang, M. An Evaluation System of the Modernization Level of Irrigation Districts with an Analysis of Obstacle Factors: A Case Study for North China. Agronomy 2024, 14, 538. https://doi.org/10.3390/agronomy14030538
Fan X, Qin J, Lv M, Jiang M. An Evaluation System of the Modernization Level of Irrigation Districts with an Analysis of Obstacle Factors: A Case Study for North China. Agronomy. 2024; 14(3):538. https://doi.org/10.3390/agronomy14030538
Chicago/Turabian StyleFan, Xichao, Jingtao Qin, Mouchao Lv, and Mingliang Jiang. 2024. "An Evaluation System of the Modernization Level of Irrigation Districts with an Analysis of Obstacle Factors: A Case Study for North China" Agronomy 14, no. 3: 538. https://doi.org/10.3390/agronomy14030538
APA StyleFan, X., Qin, J., Lv, M., & Jiang, M. (2024). An Evaluation System of the Modernization Level of Irrigation Districts with an Analysis of Obstacle Factors: A Case Study for North China. Agronomy, 14(3), 538. https://doi.org/10.3390/agronomy14030538

