Next Article in Journal
The Impact of an Alien Snail Pomacea canaliculata Invading Coastal Saline Soils on Soil Chemical and Biological Properties
Previous Article in Journal
An Evaluation System of the Modernization Level of Irrigation Districts with an Analysis of Obstacle Factors: A Case Study for North China
Previous Article in Special Issue
OsCSN1 Regulates the Growth and Development of Rice Seedlings through the Degradation of SLR1 in the GA Signaling Pathway
 
 
Font Type:
Arial Georgia Verdana
Font Size:
Aa Aa Aa
Line Spacing:
Column Width:
Background:
Article

Influence of Water and Fertilizer Reduction on Sucrose Metabolism in Sugar Beets

1
College of Agronomy, Inner Mongolia Agricultural University, Hohhot 010019, China
2
Inner Mongolia Ulanqab Institute of Agricultural and Forestry Sciences, Ulanqab 012000, China
*
Author to whom correspondence should be addressed.
Agronomy 2024, 14(3), 539; https://doi.org/10.3390/agronomy14030539
Submission received: 29 January 2024 / Revised: 21 February 2024 / Accepted: 5 March 2024 / Published: 6 March 2024

Abstract

Northern China faces water scarcity, restricting water usage in place across Inner Mongolia’s western region. The integrated irrigation and fertilization model for sugar beet is undergoing rapid development and application in production. However, there is a concerning trend in production where the frequency of irrigation and fertilization is being increased blindly, resulting in the wastage of valuable water and fertilizer resources. Limiting water and fertilizer usage is an effective approach to improve sugar beet production efficiency. Sugar beets are a significant sugar crop in China. A split-plot design was employed to examine the impact of reducing water and fertilizer use on sucrose metabolism in sugar beet root. Our study was performed at the Ulanqab Institute of Agricultural and Forestry Sciences in Inner Mongolia from 2022 to 2023. Three levels of fertilization and irrigation were utilized. We investigated the interactions between irrigation and fertilization on sucrose accumulation in sugar beet root. We examined key enzyme activities involved in sucrose metabolism alongside their gene expression levels. The findings suggested that reducing irrigation by 15%, fertilization by 10%, or both irrigation by 15% and fertilization by 10%, increased sucrose concentrations of sugar beets compared to the control group administered conventional water and fertilizer. Over the two-year period, the average sucrose concentration increased by 0.45, 0.57, and 0.65 degrees, respectively, under each treatment. Subsequent research verified that appropriately reducing water and fertilizer can regulate the expression of enzyme genes, thus influencing enzyme activity. Moreover, due to the higher efficiency of enzyme synthesis compared to decomposition, it contributed to an increase in net enzyme activity. These findings suggest that an appropriate reduction of water and fertilizer can improve sucrose synthesis rates and increase the sucrose concentration in sugar beets, providing a theoretical basis for environmentally friendly generation and enhanced efficiency in sugar beet growth.

1. Introduction

Sugar beets (Beta vulgaris L.) are significant sugar crops in China, typically grown across three primary regions: the Northeast, North, and Northwest [1]. Across these regions, North China exhibits the largest sugar beet cultivation area, with Inner Mongolia being the primary production location [2]. High water and fertilizer usage during sugar beet farming [3,4,5,6] causes these two factors to be crucial in achieving high yield and sucrose concentration. To achieve high yields, farmers have continuously increased irrigation and fertilizer usage, leading to issues including water wastage and soil compaction [7,8]. Studies have demonstrated that a suitable reduction in water and fertilizer use can increase crop yield and quality [9,10].
Sugar beets store sugar in their roots, acting as raw materials for sugar production. Sugar metabolism is critical for determining sugar beet quality. Environmental conditions significantly impact the level of sugar metabolism during the growth of sugar beets. Nevertheless, the seedling stage generally possesses low sugar metabolism intensity, causing low levels of monosaccharides and disaccharides in the root, petiole, and leaf. During plant growth, sugar metabolism gradually intensifies, contributing to a corresponding increase in the concentration of sucrose, monosaccharides, and total sugars in various sugar beet organs [11]. Furthermore, sugar concentration is closely tied to the activity of sucrose metabolism enzymes [12,13].
Research has demonstrated that the soluble sucrose concentration of different fleshy fruits increases along with the severity of water deficit stress, and throughout different growth stages [14,15], contributing to the enhancement of fruit quality [16]. For example, it has been shown to increase the sucrose concentration in sweet orange leaves and thus enhance disease resistance [17]. Water deficit can elevate the activity of sucrose synthetase (SS) and sucrose phosphate synthase (SPS) enzymes in tomatoes and goji berries, while reducing invertase (INV) activity during the ripening stage [18,19]. Studies on wheat in Poland and India have shown that water deficiency can increase the activity of SPS [20,21]. Short-term drought stress in sugarcane is positively correlated to sucrose content and the activity of SS/SPS enzymes. However, the functioning of the conversion enzyme has an opposite trend [22]. A study by Liu et al. [23] indicated that a moderate deficit in irrigation during rapid leaf growth significantly elevated the activity of SS enzymes and decreased the activity of SPS enzymes in sugar beet root. Conversely, a severe deficit in irrigation inhibited the activities of SS and SPS enzymes. Genes linked to SPS, SS, and invertase (INVs) also exhibit significant roles in responses to environmental stresses [24,25]. For instance, Lingwu jujube exhibited upregulation of ZjSPS 1, ZjSPS 4, ZjSS 1, and ZjSS 3 gene expression levels following water stress [26]. In contrast, the expression levels of the CWIN, soluble invertase (INV), and CIN genes were lowered in maize [27]. Research on tomatoes in Brazil has demonstrated that SlSPS1, SlCIN3, SlVIN2, and SlCWIN2 are positively regulated under water deficit [28].
Research has suggested that the metabolism of sucrose in different crops is impacted by the availability of nitrogen, phosphorus, and potassium. Under low nitrogen conditions, sucrose increases in tobacco, tomatoes, and Arabidopsis [29,30,31]. Correctly limiting the application of nitrogen fertilizer (60 kg/hm2) can enhance the activity of conversion enzymes in sweet potato root, contributing to an enhancement in sucrose concentration [32,33,34]. Spraying apple leaves with nitrogen fertilizer can augment the activities of SS-I and SPS, enzymes involved in sucrose synthesis [35]. Liu Na et al. [36] uncovered that applying nitrogen fertilizer at a rate of 120–160 kg/hm2 can improve the activities of SS-I and SPS in sugar beet root. Low phosphorus (32 μmol/L) can increase the sucrose concentration of rice [37]. The application of phosphorus fertilizer can improve the activity of vacuolar invertase in cotton, promoting sucrose conversion [38]. Additionally, it can increase SS-I activity in citrus [39]. Low phosphorus stress enhances sucrose hydrolyzing enzyme synthesis in soybean root, accelerating sucrose degradation [40]. Liu et al. [41] demonstrated that an increased application of phosphorus can increase the activity of sucrose phosphate synthase in sugar beet leaves while also increasing the accumulation of sucrose in sugar beet root [42]. Potassium fertilizer has a vital regulatory function in sucrose metabolism [43]. Appropriate potassium treatment can increase the activities of sucrose synthase (SS), sucrose phosphate synthase (SPS), acid invertase (AI), and neutral invertase (NI) in strawberries (360 kg/hm2), melons (800 mg/L), and apples (200 g/plant), promoting the accumulation of soluble sugars in fruits throughout their growth [44,45,46]. KNO3 can enhance the maize to waterlogging stress, increase the activity of neutral conversion enzyme, acid conversion enzyme and sucrose phosphate synthase [47]. An investigation by Liu C et al. [48] found that under potassium deficiency, SPS activity in soybean leaves was reduced while acid invertase activity increased [49]. Additionally, SPS activity decreased in potato leaves (Solanum tuberosum L.) [50]. This study examined the influence of reduced water and fertilizer on sucrose metabolism in sugar beets at varying growth stages by evaluating the sucrose concentration, key enzyme activity, and gene expression. By examining the response of sugar beet root to water and fertilizer at varying growth stages, this study offers a theoretical foundation for enhancing production efficiency and promoting sustainable sugar beet cultivation practices.

2. Materials and Methods

2.1. Experimental Site Description

The experiment was performed at the Inner Mongolia Ulanqab Agricultural and Forestry Science Research Institute (112°27′ E, 40°26′ N) over the course of two consecutive years from 2022 to 2023. This area was selected due to its temperate, arid continental monsoon climate. From May to October of 2022 and 2023, the average high temperatures were 26.9 °C and 27.3 °C, respectively, and the average low temperatures were 4.3 °C and 6.4 °C, respectively. The mean monthly precipitation was 72 mm and 75.2 mm in 2022 and 2023, respectively. The soil type is Latosol and the soil texture is sandy loam. Table 1 outlines the soil nutrient content at the experimental site.

2.2. Experimental Design

Test Materials

The sugar beet variety chosen was IM1162 (the main sugar beet cultivar in the area). The applied fertilizers consisted of urea (N 46%), ammonium dihydrogen phosphate (N 18%, P2O5 46%), and potassium sulfate (K2O 50%).

2.3. Experimental Treatments

This study employed a split-plot design under drip irrigation conditions, utilizing water and fertilizer at normal levels as the control (CK). The primary plots were assigned to treatment according to different fertilizer application rates, and each main plot had varying irrigation levels. Fertilizer application rates were reduced by 10% (F2) and 20% (F1), and irrigation levels were reduced by 15% (W2) and 30% (W1). Each plot was 6 m (length) × 5 m (width) and replicated three times. A planting method of paper-pot cultivation with a row spacing of 50 cm and a plant spacing of 18 cm was employed. Nitrogen (N) fertilizer was initially applied at a rate of 30% as a basal dressing, followed by subsequent applications at rates of 30%, 30%, and 10%. Phosphorus (P) and potassium (K) fertilizers were applied at a rate of 50% as a basal dressing, followed by subsequent applications at rates of 20%, 20%, and 10%. Drip fertigation was conducted using the Venturi system. Initial irrigation was applied following sugar beet transplantation, and subsequent irrigations and fertilizations were conducted 30, 70, and 110 days after transplanting. The irrigation volume was examined using a water meter. The specific irrigation and fertilizer application levels for each treatment are outlined in Table 2. Other field management practices in the experimental area adhered to traditional methods.

2.4. Collection of Plant Samples

Samples were harvested four times during the entire growth period at intervals corresponding to 30 days after transplantation (seedling stage), one week after three irrigation and fertilization treatments, 40 days after transplantation (rapid leaf growth stage), 80 days after transplantation (root and sugar accumulation stage), and 120 days after transplantation (sugar accumulation stage). Each treatment was conducted in three replicates, and three plant roots were chosen from each plot. The samples were flash-frozen in liquid nitrogen and stored at −80 °C in a freezer for subsequent enzyme activity analysis and RNA extraction. Additionally, 100 g of fresh samples was reserved, air-dried, and dried at 80 °C to determine the sucrose concentration.

2.5. Indicators and Methods

2.5.1. Sucrose Concentration Determination

The phenol–sulfuric acid method was used [51] (Li et al., 2012).
Extraction of supernatant: Weigh 50 mg of dried sugar beet root and add 4 mL of 80% ethanol. Place the mixture in a water bath at 80 °C for 40 min, followed by centrifugation at 2500× g for 6 min. Collect the supernatant and repeat the extraction process once. Combine the supernatants and add 10 mg of activated charcoal. Decolorize the solution at 80 °C for 30 min, then bring the volume to 10 mL. The solution is filtered and ready for further analysis.
Determination of sucrose content: Extract 150 μL and then add 150 μL of 2 mol/L NaOH. Place the mixture in a water bath at 100 °C for 5 min; cool, then add 2.1 mL of 10 mol/L HCl and 0.6 mL of 0.1% resorcinol. Shake the solution evenly, heat in a water bath at 80 °C for 10 min, and measure the absorbance at 480 nm after cooling.

2.5.2. Measurement of Sucrose Metabolism Enzyme Activity

Extraction of Sucrose Phosphate Synthase (SPS) and Sucrose Synthase (SS)
Take 1 g of sugar beet root and add it to 3 mL of extraction buffer (100 mM pH = 7.2 Tris-HCL, 10 mM MgCl2, 1 mM EDTA-Na2, 10 mM β-mercaptoethanol, 2% ethylene glycol, 1% PVPP) in a mortar. Quickly grind into a uniform paste, then wash the mortar twice with 2 mL of extraction buffer. Transfer the mixture to a centrifuge tube and centrifuge at 12,000 rpm for 10 min in a low-temperature freezing centrifuge at 4 °C. Take the supernatant for the determination of the activities of sucrose phosphate synthase, sucrose synthase in the synthesis direction, and sucrose synthase in the decomposition direction. All the above procedures are conducted at 4 °C. Medicines are purchased from (Thermo Fisher Scientific Co., Ltd., Shanghai, China).
Determination of Sucrose Phosphate Synthase (SPS) Activity
Reaction mixture: 100 mM/L Tris-HCl at pH 7.2, 10 mM/L MgCl2, 5 mM/L UDPG, 5 mM/L Fru-6-P; 0.1% catechol: dissolve 0.1 g of catechol in 100 mL of 95% ethanol; 30% HCl: mix 83.4 mL concentrated hydrochloric acid (36–37%) with 16.6 mL of water; add 0.1 mL of crude enzyme solution; then, add 0.4 mL of sucrose phosphate synthase reaction mixture; incubate in a 30 °C water bath for 30 min, followed by a 5 min boil in a water bath; cool and add 1 mL of 0.1% catechol and 3.5 mL of 30% HCl, shake well; heat in a 80 °C water bath for 10 min, cool, and measure absorbance at 480 nm. Medicines are purchased from (Thermo Fisher Scientific Co., Ltd., Shanghai, China).
Determination of Sucrose Synthase Activity in the Synthesis Direction (SSII)
Reaction mixture: 100 mM/L Tris-HCl at pH 7.2, 10 mM/L MgCl2, 5 mM UDPG, 5 mM D-fructose; add 0.1 mL of crude enzyme solution; then, add 0.4 mL of sucrose synthase synthesis reaction mixture; incubate in a 30 °C water bath for 30 min, followed by a 5 min boil in a water bath; cool and add 1 mL of 0.1% catechol and 3.5 mL of 30% HCl, shake well; heat in an 80 °C water bath for 10 min, cool, and measure absorbance at 480 nm.
Determination of Sucrose Synthase Activity in the Decomposition Direction (SSI)
Reaction mixture: 100 mM/L Tris-HCl at pH 7.2, 10 mM/L MgCl2, 5 mM UDPG, 5 mM D-sucrose; add 0.1 mL of crude enzyme solution; then, add 0.4 mL of sucrose synthase synthesis reaction mixture; incubate in a 30 °C water bath for 30 min, followed by a 5 min boil in a water bath; cool and add 0.5 mL of 5 mM DNS, then heat in a boiling water bath for 5 min, cool; add 4 mL of distilled water, and measure absorbance at 540 nm.
Extraction of Invertase Enzymes
Take 1 g of pre-cooled sugar beet root in a mortar, add 3 mL of extraction medium (0.05 M/L PBS at pH 7.5, 0.1 mM/L EDTA, 1 mM cysteine, 1 mM/L Na2SO3), quickly grind, wash the mortar with 2 mL of extraction medium and transfer to a centrifuge tube. Centrifuge at 20,000 rpm, 4 °C for 15 min, and take the supernatant for sucrose invertase enzyme assay. All extraction steps are carried out at 4 °C.
Determination of Cytoplasmic Invertase (CINV)
Reaction system: containing 80 mM/L acetate-phosphate buffer at pH 7.5, 100 mM/L sucrose, and 210 μL of crude enzyme solution. React at 37 °C for 30 min, add 490 μL of 3,5-dinitrosalicylic acid (DNS) reagent to stop the reaction, boil in a water bath for 5 min, cool, and measure absorbance at 520 nm.
VINV and CWINV assays are similar to the CINV assay, but the pH of the acetate-phosphate buffer is adjusted to 4.3 and 4.7, respectively. We used methods from Zhu et al. [52], Guo Yan [53], and Xu Chuanqiang et al. [54].

2.5.3. Extraction of Total RNA and Synthesis of cDNA from Sugar Beet

Total RNA was extracted following the instructions of the TransZol Up Plus RNA Kit (ER501), and RNA with a ratio of 2.15 ≥ A260/A280 ≥ 1.95 and A260/A230 ≥ 2.0 was reverse transcribed to produce cDNA, which was diluted five-fold for use. The specific steps were based on work by Yu Chao [55]. Medicines are purchased from (Jiangsu Kangwei Century Biological Technology Co., Ltd., Taizhou, China).

2.5.4. Gene Expression Analysis through qRT–PCR

The cDNA of sugar beet root at four stages was utilized as a template. Actin was used as an internal reference gene, and PerfectStart Green qPCR SuperMix fluorescent dye (Jiangsu Kangwei Century Biological Technology Co., Ltd., Taizhou, China) was included. The amplification procedure consisted of 2 min at 95 °C, followed by 10 s at 95 °C, 10 s at 56 °C, and 1 min at 72 °C for a total of 40 cycles. Each stage included three biological replicates and three technical replicates. The 2−ΔΔCt method was utilized to determine the relative expression of genes [56], and the primer sequences are indicated in Table 3.

2.6. Data Analysis

All data are presented as means and the standard deviation (SD). One-way analysis of variance (ANOVA) and Duncan’s multiple-range test were conducted using SPSS version 20. The significance level applied was p < 0.05. Each experiment comprised three replicates. Statistical analysis was performed using Excel 2019, Origin2021 and GraphPad Prism 6.0 software was applied for graphing.

3. Results

3.1. Effect of Water and Fertilizer Reduction on Sugar Accumulation in Sugar Beet Root

Effect of Water and Fertilizer Reduction on Sucrose Concentration of Sugar Beet Root

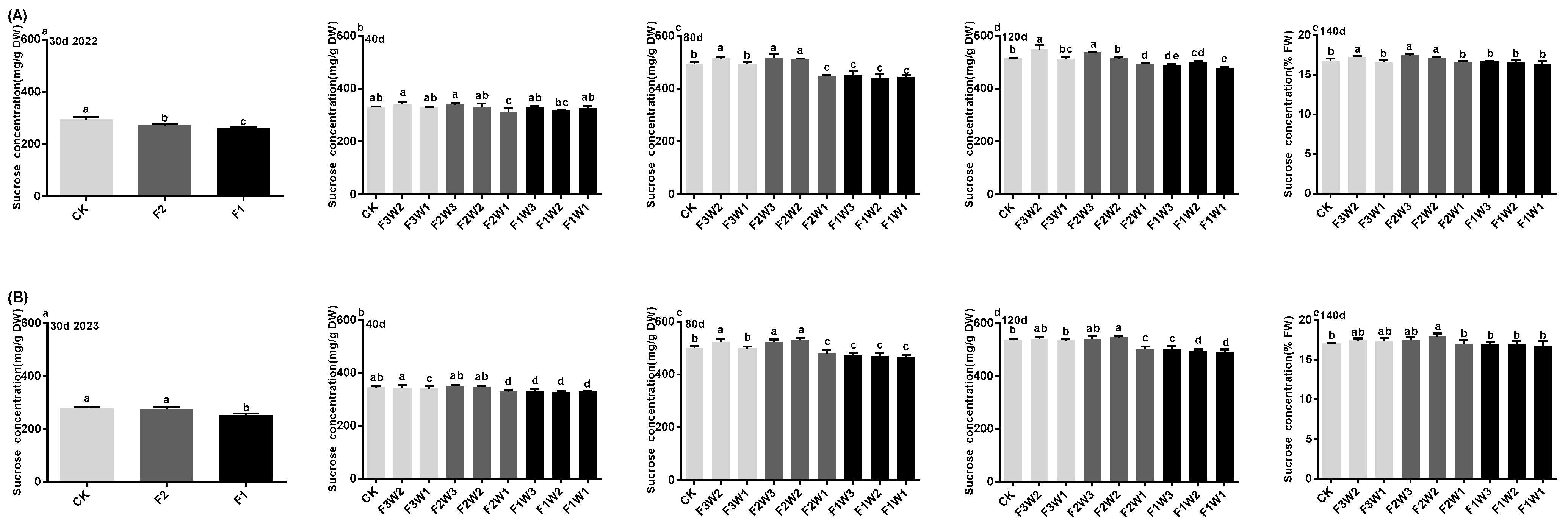
During the early growth stages, the sucrose concentration of sugar beet root is low and gradually increases. After 80 days post-transplantation, the accumulation rate rapidly increases, peaking at 120 days post-transplantation (Figure 1). In 2022 and 2023, under limited water conditions, sucrose accumulation at 40, 80, and 120 days following transplantation was higher with a 15% reduction in irrigation (F3W2) and lower with a 30% reduction in irrigation (F3W1), relative to the conventional water and fertilizer treatment (CK). The trend was consistent over the two years under lowered fertilizer conditions. Reducing fertilizer application caused lower sucrose concentration in the root 30 days after transplantation. However, at 40, 80, and 120 days after transplantation, a 10% reduction in fertilizer application (F2W3) contributed to increased sucrose accumulation relative to the conventional water and fertilizer treatment (CK), with a significant rise 80 days after transplantation. A 20% reduction in fertilizer application (F1W3) at 80 and 120 days following transplantation significantly reduced sucrose accumulation compared to CK. These results indicate that reducing basal fertilizer usage limits early sucrose accumulation, but reducing fertilizer application during the later stages of growth can enhance sucrose accumulation. Under reduced water and fertilizer conditions, a 10% reduction in fertilizer application and a 15% reduction in irrigation (F2W2) 40 days post-transplantation contributed to elevated sucrose accumulation compared to the conventional water and fertilizer treatment (CK), with a significant rise in 2023 80 days post-transplantation. However, other treatments exhibited a decrease beginning 40 days after transplantation. According to the sucrose concentration findings of sugar beet root during the 2022 and 2023 harvest periods, the F3W2 treatment (15% irrigation reduction), F2W3 treatment (10% fertilizer reduction), and F2W2 treatment (15% irrigation reduction and 10% fertilizer reduction) exhibited higher sucrose concentrations relative to the conventional fertilizer treatment (CK). The average increases in sucrose concentration over the two years were 0.45, 0.57, and 0.65 degrees, respectively. Notably, in 2023, there was a significant effect between water and fertilizer interactions, with the F3W2 treatment demonstrating a sucrose concentration increase of 0.87 degrees. These findings demonstrate that an appropriate reduction in water and fertilizer can improve the sucrose concentration of sugar beet root.

3.2. Influence of Water and Fertilizer Reduction on Crucial Enzymes Associated with Sucrose Metabolism in Sugar Beet Root

The concentration of sucrose is closely tied to the activity of enzymes involved in its metabolism. Sucrose phosphate synthase (SPS) is an enzyme catalyzing the synthesis of sucrose using fructose-6-phosphate and uridine diphosphate glucose (UDPG) as substrates [12]. Sucrose synthase (SS) is a reversible enzyme catalyzing the synthesis and degradation of sucrose [13]. During sucrose metabolism, invertase enzymes are necessary for the irreversible hydrolysis of sucrose into fructose and glucose. These enzymes are classified as neutral and acid invertases [12]. The expression level of the SPS gene in the root is positively correlated with its activity. In the root, SPS typically catalyzes the sucrose synthesis and exhibits relatively high expression levels, positively correlated with sugar concentration. In the root, invertase genes exhibit low expression levels and activity [13].

3.2.1. Sucrose Phosphate Synthase

Figure 2A illustrates the SPS activity. Under reduced irrigation conditions, the SPS activity in the F3W2 treatment was significantly elevated compared to the conventional water and fertilizer treatment (CK) at 40 days and 120 days after transplantation. This indicates that limiting irrigation appropriately can encourage an increase in SPS activity and enhance sucrose accumulation. Under limited fertilization conditions, the F2W3 treatment exhibited no significant difference compared to the conventional fertilization treatment CK. However, applying 20% less fertilizer (F1W3) significantly reduced SPS activity in the mid-late stage compared to conventional fertilization treatment (CK). Under conditions of both reduced irrigation and fertilization, SPS activity in the F2W2 treatment was significantly elevated compared to the CK treatment at 80 days after transplantation. In contrast, SPS activity was reduced in the F2W1, F1W2, and F1W1 treatments across all growth stages. In summary, the F3W2 and F2W2 treatments increased SPS activity.
The measurement findings of SPS expression level (Figure 3A) suggested a consistent change between SPS gene expression level and SPS activity across various treatments and growth stages. However, at 30 days, the increase in SPS activity was not significant in the F1 treatment, while the gene expression level exhibited a significant upregulation, indicating that a limited fertilization rate may cause SPS gene expression.

3.2.2. Sucrose Synthase

Figure 2B outlines the results of the SS-II (synthesis direction) activity. Under lowered water and fertilizer exposure, the overall trend of enzyme activity throughout the entire growth period was aligned with conventional water and fertilizer conditions, but differences were present among different water and fertilizer treatments. Specifically, under reduced water conditions, no significant difference in SS-II activity was observed between the F3W2 treatment and the conventional water and fertilizer treatment (CK). However, SS-II activity significantly increased 80 days after transplanting compared to the CK treatment and significantly decreased 120 days after transplanting. Under reduced fertilizer conditions, SS-II activity significantly increased 40 days and 80 days after transplanting in the F2W3 treatment. Furthermore, under reduced water and fertilizer conditions, SS-II activity was significantly higher in the F2W2 treatment compared to the conventional water and fertilizer treatment (CK) 40 days and 80 days after transplanting. These findings indicate that appropriately reducing fertilizer application can elevate SS-II activity.
Figure 2C depicts SS-I (decomposition direction) activity. Under lowered water and fertilizer conditions, the overall activity trend across the entire growth period was similar to that under conventional water and fertilizer conditions, but differences existed among different water and fertilizer treatments. Specifically, under reduced water conditions, no significant difference in SS-I activity was identified between the F3W2 treatment and the conventional water and fertilizer treatment (CK) overall growth stages. However, in the F3W1 treatment, the SS-I activity significantly decreased 40 days and 80 days after transplanting. Under lowered fertilizer conditions, no significant difference in SS-I activity was observed at the later growth stage between the F2W3 treatment and the conventional fertilization treatment (CK). However, in the F1W3 treatment, the SS-I activity significantly increased 120 days after transplanting. Moreover, under reduced water and fertilizer exposure, there was no significant difference in SS-I activity between the F2W2 and F2W1 treatments and the CK treatment 40 days after transplanting. However, in the F1W2 and F1W1 treatments, SS-I activity significantly decreased 40 days and 80 days after transplanting, while it significantly increased 120 days after transplanting. These findings indicate that a 10% reduction in fertilizer application and a 15–30% reduction in irrigation had a limited impact on activity. However, when fertilizer application was reduced by 20%, and irrigation was reduced by 15–30%, there were significant differences across all time periods. Overall, SS-II activity increased 40 days and 80 days after transplanting in the F2W3 and F2W2 treatments, while SS-I activity remained unaffected by water and fertilizer conditions.

3.2.3. Invertase

Cytoplasmic Invertase
The CINV activity findings (Figure 2D) demonstrated that under reduced water and fertilizer conditions, the enzyme activity of sugar beet root remained constant during the entire growth period, exhibiting a similar trend to the conventional fertilization treatment. However, there were differences in enzyme activity changes at various growth stages under different water and fertilizer conditions. Under lowered water conditions, the difference in CINV activity between F3W2 and CK across each growth stage was not significant, except for in F3W1, which exhibited a considerable difference. After 40 days, CINV activity was significantly reduced, while at 80 days and 120 days, it was significantly higher than that of CK. Moreover, under limited fertilizer conditions, a notable difference in CINV activity was observed between each reduced fertilizer treatment and conventional fertilization. Specifically, when the fertilization amount was reduced by 10–20% (F2W3, F1W3), the activity significantly decreased after 40 days, but was significantly higher than that of CK at 80 days and 120 days. Furthermore, under both reduced water and fertilizer conditions, CINV activity at 40 days was significantly lower than that of CK, while at 80 days, all treatments except F2W2 exhibited a significant increase, and at 120 days, all treatments increased significantly. In summary, when the irrigation amount was reduced by 15% (F3W2), the CINV activity was relatively stable compared to that of CK. However, when the fertilization level was reduced, significant differences among treatments were observed, particularly in the late growth period, during which the activity increased significantly.
The results of CINV gene expression levels of cytoplasmic invertase (CINV) (Figure 3B) demonstrated an expression pattern consistent with CINV activity across each stage, but variations existed among treatments. Specifically, after 40 days, significant downregulation of expression level was identified in treatments with a 30% reduction in irrigation (F3W1) or simultaneous 30% and 20% reductions in irrigation and fertilization (F1W1), compared to other treatments. These findings highlight the significant influence of excessive water and fertilizer reduction on gene expression levels.
Vacuolar Acid Invertase
During the growth period (Figure 2E), VINV activity varied under different water and fertilizer treatments. Specifically, under reduced water conditions, VINV activity at 80 days was significantly higher in F3W2 than in CK. Furthermore, under reduced fertilizer conditions, variations were identified in the pattern of changes with reduced fertilization at different growth stages. For example, after 40 days, VINV activity was significantly higher in F2W3 than in CK, and after 120 days, it significantly increased in F1W3. These findings suggest that a 10% reduction in fertilization (F2W3) primarily promoted the early growth of beet root, while an increase in activity during later stages after a 20% reduction in fertilization (F1W3) disfavors sucrose accumulation. Moreover, under both reduced water and fertilizer conditions, VINV activity after 40 days was significantly higher than that in CK, while at 80 days, it was significantly lower. After 120 days, variations in the pattern of changes were observed, with no significant difference in F2W2, while all other treatments exhibited a significant increase in enzyme activity. This suggests that excessive reduction in water and fertilizer can increase enzyme activity, disfavoring sucrose accumulation in the later growth period. Overall, a 15% reduction in irrigation and a 10% reduction in fertilization resulted in lower activity during the later growth period and reduced sucrose decomposition.
The results of vacuolar acid invertase (VINV) gene expression level (Figure 3C) were consistent with the alterations in enzyme activity across each stage.
Cell-Wall Binding Acid Invertase
CWINV primarily acts in sucrose decomposition during the unloading of phloem tissue to maintain a balance between source and sink. While the overall trend of CWINV activity remained unaltered irrespective of different water and fertilizer conditions, variations existed across different growth stages (Figure 2F). Specifically, under lowered water conditions, CWINV activity after 80 days was significantly higher in F3W2 and F3W1 compared to CK, suggesting that lowering water exposure can impact enzyme activity after 80 days and promote sucrose accumulation. Furthermore, under reduced fertilizer conditions, the activity of CWINV in each treatment was significantly elevated compared to in CK after both 40 days and 80 days, indicating that a 10% reduction in fertilization enhanced enzyme activity after 40 days and 80 days. Moreover, under both reduced water and fertilizer conditions, the activity of CWINV in F2W2 was higher than in the other treatments with limited water and fertilizer across various growth stages, and there was no significant difference from that in CK across any other stage. This indicates that an appropriate reduction in water and fertilizer will not influence enzyme activity. In summary, lowering irrigation by 15–30% or reducing fertilization by 10% can increase CWINV activity.
The gene expression level of the cell-wall acid invertase (CWINV) gene results (Figure 3D) indicated that the expression level at each stage was correlated with the observed changes in enzyme activity.

3.3. Correlation Analysis between Sucrose Accumulation and Crucial Enzyme Activities Associated with Its Metabolism

Correlation analysis was conducted by analyzing the sucrose content of sugar beet root and crucial enzyme activities associated with its metabolism at various growth stages. The results demonstrated a strong positive correlation between sucrose content and SSII and SPS, as well as a robust negative correlation with VINV (Figure 4A). Correlation analysis was conducted at different growth stages, and the results exhibited a significant positive correlation between sucrose content and CWINV activity at each stage. Additionally, a strong positive correlation was observed between SPS and SSII activity after 80 days and 120 days, a positive correlation with VINV activity after 80 days, and a negative correlation after 120 days (Figure 4B,C). Moreover, sucrose content negatively correlated with CINV and SSI activity after 80 days and 120 days, respectively. These findings indicate a close relationship between critical enzymes involved in sucrose metabolism and sucrose accumulation. During phloem tissue unloading, CWINV is essential in sucrose decomposition to maintain a balance between source and sink. Moreover, it collaborates with SSII and SPS to enable sucrose accumulation.

4. Discussion

Sucrose concentration is a primary indicator of sugar beet root quality. Appropriate levels of irrigation and fertilization can have different effects on the changes in sucrose concentration. The present study uncovered that reducing irrigation by 15% (F3W2), reducing fertilization by 10% (F2W3), or simultaneously reducing both by 15% and 10%, respectively (F2W2), led to a higher sucrose concentration in harvested sugar beets. This finding aligns with previous studies on sugar beet, tomato, and honey pomelo [14,15,41,57]. Moreover, further analysis exhibited a significant increase in sucrose concentration in the F3W2 and F2W2 treatments after 80 days of root growth and in the F2W3 treatment after 40 days.
Key enzymes involved in sucrose metabolism play essential roles in its storage and accumulation in the sugar beet root. In our study, we identified increased activities of SS (sucrose synthase), SPS (sucrose phosphate synthase), and SSII (sucrose synthase II) in the F3W2, F2W3, and F2W2 treatments relative to the conventional water and fertilizer treatment (CK). Previous studies have demonstrated that limiting irrigation increases the activities of SS (sucrose synthase) and SPS (sucrose phosphate synthase) in tomatoes and goji berries [18,19]. Similarly, optimal fertilization improves the activities of SS and SPS in melons [58], and is consistent with the results of our study. Our findings revealed a higher SSII (sucrose synthase II) activity, involved in sucrose synthesis, compared to SSI (sucrose synthase I), suggesting that sucrose synthase (SS) primarily functions in synthesis. However, research on citrus fruits has revealed differences, showing SS (sucrose synthase) primarily functions in sucrose degradation [59], attributed mainly to the distinctive nature of sugar beet as a sugar crop, which enhances their capacity to accumulate sucrose. Invertase is the primary enzyme responsible for sucrose degradation. It can be classified into two types based on different pH values: acid invertase and neutral/alkaline invertase (CINV). Acid invertase can be further divided into two categories: soluble invertase (VINV) and cell-wall acid invertase (CWINV). This study demonstrated that a 15% reduction in irrigation (F3W2) did not affect CINV activity. However, it did significantly increase VINV and CWINV activities. Previous studies have shown that water deficiency can reduce the activities of neutral invertase and acid invertase in tomatoes and goji berries during the late growth stages [18,19]. The main difference between our study and previous ones is that other crop experiments induced water deficiency as a treatment, which triggered physiological responses in the crops. In contrast, in our study, the reduced irrigation did not induce water stress, leading to these divergent results. This study found that reducing fertilizer application by 10% (F2W3) led to a significant decrease in CINV activity at 40 days but an increase at 80 days. Additionally, VINV and CWINV activities showed an increase. Previous research has demonstrated that the proper application of nitrogen, phosphorus, and potassium fertilizers can enhance invertase activity during the early growth stages of crops, aligning with our findings [30,32,37,43,45]. RT-qPCR analysis further revealed that SPS, CINV, VINV, and CWINV genes are regulated under reduced irrigation and fertilization treatments, impacting their respective enzyme activities.
Furthermore, in our study, we characterized a positive correlation between the sucrose content and the activities of SPS and SSII, alongside a negative correlation with VINV activity. The findings of Shao et al. (2019) and Klotz et al. (2004) in sugar beet [60,61] are consistent with this study, and similar trends were observed in sugarcane, soybean, and apple [20,37,47]. However, correlation analysis across different growth stages revealed a strong positive correlation between the sucrose concentration and CWINV activity after 40, 80, and 120 days. Subsequent research verified the crucial role of CWINV (cell-wall acid invertase) in sucrose unloading, as its activity is closely associated with sucrose input [62]. This finding further supports its significance in sugar beet root. The study revealed that both sucrose synthase and sucrose decomposing enzyme activities increased to varying degrees after appropriate irrigation and fertilization reduction, with the former showing a greater increase than the latter. This enhancement in sucrose synthesis capacity increased sucrose accumulation in sugar beet root. Takayanagi and Yokotsuka (1997) and Zhang et al. (2012) reported that augmenting the activity of sucrose synthesis enzymes enhanced sucrose accumulation throughout tissues [63,64]. These findings provide insights into the mechanisms underlying the elevation of sucrose concentration with limited water and fertilizer treatments.
In the future, further in-depth research could explore the impact of different growth stages on the activity of key enzymes. This will allow for a more precise control of fertilization and irrigation strategies to enhance the efficiency of sucrose synthesis. Furthermore, continued investigation into the expression regulation mechanisms of key enzyme genes, including SPS, SSII, and SAI, as well as their relationship with enzyme activity, could reveal a more intricate regulatory network. These studies aim to provide more scientific and efficient cultivation management schemes for sugar beet production, ultimately increasing sugar beet yield and quality to meet market demands.

5. Conclusions

Reducing irrigation by 15% and fertilizer application by 10% can increase sucrose content in sugar beet root, with the average sucrose concentration increasing by 0.45, 0.57, and 0.65 degrees in F3W2, F2W3, and F2W2, respectively. The sugar accumulation was significantly positively correlated with SPS and SSII, but the enzyme efficiency exhibited differences with various water and fertilizer treatments at diverse growth stages. The elevation in synthetic enzymes outperformed the increase in decomposition enzymes. Moreover, the changes in gene expression analysis of key enzyme genes, including SPS, CINV, VINV, and CWINV, were consistent with enzyme activity. This process promotes sucrose synthesis in sugar beet root, enhancing their storage capacity for sucrose. This study offers a theoretical foundation for enhancing production efficiency and promoting sustainable sugar beet cultivation practices.

Author Contributions

Conceptualization, Y.C. and B.Z.; methodology, Y.C., G.L. and S.Z.; software, Y.C.; validation, S.Z. and G.L.; formal analysis, Y.C.; investigation, P.Z. and H.L.; resources, S.Z.; data curation, B.Z.; writing—original draft preparation, Y.C.; writing—review and editing, Y.C. and S.Z.; visualization, G.L.; supervision, S.Z.; project administration, S.Z. and G.L.; funding acquisition, S.Z. All authors have read and agreed to the published version of the manuscript.

Funding

This research was funded by the National Natural Science Foundation of China, grant number 32160513 and The APC was funded by Shaoying Zhang; China Agriculture Research System, grant number CARS—170201 and The APC was funded by Shaoying Zhang.

Data Availability Statement

The original contributions presented in the study are included in the article, further inquiries can be directed to the corresponding author.

Conflicts of Interest

The authors declare no conflicts of interest.

References

  1. Chen, Y.W.; Li, Y.C.; Yu, L.Y.; Wang, Y.Q.; Ni, H.T. Analysis of the development of beet sugar industry in China’s three major producing areas. Sugar. Crops Chin. 2017, 39, 74–76. [Google Scholar]
  2. Zhou, Y.L.; Li, X.W.; Liu, N.; Zhang, W.B.; Wu, Y.L.; Lu, B.F.; Liu, X.X. Discussion and Analysis on Development of Beet Sugar Industry in Inner Mongolia. Sugar. Crops Chin. 2020, 42, 59–64. [Google Scholar]
  3. Wang, Y.; Zhao, Y.H.; Li, B.; Fan, X.Y. Affecting Factors of Farmers’ Willingness to Adopt Water-saving Technology in Northwest Arid Region of China-Case study of Middle Reaches of Heihe River. Water Saving Irrig. 2012, 11, 50–54. [Google Scholar]
  4. Li, W.J.; Zhang, F.S. Discussion on Rational Application of Nitrogen Fertilizer in Sugar Beet. Sugar. Crops Chin. 2020, 42, 50–56. [Google Scholar]
  5. Szczepaniak, W.; Pepliński, K.; Barłóg, P.; Cyna, K.; Grzebisz, W. Effect of differentiated fertilizing systems on nitrogen accumulation patterns during the growing season-a sugar beet example. J. Element. 2012, 17, 669–688. [Google Scholar] [CrossRef]
  6. Mustafa, M.E. Effect of Nitrogen and Phosphorus Fertilization on the Performance of Three Sugar beet (Beta vulgaris. L) Cultivars. Agric. Food Sci. 2015, 24, 68–83. [Google Scholar]
  7. Zhang, Y.T.; Wang, H.Y.; Lei, Q.L.; Zhang, J.Z.; Zhai, L.M.; Ren, T.Z.; Liu, H.B. Recommended Methods for Optimal Nitrogen Application Rate. Sci. Agric. Sin. 2018, 51, 2937–2947. [Google Scholar]
  8. Bai, X.S.; Lin, M.; Yang, H.Z.; Wang, S.L.; Pan, J.H.; Liu, H.J.; Chen, Y.Q.; Deng, C.H.; Li, C.Y.; Zhou, J.C. Demonstration of Sugar beet Integrated Cultivation Technology for Saving Cost, Stable Yield and Increasing Sugar Production in the Northern of Tianshan Mountain. Sugar. Crops Chin. 2018, 40, 37–40. [Google Scholar]
  9. Turner, N.C. Plant water relations and irrigation management. Agric. Water Manag. 1990, 17, 57–79. [Google Scholar] [CrossRef]
  10. Yan, B.J.; He, X.C.; Zhao, L.M.; Li, K.; Wang, Y.H. Study and Application of Cultivation Practices for Stable Yield and High Sugar Content in Sugar Beet. Sugar. Crops Chin. 2019, 41, 41–46. [Google Scholar]
  11. Li, D.; Wang, Y.; He, L.; Shi, X.Y.; Ma, F.M. Relationship between Sucrose Metabolism Related Enzymes and Sucrose Accumulation in Sugar beet. Crops 2009, 3, 27–31. [Google Scholar]
  12. Shao, K. The Relationship between the Growth of Tuber Root and Sugar Content and Sucrose Metabolizing Enzymes in Sugar Beet (Beta vulgaris L.) and Its Physiological Basis and Practice of Nutritional Regulation. Ph.D. Thesis, Inner Mongolia Agricultural University, Hohhot, China, 2014. [Google Scholar]
  13. Rossouw, D.; Kossmann, J.; Botha, F.C.; Groenewald, J.H. Reduced neutral invertase activity in the culm tissues of transgenic sugarcane plants results in a decrease in respiration and sucrose cycling and an increase in the sucrose to hexose ratio. Funct. Plant Biol. 2010, 37, 22–31. [Google Scholar] [CrossRef]
  14. Ripoll, J.; Urban, L.; Brunel, B.; Bertin, N. Water deficit effects on tomato quality depend on fruit developmental stage and genotype. J. Plant Physiol. 2016, 190, 26–35. [Google Scholar] [CrossRef] [PubMed]
  15. Julie, R.; Laurent, U.; Michael, S.; Félicie, L.; Luc, P.R.B.; Nadia, B. Water shortage and quality of fleshy fruits—Making the most of the unavoidable. J. Exp. Bot. 2014, 65, 4097–4117. [Google Scholar]
  16. Beckles, D.; Hong, N.; Stamova, L.; Luengwilai, K. Biochemical factors contributing to tomato fruit sugar content: A review. Fruits 2012, 67, 49–64. [Google Scholar] [CrossRef]
  17. Da Silva, J.R.; Boaretto, R.M.; Lavorenti, J.A.L.; Dos Santos, B.C.F.; Coletta-Filho, H.D.; Mattos, D. Effects of Deficit Irrigation and Huanglongbing on Sweet Orange Trees. Front. Plant Sci. 2021, 12, 731314. [Google Scholar] [CrossRef] [PubMed]
  18. Qi, H.Y.; Li, T.L.; Zhang, J.; Wang, L.; Chen, Y.H. Effects of Irrigation on Sucrose Metabolism, Dry Matter Distribution and Fruit Quality of Tomato Under Water Deficit. Sci. Agric. Sin. 2004, 37, 1045–1049. [Google Scholar]
  19. Zhang, P.; Zheng, G.Q.; Zheng, G.B.; Zhang, Y.P.; Xu, X. Effects of deficit irrigation on accumulation of sugar and activity of sugar metabolism-related enzymes of Lycium barbarum L. Agric. Res. Arid Areas 2009, 27, 160–163. [Google Scholar]
  20. Niedźwiedź-Siegień, I.; Bogatek-Leszczyńska, R.; Côme, D.; Corbineau, F. Effects of drying rate on dehydration sensitivity of excised wheat seedling shoots as related to sucrose metabolism and antioxidant enzyme activities. Plant Sci. 2004, 167, 879–888. [Google Scholar] [CrossRef]
  21. Kawatra, M.; Kaur, K.; Kaur, G. Effect of osmo priming on sucrose metabolism in spring maize, during the period of grain filling, under limited irrigation conditions. Physiol. Mol. Biol. Plants 2019, 25, 1367–1376. [Google Scholar] [CrossRef]
  22. Yang, S.; Fang, X.; Zhang, Q.Q.; Gong, M.J.; Zhou, H.K.; Mo, J.J. Impacts of drought on sucrose metabolism of sugarcane and its related plants. Jiangsu Agric. Sci. 2023, 51, 94–100. [Google Scholar]
  23. Liu, N.N. Effect of Deficit Irrigation at Leaf Cluster Stage on Source and Sink Characteristics of Drip Irrigation Sugar Beet. Ph.D. Thesis, Shihezi University, Shihezi, China, 2021. [Google Scholar]
  24. Crespi, M.D.; Zabaleta, E.J.; Pontis, H.G.; Salerno, G.L. Sucrose synthase expression during cold acclimation in wheat. Plant Physiol. 1991, 96, 887–891. [Google Scholar] [CrossRef] [PubMed]
  25. Ruan, Y.L. Sucrose metabolism: Gateway to diverse carbon use and sugar signaling. Annu. Rev. Plant Biol. 2014, 65, 33–67. [Google Scholar] [CrossRef] [PubMed]
  26. Chen, L.H.; Yang, X.M.; Jia, H.; Song, L.H. Effects of Elevated Temperature and Drought on Sugar Accumulation, Key Sucrose Enzymes Metabolism and Related Gene Expression in Fruit of Jujube Cultivar Lingwuchangzao. J. Acta Agric. Nucl. Sin. 2020, 34, 2112–2123. [Google Scholar]
  27. Kakumanu, A.; Ambavaram, M.M.; Klumas, C.; Krishnan, A.; Batlang, U.; Myers, E.; Grene, R.; Pereira, A. Effects of drought on gene expression in maize reproductive and leaf meristem tissue revealed by RNA-Seq. Plant Physiol. 2012, 160, 846–867. [Google Scholar] [CrossRef] [PubMed]
  28. Barbosa, A.C.O.; Rocha, D.S., Jr.; Silva, G.C.B.; Santos, M.G.M.; Camillo, L.R.; de Oliveira, P.H.G.A.; Cavalari, A.A.; Costa, M.G.C. Dynamics of the sucrose metabolism and related gene expression in tomato fruits under water deficit. Physiol. Mol. Biol. Plants 2023, 29, 159–172. [Google Scholar] [CrossRef] [PubMed]
  29. Fritz, C.; Palacios-Rojas, N.; Feil, R.; Stitt, M. Regulation of secondary metabolism by the carbon-nitrogen status in tobacco: Nitrate inhibits large sectors of phenylpropanoid metabolism. Plant J. 2006, 46, 533–548. [Google Scholar] [CrossRef]
  30. Urbanczyk-Wochniak, E.; Fernie, A.R. Metabolic profiling reveals altered nitrogen nutrient regimes have diverse effects on the metabolism of hydroponically-grown tomato (Solanum lycopersicum) plants. J. Exp. Bot. 2005, 56, 309–321. [Google Scholar] [CrossRef]
  31. Tschoep, H.; Gibon, Y.; Carillo, P.; Armengaud, P.; Szecowka, M.; Nunes-Nesi, A.; Fernie, A.R.; Koehl, K.; Stitt, M. Adjustment of growth and central metabolism to a mild but sustained nitrogen-limitation in Arabidopsis. Plant Cell Environ. 2009, 32, 300–318. [Google Scholar] [CrossRef]
  32. Du, F.; Liu, H.; Yin, X.; Zhao, Q.; Shi, C. Potassium-mediated regulation of sucrose metabolism and storage root formation in sweet potato. Archi. Agron. Soil Sci. 2020, 67, 703–713. [Google Scholar] [CrossRef]
  33. Si, C.; Shi, C.; Liu, H.; Zhan, X.; Yong, C.L. Effects of nitrogen forms on carbohydrate metabolism and storage-root formation of sweet potato. J. Plant Nutr. Soil Sci. 2018, 181, 419–428. [Google Scholar] [CrossRef]
  34. Chen, X.G.; Ding, Y.F.; Tang, Z.H.; Wei, M.; Shi, X.M.; Zhang, A.J.; Li, H.M. Suitable nitrogen rate for storage root yield and quality of sweet potato. J. Plant Nutr. Fertil. 2015, 21, 979–986. [Google Scholar]
  35. Wen, Z.J.; Guo, Y.P.; Zhang, W.; Mao, H.Y.; Liang, J. Effect of Different Levels of Nitrogen Spraying on Dynamic Changes of Starch, Sugar and Activities of Related Enzymes in Apple Fruits. Acta Agric. Boreali-Occident. Sin. 2018, 27, 846–853. [Google Scholar]
  36. Liu, N.; Song, B.Q.; Yan, Z.S.; Fan, Y.J.; Yang, J. Effect of Nitrogen Application on the Content of Soluble Sugar and Key Enzyme Activities in Sugar Metabolism of Sugar Beet. Chin. Agric. Sci. Bull. 2015, 31, 183–189. [Google Scholar]
  37. Park, M.R.; Baek, S.H.; de Los Reyes, B.G.; Yun, S.J.; Hasenstein, K.H. Transcriptome profiling characterizes phosphate deficiency effects on carbohydrate metabolism in rice leaves. J. Plant Physiol. 2012, 169, 193–205. [Google Scholar] [CrossRef]
  38. Li, H.; Wang, J.; Huang, X.; Zhou, Z.; Wang, S.; Hu, W. Phosphate fertilization promotes fiber elongation by affecting sucrose inversion, K+ accumulation, and malate synthesis in cotton fiber. Field Crops Res. 2023, 303, 109–119. [Google Scholar] [CrossRef]
  39. Wu, S.; Li, M.; Zhang, C.; Tan, Q.; Yang, X.; Sun, X.; Pan, Z.; Deng, X.; Hu, C. Effects of phosphorus on fruit soluble sugar and citric acid accumulations in citrus. Plant Physiol. Biochem. 2021, 160, 73–81. [Google Scholar] [CrossRef]
  40. Li, H.Y.; Xu, L.T.; Li, J.X.; Lyu, X.C.; Li, S.; Wang, C.; Wang, X.L.; Ma, C.M.; Yan, C. Multi-omics analysis of the regulatory effects of low-phosphorus stress on phosphorus transport in soybean roots. Front. Plant Sci. 2022, 13, 992036. [Google Scholar] [CrossRef] [PubMed]
  41. Liu, N.; Zhou, Q.; Yu, H.B. Influence of Nitrogenous and Phosphorus Fertilizer on Sucrose Metabolizing Enzyme Activities in Sugar beet Leaf. Sugar. Crops Chin. 2006, 28, 30–33. [Google Scholar]
  42. Bai, R.X.; Fan, S.J.; He, H.X.; Luo, J.J.; Cui, Y. Effects of different nitrogen and phosphorus fertilizer application rates on growth, physiology, yield and quality of sugar beet. Jiangsu Agric. Sci. 2022, 50, 117–124. [Google Scholar]
  43. Beckles, D.M. Factors affecting the postharvest soluble solids and sugar content of tomato (Solanum lycopersicum L.) fruit. Postharvest Biol. Technol. 2012, 63, 129–140. [Google Scholar] [CrossRef]
  44. Hua, M.Y.; Song, L.F.; Cui, S.J.; Tong, Y.N.; Tong, Y.N.; Yang, X.L. Effect of Potassium Fertilizer Treatment on Sugar Accumulation and Related Enzyme Activities in Strawberry Fruits. North. Hortic. 2019, 16, 38–43. [Google Scholar]
  45. Lester, G.E.; Jifon, J.L.; Makus, D.J. Supplemental foliar potassium applications with or without a surfactant can enhance netted muskmelon quality. HortScience 2006, 41, 741–744. [Google Scholar] [CrossRef]
  46. Zhang, W. Effect of Potassium on Apple Fruit Quality and Its Relationship with Trehalose 6-Phosphate Metabolism Pathway. Ph.D. Thesis, Northwest A&F University, Xi’an, China, 2017. [Google Scholar]
  47. Goyal, K.; Kaur, K.; Kaur, G. Foliar treatment of potassium nitrate modulates the fermentative and sucrose metabolizing pathways in contrasting maize genotypes under water logging stress. Physiol. Mol. Biol. Plants 2020, 26, 899–906. [Google Scholar] [CrossRef] [PubMed]
  48. Liu, C.; Tu, B.; Li, Y.; Tian, B.; Zhang, Q.; Liu, X.; Herbert, S. Potassium Application Affects Key Enzyme Activities of Sucrose Metabolism during Seed Filling in Vegetable Soybean. Crop Sci. 2017, 57, 2707–2717. [Google Scholar] [CrossRef]
  49. Huber, S.C. Biochemical basis for effects of k-deficiency on assimilate export rate and accumulation of soluble sugars in soybean leaves. Plant Physiol. 1982, 76, 424–430. [Google Scholar] [CrossRef] [PubMed]
  50. Lindhauer, M.G.; De Fekete, M.A.R. Starch synthesis in potato (Solanum tuberosum) tubers: Activity of selected enzymes in dependence of potassium content in storage tissue. Plant Soil 1990, 124, 291–295. [Google Scholar] [CrossRef]
  51. Li, Y.S.; Du, M.; Zhang, Q.Y.; Wang, G.H.; Hashemi, M.; Liu, X.B. Greater differences exist in seed protein, oil, total soluble sugar and sucrose content of vegetable soybean genotypes [Glycine max (L.) Merrill] in Northeast China. Aust. J. Crop Sci. 2012, 6, 1681–1686. [Google Scholar]
  52. Zhu, Y.J.; Komor, E.; Moore, P.H. Sucrose Accumulation in the Sugarcane Stem Is Regulated by the Difference between the Activities of Soluble Acid Invertase and Sucrose Phosphate Synthase. Plant Physiol. 1997, 115, 609–616. [Google Scholar] [CrossRef]
  53. Xu, C.Q.; Li, T.L.; Qi, H.Y. Effects of Grafting on Development, Carbohydrate Content and Sucrose metabolizing Enzymes Activities of Muskmelon Fruit. Acta Hortic. Sin. 2006, 33, 773–778. [Google Scholar]
  54. Guo, Y. Fruit Sugar and Acid Accumulation and Changes of Enzyme Activities Related to Sugar Metabolism in Several Apple Varieties. Ph.D. Thesis, Northwest A&F University, Xi’an, China, 2012. [Google Scholar]
  55. Yu, C. Basic Study of the Substance and Energy Metabolism of Beet Root and Sugar Growth. Ph.D. Thesis, Inner Mongolia Agricultural University, Hohhot, China, 2014. [Google Scholar]
  56. Livak, K.J.; Schmittgen, T.D. Analysis of relative gene expression data using real-time quantitative PCR and the 2(-Delta C(T)) Method. Methods 2001, 25, 402–408. [Google Scholar] [CrossRef] [PubMed]
  57. Zhang, Q.; Li, F.L.; Kong, Q.B.; Zhuang, M.L. Effect of different reduced fertigation modes on the yield, quality and economic benefits of honey pomelo. J. Fruit Sci. 2021, 38, 361–371. [Google Scholar]
  58. Diao, Q.N.; Ni, X.H.; Fan, H.W.; Zhang, W.X.; Wang, H.; Zhang, Y.P. Effect of Different Fertilizers on Growth, Fruit Quality and Sucrose Metabolism of Cucumis melo. Chin. Agric. Sci. Bull. 2020, 19, 32–38. [Google Scholar]
  59. Lowell, C.A.; Tomlinson, P.T.; Koch, K.E. Sucrose-Metabolizing Enzymes in Transport Tissues and Adjacent Sink Structures in Developing Citrus Fruit. Plant Physiol. 1989, 90, 1394–1402. [Google Scholar] [CrossRef]
  60. Shao, K.; Bai, Z.Q.; Li, M.H.; Yu, C.; Shao, J.W.; Sun, Y.Q.; Li, G.L.; Zhang, S.Y.; Wang, R.G. Sucrose Metabolism Enzymes Affect Sucrose Content Rather than Root Weight in Sugar Beet (Beta vulgaris) at Different Growth Stages. Sugar Tech. 2019, 22, 504–517. [Google Scholar] [CrossRef]
  61. Klotz, K.L.; Campbell, L.G. Sucrose Catabolism in Developing Roots of Three Beta vulgaris Genotypes with Different Yield and Sucrose Accumulating Capacities. J. Sugar Beet Res. 2004, 41, 20–31. [Google Scholar] [CrossRef][Green Version]
  62. Patrick, J.W. Phloem Unloading: Sieve Element Unloading and Post-Sieve Element Transport. Annu. Rev. Plant Physiol. Plant Mol. Biol. 1997, 48, 191–222. [Google Scholar] [CrossRef]
  63. Takayanagi, T.; Yokotsuka, K. Relationship Between Sucrose Accumulation and Sucrose Metabolizing Enzymes in Developing Grapes. Am. J. Enol. Vitic. 1997, 48, 403–407. [Google Scholar] [CrossRef]
  64. Zhang, G.W.; Hu, Q.Z.; Xu, S.C.; Gong, Y.M. Study on sucrose accumulation and enzyme activities involved in sucrose metabolism in developing seeds of vegetable soybean. Acta Agric. ZheJiangensis 2012, 24, 1015–1020. [Google Scholar]
Figure 1. Impact of water and fertilizer reduction on sucrose concentration in sugar beet root across different growth stages. (A) 2022, (B) 2023, (a) 30 days after transplanting (seedling stage), the normal basal dressing is the (CK), basal dressing were reduced by 10% (F2) and 20% (F1), (b) 40 days after transplanting (rapid leaf growth stage), (c) 80 days after transplanting (root and sugar accumulation stage), (d) 120 days after transplanting (sugar accumulation stage), and (e) 140 days after transplanting (harvest stage), where 30–120 days is the sucrose concentration of dry samples and 140 days is the sucrose concentration of fresh samples. (CK)water and fertilizer at normal levels, (F3W2) irrigation reduced by 15%, (F3W1) irrigation were reduced by 30%, (F2W3) fertilization reduced by 10%, (F2W2) both irrigation reduced by 15% and fertilization reduced by 10%, (F2W1) both irrigation reduced by 30% and fertilization reduced by 10%, (F1W3) fertilizer application rates were reduced by 10%, (F1W2) both irrigation reduced by 15% and fertilization reduced by 20%, (F1W1) both irrigation reduced by 30% and fertilization reduced by 20%, Letters indicate significance at the p < 0.05 level.
Figure 1. Impact of water and fertilizer reduction on sucrose concentration in sugar beet root across different growth stages. (A) 2022, (B) 2023, (a) 30 days after transplanting (seedling stage), the normal basal dressing is the (CK), basal dressing were reduced by 10% (F2) and 20% (F1), (b) 40 days after transplanting (rapid leaf growth stage), (c) 80 days after transplanting (root and sugar accumulation stage), (d) 120 days after transplanting (sugar accumulation stage), and (e) 140 days after transplanting (harvest stage), where 30–120 days is the sucrose concentration of dry samples and 140 days is the sucrose concentration of fresh samples. (CK)water and fertilizer at normal levels, (F3W2) irrigation reduced by 15%, (F3W1) irrigation were reduced by 30%, (F2W3) fertilization reduced by 10%, (F2W2) both irrigation reduced by 15% and fertilization reduced by 10%, (F2W1) both irrigation reduced by 30% and fertilization reduced by 10%, (F1W3) fertilizer application rates were reduced by 10%, (F1W2) both irrigation reduced by 15% and fertilization reduced by 20%, (F1W1) both irrigation reduced by 30% and fertilization reduced by 20%, Letters indicate significance at the p < 0.05 level.
Agronomy 14 00539 g001
Figure 2. Impact of water and fertilizer reduction on the activity of key enzymes involved in sucrose metabolism in sugar beet root. (A) Sucrose phosphate synthase (SPS) activity, (B) sucrose synthase-synthesis direction (SS-II), (C) sucrose synthase-decomposition direction (SS-I), (D) cytoplasmic invertase (CINV), (E) vacuolar acid invertase (VINV), and (F) cell-wall binding acid invertase (CWINV) (a) 30 days after transplanting, (b) 40 days after transplanting, (c) 80 days after transplanting, and (d) 120 days after transplanting. Letters indicate significance at the p < 0.05 level.
Figure 2. Impact of water and fertilizer reduction on the activity of key enzymes involved in sucrose metabolism in sugar beet root. (A) Sucrose phosphate synthase (SPS) activity, (B) sucrose synthase-synthesis direction (SS-II), (C) sucrose synthase-decomposition direction (SS-I), (D) cytoplasmic invertase (CINV), (E) vacuolar acid invertase (VINV), and (F) cell-wall binding acid invertase (CWINV) (a) 30 days after transplanting, (b) 40 days after transplanting, (c) 80 days after transplanting, and (d) 120 days after transplanting. Letters indicate significance at the p < 0.05 level.
Agronomy 14 00539 g002
Figure 3. Impact of water and fertilizer reduction on the expression of sucrose metabolism enzyme genes in sugar beet root. (A) SPS enzyme genes, (B) CINV enzyme genes, and (C) VINV enzyme genes, (D) CWINV enzyme genes (a) 30 days after transplanting, (b) 40 days after transplanting, (c) 80 days after transplanting, and (d) 120 days after transplanting. Letters indicate significance at the p < 0.05 level.
Figure 3. Impact of water and fertilizer reduction on the expression of sucrose metabolism enzyme genes in sugar beet root. (A) SPS enzyme genes, (B) CINV enzyme genes, and (C) VINV enzyme genes, (D) CWINV enzyme genes (a) 30 days after transplanting, (b) 40 days after transplanting, (c) 80 days after transplanting, and (d) 120 days after transplanting. Letters indicate significance at the p < 0.05 level.
Agronomy 14 00539 g003
Figure 4. Correlation analysis of sucrose and its key metabolic enzymes. (A) Whole growth period, (B) 40 days after transplanting, (C) 80 days after transplanting, and (D) 120 days after transplanting, ** p < 0.01, * p < 0.05.
Figure 4. Correlation analysis of sucrose and its key metabolic enzymes. (A) Whole growth period, (B) 40 days after transplanting, (C) 80 days after transplanting, and (D) 120 days after transplanting, ** p < 0.01, * p < 0.05.
Agronomy 14 00539 g004
Table 1. Soil conditions of the test site.
Table 1. Soil conditions of the test site.
YearTotal N (g·kg−1)Total P (g·kg−1)Total K (g·kg−1)Available N (mg·kg−1)Available P (mg·kg−1)Available K (mg·kg−1)pHOrganic Matter (g·kg−1)
20222.070.9722.11134.9110.31197.57.9832.02
20230.710.4616.31111.079.23153.017.7118.21
Table 2. The levels of fertilizer applied and the amount of irrigation administered in each treatment.
Table 2. The levels of fertilizer applied and the amount of irrigation administered in each treatment.
TreatmentAmount of Fertilizer Application (kg·hm−2)Total Irrigation Volume (m3·hm−2)
NP(P2O5)K(K2O)
CK1351501501350
F3W21147.5
F3W1945
F2W3121.51351351350
F2W21147.5
F2W1945
F1W31081201201350
F1W21147.5
F1W1945
Table 3. RT-qPCR primer sequences.
Table 3. RT-qPCR primer sequences.
PrimerR 5′ to 3′F 5′ to 3′
ACTTGCTTGACTCTGGTGATGGTAGCAAGATCCAAACGGAGAATG
SPSCGGCTTCTATCCTACGCATTATTTAACGGGGCATTCTCTTGG
CINVCACACAGACTCAACCCTCCTTGCAACCGAAAGACGATGCTG
VINVCTCCCATTGCTCATCCTCTTCCGCATCACATCCCGAGTTTACC
CWINVAAGGGTTTGTCTCCATTGCCT TAGTCCAGTTTCTCTCCACCAC
Disclaimer/Publisher’s Note: The statements, opinions and data contained in all publications are solely those of the individual author(s) and contributor(s) and not of MDPI and/or the editor(s). MDPI and/or the editor(s) disclaim responsibility for any injury to people or property resulting from any ideas, methods, instructions or products referred to in the content.

Share and Cite

MDPI and ACS Style

Chang, Y.; Zhang, B.; Li, G.; Zhang, P.; Liu, H.; Zhang, S. Influence of Water and Fertilizer Reduction on Sucrose Metabolism in Sugar Beets. Agronomy 2024, 14, 539. https://doi.org/10.3390/agronomy14030539

AMA Style

Chang Y, Zhang B, Li G, Zhang P, Liu H, Zhang S. Influence of Water and Fertilizer Reduction on Sucrose Metabolism in Sugar Beets. Agronomy. 2024; 14(3):539. https://doi.org/10.3390/agronomy14030539

Chicago/Turabian Style

Chang, Yuxin, Bowen Zhang, Guolong Li, Peng Zhang, Huiyu Liu, and Shaoying Zhang. 2024. "Influence of Water and Fertilizer Reduction on Sucrose Metabolism in Sugar Beets" Agronomy 14, no. 3: 539. https://doi.org/10.3390/agronomy14030539

APA Style

Chang, Y., Zhang, B., Li, G., Zhang, P., Liu, H., & Zhang, S. (2024). Influence of Water and Fertilizer Reduction on Sucrose Metabolism in Sugar Beets. Agronomy, 14(3), 539. https://doi.org/10.3390/agronomy14030539

Note that from the first issue of 2016, this journal uses article numbers instead of page numbers. See further details here.

Article Metrics

Back to TopTop