Using Nanomaterials and Arbuscular mycorrhizas to Alleviate Saline–Alkali Stress in Cyperus esculentus (L.)
Abstract
1. Introduction
2. Materials and Methods
2.1. Materials and Reagents
2.2. Experimental Design
2.2.1. Study I: Determination of GR50 for NaCl and NaHCO3
2.2.2. Study II: Screening the Effect of Alleviation Concentration of MWCNTs or Nano-Se on GR50 of Tiger Nut
2.2.3. Study III: Effects of MWCNTs, Nano-Se, and AMs on Tiger Nut Under SA Stress
2.3. Statistical Analysis
3. Results
3.1. Dose–Response Effect and Tolerance of Tiger Nut to SA Stress
3.2. Alleviation of SA Stress in Tiger Nut Using MWCNTs, Nano-Se, or AMs
3.2.1. Pot-Planting Study
3.2.2. Field Study
Effects of Using MWCNTs, Nano-Se, or AMs on Photosynthesis
Effects of Using MWCNTs, Nano-Se, or AMs on Antioxidant Activity
Effects of Using MWCNTs, Nano-Se, or AMs on Membrane Permeability
Effects of Using MWCNTs, Nano-Se, or AMs on Osmoregulator
Effects of Using MWCNTs, Nano-Se, or AMs on Forage Value
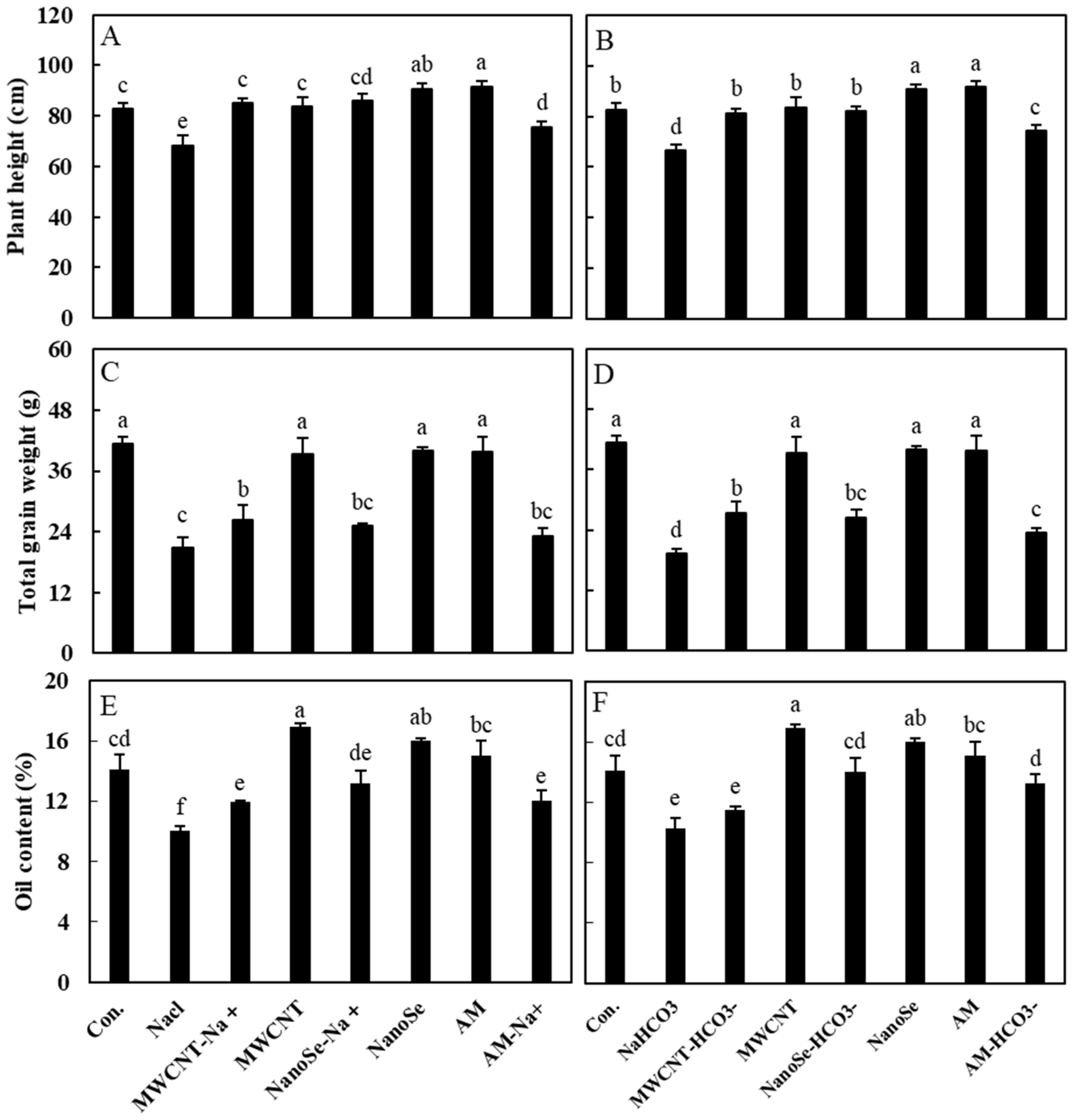
Effects of Using MWCNTs, Nano-Se, or AMs on Yield and Quality
4. Discussion
5. Conclusions
Author Contributions
Funding
Data Availability Statement
Conflicts of Interest
Abbreviations
| AMs | Arbuscular mycorrhizas |
| ADF | Acidic detergent fiber |
| CAT | Catalase |
| MDA | Malondialdehyde |
| MWCNTs | Multi-walled carbon nanotubes |
| Nano-Se | Nano-selenium |
| NDF | Neutral detergent fiber |
| ROS | Reactive oxygen species |
| SA | Saline–alkali |
| SOD | Superoxide dismutase |
References
- Yang, M.; Tian, L.P.; Xue, L. Yield performance and quality difference of different Cyperus esculentus varieties in arid climate zone of Xinjian. Oil Crop Sci. 2013, 35, 451–454. [Google Scholar]
- Wang, L.L.; Shi, Y.L.; Li, X.S. Effects of mixed Saline-Alkali stress on the growth of malachite grass. N. Hortic. 2021, 12, 63–69. [Google Scholar]
- Zhang, Y. King of Oilseeds-Cyperus esculentus. Spec. Econ. Anim. Plant 2004, 7, 35. [Google Scholar]
- Zhang, X.Q.; Fang, J.; Lu, Z.Y.; Zhao, X.Q.; Ren, F.Y.; Shi, G.X.; Chen, L.Y.; Zhang, D.J.; Liu, Z.Y.; Li, Y.H. Preliminary report on the effect of planting density on photosynthetic characteristics and light response of summer sowing Cyperus esculentus. J. N. Agric. 2019, 47, 9–15. [Google Scholar]
- Manek, R.V.; Builders, P.F.; Kolling, W.M.; Emeje, M.; Qunle, O. Physicochemical and binder properties of starch obtained from Cyperus esculentus. AAPS Pharm. Sci. Tech. 2012, 13, 379–388. [Google Scholar] [CrossRef]
- Turesson, H.; Marttila, S.; Gustavsson, K.E.; Hofvander, P.; Olsson, M.E.; Bülow, L.; Stymne, S.; Carlsson, A. Characterization of oil and staech accumulation in tubers of Cyperus esculentus var. sativus (Cyperaceae): A novel model system to study oil reserves in nonseed tissues. Am. J. Bot. 2010, 97, 1884–1893. [Google Scholar] [CrossRef]
- Yang, X.D.; Li, Z.Y. Current situation, potential and countermeasures of Cyperus esculentus industry in China. Chin. J. Oil Crop Sci. 2022, 44, 712–717. [Google Scholar]
- Wang, Z.C.; Li, S.S.; Liang, X.; Xu, L.J.; Zou, X.L. Current Situation and Prospect of Cyperus esculentus Industry in China. Sci. Technol. Ind. 2022, 22, 62–67. [Google Scholar]
- Shabala, S. Learning from halophytes: Physiological basis and strategies to improve abiotic stress tolerance in crops. Anne Boleyn 2013, 112, 1209–1221. [Google Scholar] [CrossRef]
- Hasanuzzaman, M.; Bhuyan, M.H.M.B.; Anee, T.I.; Parvin, K.; Nahar, K.; Mahmud, J.A.; Fujita, M. Regulation of ascorbate-glutathione pathway in mitigating oxidative damage in plants under abiotic stress. Antioxidants 2019, 8, 384–434. [Google Scholar] [CrossRef]
- Leng, C.X.; Zhang, F.Y.; Zhao, B.P. Advances on alkaline tolerance of rice. Biotechnol. Bull. 2020, 36, 22–28. [Google Scholar]
- Monreal, R.C.; Tomasz, J.; Antosiewicz, S.; Apell, S. Diffuse surface scattering and quantum size effects in the surface plasmon resonances of Low-Carrier-Density nanocrystals. J. Phys. Chem. C 2016, 120, 5074–5082. [Google Scholar] [CrossRef]
- Hu, Y.M.; Zhang, P.; Zhang, X.; Liu, Y.Q.; Feng, S.S.; Guo, D.W.; Nadezhda, T.; Song, Z.J.; Dang, X.L. Multi-Wall carbon nanotubes promote the growth of maize (Zea mays) by regulating carbon and nitrogen metabolism in leaves. J. Agric. Food Chem. 2021, 69, 4981–4991. [Google Scholar] [CrossRef] [PubMed]
- Zuo, Y.T.; Zeng, W.Z.; Ao, C.; Chen, H.R.; Huang, J.S. Effects of multiwalled carbon nanotube and Bacillus atrophaeus application on crop root zone thermal characteristics of saline farmland. Heliyon 2023, 9, e13510. [Google Scholar] [CrossRef]
- Wu, H.Z.; Gao, Y.; Zhang, Y.X.; Yu, J.L.; Kim, D.S.; Chen, M.; Wang, Y.W.; Fan, Y.; Zhang, H.X.; Yan, X.B. Exogenous application of multi-walled carbon nanotubes (MWCNTs) and nano-Selenium (Nano-Se) alleviated the PEG-induced water deficit stress and improved the crop performance of camelina. Agronomy 2023, 13, 979. [Google Scholar] [CrossRef]
- Villagarcia, H.; Dervishi, E.; Silva, K.D.; Biris, A.S.; Khodakovskaya, M.V. Surface chemistry of carbon nanotubes impacts the growth and expression of water channel protein in Tomato Plants. Small 2012, 8, 2328–2334. [Google Scholar] [CrossRef]
- Nair, R.; Mohamed, M.S.; Gao, W.; Maekawa, T.; Yoshida, Y.; Ajayan, P.M.; Kumar, D.S. Effect of carbon Nanomaterials on the Germination and Growth of Rice Plants. J. Nanosci. Nanotechnol. 2012, 12, 2212. [Google Scholar] [CrossRef] [PubMed]
- Martinez, B.M.; Zapata, L.; Chalbi, N. Multiwalled carbon nanotubes enter broccoli cells enhancing growth and water uptake of plants exposed to salinity. J. Nanobiotechnol. 2016, 14, 42. [Google Scholar]
- Mahmoud, A.E.A.M.A. Study on Improving Salt Tolerance of Rapeseed During Germination by Nano-Zinc Oxide and Nano-Selenium. Ph.D. Thesis, Huazhong Agricultural University, Wuhan, China, 2021. [Google Scholar]
- Rao, L.; Luo, Q.X.; Zhao, X.H. Effects of selenium methionine on physiological characteristics of cucumber seedlings under drought stress. N. Hortic. 2017, 14–18. [Google Scholar]
- Lv, C.Z.; Chen, M.; Tang, Y.; Gao, Y.; Wu, H.Z.; Min, X.Y.; Kim, D.S.; Yan, X.B.; Yu, J.L.; Zhang, C.J. Evaluation of the aluminum (Al3+) tolerance of camelina and the potential for using melatonin or Nano-Selenium to alleviate Al3+ induced stress in camelina. Agronomy 2024, 14, 401. [Google Scholar] [CrossRef]
- Santander, C.; Aroca, R.; Ruiz-lozano, J.M.; Olave, J.; Cartes, P.; Borie, F.; Cornejo, P. Arbuscular mycorrhiza effects on plant performance under osmotic stress. Mycorrhiza 2017, 27, 639–657. [Google Scholar] [CrossRef] [PubMed]
- Han, B.; He, C.X.; Guo, S.R.; Xu, G.; Yu, X.C.; Sun, J. Effects of arbuscular mycorrhizal fungi on osmotic adjustment substance content and antioxidant enzyme activity of cucumber seedlings under salt stress. Acta Bot. N. 2011, 31, 2492–2497. [Google Scholar]
- Ma, A.J. Effects of Arbuscular Mycorrhizal Fungi and Smart Cong on Stress Resistance and Disease Resistance of Cucumber and Tomato Seedlings. Ph.D. Thesis, Shandong Agricultural University, Tai’an, China, 2024. [Google Scholar]
- Hiscox, J.D.; Israelstam, G.F. A method for the extraction of chlorophyll from leaf tissue without maceration. Can. J. Bot. 1979, 57, 1332–1334. [Google Scholar] [CrossRef]
- Wu, P.; Luo, A.C. Genetic background of chlorophyll content difference in rice leaves under nitrogen stress was studied by molecular markers. Acta Genet. Sin. 1996, 23, 431–438. [Google Scholar]
- Chen, A.K.; Han, R.H.; Li, D.Y. Comparative study on determination methods of relative conductivity of plant leaves. J. Guangdong Inst. Educ. 2010, 30, 88–91. [Google Scholar]
- Li, H.S. Principles and Techniques of Plant Physiological and Biochemical Experiment; Higher Education Press: Beijing, China, 2000. [Google Scholar]
- Chen, G.; Li, S. Plant Physiology Experiment; Higher Education Press: Beijing, China, 2014. [Google Scholar]
- Li, Y.; Yu, Z.; Jin, J.; Zhang, Q.Y.; Wang, G.H.; Liu, C.K.; Wu, J.J.; Wang, C.; Liu, X.B. Impact of elevated CO2 on seed quality of soybean at the fresh edible and mature stages. Front. Plant Sci. 2018, 9, 1413. [Google Scholar] [CrossRef] [PubMed]
- Lin, M.; Zhao, G.Q. Analysis and Evaluation of Forage; China Agricultural Press: Beijing, China, 2018. [Google Scholar]
- Streibig, J.C. Models for curve-fitting herbicide dose response data. Acta Agric. Scand. 1980, 30, 59–64. [Google Scholar] [CrossRef]
- Knezevic, S.Z.; Streibig, J.C.; Ritz, C. Utilizing R software package for dose-response studies: The concept and data analysis. Weed Technol. 2007, 21, 840–848. [Google Scholar] [CrossRef]
- Takemura, T.; Hanagata, N.; Sugihara, K. Physiological and biochemical responses to salt stress in the mangrove. Aquat. Bot. 2000, 1, 15–28. [Google Scholar] [CrossRef]
- Guo, R.; Zhou, J.; Hao, W.; Gong, D.Z.; Zhong, X.L.; Gu, F.X.; Liu, Q.; Tian, J.N.; Li, H.R. Germination, growth, photosynthesis and ionic balance in Setaria viridis seedlings subjected to saline and alkaline stress. Can. J. Plant Sci. 2011, 91, 1077–1088. [Google Scholar] [CrossRef]
- Alp, F.N.; Konakci, C.O.; Yildiztugay, E.; Arikan, B. Multi-Wall carbon nanotubes influence on gas exchange, redox reaction and antioxidant system in zea mays exposed to excessive copper. J. Plant Growth Regul. 2021, 69, 4981–4991. [Google Scholar]
- Affonsoa, L.N.; Marques Jr, J.L.; Lima, V.V.C. Removal offluoride from fertilizer industry effluent using carbon nanotubes stabilized in chitosan sponge. J. Hazard. Mater. 2020, 388, 122042. [Google Scholar] [CrossRef] [PubMed]
- Nancharaiah, Y.V.; Lens, P.N. Ecology and biotechnology of selenium-respiring bacteria. Microbiol. Mol. Biol. Rev. MMBR 2015, 79, 61–80. [Google Scholar] [CrossRef]
- Li, D.; Zhou, C.; Zhang, J.; An, Q.; Wu, Y.; Li, J.; Pan, C. Nanoselenium foliar applications enhance the nutrient quality of pepper by activating the capsaicinoid synthetic pathway. J. Agric. Food Chem. 2020, 68, 9888–9895. [Google Scholar] [CrossRef]
- Lü, L.H.; Zou, Y.N.; Wu, Q.S. Relationship between Arbuscular mycorrhizas and plant growth: Improvement or depression? In Root Biology; Giri, B., Prasad, R., Varma, A., Eds.; Springer: Cham, Switzerland, 2018; pp. 451–464. [Google Scholar]
- Fan, H.X.; Zhao, S.; Li, J.; Xin, G.Q. Effects of exogenous melatonin on the growth, photosynthesis and physiological characteristics of calendula seedlings under salt stress. Acta Trop. Crops 2021, 42, 1326–1334. [Google Scholar]
- Farquhar, G.D.; Sharkey, T.D. Stomatal conductance and photosynthesis. Annu. Rev. Plant Physiol. 1982, 33, 317–345. [Google Scholar] [CrossRef]
- Zhong, S.W. Research progress of plant photosynthesis mechanism under stress. Hortic. Seedl. 2018, 6, 59–62. [Google Scholar]
- Wu, Y.B.; Xue, J.H. Effects of salt stress on the growth and photosynthesis of three ash seedlings. J. Nanjing For. Univ. 2002, 3, 19–22. [Google Scholar]
- Liu, J.Y.; Yi, Y.J.; Zhang, C.D.; Yan, Z.P. Fluorescence-induced kinetics of chlorophyll in vivo and its application in salt-tolerant physiology of plants. J. Qufu Norm. Univ. Nat. Sci. Ed. 1997, 23, 80–83. [Google Scholar]
- Zhang, T. Physiological Responses of Seven Lilies Under SA Stress and Effects of Exogenous Melatonin on Salt-Alkali Tolerance of Lilies. Master’s Thesis, Southwest University, Chongqing, China, 2021. [Google Scholar]
- Su, B.B.; Liu, J.; Li, L.L. Effects of exogenous proline on antioxidant enzyme activity and photosynthetic characteristics of pinellia ternata under high temperature stress. J. S. Univ. 2015, 37, 34–39. [Google Scholar]
- Hasegawa, P.M.; Bressan, R.A.; Zhu, J.K.; Bohnert, H.J. Plant cellular and molecular response to high salinity. Annu. Rev. Plant Biol. 2000, 51, 463–499. [Google Scholar] [CrossRef] [PubMed]
- Wang, Y.Z.; Liu, Q.; Gao, Y.N.; Liu, X. Research progress on response mechanism of plants to SA Stress. Acta Ecol. Sin. 2017, 37, 5565–5577. [Google Scholar]
- Tanaka, A.; Makino, A. Photosynthetic Research in Plant Science. Plant Cell Physiol. 2009, 50, 681–683. [Google Scholar] [CrossRef] [PubMed]
- Li, H.L.; Chen, H.; Guo, F.X.; Ling, W.; Dong, P.B.; Wang, H.Y. Regulating effect of salicylic acid on growth and physiological characteristics of astragalus membranaceus seedlings under NaHCO3 Stress. J. Jiangxi Agric. Univ. 2024, 1, 50–59. [Google Scholar]
- Zhang, W.L.; Liu, Y.B. Effects of different exogenous relieving substances on physiological characteristics of two kinds of lycium barbarum under mixed salt Stress. J. Lanzhou Univ. 2020, 56, 319–325. [Google Scholar]
- Wu, Y.; Shan, F.B.; LI, J. Alleviating effect of exogenous spermidine on SA stress of sunflower seedlings. Chin. J. Oil Crop Sci. 2023, 45, 567–573. [Google Scholar]
- Chu, J.; Yao, X.; Zhang, Z. Responses of wheat seedlings to exogenous selenium supply under cold stress. Biol. Trace Elem. Res. 2010, 136, 355–363. [Google Scholar] [CrossRef]
- Wang, Q.; Liu, X.M.; Wang, H.T. Effects of drought and waterlogging stress on growth and photosynthesis of young pinus tabulaeformis carr. China Soil Water Conserv. Sci. 2015, 13, 40–47. [Google Scholar]
- Zhang, B.R.; Mi, J.Z.; Zhao, B.P.; Xu, Z.S.; Liu, J.H. Physiological effects of exogenous γ -aminobutyric acid on alleviating salt-alkali stress in oat seedlings. J. Triticeae Crops 2024, 44, 222–229. [Google Scholar]
- Wang, H.X.; Wang, Q.Y.; Liu, F.C.; Pang, Y.Y.; Fang, S.M.; Liang, X.L. Regulatory effect of exogenous arginine on mung bean seedling growth under SA stress. J. Ecol. 2024, 43, 1263–1270. [Google Scholar]
- Li, Y. Effects of Aluminum Stress on the Physiological and Ecological Characteristics of C. kasai and P. plantago. Master’s Thesis, Southwest University, Chongqing, China, 2008. [Google Scholar]
- Liu, F.R.; Chen, H.Y.; Liu, Y.; Wei, Z.M. Changes in soluble matter content of different genotypes of tomato under salt stress. J. Plant Physiol. Mol. Biol. 2004, 30, 99–104. [Google Scholar]
- Luo, Y.; Hu, T.T.; Gao, X.F. Effects of exogenous melatonin on the growth and physiology of garden chrysanthemum under drought stress. J. Gansu Agric. Univ. 2024, 59, 211–218. [Google Scholar]
- Ma, X.; Wang, G.; Zhao, W.; Yang, M.; Ma, N. SlCOR413IM1: A novel cold-regulation gene from tomato, enhances drought stress tolerance in tobacco. J. Plant Physiol. 2017, 216, 88–99. [Google Scholar] [CrossRef] [PubMed]
- Zhu, J.F.; Liu, J.T.; Lu, Z.H.; Xia, J.B.; Liu, H.N.; Jin, Y. Effects of salt stress on physiological characteristics of Chinese tamarisk seedlings. J. Ecol. 2015, 35, 5140–5146. [Google Scholar]
- Wang, R.Y.; Wang, X.S.; Xiang, H. A multipurpose emerging oilseed crop: Olea europaea. China Oil Fats 2019, 44, 1–4. [Google Scholar]
- Li, C. Physiological Differences in the Response Of Different Salt-Resistant Apple Rootstocks to Salt Stress and the Mitigating Effect of Melatonin. Master’s Thesis, Northwest Agriculture and Forestry University, Xianyang, China, 2012. [Google Scholar]
- Li, Y.Y.; Wang, Z.J. Effects of rainfall on chlorophyll content and nutritional quality of natural forage grasses during drying. China Grassl. J. 2021, 43, 82–88. [Google Scholar]
- Mondal, A.; Basu, R. Beneficial role of carbon nanotubes on mustard plant growth: An agricultural prospect. J. Nanopart. 2011, 13, 4519–4528. [Google Scholar] [CrossRef]
- Haghighi, M.; Teixira, S.J.A. The effect of carbon nanotubes on the seed germination and seedling growth of four vegetable species. J. Crop Sci. Biotechnol. 2014, 17, 201–208. [Google Scholar] [CrossRef]
- Qin, G.Q.; Chen, P. Effects of selenium on rice seedling growth and phosphorus distribution effects. Trop. Agric. Sci. 2004, 24, 31–33+92. [Google Scholar]
- Chen, L.N. Research on the Effect of Exogenous Selenium on Photosynthetic Characteristics and Selenium Uptake of Oat During the Growth Period. Master’s Thesis, Liaoning University, Shenyang, China, 2019. [Google Scholar]










| Group | Pot-Planting Test | Field Test |
|---|---|---|
| Various Solution Treatments | ||
| 1 | Control (only clean water) | Control (only clean water) |
| 2 | 163 mM NaCl | 163 mM NaCl |
| 3 | 63 mM NaHCO3 | 63 mM NaHCO3 |
| 4 | 50 mg L−1 MWCNTs | 100 mg L−1 MWCNTs |
| 5 | 100 mg L−1 MWCNTs | 10 mg L−1 Nano-Se |
| 6 | 5 mg L−1 Nano-Se | AM |
| 7 | 10 mg L−1 Nano-Se | 100 mg L−1 MWCNTs + 163 mM NaCl |
| 8 | 50 mg L−1 MWCNTs + 163 mM NaCl | 10 mg L−1 Nano-Se + 163 mM NaCl |
| 9 | 100 mg L−1 MWCNTs + 163 mM NaCl | AM + 163 mM NaCl + 163 mM NaCl |
| 10 | 5 mg L−1 Nano-Se + 163 mM NaCl | 100 mg L−1 MWCNTs + 63 mM NaHCO3 |
| 11 | 10 mg L−1 Nano-Se + 163 mM NaCl | 10 mg L−1 Nano-Se + 63 mM NaHCO3 |
| 12 | 50 mg L−1 MWCNTs + 63 mM NaHCO3 | AM + 63 mM NaHCO3 |
| 13 | 100 mg L−1 MWCNTs + 63 mM NaHCO3 | |
| 14 | 5 mg L−1 Nano-Se + 63 mM NaHCO3 | |
| 15 | 10 mg L−1 Nano-Se + 63 mM NaHCO3 | |
| Indicator | Parameter | Statistical Data | |||||
|---|---|---|---|---|---|---|---|
| b | d | GR50 | DF | MS | R2 | p | |
| ShootLength-Na+ | 1.37 (0.52) b | 83.68 (1.47) | 1097.06 (537.55) | 5 | 81.51 | 0.94 | ** |
| SPAD-Na+ | 0.58 (0.07) | 48.00 (0.80) | 3234.41 (803.42) | 5 | 31.99 | 0.99 | *** |
| Fv/Fm-Na+ | 4.69 (2.06) | 7.86 (1.83) | 864.25 (3743.28) | 5 | 119.60 | 0.86 | *** |
| FreshWeight-Na+ | 0.47 (0.12) | 44.70 (2.57) | 163.10 (61.69) | 5 | 293.08 | 0.96 | *** |
| TillerNumber-Na+ | 1.77 (0.70) | 95.01 (7.90) | 259.06 (69.77) | 5 | 2518.50 | 0.95 | *** |
| ShootLength-HCO3− | 2.56 (0.54) | 84.90 (1.86) | 176.94 (18.41) | 5 | 258.44 | 0.95 | *** |
| SPAD-HCO3− | 1.97 (0.50) | 48.12 (0.76) | 253.10 (49.36) | 5 | 36.32 | 0.96 | *** |
| Fv/Fm-HCO3− | 5.77 (2.12) | 7.83 (1.50) | 233.34 (57.25) | 5 | 168.60 | 0.76 | *** |
| FreshWeight-HCO3− | 1.52 (0.33) | 44.96 (2.66) | 63.78 (7.32) | 5 | 442.40 | 0.99 | *** |
| TillerNumber-HCO3− | 3.86 (1.00) | 74.04 (3.42) | 116.92 (6.72) | 5 | 787.60 | 0.98 | *** |
Disclaimer/Publisher’s Note: The statements, opinions and data contained in all publications are solely those of the individual author(s) and contributor(s) and not of MDPI and/or the editor(s). MDPI and/or the editor(s) disclaim responsibility for any injury to people or property resulting from any ideas, methods, instructions or products referred to in the content. |
© 2024 by the authors. Licensee MDPI, Basel, Switzerland. This article is an open access article distributed under the terms and conditions of the Creative Commons Attribution (CC BY) license (https://creativecommons.org/licenses/by/4.0/).
Share and Cite
Diao, J.; Tang, Y.; Jiang, Y.; Sun, H.; Zhang, C.-J. Using Nanomaterials and Arbuscular mycorrhizas to Alleviate Saline–Alkali Stress in Cyperus esculentus (L.). Agronomy 2024, 14, 2476. https://doi.org/10.3390/agronomy14112476
Diao J, Tang Y, Jiang Y, Sun H, Zhang C-J. Using Nanomaterials and Arbuscular mycorrhizas to Alleviate Saline–Alkali Stress in Cyperus esculentus (L.). Agronomy. 2024; 14(11):2476. https://doi.org/10.3390/agronomy14112476
Chicago/Turabian StyleDiao, Jixing, Yi Tang, Yu Jiang, Hailian Sun, and Chuan-Jie Zhang. 2024. "Using Nanomaterials and Arbuscular mycorrhizas to Alleviate Saline–Alkali Stress in Cyperus esculentus (L.)" Agronomy 14, no. 11: 2476. https://doi.org/10.3390/agronomy14112476
APA StyleDiao, J., Tang, Y., Jiang, Y., Sun, H., & Zhang, C.-J. (2024). Using Nanomaterials and Arbuscular mycorrhizas to Alleviate Saline–Alkali Stress in Cyperus esculentus (L.). Agronomy, 14(11), 2476. https://doi.org/10.3390/agronomy14112476

