Effects of Water and Nitrogen Regulation on Cotton Growth and Hydraulic Lift under Dry Topsoil Conditions
Abstract
:1. Introduction
2. Materials and Methods
2.1. Experimental Site
2.2. Experimental Setup
2.2.1. Split-Root System
2.2.2. Experimental Design
2.2.3. Plant Management
2.3. Measurements
2.3.1. Soil Water and HL Water
2.3.2. Growth Dynamics
2.3.3. Yield and Water-N Utilization
2.4. Statistical Analysis
3. Results
3.1. Growth Parameters
3.2. Root Hydraulic Lift and Root Morphological Characteristics
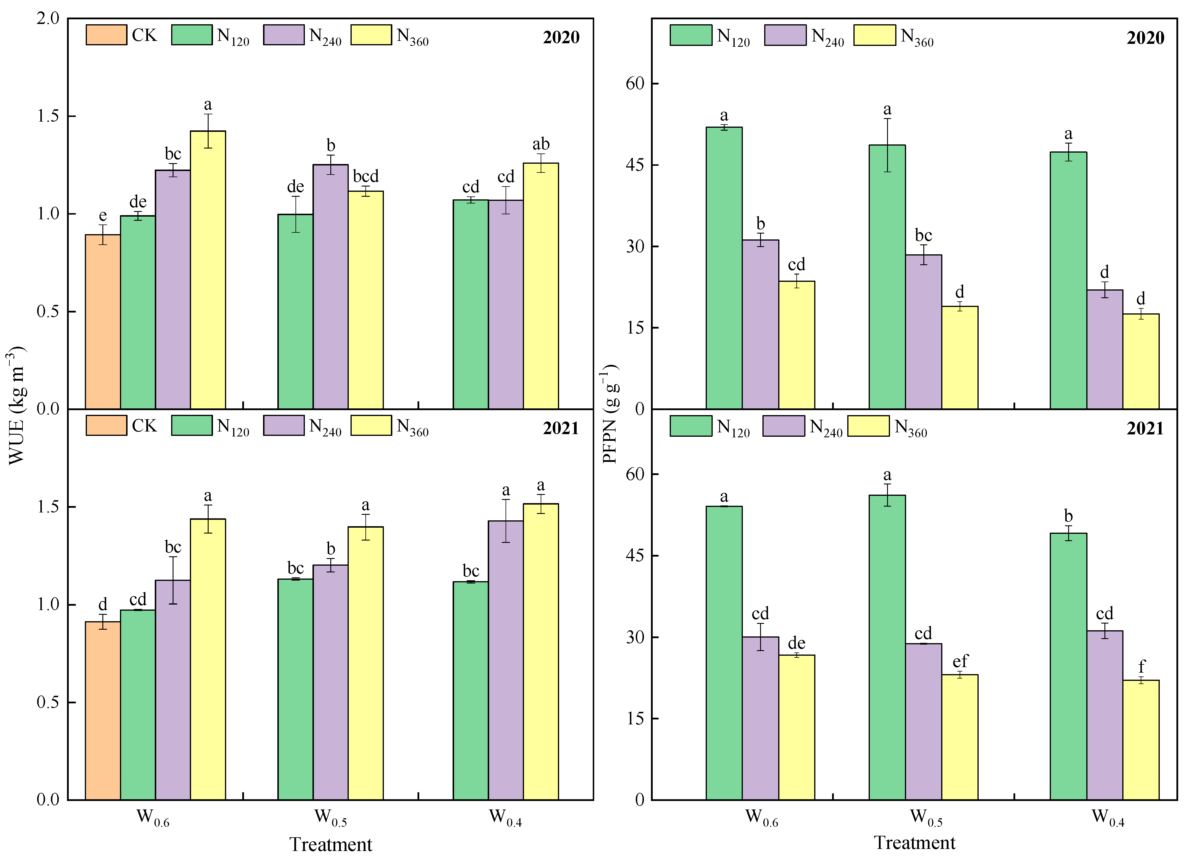
3.3. Yield, WUE, and PFPN
4. Discussion
5. Conclusions
Author Contributions
Funding
Data Availability Statement
Acknowledgments
Conflicts of Interest
References
- Wheeler, T.; von Braun, J. Climate Change Impacts on Global Food Security. Science 2013, 341, 508–513. [Google Scholar] [CrossRef] [PubMed]
- Armstrong McKay, D.I.; Staal, A.; Abrams, J.F.; Winkelmann, R.; Sakschewski, B.; Loriani, S.; Fetzer, I.; Cornell, S.E.; Rockström, J.; Lenton, T.M. Exceeding 1.5 °C Global Warming Could Trigger Multiple Climate Tipping Points. Science 2022, 377, eabn7950. [Google Scholar] [CrossRef] [PubMed]
- Lesk, C.; Coffel, E.; Winter, J.; Ray, D.; Zscheischler, J.; Seneviratne, S.I.; Horton, R. Stronger Temperature–Moisture Couplings Exacerbate the Impact of Climate Warming on Global Crop Yields. Nat. Food 2021, 2, 683–691. [Google Scholar] [CrossRef] [PubMed]
- Li, R.; Tsunekawa, A.; Tsubo, M. Assessment of Agricultural Drought in Rainfed Cereal Production Areas of Northern China. Theor. Appl. Climatol. 2017, 127, 597–609. [Google Scholar] [CrossRef]
- Wei, W.; Pang, S.; Wang, X.; Zhou, L.; Xie, B.; Zhou, J.; Li, C. Temperature Vegetation Precipitation Dryness Index (TVPDI)-Based Dryness-Wetness Monitoring in China. Remote Sens. Environ. 2020, 248, 111957. [Google Scholar] [CrossRef]
- Xu, M.; Yao, N.; Hu, A.; Gustavo Goncalves De Goncalves, L.; Abrahão Mantovani, F.; Horton, R.; Heng, L.; Liu, G. Evaluating a New Temperature-Vegetation-Shortwave Infrared Reflectance Dryness Index (TVSDI) in the Continental United States. J. Hydrol. 2022, 610, 127785. [Google Scholar] [CrossRef]
- Uddin, S.; Löw, M.; Parvin, S.; Fitzgerald, G.J.; Tausz-Posch, S.; Armstrong, R.; O’Leary, G.; Tausz, M. Elevated [CO2] Mitigates the Effect of Surface Drought by Stimulating Root Growth to Access Sub-Soil Water. PLoS ONE 2018, 13, e0198928. [Google Scholar] [CrossRef]
- Abdelraheem, A.; Esmaeili, N.; O’Connell, M.; Zhang, J. Progress and Perspective on Drought and Salt Stress Tolerance in Cotton. Ind. Crops Prod. 2019, 130, 118–129. [Google Scholar] [CrossRef]
- Yang, Z.; Qanmber, G.; Wang, Z.; Yang, Z.; Li, F. Gossypium Genomics: Trends, Scope, and Utilization for Cotton Improvement. Trends Plant Sci. 2020, 25, 488–500. [Google Scholar] [CrossRef]
- Kautz, T.; Amelung, W.; Ewert, F.; Gaiser, T.; Horn, R.; Jahn, R.; Javaux, M.; Kemna, A.; Kuzyakov, Y.; Munch, J.-C.; et al. Nutrient Acquisition from Arable Subsoils in Temperate Climates: A Review. Soil Biol. Biochem. 2013, 57, 1003–1022. [Google Scholar] [CrossRef]
- Zhang, H.; Khan, A.; Tan, D.K.Y.; Luo, H. Rational Water and Nitrogen Management Improves Root Growth, Increases Yield and Maintains Water Use Efficiency of Cotton under Mulch Drip Irrigation. Front. Plant Sci. 2017, 8, 912. [Google Scholar] [CrossRef] [PubMed]
- Xie, T.; Shan, L. Water Stress and Appropriate N Management Achieves Profitable Yields and Less N Loss on Sandy Soils. Arid Land Res. Manag. 2021, 35, 358–373. [Google Scholar] [CrossRef]
- Hou, X.; Xiang, Y.; Fan, J.; Zhang, F.; Hu, W.; Yan, F.; Guo, J.; Xiao, C.; Li, Y.; Cheng, H.; et al. Evaluation of Cotton N Nutrition Status Based on Critical N Dilution Curve, N Uptake and Residual under Different Drip Fertigation Regimes in Southern Xinjiang of China. Agric. Water Manag. 2021, 256, 107134. [Google Scholar] [CrossRef]
- Amenu, G.G.; Kumar, P. A Model for Hydraulic Redistribution Incorporating Coupled Soil-Root Moisture Transport. Hydrol. Earth Syst. Sci. 2008, 12, 55–74. [Google Scholar] [CrossRef]
- Baker, J.M.; Bavel, C.H.M. Water Transfer through Cotton Plants Connecting Soil Regions of Differing Water Potential. Agron. J. 1988, 80, 993–997. [Google Scholar] [CrossRef]
- McMichael, B.L.; Lascano, R.J. Evaluation of Hydraulic Lift in Cotton (Gossypium hirsutum L.) Germplasm. Environ. Exp. Bot. 2010, 68, 26–30. [Google Scholar] [CrossRef]
- MuSa, A.; Zong, Q.; Niu, C. Hydraulic Lift Empirical Test among Native Plant Species in the Horqin Sandy Land, Northern China. J. Hydrol. Eng. 2013, 18, 439–445. [Google Scholar] [CrossRef]
- Wang, X.; Tang, C.; Guppy, C.N.; Sale, P.W.G. The Role of Hydraulic Lift and Subsoil P Placement in P Uptake of Cotton (Gossypium hirsutum L.). Plant Soil 2009, 325, 263–275. [Google Scholar] [CrossRef]
- Emerman, S.H.; Dawson, T.E. Hydraulic Lift and Its Influence on the Water Content of the Rhizosphere: An Example from Sugar Maple, Acer Saccharum. Oecologia 1996, 108, 273–278. [Google Scholar] [CrossRef]
- Hao, X.-M.; Chen, Y.-N.; Guo, B.; Ma, J.-X. Hydraulic Redistribution of Soil Water in Populus Euphratica Oliv. in a Central Asian Desert Riparian Forest. Ecohydrology 2013, 6, 974–983. [Google Scholar] [CrossRef]
- Ishikawa, C.M.; Bledsoe, C.S. Seasonal and Diurnal Patterns of Soil Water Potential in the Rhizosphere of Blue Oaks: Evidence for Hydraulic Lift. Oecologia 2000, 125, 459–465. [Google Scholar] [CrossRef]
- Shen, Y.; Zhang, Y.; Li, S. Nutrient Effects on Diurnal Variation and Magnitude of Hydraulic Lift in Winter Wheat. Agric. Water Manag. 2011, 98, 1589–1594. [Google Scholar] [CrossRef]
- IUSS Working Group WRB. International soil classification system for naming soils and creating legends for soil maps. In World Reference Base for Soil Resources, 4th ed.; International Union of Soil Sciences (IUSS): Vienna, Austria, 2022. [Google Scholar]
- Geng, Y.; Baumann, F.; Song, C.; Zhang, M.; Shi, Y.; Kühn, P.; Scholten, T.; He, J.S. Increasing temperature reduces the coupling between available nitrogen and phosphorus in soils of Chinese grasslands. Sci. Rep. 2017, 7, 43524. [Google Scholar] [CrossRef] [PubMed]
- Wang, H.D.; Wu, L.F.; Wang, X.K.; Zhang, S.H.; Cheng, M.H.; Feng, H.; Fan, J.L.; Zhang, F.C.; Xiang, Y.Z. Optimization of water and fertilizer management improves yield, water, nitrogen, phosphorus and potassium uptake and use efficiency of cotton under drip fertigation. Agric. Water Manag. 2021, 245, 106662. [Google Scholar] [CrossRef]
- Zhang, W.; Zhao, J.; Pan, F.J.; Li, D.J.; Chen, H.S.; Wang, K.L. Changes in nitrogen and phosphorus limitation during secondary succession in a karst region in southwest China. Plant Soil 2015, 391, 77–91. [Google Scholar] [CrossRef]
- Che, Z.; Wang, J.; Li, J. Effects of Water Quality, Irrigation Amount and Nitrogen Applied on Soil Salinity and Cotton Production under Mulched Drip Irrigation in Arid Northwest China. Agric. Water Manag. 2021, 247, 106738. [Google Scholar] [CrossRef]
- Wang, J.; Du, G.; Tian, J.; Zhang, Y.; Jiang, C.; Zhang, W. Effect of Irrigation Methods on Root Growth, Root-Shoot Ratio and Yield Components of Cotton by Regulating the Growth Redundancy of Root and Shoot. Agric. Water Manag. 2020, 234, 106120. [Google Scholar] [CrossRef]
- Hillel, D. Applications of Soil Physics; Academic Press, Inc.: New York, NY, USA, 1980; p. 385. [Google Scholar]
- Hou, X.H.; Fan, J.L.; Hu, W.H.; Zhang, F.C.; Yan, F.L.; Xiao, C.; Li, Y.P.; Cheng, H.L. Optimal Irrigation Amount and Nitrogen Rate Improved Seed Cotton Yield While Maintaining Fiber Quality of Drip-Fertigated Cotton in Northwest China. Ind. Crops Prod. 2021, 170, 113710. [Google Scholar] [CrossRef]
- Wang, T.; Wang, Z.; Zhang, J.; Ma, K. An Optimum Combination of Irrigation Amount, Irrigation Water Salinity and Nitrogen Application Rate Can Improve Cotton (for Fiber) Nitrogen Uptake and Final Yield. Ind. Crops Prod. 2022, 187, 115386. [Google Scholar] [CrossRef]
- Wu, B.; Zhang, L.; Tian, J.; Zhang, G.; Zhang, W. Nitrogen Rate for Cotton Should Be Adjusted According to Water Availability in Arid Regions. Field Crops Res. 2022, 285, 108606. [Google Scholar] [CrossRef]
- Yu, K.; D’Odorico, P. Climate, Vegetation, and Soil Controls on Hydraulic Redistribution in Shallow Tree Roots. Adv. Water Resour. 2014, 66, 70–80. [Google Scholar] [CrossRef]
- Shen, Y.F.; Li, S.Q. Effect of Fertilization Depth on Root Characteristics and Hydraulic Lift of Winter Wheat under Different Water Treatments. J. Northwest A&F Univ. (Nat. Sci. Ed.) 2019, 47, 65–73. (In Chinese) [Google Scholar] [CrossRef]
- Wang, H.; Wu, L.; Cheng, M.; Fan, J.; Zhang, F.; Zou, Y.; Chau, H.W.; Gao, Z.; Wang, X. Coupling Effects of Water and Fertilizer on Yield, Water and Fertilizer Use Efficiency of Drip-Fertigated Cotton in Northern Xinjiang, China. Field Crops Res. 2018, 219, 169–179. [Google Scholar] [CrossRef]
- Aujla, M.S.; Thind, H.S.; Buttar, G.S. Cotton Yield and Water Use Efficiency at Various Levels of Water and N through Drip Irrigation under Two Methods of Planting. Agric. Water Manag. 2005, 71, 167–179. [Google Scholar] [CrossRef]
- Chen, Z.K.; Niu, Y.P.; Zhao, R.H.; Han, C.L.; Han, H.Y.; Luo, H.H. The Combination of Limited Irrigation and High Plant Density Optimizes Canopy Structure and Improves the Water Use Efficiency of Cotton. Agric. Water Manag. 2019, 218, 139–148. [Google Scholar] [CrossRef]
- Kumar, R.; Pareek, N.K.; Kumar, U.; Javed, T.; Al-Huqail, A.A.; Rathore, V.S.; Nangia, V.; Choudhary, A.; Nanda, G.; Ali, H.M.; et al. Coupling Effects of Nitrogen and Irrigation Levels on Growth Attributes, Nitrogen Use Efficiency, and Economics of Cotton. Front. Plant Sci. 2022, 13, 890181. [Google Scholar] [CrossRef]
- Shareef, M.; Gui, D.; Zeng, F.; Waqas, M.; Zhang, B.; Iqbal, H. Water Productivity, Growth, and Physiological Assessment of Deficit Irrigated Cotton on Hyperarid Desert-Oases in Northwest China. Agric. Water Manag. 2018, 206, 1–10. [Google Scholar] [CrossRef]
- Wang, P.; Zhao, Z.; Wang, L.; Tian, C. Comparison of Efficiency-Enhanced Management and Conventional Management of Irrigation and Nitrogen Fertilization in Cotton Fields of Northwestern China. Agriculture 2021, 11, 1134. [Google Scholar] [CrossRef]
- Koudahe, K.; Sheshukov, A.Y.; Aguilar, J.; Djaman, K. Irrigation-Water Management and Productivity of Cotton: A Review. Sustainability 2021, 13, 10070. [Google Scholar] [CrossRef]
- Richards, J.H.; Caldwell, M.M. Hydraulic Lift: Substantial Nocturnal Water Transport between Soil Layers by Artemisia Tridentata Roots. Oecologia 1987, 73, 486–489. [Google Scholar] [CrossRef]
- Khan, A.; Tan, D.K.Y.; Munsif, F.; Afridi, M.Z.; Shah, F.; Wei, F.; Fahad, S.; Zhou, R.Y. Nitrogen Nutrition in Cotton and Control Strategies for Greenhouse Gas Emissions: A Review. Environ. Sci. Pollut. Res. 2017, 24, 23471–23487. [Google Scholar] [CrossRef] [PubMed]
- Shah, A.N.; Javed, T.; Singhal, R.K.; Shabbir, R.; Wang, D.P.; Hussain, S.; Anuragi, H.; Jinger, D.; Pandey, H.; Abdelsalam, N.R.; et al. Nitrogen Use Efficiency in Cotton: Challenges and Opportunities Against Environmental Constraints. Front. Plant Sci. 2022, 13, 970339. [Google Scholar] [CrossRef] [PubMed]











| Treatment | Net Photosynthetic Rate (μmol m−2 s−1) | Transpiration Rate (mmol·m−2·s−1) | ||
|---|---|---|---|---|
| 2020 | 2021 | 2020 | 2021 | |
| CK | 20.47 ± 3.71 a | 17.97 ± 0.33 bc | 17.23 ± 3.77 a | 12.41 ± 0.59 a |
| W0.6N120 | 21.23 ± 1.90 a | 19.37 ± 1.76 abc | 20.11 ± 0.61 a | 13.16 ± 1.66 a |
| W0.6N240 | 19.46 ± 2.21 a | 18.81 ± 0.93 abc | 18.82 ± 3.40 a | 13.57 ± 0.64 a |
| W0.6N360 | 22.57 ± 0.45 a | 20.69 ± 0.50 ab | 22.41 ± 1.53 a | 14.35 ± 0.11 a |
| W0.5N120 | 21.40 ± 1.37 a | 20.84 ± 0.33 a | 20.54 ± 0.58 a | 12.45 ± 0.26 a |
| W0.5N240 | 20.65 ± 1.26 a | 21.15 ± 1.50 a | 20.92 ± 1.78 a | 12.57 ± 1.22 a |
| W0.5N360 | 23.09 ± 0.98 a | 20.27 ± 0.52 abc | 22.54 ± 1.33 a | 13.47 ± 0.23 a |
| W0.4N120 | 21.57 ± 1.04 a | 18.67 ± 1.19 abc | 20.97 ± 1.37 a | 13.61 ± 1.82 a |
| W0.4N240 | 21.84 ± 0.31 a | 19.41 ± 0.11 abc | 23.02 ± 1.34 a | 14.22 ± 1.93 a |
| W0.4N360 | 23.61 ± 1.85 a | 17.80 ± 0.63 c | 22.67 ± 1.32 a | 12.47 ± 0.92 a |
| Year | ** | ** | ||
| Water | ns | ns | ||
| Nitrogen | ns | ns | ||
| Year × Water | ns | ns | ||
| Year × Nitrogen | ns | ns | ||
| Water × Nitrogen | ns | ns | ||
| Year × Water × Nitrogen | ns | ns | ||
| Treatment | The Amount of Water from Root Hydraulic Lift |
|---|---|
| Year | ** |
| Water | ** |
| Nitrogen | ** |
| Year × Water | ** |
| Year × Nitrogen | ** |
| Water × Nitrogen | * |
| Year × Water × Nitrogen | ns |
| Treatment | Root Length (cm) | Root Surface Area (cm2) | Root Volume (cm3) | |||
|---|---|---|---|---|---|---|
| 2020 | 2021 | 2020 | 2021 | 2020 | 2021 | |
| CK | 832.84 ± 53.85 bcd | 828.10 ± 8.49 cd | 468.45 ± 24.89 ab | 453.49 ± 12.24 bc | 16.06 ± 0.70 d | 17.10 ± 0.87 d |
| W0.6N120 | 878.41 ± 50.31 abc | 758.85 ± 2.36 cdef | 545.32 ± 33.33 a | 429.11 ± 15.31 cd | 19.41 ± 0.84 abc | 19.58 ± 1.39 bc |
| W0.6N240 | 926.13 ± 36.24 ab | 1025.06 ± 39.52 ab | 546.20 ± 45.62 a | 506.83 ± 19.03 ab | 18.89 ± 0.74 abc | 20.40 ± 0.67 b |
| W0.6N360 | 973.00 ± 28.11 a | 1070.28 ± 47.72 a | 550.22 ± 19.32 a | 516.71 ± 30.52 a | 21.00 ± 1.30 abc | 23.51 ± 0.19 a |
| W0.5N120 | 805.94 ± 37.17 cd | 806.19 ± 80.45 cde | 457.97 ± 31.28 b | 409.54 ± 32.44 cd | 18.22 ± 0.87 bcd | 17.00 ± 0.94 d |
| W0.5N240 | 848.83 ± 16.09 bcd | 885.51 ± 27.97 bc | 483.81 ± 37.30 ab | 459.45 ± 8.93 abc | 17.42 ± 0.62 cd | 19.13 ± 0.10 bcd |
| W0.5N360 | 819.91 ± 7.68 cd | 768.92 ± 4.56 cdef | 489.50 ± 11.75 ab | 433.62 ± 6.65 cd | 19.68 ± 0.54 abc | 20.11 ± 0.19 b |
| W0.4N120 | 788.33 ± 41.90 cd | 654.27 ± 11.47 f | 458.66 ± 19.88 b | 387.83 ± 18.39 d | 17.42 ± 0.66 cd | 18.30 ± 0.69 bcd |
| W0.4N240 | 765.68 ± 17.06 d | 709.97 ± 106.43 def | 438.10 ± 22.94 b | 403.08 ± 34.31 cd | 17.65 ± 0.36 bcd | 17.91 ± 0.78 cd |
| W0.4N360 | 829.85 ± 27.23 bcd | 669.36 ± 1.72 ef | 503.34 ± 9.45 ab | 401.45 ± 1.12 cd | 20.00 ± 1.12 ab | 19.71 ± 0.08 bc |
| Year | ns | ** | ns | |||
| Water | ** | ** | ** | |||
| Nitrogen | ** | ** | ** | |||
| Year × Water | * | ns | ns | |||
| Year × Nitrogen | ns | ns | ns | |||
| Water × Nitrogen | ** | ns | ns | |||
| Year × Water × Nitrogen | ns | ns | ns | |||
| Treatment | Seed Cotton Yield (g·plant−1) | Lint Cotton Yield (g·plant−1) | Lint Percentage (%) | |||
|---|---|---|---|---|---|---|
| 2020 | 2021 | 2020 | 2021 | 2020 | 2021 | |
| CK | 60.92 ± 3.30 d | 67.51 ± 3.87 fg | 23.45 ± 1.27 e | 28.66 ± 1.52 ef | 38.50 ± 0.01 a | 42.47 ± 0.18 a |
| W0.6N120 | 70.92 ± 0.72 cd | 73.82 ± 0.12 efg | 26.47 ± 0.94 de | 30.85 ± 0.09 def | 37.31 ± 1.02 a | 41.80 ± 0.06 ab |
| W0.6N240 | 85.17 ± 3.37 ab | 82.00 ± 6.85 cde | 34.24 ± 1.95 ab | 33.22 ± 2.16 bcd | 40.15 ± 0.71 a | 40.63 ± 0.76 abc |
| W0.6N360 | 96.67 ± 5.26 a | 109.37 ± 1.67 a | 38.32 ± 0.80 a | 41.39 ± 0.19 a | 39.80 ± 1.49 a | 37.85 ± 0.40 d |
| W0.5N120 | 66.40 ± 6.70 cd | 76.64 ± 2.78 def | 26.26 ± 2.11 de | 30.29 ± 1.02 def | 39.74 ± 1.23 a | 39.52 ± 0.11 cd |
| W0.5N240 | 77.63 ± 5.02 bc | 78.69 ± 0.18 de | 28.66 ± 2.14 cd | 33.33 ± 0.58 bcd | 36.89 ± 0.76 a | 42.35 ± 0.83 a |
| W0.5N360 | 77.56 ± 3.55 bc | 94.63 ± 2.65 b | 31.51 ± 2.43 bc | 37.55 ± 1.50 ab | 40.52 ± 1.40 a | 39.65 ± 0.47 bcd |
| W0.4N120 | 64.66 ± 2.27 d | 67.07 ± 1.87 g | 25.19 ± 1.27 de | 27.39 ± 0.80 f | 38.92 ± 0.58 a | 40.83 ± 0.05 abc |
| W0.4N240 | 60.02 ± 4.05 d | 85.13 ± 3.85 bcd | 24.08 ± 0.40 e | 32.77 ± 3.12 cde | 40.51 ± 2.93 a | 38.32 ± 1.93 d |
| W0.4N360 | 71.95 ± 4.10 cd | 90.41 ± 2.60 bc | 27.34 ± 0.54 cde | 37.03 ± 1.34 abc | 38.16 ± 1.43 a | 40.94 ± 0.30 abc |
| Year | ** | ** | ** | |||
| Water | ** | ** | ns | |||
| Nitrogen | ** | ** | ns | |||
| Year × Water | * | * | ns | |||
| Year × Nitrogen | ns | ns | ns | |||
| Water × Nitrogen | * | ns | ns | |||
| Year × Water × Nitrogen | * | ns | ** | |||
| Treatment | ET | WUE | PFPN |
|---|---|---|---|
| Year | ** | ** | ** |
| Water | ** | ns | ** |
| Nitrogen | * | ** | ** |
| Year × Water | ns | ** | ns |
| Year × Nitrogen | ns | ns | ns |
| Water × Nitrogen | ns | * | ns |
| Year × Water × Nitrogen | ns | * | ns |
Disclaimer/Publisher’s Note: The statements, opinions and data contained in all publications are solely those of the individual author(s) and contributor(s) and not of MDPI and/or the editor(s). MDPI and/or the editor(s) disclaim responsibility for any injury to people or property resulting from any ideas, methods, instructions or products referred to in the content. |
© 2023 by the authors. Licensee MDPI, Basel, Switzerland. This article is an open access article distributed under the terms and conditions of the Creative Commons Attribution (CC BY) license (https://creativecommons.org/licenses/by/4.0/).
Share and Cite
Wang, Z.; Zhang, K.; Shao, G.; Lu, J.; Gao, Y. Effects of Water and Nitrogen Regulation on Cotton Growth and Hydraulic Lift under Dry Topsoil Conditions. Agronomy 2023, 13, 3022. https://doi.org/10.3390/agronomy13123022
Wang Z, Zhang K, Shao G, Lu J, Gao Y. Effects of Water and Nitrogen Regulation on Cotton Growth and Hydraulic Lift under Dry Topsoil Conditions. Agronomy. 2023; 13(12):3022. https://doi.org/10.3390/agronomy13123022
Chicago/Turabian StyleWang, Zhiyu, Kun Zhang, Guangcheng Shao, Jia Lu, and Yang Gao. 2023. "Effects of Water and Nitrogen Regulation on Cotton Growth and Hydraulic Lift under Dry Topsoil Conditions" Agronomy 13, no. 12: 3022. https://doi.org/10.3390/agronomy13123022
APA StyleWang, Z., Zhang, K., Shao, G., Lu, J., & Gao, Y. (2023). Effects of Water and Nitrogen Regulation on Cotton Growth and Hydraulic Lift under Dry Topsoil Conditions. Agronomy, 13(12), 3022. https://doi.org/10.3390/agronomy13123022
