Next Article in Journal
Chernozem Land Use Differentiation by Temperature-Dependent IR Spectra
Previous Article in Journal
The Seed–Seedling Transition in Commercial Soybean Cultivars with the Presence of Greenish Seeds in the Sample: A Perspective from Classical Genetic Parameters
 
 
Font Type:
Arial Georgia Verdana
Font Size:
Aa Aa Aa
Line Spacing:
Column Width:
Background:
Article

Effects of UV-B Radiation on the Chemical Composition of Azolla and Its Decomposition after Returning to the Field and Nitrogen Transformation in Soil

1
College of Resources and Environment, Yunnan Agricultural University, Kunming 650201, China
2
College of Horticulture and Landscape, Yunnan Agricultural University, Kunming 650201, China
*
Author to whom correspondence should be addressed.
Agronomy 2023, 13(8), 1968; https://doi.org/10.3390/agronomy13081968
Submission received: 1 July 2023 / Revised: 23 July 2023 / Accepted: 24 July 2023 / Published: 26 July 2023
(This article belongs to the Section Soil and Plant Nutrition)

Abstract

In the present research, the effects of UV-B radiation (5.00 kJ·m−2) on the chemical composition of Azolla were investigated, and the decomposition of Azolla residues after UV-B radiation, the nitrogen form, enzyme activity, and bacterial community in paddy soil were analyzed. Compared to the natural light treatment, the total nitrogen content of Azolla was significantly increased by 17.0% under UV-B radiation treatment. Compared to returned Azolla grown under natural light, the decomposition rate of cellulose, lignin, and total nitrogen of returned Azolla grown under UV-B radiation significantly increased, which led to an increase in the activities of nitrogen transformation enzymes, including neutral protease, ammonia monooxygenase, nitrogenase, nitrate reductase, and nitrite reductase, and the contents of different nitrogen forms (NH4+-N, NO3-N, soluble organic nitrogen, and microbial biomass nitrogen) in paddy soil, while N2O emission flux was significantly reduced by 20–30%. The dominant bacteria in soil supplied with Azolla grown under natural light were Firmicutes, Clostridia, Clostridiales, and Lachnospiraceae. However, returning Azolla grown under UV-B radiation to the soil significantly changed the bacterial community structure in soil, resulting in a decrease in the number of ammonifying bacteria, nitrifying bacteria, and nitrogen-fixing bacteria and an increase in the number of denitrifying bacteria, inducing changes in the dominant bacteria to Methanomicrobiales, Methanoregulaceae, and Methanoregula. According to the structural equation model, returning Azolla to the field would reduce N2O emissions by increasing Azolla lignin decomposition and ammonia monooxygenase activity, reducing the number of nitrifying bacteria and reducing nitrite reductase activity in soil. Thus, UV-B radiation can directly change the phytochemical components and their decomposition in soil, thus indirectly affecting the bacterial community structure, enzyme activity, and nitrogen transformation, which play important ecological roles in regulating the nutrient transformation of terrestrial ecosystems.

1. Introduction

Since the industrial revolution, the rapid increase in chlorofluorocarbons and nitrogen oxides discharged into the atmosphere has made the ozone layer thinner, and a real ozone hole has led to an increase in surface ultraviolet B (UV-B) radiation [1,2]. UV-B radiation has an important influence on plant growth, which will change the chemical composition of plants, thus affecting the decomposition rate of plant residues [3]. To adapt to the environment, plants will adjust their secondary metabolism and produce a certain amount of substances that resist or absorb ultraviolet light. Enhancing UV-B radiation has a major impact on the biosynthesis of defense-related secondary metabolites [4]. Therefore, UV-B radiation can affect phytochemical components and alter the decomposition of plant residues and nutrient transformation in soil, but its potential mechanism is unclear.
The increase in UV-B radiation is a major global climate change problem at present and in the future. Paddy fields are the largest cultivated land in China, and soil nitrogen transformation is one of the most important element cycles in paddy field ecosystems, as it determines their stability and sustainable productivity [5,6].
The increase in UV-B radiation is an important global climate change problem faced by rice field ecosystems that substantially affects the growth of rice [7], and Azolla imbricata changes the input and output of nitrogen in rice fields. Therefore, in the context of global climate change, an in-depth study on the effects of increased UV-B on nitrogen balance and transformation in paddy soil has become one of the current focuses of soil ecology [8,9].
Azolla, which grows and reproduces rapidly, is the most common floating nitrogen-fixing plant in rice fields, and its biomass on the water surface of rice fields can reach 14.92 t·ha−1 [10]. At field level, it has been reported that Azolla due to its quick decomposition and efficient nitrogen availability increases rice yield by 20–30% [11]. Anabaena-Azolla, which is symbiotic in its leaf cavity, has a strong biological nitrogen fixation capacity, with a monthly nitrogen fixation capacity of 30–60 kg·ha−1, and is an important nitrogen supplier for nitrogen cycling in rice fields [12,13]. Azolla introduces fixed nitrogen into the paddy field through root secretion and plant decomposition [14], and its potential contribution to nitrogen input in the paddy field reaches 37.6 kg N ha−1, which is helpful to maintain nitrogen balance and sustainable supply in paddy field soil [15]. Moreover, Azolla has the characteristics of high nitrogen content and low C/N, and it is easy to degrade after returning to the field, which can improve the number of microorganisms transformed by nitrogen, community composition, enzyme activity, and functional gene abundance; enhance the ammonification and nitrification of soil; and increase the content and supply of inorganic nitrogen in the soil [16,17].
The Yuanyang Terrace is located in Yuanyang County, Honghe Prefecture, Yunnan Province on a high hillside and is a typical winter paddy field in Southwest China. The local UV-B radiation is strong, and rice fields are flooded all year round. Azolla grows naturally, covering the whole water surface, forming a unique rice–Azolla rotation system. Chemical fertilizers are not used on the terraced paddy field, only rice straw is returned to the field, and Azolla biological nitrogen fixation maintains the nitrogen balance and has continuously supplied terraced fields for thousands of years, which is considered a typical representative of a sustainable and stable farmland ecosystem [18,19].
To explain the influence mechanism of UV-B radiation on the chemical composition of Azolla, decomposition after returning to the field, and nitrogen transformation in soil, this study examined the influence of UV-B radiation (5.00 kJ·m−2) on the chemical composition of Azolla in the Yuanyang terraced rice field and analyzed the decomposition of Azolla residues after radiation and the dynamic changes in soil nitrogen forms, activities, and bacterial communities in the rice field. It was found in the early stage that enhanced UV-B radiation would inhibit the growth of Azolla, leading to the increase in N content and accumulation of Azolla [20]. Therefore, a scientific hypothesis is put forward regarding enzyme activity with nitrogen transformation: the increase in UV-B radiation changes the chemical composition and decomposition of Azolla, thus changing the biological properties of soil and affecting the nitrogen transformation process of paddy soil. These research results can provide a scientific basis for improving nitrogen utilization rate and reducing the negative impact of environment on soil in Yuanyang terraced fields, a sustainable and stable farmland ecosystem, and enrich the theory of global climate change and nitrogen cycling in paddy fields.

2. Materials and Methods

2.1. Experimental Site Overview and Test Materials

The experimental site is located in Qingkou Village, Xinjie Town, Yuanyang County, Yunnan Province (23°7′ N, 102°44′ E). The region is mountainous and is rainy with monsoons. The elevation of terraces is approximately 1600 m, the annual average temperature is 15 °C, and the annual average precipitation is 1398 mm. The physical and chemical properties of the tested soil are as follows: pH is 5.32; organic matter content is 26.8 g·kg−1; total nitrogen, total phosphorus, and total potassium contents are 1.91, 0.65 and 16.4 g·kg−1, respectively; and the contents of alkali-hydrolysable nitrogen, available phosphorus, and available potassium are 76.4, 15.7 and 101 mg·kg−1, respectively. The tested Azolla grows naturally between terraced rice fields in Yuanyang, Yunnan.

2.2. Experimental Design

Community setting: the experimental community was 3.90 m long and 2.25 m wide, and pesticides and fertilizers were not used during the growth period of Hongping. UV-B radiation treatment: a lamp holder with an adjustable length was installed above each row of rice, a UV-B lamp tube (40 W, wavelength 280~320 nm, low pressure mercury lamp, Shanghai Gucun Instrument Factory) was set up. The height of the lamp holder was adjusted, and the radiation intensity of Azolla plant was measured on the water surface as 5 kJ·m−2 using a UV-B radiation tester (UV-340, Beijing Normal University, Beijing, China). The Azolla irradiation treatment was set up with two groups of natural light (0 kJ·m−2) and UV-B radiation (5 kJ·m−2), corresponding to 0% and 20% local ozone attenuation. The daily irradiation time was set at 7 h (10:00–17:00), and the UV-B radiation treatment was not carried out on cloudy or rainy days. In the natural light group, an ultraviolet lamp holder was also hung above the plants to ensure that the natural light conditions of the treatment group and the control group were consistent.
Sample collection: First, 10 g (fresh weight) of Azolla growing under natural illumination and UV-B radiation was weighed and placed in 100 mesh net bags. The net bags were sealed and buried in the soil, with the net bag 10 cm away from the soil surface. Three locations in each plot were buried for in situ culture, and three bags were taken every 15 days to determine the degradation rate of cellulose, lignin, and total nitrogen in Azolla (Figure 1A). 1.3 g of Azolla growing under natural illumination and UV-B radiation (Azolla yield per unit area × 20 cm × soil bulk density base) was collected, 156 g of fresh soil was weighed, impurities were removed, and the soil was placed into self-sealed bags. Then, 50 mL of pure water was added, mixed well and sealed. To prevent the self-sealed bag from being damaged and to keep it flooded, it was placed into a 250 mL plastic bottle, and the bottle was filled with water. Bottles were buried in three locations in each plot for in situ culture, and Azolla was returned to the field for 15 days. Three bottles were taken each time to determine the soil nitrogen content, N2O emission flux, enzyme activity, and microbial community structure (Figure 1B).

2.3. Determination of Chemical Components of Plants

Plant total nitrogen was determined by the Kjeldahl method with concentrated sulfuric acid digestion [21]: 0.5 g of plant sample was weighed and put into a 250 mL volumetric flask, then 12 mL of concentrated sulfuric acid was added overnight, and then it was put on a digestion furnace for low heat digestion to remove the sulfuric acid. When the solution was uniform brown–black, it was removed, and 6–10 drops of H2O2 were added while it was hot. It was then heated to a low boil and simmered for approximately 10 min. After it was left to cool slightly, H2O2 was added repeatedly while it was still hot, and then it was simmered. This was repeated 3–5 times. After the solution became clear, the digested solution was transferred into a 100 mL volumetric flask, and the total nitrogen content of the plant was determined by a Kjeldahl nitrogen analyzer.
Plant cellulose was determined by the nitric acid–ethanol method [22]: 1 g (m1) of the plant sample was weighed, and 25 mL of an nitric acid–ethanol mixture (1:4 by volume) was added, condensed, and refluxed for 1 h. This operation was repeated several times until the fibers turned white. The solvent was removed by filtration, and then the residue was washed with 10 mL of nitric acid–ethanol mixture, then washed with hot water until the washing solution was not visible. Then, the residue was washed with 10 mL of nitric acid–ethanol mixture, washed with hot water until the washing solution was not acidic, and finally washed with anhydrous ethanol twice, and the filtered residue was dried to a constant weight and weighed (m2). Calculation formula: cellulose mass fraction = m2/m1 × 100%.
Determination of plant lignin: A kit provided by Suzhou Grace Biotechnology Co., Ltd. (Suzhou, China) was used to determine plant lignin content using the acetylation method. The phenolic hydroxyl group in lignin is acetylated; the acetylated lignin has a characteristic absorption peak at 280 nm, and the absorption value at 280 nm is positively correlated with lignin content.

2.4. Determination of Soil Nitrogen Content

The content of NH4+-N was determined using KCl indophenol blue colorimetry [21]: A fresh soil sample and KCl solution were placed in a 150 mL triangular flask and filtered after shaking; the filtrate, phenol solution, and sodium hypochlorite alkaline solution were placed in a volumetric flask, shaken evenly, and placed at room temperature (approximately 20 °C) for 1 h; then a masking agent was added, and the volume was determined with pure water. The color was compared at the wavelength of 420 nm.
The content of NO3-N was determined by phenol sulfonic acid colorimetry [23]: A fresh soil sample, CaSO4·2H2O, and water were put in a triangular flask, filtered after shaking, and the filtrate was put in a porcelain evaporating dish with CaCO3 and dried in a water bath. Then, phenol disulfonic acid reagent was added and left to stand. Water and 1:1 NH4OH was added until the solution was slightly yellow, and the volume was fixed to a 100 mL volumetric flask with a wavelength of 420 nm.
The content of soluble organic nitrogen was determined using the difference subtraction method between soluble total nitrogen and soluble inorganic nitrogen [24]: 5 g of fresh soil sample was weighed in a 50 mL stoppered triangular flask, added to 25 mL distilled water, heated and extracted at 70 °C for 18 h, shaken for 5 min, then centrifuged for 10 min by a high-speed centrifuge, and the leaching solution was filtered by a 0.45 μm microporous organic filter membrane. The total soluble nitrogen in the filtrate was determined using a total organic carbon analyzer with a nitrogen detector, and the total soluble organic nitrogen = total soluble nitrogen–NH4+-N–NO3-N.
The content of microbial biomass nitrogen was determined by the Kjeldahl method with chloroform fumigation [25]: Two soil samples of 12.5 g were weighed. One was put into a vacuum dryer and fumigated with chloroform for 24 h, and the other was not fumigated as a control, and the water content of the soil samples was determined at the same time. After fumigation, the samples were transferred to 100 mL plastic bottles, and then 50 mL (water–soil ratio of 4:1) of 0.5 mol·L−1 pure K2SO4 solution was added, shaken at 180 r·min−1 for 30 min, and then filtered. In addition, 50 mL of 0.5 mol·L−1 potassium sulfate solution without soil samples was used as a blank control. Finally, the nitrogen content of the filtrate was determined using the soil total organic carbon automatic analyzer, and the microbial biomass nitrogen was the difference in nitrogen content between the fumigated and nonfumigated samples.
Determination of N2O emission flux [26]: Three bottles of soil samples collected each time were brought back to the laboratory. When collecting gas, the rubber plug was sealed first, and the gas in the bottle was pumped out by syringe and stored in a vacuum aluminum foil gas bag. The sampling times were 0, 10, 20, and 30 min. Gas samples were determined by gas chromatography (Agilent 7890B, Shanghai). The carrier gas used for N2O determination was 99.9% high-purity argon methane (Ar2:CH4 = 95:5), the detector was an electron capture detector (ECD), and the detection temperature was 350 °C. Calculation formula: F = ρ × V × dc/dt × 273/(273 + T), where F is the N2O gas emission flux (μg·m−2·h−1); ρ is the gas density under standard conditions (1.25 kg·m−3); V is the volume in the bottle (L); dc/dt is the linear change rate of gas concentration per unit time (nL·L−1·h−1); and T is the temperature in the box (K).

2.5. Determination of Soil Enzyme Activity

Determination of nitrate reductase [27]: CaCO3, 2,4-dinitrophenol solution, KNO3, and glucose solution were added to air-dried samples, shaken well and sealed for 24 h; distilled water and saturated solution of aluminum-potassium-alum were added, shaken and filtered, and the filtrate was taken. Chromogenic agent was added, shaken to constant volume, and the absorbance was measured at 520 nm.
Nitrite reductase determination [28]: CaCO3, NaNO2, and glucose solution were added to air-dried samples, samples were shaken and sealed for 24 h, distilled water and saturated solution of aluminum potassium alum was added. Samples were filtered after shaking, and filtrate was taken and chromogenic agent was added; samples were shaken until constant volume was achieved the absorbance was measured at 520 nm.
Determination of neutral protease, ammonia monooxygenase, and nitrogenase: Using the kit provided by Suzhou Grace Biotechnology Co., Ltd., the soil enzyme level in the sample was determined using the double antibody sandwich method.

2.6. Determination of the Soil Nitrogen Transformation Bacterial Community

Determination of the number of nitrogen-transforming bacteria in soil [29]: Ten grams of fresh soil sample was weighed into a triangular flask, 90 mL of sterile water was added for full shaking to obtain a soil suspension, and then different gradients were selected and prepared according to the types of cultured bacteria. The number of nitrogen-fixing bacteria and ammonifying bacteria in soil was determined using the dilution plate method, and the number of nitrifying bacteria and denitrifying bacteria in soil was determined using the MPN dilution method.
MPN dilution method [29]: (1) According to the approximate number of microbial groups in the soil, five connected dilutions are selected, and suspensions with different dilutions are inoculated into test tubes of different media, respectively. Each tube receives 1 mL of suspension, and each dilution is repeated by 5 tubes, that is, 25 tubes of each culture of a sample. (2) The dilutions were cultured at 28 °C for 7~14 days, and the results according to the growth or reaction of each physiological group were recorded. (3) To determine the quantitative index, the first digit of the quantitative index is the highest dilution, at which all repetitions in the dilution series grow (or react positively). (4) The water content of the sample was set at 60%. The dry soil is 40%:
The   number   of   bacteria   per   gram   of   dry   soil = 25 × 10 2 × 100 40

2.7. Statistical Analysis of Data

The experimental data were processed using Microsoft Excel 2016 and included the average of three replicates, expressed as the mean standard deviation. The data were analyzed by one-way ANOVA using IBM SPSS Statistics 26, and multiple comparisons were made between groups using least-significant difference (LSD) and Duncan models. Origin 21 was used to visualize the decomposition of Azolla, the number of soil bacteria, enzyme content, nitrogen content, and the heatmap of correlation analysis. The structural equation model (SEM) was constructed by Amos. A structural equation model (SEM) is established by Amos 24 software, in which the χ2 value (0 ≤ χ2/df ≤ 2), p value (0.05 < p ≤ 1.00), comparative fitting index (0.95 < CFI ≤ 1.00) and approximate root mean square error (0 ≤ RMSEA ≤ 0.05) were adopted [30].

3. Results

3.1. Effect of UV-B Radiation on the Chemical Composition of Azolla

Compared with the Azolla grown under natural light, the cellulose content of Azolla grown under UV-B radiation decreased and the lignin content increased, but the difference was not significant, and the total nitrogen content increased significantly by 17.0% (Table 1). UV-B radiation has a certain degree of influence on the chemical composition changes of Azolla.

3.2. Decomposition of Azolla and Its Effect on Soil Nitrogen Transformation

Compared with Azolla grown under natural light, Azolla grown under UV-B radiation had significantly reduced cellulose content after 15 days and 105 days and a significantly increased decomposition rate. After returning to the field for 15 days, 30 days, 45 days, 60 days, and 105 days, the lignin content of Azolla residues decreased significantly or extremely significantly, and the decomposition rate increased significantly or extremely significantly. After returning to the field for 45 days and 105 days, the total nitrogen content of Azolla residues decreased significantly, and the decomposition rate of Azolla residues increased significantly (Figure 2) after returning to the field for 15 days, 30 days, 45 days, 60 days, and 105 days. UV-B radiation has a significant effect on the decomposition of Azolla. Two-factor analysis showed that time had a significant effect on cellulose, lignin, total nitrogen content, and the decomposition rate of Azolla. UV-B radiation had a significant effect on the content and decomposition rate of cellulose and lignin and the decomposition rate of total nitrogen in Azolla. There was a significant correlation between time and UV-B radiation in influencing cellulose, lignin, total nitrogen content, and cellulose decomposition rate, and there was a significant interaction in influencing total nitrogen decomposition rate.
Compared with Azolla growing under natural light, the soil NO3-N content of Azolla growing under UV-B radiation increased significantly for 15 days and 45 days, with increasing rates of 61% and 231%, respectively. After returning to the field for 30 days, the content of soil soluble organic nitrogen increased significantly, with an increased rate of 27%. After returning to the field for 15 days, the soil microbial biomass nitrogen content increased significantly, with an increased rate of 33% (Figure 3). Returning Azolla to the field after UV-B radiation affects soil nitrogen transformation. Two-factor analysis showed that time had a significant effect on soil NH4+-N, NO3-N, soluble organic nitrogen, and microbial biomass nitrogen. UV-B radiation had a significant effect on soil NO3-N and microbial biomass nitrogen content. Time and UV-B radiation had significant interaction effects on the contents of NO3-N, soluble organic nitrogen, and microbial biomass nitrogen in the soil.
Compared to Azolla returned to the field grown under natural light, Azolla returned to the field grown under UV-B radiation showed a significant decrease in soil N2O emission flux, with a decrease in 20–31%, with the same trend in both treatments, both showing an increase followed by a decrease, and the peak N2O emission flux reached at 30 days of return to the field (45.4 μg·m−2·h−1 and 31.4 μg·m−2·h−1) (Figure 4). The return of Azolla to the field after UV-B radiation resulted in a significant reduction in soil N2O emission flux. The two-factor analysis showed that time and UV-B radiation had highly significant effects on soil N2O emission fluxes, and there was a highly significant interaction between them.

3.3. Effect of Azolla Decomposition on Soil Biological Properties

Compared with Azolla grown under natural light, Azolla grown under UV-B radiation significantly increased the content of neutral protease in soil on the 45th, 60th, and 105th days, with increasing rates of 25%, 23%, and 16%, respectively. After 30 days, the contents of nitrate reductase and nitrite reductase in soil increased significantly by 85% and 18%, respectively (Figure 5). The content of enzyme activity with nitrogen transformation in soil changed when Azolla was returned to the field after UV-B radiation. Two-factor analysis showed that time had a significant effect on the contents of soil-neutral protease, nitrogenase, nitrate reductase, and nitrite reductase, while UV-B radiation had a significant effect on the contents of soil-neutral protease, ammonia monooxygenase, nitrate reductase and nitrite reductase, and nitrogen-fixing enzyme. Time and UV-B radiation had a significant effect on the contents of soil-neutral protease, ammonia monooxygenase, nitrate reductase, and nitrite reductase.
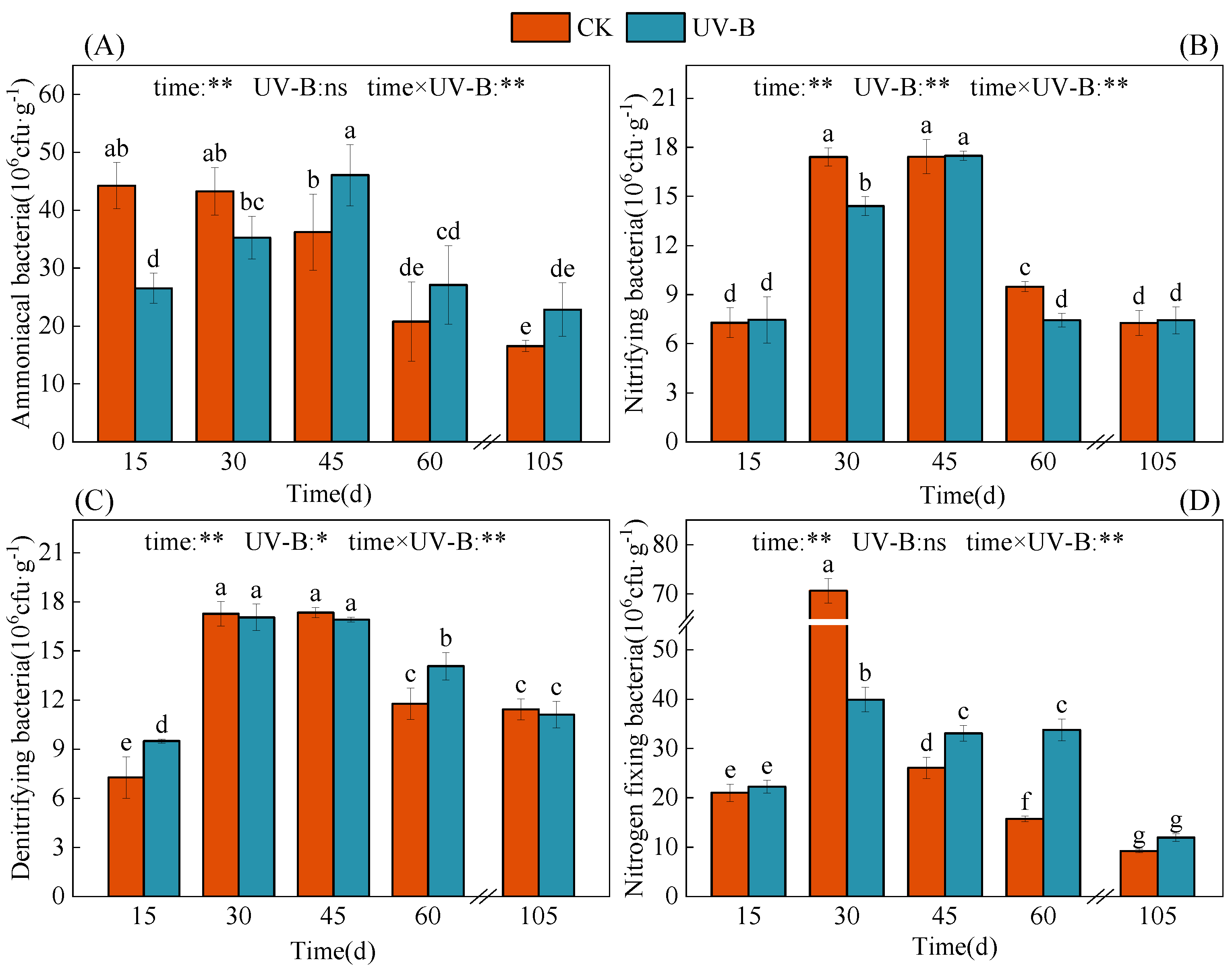
Compared with Azolla grown under natural light, Azolla grown under UV-B radiation significantly reduced the number of soil-ammonifying bacteria by 40% when it was returned to the field for 15 days and significantly increased the number of ammonifying bacteria by 27% when it was returned to the field for 45 days. After being returned to the field for 30 days and 60 days, the number of soil-nitrifying bacteria decreased significantly by 17% and 22%, respectively. After being returned to the field for 15 days and 60 days, the number of soil-denitrifying bacteria increased significantly, with increased rates of 31% and 19%, respectively. The number of nitrogen-fixing bacteria in the soil decreased significantly by 44% after 30 days and increased significantly by 27% and 115% after 45 days and 60 days, respectively (Figure 6). The return of Azolla to the field after UV-B radiation affected the number of nitrogen-transforming bacteria in the soil. Two-factor analysis showed that time had a very significant effect on the number of soil-ammonifying bacteria, nitrifying bacteria, denitrifying bacteria, and nitrogen-fixing bacteria, while UV-B radiation had a very significant or a significant effect on soil nitrifying bacteria and denitrifying bacteria, and there was a very significant interaction between time and UV-B radiation on the number of soil ammonifying bacteria, nitrifying bacteria, denitrifying bacteria and nitrogen-fixing bacteria.
In the LEfSe cluster tree, the red nodes represent the microorganisms that played an important role in the soil of Azolla returning to the field after natural illumination; the blue nodes represent the microorganisms that played an important role in the soil of Azolla after UV-B radiation. Microbe groups that did not play an important role in different groups are represented by yellow nodes (Figure 7A). From the inside out, the level of species represented by each circle is in turn: kingdom, phyla, class, order, family, and genus. From the linear discriminant analysis (LDA) diagram of LEfSe analysis, there are significant differences between the two groups. After natural illumination, there were four bacterial groups in the soil of Azolla returning to the field (LDA > 2), and the abundances of bacteria in Firmicutes, Clostridia, Clostridiales, and Lachnospiraceae were significantly higher than those in the soil of Azolla returning to the field after UV-B radiation (p < 0.05). After UV-B radiation, the abundances of three bacterial groups in the soil of Azolla were significantly higher (LDA > 2), and the abundances of Methanomicrobiales, Methanoregulaceae, and Methanoregula were significantly higher than those of Azolla after natural illumination (p < 0.05) (Figure 7B). The return of Azolla to the field after UV-B radiation significantly changed the dominant bacterial flora in the soil.

3.4. Correlation Analysis

Correlation analysis showed that the NH4+-N content, NO3-N content, and microbial biomass nitrogen (MBN) content were negatively correlated with cellulose decomposition rate (CR), lignin decomposition rate (LR), and the decomposition rate of total nitrogen (TNR); the soluble organic nitrogen (SON) content and N2O emission flux were positively correlated with NB (nitrifying bacteria), denitrifying bacteria (DB), nitrogenase (FE), neutral protease (PE), FE, nitrate reductase (NE), and nitrite reductase (RE); and the NH4+-N content, NO3-N content and N2O emission flux were positively correlated with ammonifying bacteria (AB). The NH4+-N content was significantly negatively correlated with PE and FE, the NO3-N content was significantly positively correlated with FE, NE, and RE, and the MBN content was significantly or extremely significantly negatively correlated with DB, PE, ammonia monooxygenase (AE), and FE and significantly positively correlated with NE (Figure 8). In conclusion, there was a significant or extremely significant correlation between the decomposition of components, the number of bacteria, and the enzyme content and soil nitrogen content, which played an important role in the process of soil nitrogen conversion.
Redundancy analysis (RDA) showed that the decomposition of Azolla, the number of soil microbacteria, and enzyme activity explained 74.39% of the change in soil nitrogen content. Based on the Monte Carlo permutation test, LR (40.3%) was the main reason for the change in soil nitrogen content, followed by RE (31.0%) and NB (8.6%) (Figure 9).
The structural equation model (SEM) showed that 84% of N2O emissions can be explained by the selected variables. LR, NB, AE, RE, and MBN had a significant direct impact on the N2O emission flux, while LR, AE, and MBN had a significant inhibitory effect on the N2O emission flux, and NB and RE had a very significant promotion effect on the N2O emission flux. LR and NB were negatively correlated with MBN (Figure 10). The increase in residue LR of Azolla promotes soil AE activity, while the increase in AE activity leads to a decrease in N2O emission flux. In addition, the decrease in NB quantity promotes the increase in MBN content, which is beneficial to N2O emission reduction. Returning Azolla irradiated by UV-B to the field reduced N2O emission flux, which was the comprehensive result of the decomposition of the chemical components of Azolla, changes in soil bacteria number, and enzyme activity.

4. Discussion

4.1. Response of Chemical Composition Change and Residue Decomposition of Azolla to Enhanced UV-B Radiation

UV-B radiation inhibits the growth of Azolla [31,32]. Early reports show that UV-B radiation has a serious impact on the chlorophyll and thylakoid membrane of plants, which inhibits chlorophyll biosynthesis. Enhancing UV-B radiation during growth leads to a significant decrease in chlorophyll content. Because the leaves of Azolla have only two or three layers of mesophyll tissue, the photosynthetic pigments will fade after UV-B treatment, so Azolla irradiated by UV-B grows slowly. In this study, the component content of Azolla after returning to the field under UV-B radiation is lower than that under natural light, which is closely related to this reason [33]. However, in order to cope with UV-B radiation damage, plants have evolved a variety of mechanisms, including: screening UV-B radiation by accumulating UV-absorbing phenolic compounds, such as flavonoids and anthocyanins, in the leaf epidermis, repairing UV-induced DNA damage, and forming antioxidants to scavenge peroxides and oxygen free radicals. It is found that the content of secondary metabolites, such as flavonoids, tannins, and lignin, in plants increases with the enhancement of UV-B radiation [34,35]. This is consistent with the conclusion that the lignin of Azolla grown under UV-B radiation is higher than that of Azolla grown under natural light.
Enhanced UV-B radiation limits the utilization of nitrogen by plants and reduces the nitrogen fixation potential, and the nitrogen fixation of cyanobacteria and bryophytes exposed to enhanced UV-B radiation is reduced by 50% [36]. This is contrary to the conclusion found in this experiment that UV-B radiation significantly increases the total nitrogen content of Azolla. The reason for this phenomenon may be that the experimental setting of UV-B radiation intensity is suitable for Azolla growth. Only when UV-B radiation exceeds a certain threshold will plants show symptoms of injury. Appropriate UV-B radiation can be used as an auxiliary light source for plant growth, which has a positive effect on plant growth and development [37]. The decomposition rate of cellulose, lignin, and total nitrogen of Azolla residues increased significantly after UV-B radiation, mainly because enhanced UV-B radiation can break the contact between soil organic matter and the environment, make organic matter and lignin and other compounds undergo a photochemical transformation, generate small molecular organic matter that is easily soluble and easily utilized by microorganisms, and accelerate the decomposition process of soil plant residues.

4.2. Response of Nitrogen Transformation in Paddy Soil to Azolla Returning to Field after UV-B Radiation

Nitrogen is not only an essential nutrient element for plant growth and development but also a limiting element for plant growth [38,39]. Nitrogen in soil mainly exists in two forms: organic nitrogen and inorganic nitrogen. Organic nitrogen is the largest nitrogen pool in soil, accounting for more than 95% of the total nitrogen. Its composition is extremely complex, and its availability is very low. Plant roots can directly absorb and utilize a small part of soluble organic nitrogen. The composition of inorganic nitrogen is relatively simple, mainly consisting of NH4+-N and NO3-N, which are the main available nitrogen forms in soil [40,41]. The mutual transformation of organic nitrogen and inorganic nitrogen in the soil is the transformation process of soil nitrogen. Nitrogen transformation in paddy soil includes ammoniation, nitrification, denitrification, and other main processes, which are greatly affected by the growth of Azolla, root exudates, and decomposition when Azolla is returned to the field [42].
Ammonification is the initial process of nitrogen transformation, and it is the process of soil nitrogen from an organic state to an inorganic state under the action of microorganisms. Soil-neutral protease can hydrolyze protein and peptides into amino acids and decompose nitrogen-containing macromolecular organic nitrogen into micromolecule organic nitrogen, which is further converted into NH4+-N [43]. Ammonia monooxygenase is the rate-limiting enzyme of ammoniation, which converts ammonia into hydroxylamine [44]. The application of Azolla after UV-B radiation increased the NH4+-N content in the soil, mainly due to the increase in neutral protease and ammonia monooxygenase activities, which promoted ammonifying bacteria to transform organic nitrogen into NH4+-N and increased the NH4+-N content of the ammonifying substrate.
Nitrification refers to the process of transforming NH4+ into NO2 or NO3 by nitrifying microorganisms. Denitrification refers to the process by which denitrifying microorganisms reduce NO2 or NO3 to gaseous NO, N2O, and N2 [45,46]. Soil organic matter produces inorganic nitrogen during mineralization, mainly NO3-N, and a small amount of NH4+-N will be partially converted into NO3-N under the promotion of UV-B radiation, resulting in a significant increase in the content of NO3-N in soil under UV-B radiation [47]. This is consistent with the conclusion found in this experiment that returning Azolla to the field after UV-B radiation increases the NO3-N content in paddy soil. Nitrate reductase is the first enzyme involved in the denitrification process, and its activity is affected by the number of substrates [48]. In this experiment, the NO3-N content in the soil of Azolla after UV-B radiation increased, and the nitrate reductase activity increased accordingly.
Soluble organic nitrogen plays an important role in the soil nitrogen cycle, and it is the source and sink of soil inorganic nitrogen, which affects the nutrient supply of NH4+-N and NO3-N downstream in the soil nitrogen transformation chain [49]. In this experiment, it was found that returning Azolla to the field after UV-B radiation increased the content of soil soluble organic carbon, which was closely related to the extremely significant increase in the total nitrogen content of Azolla and the increase in the soluble organic carbon source by Azolla residue. In this study, the soluble nitrogen in the soil was mainly organic; soil microorganisms can first use organic nitrogen to meet their own growth and reproduction needs, which may be the reason for the increase in soil bacterial abundance. Usually, there is a significant positive correlation between soil microbial biomass nitrogen and soluble organic nitrogen, and soil microbial biomass nitrogen mainly comes from bacteria [50]. In this experiment, the increase in microbial biomass nitrogen content in Azolla after UV-B radiation for 15 days and 30 days was closely related to the increase in soil bacteria.

4.3. Response of N2O Emission from Paddy Soil to the Application of Azolla after UV-B Radiation

N2O production in paddy soil is mainly caused by the nitrification and denitrification of nitrogen under the action of nitrifying bacteria and denitrifying bacteria [51]. UV-B radiation increased the activities of soil nitrate reductase and protease by affecting soil microbial carbon nitrogen and soil microbial C/N, which promoted the transformation of NH4+-N to NO3-N and led to an increase in N2O emissions [52]. However, in this experiment, UV-B radiation led to a decrease in N2O emission flux in the soil of Azolla returning to the field, which was related to the decrease in the number of nitrifying bacteria in Azolla returning to the field after UV-B radiation, and at the same time, UV-B radiation increased the decomposition rate of total nitrogen in Azolla and decreased the nitrogen content and accumulation of Azolla, which led to a decrease in N2O emission flux. In addition, the structural equation model showed that there was a significant negative correlation between the microbial biomass nitrogen content and N2O emission flux. After UV-B radiation, the microbial biomass nitrogen content in the soil returned to the field increased significantly, and the N2O emission flux decreased due to the assimilation of microorganisms.
In summary, UV-B radiation changed the chemical composition and decomposition of Azolla and then affected the biological properties of soil, changing the nitrogen content of the soil and resulting in a decrease in the N2O emission flux. This result shows that greenhouse gas emissions (N2O) are closely related to UV-B radiation. However, only one intensity of UV-B radiation was carried out in this experiment, and the effect of returning Azolla to the field after the different intensities of UV-B radiation on soil nitrogen transformation needs further study.

5. Conclusions

UV-B radiation significantly increased the total nitrogen content of Azolla. After UV-B radiation, the decomposition rate of cellulose, lignin, and total nitrogen in Azolla residue was accelerated, which led to an increase in NH4+-N, NO3-N, soluble organic nitrogen, and microbial biomass nitrogen and a decrease in N2O emission flux. The lignin decomposition rate, the number of nitrifying bacteria, and nitrite reductase activity are dominant in soil nitrogen transformation, and the reduction in N2O emission by returning Azolla after UV-B radiation is mainly achieved by increasing Azolla lignin decomposition, reducing the number of nitrifying bacteria in soil and reducing nitrite reductase activity. This study helps to deepen the understanding of the mechanism of enhanced UV-B radiation on the nitrogen cycle in rice fields, and it is very important to accurately estimate the impact of UV-B radiation on greenhouse gas emissions of farmland ecosystems in a changing global environment.

Author Contributions

L.C. contributed to the formal analysis, data curation, and writing original draft. H.L. contributed to the writing and drafting of the original draft and data analysis. C.L. performed the experiment and data analysis. X.L. and C.X. contributed to the conception of the study and resources. Z.L. and Y.L. helped the experimental resources. F.Z. contributed the review and editing. Y.H. contributed to project administration and funding acquisition. All authors have read and agreed to the published version of the manuscript.

Funding

This work was financially supported by the National Natural Science Foundation of China (Nos. 32060287) and the Key agricultural joint projects in Yunnan province. (Nos. 202301BD070001-014).

Data Availability Statement

The data presented in this study are available upon request from the corresponding author.

Acknowledgments

The authors would like to thank all the participants of this study for their cooperation.

Conflicts of Interest

The authors declare no conflict of interest.

References

  1. Solomon, S.D.; Ivy, J.; Kinnison, D.; Mills, M.J.; Neely, R.R.; Schmidt, A. Emergence of healing in the Antarctic ozone layer. Science 2016, 353, 269–274. [Google Scholar] [CrossRef] [PubMed]
  2. Fang, X.; Pyle, J.A.; Chipperfield, M.P.; Daniel, J.S.; Park, S.; Prinn, R.G. Challenges for the recovery of the ozone layer. Nat. Geosci. 2019, 12, 592–596. [Google Scholar] [CrossRef]
  3. Sullivan, J.H. Possible impacts of changes in UV-B radiation on North American trees and forests. Environ. Pollut. 2005, 137, 380–389. [Google Scholar] [CrossRef] [PubMed]
  4. Germ, M.; Spahic, I.; Gaberscik, A. Morphological, biochemical and physiological responses of Indian cress (Tropaeolum majus) to elevated UV-B radiation. Period. Biol. 2015, 117, 357–364. [Google Scholar] [CrossRef]
  5. Kuypers, M.M.M.; Marchant, H.K.; Kartal, B. The microbial nitrogen-cycling network. Nat. Rev. Microbiol. 2018, 16, 263–276. [Google Scholar] [CrossRef]
  6. Li, Z.L.; Tian, D.S.; Wang, B.X.; Wang, J.S.; Wang, S.; Han, Y.H.; Xu, X.F.; Wang, C.H.; He, N.P.; Niu, S.L. Microbes drive global soil nitrogen mineralization and availability. Glob. Chang. Biol. 2019, 25, 1078–1088. [Google Scholar] [CrossRef]
  7. Polvani, L.M.; Previdi, M.; England, M.R.; Chiodo, G.; Smith, K.L. Substantial twentieth-century Arctic warming caused by ozone-depleting substances. Nat. Clim. Chang. 2020, 10, 130–133. [Google Scholar] [CrossRef]
  8. Xu, Z.Z.; Jiang, Y.L.; Zhou, G.S. Nitrogen cycles in terrestrial ecosystems: Climate change impacts and mitigation. Environ. Rev. 2016, 24, 132–143. [Google Scholar] [CrossRef]
  9. Rillig, M.C.; Ryo, M.; Lehmann, A.; Carlos, A.; Trigueros, A.; Buchert, S.; Wulf, A.; Iwasaki, A.; Roy, J.; Yang, G.W. The role of multiple global change factors in driving soil functions and microbial biodiversity. Science 2019, 366, 886–890. [Google Scholar] [CrossRef]
  10. Oyange, W.A.; Chemining’wa, G.N.; Kanya, J.I.; Njiruh, P.N. Azolla fern in Mwea Irrigation Scheme and its potential nitrogen contribution in paddy rice production. J. Agric. Sci. 2019, 11, 30–44. [Google Scholar] [CrossRef]
  11. Prasad, S.M.; Kumar, S.; Parihar, P.; Rachana, S. Interactive effects of herbicide and enhanced UV-B on growth, oxidative damage and the ascorbate-glutathione cycle in two Azolla species. Ecotoxicol. Environ. Saf. 2016, 133, 341–349. [Google Scholar] [CrossRef]
  12. Adzman, N.; Goh, S.J.; Johari, A.; Zainal Alam, M.N.H.; Kamaruddin, M.J. Preliminary study on Azolla cultivation and characterization for sustainable biomass source. J. Phys. Conf. Ser. 2022, 2259, 012018. [Google Scholar] [CrossRef]
  13. Yadav, R.K.; Abraham, G.; Singh, Y.V.; Singh, P.K. Advancements in the utilization of Azolla-anabaena system in relationto sustainable agricultural practices. Proc. Indian Natl. Sci. Acad. 2014, 80, 301–316. [Google Scholar] [CrossRef]
  14. Oinam, G.; Indira, W.; Singh, O.A.; Indrama, T.; Singh, K.O.; Koijam, L.; Silvia, C.; Sharma, A.S.; Khangembam, R.; Shamjetshabam, M.; et al. Identification of diazotrophic nostocalean yanobacteria of north eastern region of India and evaluation for nitrogenase activity and extracellular ammonium excretion. J. Appl. Biol. Biotechnol. 2015, 3, 1–8. [Google Scholar] [CrossRef]
  15. Kollah, B.; Patra, A.K.; Mohanty, S.R. Aquatic microphylla Azolla: A perspective paradigm for sustainable agriculture, environment and global climate change. Environ. Sci. Pollut. Res. 2016, 23, 4358–4369. [Google Scholar] [CrossRef]
  16. Brouwer, P.; van der Werf, A.; Schluepmann, H.; Reichart, G.J.; Nierop, K.G. Lipid yield and composition of Azolla filiculoides and the implications for biodiesel production. BioEnergy Res. 2016, 9, 369–377. [Google Scholar] [CrossRef]
  17. Lu, X.M.; Lu, P.Z.; Yang, K. Restoration using Azolla imbricata increases nitrogen functional bacterial groups and genes in soil. Appl. Microbiol. Biotechnol. 2017, 101, 3849–3859. [Google Scholar] [CrossRef]
  18. Fullen, M.A.; Zhu, Y.Y.; Wu, B.Z.; Li, C.Y.; Li, Y.M.; An, T.X.; Colinet, G. Agroenvironmental sustainability of the Yuanyang rice terraces in Yunnan Province, China. In Ecosystem Services of Headwater Catchments; Springer: Cham, Switzerland, 2017; pp. 117–126. [Google Scholar] [CrossRef]
  19. Li, M.L.; Zhang, Y.X.; Xu, M.; He, L.L.; Liu, L.T.; Tang, Q.S. China Eco-Wisdom: A Review of Sustainability of Agricultural Heritage Systems on Aquatic-Ecological Conservation. Multidiscip. Digit. Publ. Inst. 2020, 12, 60. [Google Scholar] [CrossRef]
  20. Yang, J.; Zhan, G.Q.; Li, M.R.; Zhan, F.D.; Li, Y.; Zu, Y.Q.; He, Y.M. Effects of UV-B radiation and nitrogen application on the growth, mineral nutrition, and antioxidant physiology of Azolla. J. Agric. Resour. Environ. 2022, 39, 567–574. [Google Scholar] [CrossRef]
  21. Bao, S.D. Analysis of Soil Agronomy, 3rd ed.; China Agricultural Press: Beijing, China, 2000. [Google Scholar]
  22. Chen, Q.Y.; Xiao, S.L.; Shi, S.Q.; Cai, L.P. Isolation of Cellulose from Poplar Wood by Nitric Acid-Ethanol Treatment and Its Effect on the Quality of Films Cast from Ionic Liquid. BioResources 2018, 13, 8943–8955. [Google Scholar] [CrossRef]
  23. Wang, Y.; Zhou, M.; Hou, M.; Chen, Y.M.; Sui, Y.Y.; Jiao, X.G. Regulation of nitrogen balance and yield on greenhouse eggplant under biochar addition in Mollisol. Plant Soil Environ. 2022, 68, 36–48. [Google Scholar] [CrossRef]
  24. Chen, C.R.; Xu, Z.H.; Zhang, S.L.; Keay, P. Soluble organic nitrogen pools in forest soils of subtropical Australia. Plant Soil 2005, 277, 285–297. [Google Scholar] [CrossRef]
  25. Wu, J.; Joergensen, R.G.; Pommerening, B.; Chaussod, R.; Brookes, P.C. Measurement of soil microbial biomass C by fumigation-extraction-an automated procedure. Soil Biol. Biochem. 1990, 22, 1167–1169. [Google Scholar] [CrossRef]
  26. Yang, P.; He, Q.H.; Huang, J.F.; Tong, C. Fluxes of greenhouse gases at two different aquaculture ponds in the coastal zone of southeastern China. Atmos. Environ. 2015, 115, 269–277. [Google Scholar] [CrossRef]
  27. Lee, S.; Choi, J.H.; Truong, H.A.; Lee, Y.J.; Lee, H. Enhanced nitrate reductase activity offers Arabidopsis ecotype Landsberg erecta better salt stress resistance than Col-0. Plant Biol. 2022, 24, 854–862. [Google Scholar] [CrossRef] [PubMed]
  28. Guo, Y. Enzyme Engineering, 2nd ed.; Science Press: Beijing, China, 2004. [Google Scholar]
  29. Li, Z.G.; Luo, Y.M.; Teng, Y. Research Method of Soil and Environment Microorganism; Science Press: Beijing, China, 2008. [Google Scholar]
  30. Gong, X.; Wang, S.; Wang, Z.W.; Jiang, Y.J.; Hu, Z.K.; Zheng, Y.; Chen, X.Y.; Li, H.X.; Hu, F.; Liu, M.Q.; et al. Earthworms modify soil bacterial and fungal communities through enhancing aggregation and buffering pH. Geoderma 2019, 347, 59–69. [Google Scholar] [CrossRef]
  31. Masood, A.; Zeeshan, M.; Abraham, G. Response of growth and antioxidant enzymes in Azollaplants (Azolla pinnata and Azolla filiculoides) exposed to UV-B. Acta Biol. Hung. 2008, 59, 247–258. [Google Scholar] [CrossRef]
  32. Mostafa, E.M.; Hassanm, A.M.A. The ameliorative effect of selenium on Azolla caroliniana grown under UV-B stress. Phytoprotection 2015, 95, 20. [Google Scholar] [CrossRef]
  33. Prasad, S.M.; Kumar, S.; Parihar, P.; Singh, A.; Singh, R. Evaluating the combined effects of pretilachlor and UV-B on two Azolla species. Pestic. Biochem. Physiol. 2016, 128, 45–56. [Google Scholar] [CrossRef]
  34. Ibrahim, M.M.; Mostafa, E.M. UV-B Effect on Constituents of Azolla caroliniana. Z. Für Naturforschung C 2015, 62, 3–4. [Google Scholar] [CrossRef]
  35. Pancotto, V.A.; Sala, O.E.; Robson, T.M.; Caldwell, M.M.; Scopel, A.L. Direct and indirect effects of solar ultraviolet radiation on long-term decomposition. Glob. Chang. Biol. 2005, 11, 1982–1989. [Google Scholar] [CrossRef]
  36. Solheim, B.; Zielke, M.; Bjerke, J.W.; Rozema, J. Effects of enhanced UV-B radiation on nitrogen fixation in arctic ecosystems. Plants Clim. Chang. 2006, 182, 109–120. [Google Scholar] [CrossRef]
  37. Chieri, K.; Tomomi, E.; Mark, K. UV-B radiation dose requirement for suppressing intumescence injury on tomato plants. Sci. Hortic. 2017, 226, 366–371. [Google Scholar] [CrossRef]
  38. Singh, M.; Khan, M.; Naeem, M. Effect of nitrogen on growth, nutrient assimilation, essential oil content, yield and quality attributes in Zingiber officinale Rosc. J. Saudi Soc. Agric. Sci. 2016, 15, 171–178. [Google Scholar] [CrossRef]
  39. Tchiaze, A.I.; Taffouo, V.D.; Fankem, H.; Kenne, M.; Baziramakenga, R.; Ekodeck, G.E.; Antoun, H. Influence of Nitrogen Sources and Plant Growth-Promoting Rhizobacteria Inoculation on Growth, Crude Fiber and Nutrient Uptake in Squash (Cucurbita moschata Duchesne ex Poir.) Plants. Not. Bot. Horti Agrobot. Cluj-Napoca 2016, 44, 53–59. [Google Scholar] [CrossRef]
  40. Zhang, J.; Zhu, T.; Cai, Z.; Müller, C. Nitrogen cycling in forest soils across climate gradients in Eastern China. Plant Soil 2011, 342, 419–432. [Google Scholar] [CrossRef]
  41. Cai, Y.; Wang, X.; Ding, W.; Yan, Y.; Lu, X. Effects of freeze-thaw on soil nitrogen transformation and N2O emission: A review. Acta Pedol. Sin. 2013, 50, 1032–1042. [Google Scholar] [CrossRef]
  42. Bhuvaneshwari, K.; Singh, P.K. Response of nitrogen-fixing water fern Azolla biofertilization to rice crop. 3 Biotech. 2015, 5, 523–529. [Google Scholar] [CrossRef]
  43. Burns, R.G.; DeForest, J.L.; Marxsen, J.; Sinsabaugh, R.L.; Stromberger, M.E.; Wallenstein, M.D.; Zoppini, A. Soil enzymes in a changing environment: Current knowledge and future directions. Soil Biol. Biochem. 2013, 58, 216–234. [Google Scholar] [CrossRef]
  44. Musiani, F.; Broll, V.; Evangelisti, E.; Ciurli, S. The model structure of the copper-dependent ammonia monooxygenase. J. Biol. Inorg. Chem. 2020, 25, 995–1007. [Google Scholar] [CrossRef]
  45. Cai, Y.J.; Ding, W.X.; Xiang, J. Mechanisms of nitrous oxide and nitric oxide production in soils: A review. Soil 2012, 44, 712–718. [Google Scholar] [CrossRef]
  46. Fernandes, S.O.; Javanaud, C.; Michotey, V.D.; Guasco, S.; Anschutz, P.; Bonin, P. Coupling of bacterial nitrification with denitrification and anammox supports N removal in intertidal sediments (Arcachon Bay, France). Estuar. Coast. Shelf Sci. 2016, 20, 39–50. [Google Scholar] [CrossRef]
  47. Xiao, H.C.; Wu, J.; Zhang, Y.X.; Li, Z.R.; Zhan, F.D.; Li, Y.; He, Y.M. Effects of enhanced UV-B radiation on nitrogen transformation in paddy soil. J. Agro-Environ. Sci. 2022, 9, 1645–1659. [Google Scholar] [CrossRef]
  48. Feng, B.G.; Guo, P.; Li, L.H.; Sun, Y.; Chen, W.W. Effect of nano-TiO2 onmass ratio of nitrate nitrogen and activity of nitrate reductase in soil. J. Jilin Univ. (Sci. Ed.) 2018, 56, 1570–1576. [Google Scholar] [CrossRef]
  49. Farrell, M.; Hill, P.W.; Farrar, J.; Bardgett, R.D.; Jones, D.L. Seasonal variation in soluble soil carbon and nitrogen across a grassland productivity gradient. Soil Biol. Biochem. 2011, 43, 835–844. [Google Scholar] [CrossRef]
  50. Hirsch, P.R.; Mauchline, T.H.; Clark, I.M. Culture-independent molecular techniques for soil microbial ecology. Soil Biol. Biochem. 2010, 42, 878–887. [Google Scholar] [CrossRef]
  51. Kou, T.J.; Cheng, X.H.; Zhu, J.G.; Xie, Z.B. The influence of ozone pollution on CO2, CH4, and N2O emissions from a Chinese subtropical rice-wheat rotation system under free-air O3 exposure. Agric. Ecosyst. Environ. 2015, 204, 72–81. [Google Scholar] [CrossRef]
  52. Lou, Y.S.; Ren, L.X.; Zhao, S.D.; Ren, L.X.; Zhang, Y.W.; Zhu, H.W. Effects of silicate application on CH4 and N2O emissions and global warming potentials in paddy soil under enhanced UV-B radiation. Energy Sci. Eng. 2019, 5, 1784–1794. [Google Scholar] [CrossRef]
Figure 1. Schematic diagram of plant sample (A) and soil sample (B) collection.
Figure 1. Schematic diagram of plant sample (A) and soil sample (B) collection.
Agronomy 13 01968 g001
Figure 2. Effect of returning Azolla on the decomposition of cellulose, lignin, and total nitrogen in soil. (A) Cellulose content of Azolla; (B) Cellulose degradation rate of Azolla; (C) Lignin content of Azolla; (D) Lignin degradation rate of Azolla; (E) Total nitrogen content of Azolla; (F) Total nitrogen degradation rate of Azolla. CK, returning Azolla grown under natural light; UV-B, returning Azolla grown under UV-B radiation. Two−factor ANOVA with time and UV-B radiation as factors, ns indicates not significant, * indicates significant (p < 0.05), ** indicates highly significant (p < 0.01).
Figure 2. Effect of returning Azolla on the decomposition of cellulose, lignin, and total nitrogen in soil. (A) Cellulose content of Azolla; (B) Cellulose degradation rate of Azolla; (C) Lignin content of Azolla; (D) Lignin degradation rate of Azolla; (E) Total nitrogen content of Azolla; (F) Total nitrogen degradation rate of Azolla. CK, returning Azolla grown under natural light; UV-B, returning Azolla grown under UV-B radiation. Two−factor ANOVA with time and UV-B radiation as factors, ns indicates not significant, * indicates significant (p < 0.05), ** indicates highly significant (p < 0.01).
Agronomy 13 01968 g002
Figure 3. Effect of returning Azolla on nitrogen transformation in soil. (A) NH4+-N content in soil; (B) NO3-N content in soil; (C) Soluble organic nitrogen content in soil; (D) Microbial biomass nitrogen content in soil. CK, returning Azolla grown under natural light; UV-B, returning Azolla grown under UV-B radiation. Different lowercase letters indicate significant differences between treatments (p < 0.05). Two−factor ANOVA with time and UV-B radiation as factors, ns indicates not significant, ** indicates highly significant (p < 0.01).
Figure 3. Effect of returning Azolla on nitrogen transformation in soil. (A) NH4+-N content in soil; (B) NO3-N content in soil; (C) Soluble organic nitrogen content in soil; (D) Microbial biomass nitrogen content in soil. CK, returning Azolla grown under natural light; UV-B, returning Azolla grown under UV-B radiation. Different lowercase letters indicate significant differences between treatments (p < 0.05). Two−factor ANOVA with time and UV-B radiation as factors, ns indicates not significant, ** indicates highly significant (p < 0.01).
Agronomy 13 01968 g003
Figure 4. Effect of returning Azolla on N2O emission flux in soil. CK, returning Azolla grown under natural light; UV-B, returning Azolla grown under UV-B radiation. Different lowercase letters indicate significant differences between treatments (p < 0.05). Two−factor ANOVA with time and UV-B radiation as factors, ns indicates not significant, ** indicates highly significant (p < 0.01).
Figure 4. Effect of returning Azolla on N2O emission flux in soil. CK, returning Azolla grown under natural light; UV-B, returning Azolla grown under UV-B radiation. Different lowercase letters indicate significant differences between treatments (p < 0.05). Two−factor ANOVA with time and UV-B radiation as factors, ns indicates not significant, ** indicates highly significant (p < 0.01).
Agronomy 13 01968 g004
Figure 5. Effect of returning Azolla on enzyme activity related with nitrogen transformation in soil. (A) Neutral protease enzyme activity in soil; (B) Ammonia monooxygenase enzyme activity in soil; (C) Nitrogenase enzyme activity in soil; (D) Nitrate reductase enzyme activity in soil; (E) Nitrite reductase enzyme activity in soil. CK, returning Azolla grown under natural light; UV-B, returning Azolla grown under UV-B radiation. Different lowercase letters indicate significant differences between treatments (p < 0.05). Two−factor ANOVA with time and UV-B radiation as factors, ns indicates not significant, * indicates significant (p < 0.05), ** indicates highly significant (p < 0.01).
Figure 5. Effect of returning Azolla on enzyme activity related with nitrogen transformation in soil. (A) Neutral protease enzyme activity in soil; (B) Ammonia monooxygenase enzyme activity in soil; (C) Nitrogenase enzyme activity in soil; (D) Nitrate reductase enzyme activity in soil; (E) Nitrite reductase enzyme activity in soil. CK, returning Azolla grown under natural light; UV-B, returning Azolla grown under UV-B radiation. Different lowercase letters indicate significant differences between treatments (p < 0.05). Two−factor ANOVA with time and UV-B radiation as factors, ns indicates not significant, * indicates significant (p < 0.05), ** indicates highly significant (p < 0.01).
Agronomy 13 01968 g005
Figure 6. Effect of returning Azolla on the number of nitrogen-transforming bacteria in soil. (A) Number of ammonifying bacteria in soil; (B) Number of nitrifying bacteria in soil; (C) Number of denitrifying bacterium in soil; (D) Number of nitrogen fixing bacteria in soil. CK, returning Azolla grown under natural light; UV-B, returning Azolla grown under UV-B radiation. Different lowercase letters indicate significant differences between treatments (p < 0.05). Two−factor ANOVA with time and UV-B radiation as factors, ns indicates not significant, * indicates significant (p < 0.05), ** indicates highly significant (p < 0.01).
Figure 6. Effect of returning Azolla on the number of nitrogen-transforming bacteria in soil. (A) Number of ammonifying bacteria in soil; (B) Number of nitrifying bacteria in soil; (C) Number of denitrifying bacterium in soil; (D) Number of nitrogen fixing bacteria in soil. CK, returning Azolla grown under natural light; UV-B, returning Azolla grown under UV-B radiation. Different lowercase letters indicate significant differences between treatments (p < 0.05). Two−factor ANOVA with time and UV-B radiation as factors, ns indicates not significant, * indicates significant (p < 0.05), ** indicates highly significant (p < 0.01).
Agronomy 13 01968 g006
Figure 7. LEfSe analysis cluster diagram (A) and LDA diagram of soil bacteria (B). CK, returning Azolla grown under natural light; UV-B, returning Azolla grown under UV-B radiation.
Figure 7. LEfSe analysis cluster diagram (A) and LDA diagram of soil bacteria (B). CK, returning Azolla grown under natural light; UV-B, returning Azolla grown under UV-B radiation.
Agronomy 13 01968 g007
Figure 8. Thermogram of correlation analysis between Azolla decomposition, soil bacterial number, enzyme activity, and soil nitrogen transformation. Red indicates a positive correlation, blue indicates a negative correlation, and numbers indicate a correlation coefficient. **: p < 0.01, *: p < 0.05, n = 30. CR, cellulose decomposition rate; LR, lignin decomposition rate; TNR, the decomposition rate of total nitrogen; AB, ammonifying bacteria; NB, nitrifying bacteria; DB, denitrifying bacteria; FB, nitrogen-fixing bacteria; PE, neutral protease; AE, ammonia monooxygenase; FE, nitrogenase; NE, nitrate reductase; RE, nitrite reductase; SON, soluble organic nitrogen; MBN, microbial biomass nitrogen.
Figure 8. Thermogram of correlation analysis between Azolla decomposition, soil bacterial number, enzyme activity, and soil nitrogen transformation. Red indicates a positive correlation, blue indicates a negative correlation, and numbers indicate a correlation coefficient. **: p < 0.01, *: p < 0.05, n = 30. CR, cellulose decomposition rate; LR, lignin decomposition rate; TNR, the decomposition rate of total nitrogen; AB, ammonifying bacteria; NB, nitrifying bacteria; DB, denitrifying bacteria; FB, nitrogen-fixing bacteria; PE, neutral protease; AE, ammonia monooxygenase; FE, nitrogenase; NE, nitrate reductase; RE, nitrite reductase; SON, soluble organic nitrogen; MBN, microbial biomass nitrogen.
Agronomy 13 01968 g008
Figure 9. RDA analysis of decomposition of Azolla, number of soil bacteria, enzyme activity, and soil nitrogen transformation. CK, returning Azolla grown under natural light; UV-B, returning Azolla grown under UV-B radiation. CR, cellulose decomposition rate; LR, lignin decomposition rate; TNR, decomposition rate of total nitrogen; AB, ammonifying bacteria; NB, nitrifying bacteria; DB, denitrifying bacteria; FB, nitrogen-fixing bacteria; PE, neutral protease; AE, ammonia monooxygenase; FE, nitrogenase; NE, nitrate reductase; RE, nitrite reductase; SON, soluble organic nitrogen; MBN, microbial biomass nitrogen.
Figure 9. RDA analysis of decomposition of Azolla, number of soil bacteria, enzyme activity, and soil nitrogen transformation. CK, returning Azolla grown under natural light; UV-B, returning Azolla grown under UV-B radiation. CR, cellulose decomposition rate; LR, lignin decomposition rate; TNR, decomposition rate of total nitrogen; AB, ammonifying bacteria; NB, nitrifying bacteria; DB, denitrifying bacteria; FB, nitrogen-fixing bacteria; PE, neutral protease; AE, ammonia monooxygenase; FE, nitrogenase; NE, nitrate reductase; RE, nitrite reductase; SON, soluble organic nitrogen; MBN, microbial biomass nitrogen.
Agronomy 13 01968 g009
Figure 10. The structural equation model (SEM) of the effect of Azolla decomposition on the number of bacteria, enzyme content, and nitrogen content. Red lines indicate a positive correlation, blue lines indicate a negative correlation, and paths with insignificant coefficients are indicated by gray lines; The width of the arrow line indicates the strength of the path coefficient, the number on the line indicates the total effect of standardization, and R2 indicates the fitting degree and explanatory variance of N2O in the model. ***, p < 0.001, *, p < 0.05. LR, lignin decomposition rate; NB, nitrifying bacteria; AE, ammonia monooxygenase; RE, nitrite reductase; SON, soluble organic nitrogen; MBN, microbial biomass nitrogen.
Figure 10. The structural equation model (SEM) of the effect of Azolla decomposition on the number of bacteria, enzyme content, and nitrogen content. Red lines indicate a positive correlation, blue lines indicate a negative correlation, and paths with insignificant coefficients are indicated by gray lines; The width of the arrow line indicates the strength of the path coefficient, the number on the line indicates the total effect of standardization, and R2 indicates the fitting degree and explanatory variance of N2O in the model. ***, p < 0.001, *, p < 0.05. LR, lignin decomposition rate; NB, nitrifying bacteria; AE, ammonia monooxygenase; RE, nitrite reductase; SON, soluble organic nitrogen; MBN, microbial biomass nitrogen.
Agronomy 13 01968 g010
Table 1. Effect of UV-B radiation on the chemical composition of rice straw. CK, natural lighting; UV-B, UV-B radiation. Independent sample t-test for cellulose, lignin, and total nitrogen in red duckweed under CK and UV-B. ** indicates extremely significant (p < 0.01).
Table 1. Effect of UV-B radiation on the chemical composition of rice straw. CK, natural lighting; UV-B, UV-B radiation. Independent sample t-test for cellulose, lignin, and total nitrogen in red duckweed under CK and UV-B. ** indicates extremely significant (p < 0.01).
TreatmentCellulose (%)Lignin (%)Total Nitrogen (mg·g−1)
CK32.5 ± 0.9217.1 ± 0.666.68 ± 0.16
UV-B31.1 ± 1.118.2 ± 0.617.81 ± 0.16 **
Disclaimer/Publisher’s Note: The statements, opinions and data contained in all publications are solely those of the individual author(s) and contributor(s) and not of MDPI and/or the editor(s). MDPI and/or the editor(s) disclaim responsibility for any injury to people or property resulting from any ideas, methods, instructions or products referred to in the content.

Share and Cite

MDPI and ACS Style

Chang, L.; Li, H.; Liu, C.; Liang, X.; Xie, C.; Li, Z.; Li, Y.; Zhan, F.; He, Y. Effects of UV-B Radiation on the Chemical Composition of Azolla and Its Decomposition after Returning to the Field and Nitrogen Transformation in Soil. Agronomy 2023, 13, 1968. https://doi.org/10.3390/agronomy13081968

AMA Style

Chang L, Li H, Liu C, Liang X, Xie C, Li Z, Li Y, Zhan F, He Y. Effects of UV-B Radiation on the Chemical Composition of Azolla and Its Decomposition after Returning to the Field and Nitrogen Transformation in Soil. Agronomy. 2023; 13(8):1968. https://doi.org/10.3390/agronomy13081968

Chicago/Turabian Style

Chang, Linxi, Haitao Li, Chengqian Liu, Xinran Liang, Chunmei Xie, Zuran Li, Yuan Li, Fangdong Zhan, and Yongmei He. 2023. "Effects of UV-B Radiation on the Chemical Composition of Azolla and Its Decomposition after Returning to the Field and Nitrogen Transformation in Soil" Agronomy 13, no. 8: 1968. https://doi.org/10.3390/agronomy13081968

APA Style

Chang, L., Li, H., Liu, C., Liang, X., Xie, C., Li, Z., Li, Y., Zhan, F., & He, Y. (2023). Effects of UV-B Radiation on the Chemical Composition of Azolla and Its Decomposition after Returning to the Field and Nitrogen Transformation in Soil. Agronomy, 13(8), 1968. https://doi.org/10.3390/agronomy13081968

Note that from the first issue of 2016, this journal uses article numbers instead of page numbers. See further details here.

Article Metrics

Back to TopTop