Developing a Subsurface Drip Irrigation Scheduling Mode Based on Water Evaporation: Impacts Studies on Cucumbers Planted in a Greenhouse in the North China Plain
Abstract
1. Introduction
2. Materials and Methods
2.1. Study Site
2.2. Experiment Design
2.3. Measurements
2.4. Statistical Analysis
3. Results
3.1. Changes of Meterological Factors, Water Evaporation (Ep) in Greenhouse
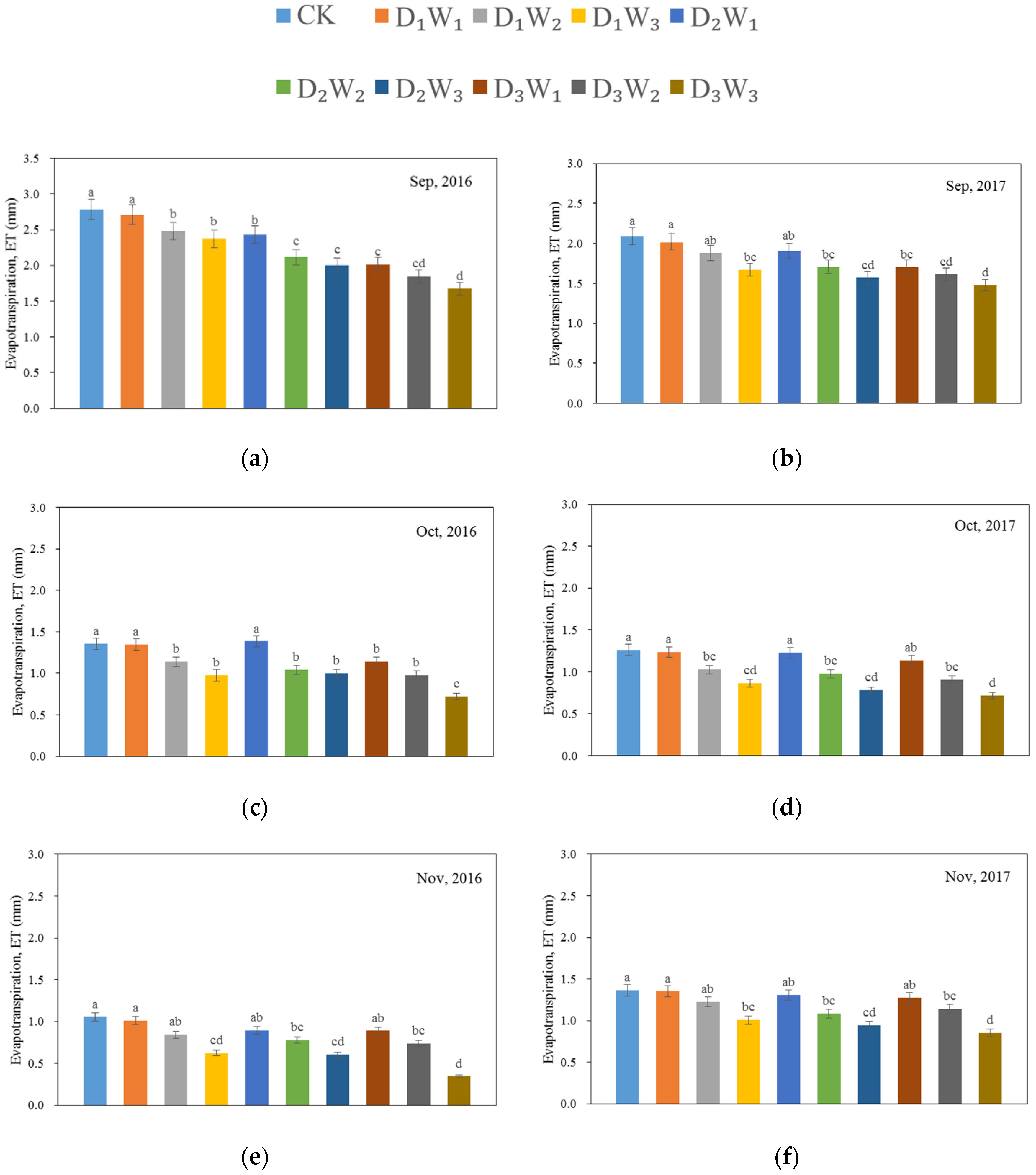
3.2. Soil Evaporations (Es) and Evapotranspiration (ET) in the Greenhouse and Its Relationship with Irrigation Amount
3.3. Changes of Kp in Different Months of Cucumber
3.4. Responses of Below-Ground Dry Matters of Cucumber
3.5. Responses of Yield, Water Use Efficiency (WUE), and Irrigation Water Use Efficiency (IWUE) of Cucumber
4. Discussion
5. Conclusions
Author Contributions
Funding
Data Availability Statement
Conflicts of Interest
References
- Huang, G.R.; Hoekstra, A.Y.; Krol, M.S.; Jagermeyr, J.; Galindo, A.; Yu, C.Q.; Wang, R.R. Water-saving agriculture can deliver deep water cuts for China. Resour. Conserv. Recycl. 2020, 154, 104578. [Google Scholar] [CrossRef]
- Li, X.Y.; Jiang, W.L.; Duan, D.D. Spatio-temporal analysis of irrigation water use coefficients in China. J. Environ. Manag. 2020, 262, 110242. [Google Scholar] [CrossRef]
- Ayars, J.E.; Phene, C.J.; Hutmacher, R.B.; Davis, K.R.; Schoneman, R.A.; Vail, S.S.; Mead, R.M. Subsurface drip irrigation of row crops: A review of 15 years of research at the Water Management Research Laboratory. Agric. Water Manag. 1999, 42, 1–27. [Google Scholar] [CrossRef]
- Provenzano, G. Using HYDRUS-2D simulation model to evaluate wetted soil volume in subsurface drip irrigation systems. J. Irrig. Drain. Eng. 2007, 133, 342–349. [Google Scholar] [CrossRef]
- Patel, N.; Rajput, T.B.S. Effect of drip tape placement depth and irrigation level on yield of potato. Agric. Water Manag. 2007, 88, 209–223. [Google Scholar] [CrossRef]
- Sadras, V.O. Does partial root-zone drying improve irrigation water productivity in the field? A meta-analysis. Irrig. Sci. 2009, 27, 183–190. [Google Scholar] [CrossRef]
- Rallo, G.; Agnese, C.; Minacapilli, M.; Provenzano, G. Comparison of SWAP and FAO agro-hydrological models to schedule irrigation of wine grapes. J. Irrig. Drain. Eng. 2011, 138, 581–591. [Google Scholar] [CrossRef]
- Maraseni, T.N.; Mushtaq, S.; Reardon-Smith, K. Integrated analysis for a carbon- and water-constrained future: An assessment of drip irrigation in a lettuce production system in eastern Australia. J. Environ Manag. 2012, 111, 220–226. [Google Scholar] [CrossRef]
- Coltro, L.; Marton, L.F.M.; Pilecco, F.P.; Pilecco, A.C.; Mattei, L.F. Environmental profile of rice production in Southern Brazil: A comparison between irrigated and subsurface drip irrigated cropping systems. J. Clean Prod. 2017, 153, 491–505. [Google Scholar] [CrossRef]
- Martínez-Gimeno, M.A.; Bonet, L.; Provenzano, G.; Badal, E.; Intrigliolo, D.S.; Ballester, C. Assessment of yield and water productivity of clementine trees under surface and subsurface drip irrigation. Agric. Water Manag. 2018, 206, 209–216. [Google Scholar] [CrossRef]
- Hanson, B.; May, D. Effect of subsurface drip irrigation on processing tomato yield, water table depth, soil salinity, and profitability. Agric. Water Manag. 2004, 68, 1–17. [Google Scholar] [CrossRef]
- Camp, C.R. Subsurface drip irrigation: A review. Trans. ASAE 1998, 41, 1353–1367. [Google Scholar] [CrossRef]
- Badr, M.A.; Hussein, S.D.; El-Tohamy, W.A.; Gruda, N. Efficiency of Subsurface Drip Irrigation for Potato Production under Different Dry Stress Conditions. Gesunde Pflanz. 2010, 6, 63–70. [Google Scholar] [CrossRef]
- Najafi, P.; Tabatabaei, S.H. Effect of using subsurface drip irrigation and ET-HS model to increase WUE in irrigation of some crops. Irrig. Drain. 2007, 56, 477–486. [Google Scholar] [CrossRef]
- Machado, R.M.A.; Oliveira, M.D.G.; Portas, C.A.M. Tomato root distribution, yield and fruit quality under subsurface drip irrigation. Plant Soil. 2003, 255, 333–341. [Google Scholar] [CrossRef]
- Machado, R.M.A.; Oliveira, M.D.G. Tomato root distribution, yield and fruit quality under different subsurface drip irrigation regimes and depths. Irrig. Sci. 2005, 24, 15–24. [Google Scholar] [CrossRef]
- Romero, P.; Botia, P.; Garcia, F. Effects of regulated deficit irrigation under subsurface drip irrigation conditions on vegetative development and yield of mature almond trees. Plant Soil. 2004, 260, 169–181. [Google Scholar] [CrossRef]
- Zhang, Z.; Liu, S.; Liu, S.; Huang, Z. Estimation of cucumber evapotranspiration in solar greenhouse in northeast china. Agr. Sci. China 2010, 9, 512–518. [Google Scholar] [CrossRef]
- Fernández, M.D.; Bonachela, S.; Orgaz, F.; Thompson, R.; López, J.C.; Granados, M.R.; Gallardo, M.; Fereres, E. Measurement and estimation of plastic greenhouse reference evapotranspiration in a Mediterranean climate. Irrig. Sci. 2010, 28, 497–509. [Google Scholar] [CrossRef]
- Zotarelli, L.; Scholberg, J.M.; Dukes, M.D.; Carpena, R.M.; Icerman, J. Tomato yield, biomass accumulation, root distribution and irrigation water use efficiency on a sandy soil, as affected by nitrogen rate and irrigation scheduling. Agric. Water Manag. 2009, 96, 23–34. [Google Scholar] [CrossRef]
- Dabach, S.; Shani, U.; Lazarovitch, N. Optimal tension meter placement for high-frequency subsurface drip irrigation management in heterogeneous soils. Agric. Water Manag. 2015, 152, 91–98. [Google Scholar]
- Peng, Y.Q.; Xiao, Y.X.; Fu, Z.T.; Dong, Y.H.; Zheng, Y.J.; Yan, H.J.; Li, X.Y. Precision irrigation perspectives on the sustainable water-saving of field crop production in China: Water demand prediction and irrigation scheme optimization. J. Clean Prod. 2019, 230, 365–377. [Google Scholar] [CrossRef]
- Dominguez-Nino, J.M.; Oliver-Manera, J.; Girona, J.; Casadesus, J. Differential irrigation scheduling by an automated algorithm of water balance tuned by capacitance-type soil moisture sensors. Agric. Water Manag. 2020, 228, 105880. [Google Scholar] [CrossRef]
- El-Naggar, A.G.; Hedley, C.B.; Horne, D.; Roudier, P.; Clothier, B.E. Soil sensing technology improves application of irrigation water. Agric. Water Manag. 2020, 228, 105901. [Google Scholar] [CrossRef]
- Ertek, A.; Sensoy, S.; Gedik, Ý.; Küçükyumuk, C. Irrigation scheduling based pan evaporation values for cucumber (Cucumis sativus L.) grown under field conditions. Agric. Water Manag. 2006, 81, 159–172. [Google Scholar] [CrossRef]
- Ertek, A.; Sensoy, S.; Kücükyumuk, C.; Gedik, I. Determination of plant-pan coefficients for field-grown eggplant (Solanum melongena L.) using class A pan evaporation values. Agric. Water Manag. 2006, 85, 58–66. [Google Scholar] [CrossRef]
- Wang, Z.Y.; Liu, Z.X.; Zhang, Z.K.; Liu, X.B. Subsurface drip irrigation scheduling for cucumber (Cucumis sativus L.) grown in solar greenhouse based on 20 cm standard pan evaporation in Northeast China. Sci. Hortic. 2009, 123, 51–57. [Google Scholar] [CrossRef]
- Wang, X.S.; Wang, S.; George, T.S.; Deng, Z.; Zhang, W.Z.; Fan, X.C.; Lv, M.C. Effects of schedules of subsurface drip irrigation with air injection on water consumption, yield components and water use efficiency of tomato in a greenhouse in the North China Plain. Sci. Hortic. 2020, 269, 109396. [Google Scholar]
- Bresler, E.; Heller, J.; Diner, N.; Ban-Asher, I.; Brandt, A.; Goldberg, D. Infiltration from a trickle source: II. Experimental data and theoretical predictions. Soil Sci. Soc. Am. J. 1971, 35, 683–689. [Google Scholar]
- Phene, C.J.; Davis, K.R.; Hutmacher, R.B.; Bar-Yosef, B.; Meek, D.W.; Misaki, J. Effect of high frequency surface and subsurface drip irrigation on root distribution of sweet corn. Irrig. Sci. 1991, 12, 135–140. [Google Scholar] [CrossRef]
- Qin, J.T.; Wang, X.S.; Fan, X.C.; Jiang, M.L.; Lv, M.C. Whether increasing maize planting density increases the total water use depends on soil water in the 0–60 cm soil layer in the North China Plain. Sustainability. 2022, 14, 5848. [Google Scholar] [CrossRef]
- Kang, S.Z.; Liang, Z.S.; Pan, Y.H.; Shi, P.Z.; Zhang, J.H. Alternate furrow irrigation for maize production in an arid area. Agric. Water Manag. 2000, 45, 267–274. [Google Scholar] [CrossRef]
- Klepper, B. Crop root system response to irrigation. Irrig. Sci. 1991, 12, 105–108. [Google Scholar] [CrossRef]
- Pisciotta, A.; Lorenzo, R.D.; Santalucia, G. Response of grapevine (Cabernet sauvignon cv) to above ground and subsurface drip irrigation under arid conditions. Agric. Water Manag. 2018, 197, 122–131. [Google Scholar] [CrossRef]
- Çakir, R.; Kanburoglu-Çebi, U.; Altintas, S.; Ozdemir, A. Irrigation scheduling and water use efficiency of cucumber grown as a spring-summer cycle crop in solar greenhouse. Agric. Water Manag. 2017, 180, 78–87. [Google Scholar] [CrossRef]
- Liu, H.J.; Yuan, B.Z.; Hu, X.D.; Yin, C.Y. Drip irrigation enhances water use efficiency without losses in cucumber yield and economic benefits in greenhouses in North China. Irrig. Sci. 2022, 40, 135–149. [Google Scholar] [CrossRef]







| Depth (cm) | Clay (%) | Silt (%) | Sand (%) | Organic (g·kg−1) | NO3−N (mg·kg−1) | Available P (mg·kg−1) | Available K (mg·kg−1) | pH |
|---|---|---|---|---|---|---|---|---|
| 0~20 | 6.23 | 65.2 | 28.57 | 15.60 | 43.21 | 20.76 | 93.21 | 7.01 |
| 20~40 | 6.78 | 66.9 | 26.32 | 8.43 | 17.82 | 6.32 | 92.70 | 7.24 |
| Treat. | Aug. | Sep. | Oct. | Nov. | Total | |||||
|---|---|---|---|---|---|---|---|---|---|---|
| 2016 | 2017 | 2016 | 2017 | 2016 | 2017 | 2016 | 2017 | 2016 | 2017 | |
| W1 | 53.00 | 53.00 | 71.59 | 48.86 | 47.73 | 16.29 | None | 32.58 | 172.32 | 150.73 |
| W2 | 53.00 | 53.00 | 60.23 | 36.36 | 40.15 | 12.12 | None | 24.24 | 153.38 | 125.72 |
| W3 | 53.00 | 53.00 | 48.86 | 27.27 | 32.58 | 9.09 | None | 18.18 | 134.44 | 107.54 |
| IF | 1 | 1 | 3 | 3 | 2 | 1 | None | 2 | 6 | 7 |
| Treat. | Es (mm) | |||||||
|---|---|---|---|---|---|---|---|---|
| Sep. | Oct. | Nov. | Total | |||||
| 2016 | 2017 | 2016 | 2017 | 2016 | 2017 | 2016 | 2017 | |
| CK | 44.85 a | 25.67 ab | 13.68 ab | 10.01 a | 10.14 a | 8.45 b | 68.67 a | 44.13 ab |
| D1W1 | 44.87 a | 24.34 bc | 13.51 abc | 9.95 ab | 9.77 ab | 8.33 b | 68.15 a | 42.62 b |
| D1W2 | 45.54 a | 26.75 a | 14.42 ab | 10.49 a | 10.92 a | 10.29 a | 70.88 a | 47.53 a |
| D1W3 | 48.46 a | 24.68 b | 13.11 abc | 9.42 abc | 9.75 ab | 8.08 bc | 71.32 a | 42.18 b |
| D2W1 | 38.75 bc | 22.81 cd | 14.54 a | 9.68 abc | 8.89 ab | 9.61 a | 62.18 b | 42.11 b |
| D2W2 | 34.01 cd | 22.08 de | 12.10 abc | 9.71 ab | 8.29 b | 7.98 bc | 54.40 d | 39.77 c |
| D2W3 | 34.25 cd | 20.62 ef | 11.26 c | 8.59 c | 9.92 ab | 7.16 d | 55.43 cd | 36.37 d |
| D3W1 | 39.70 b | 21.26 def | 12.72 abc | 9.18 bc | 8.40 b | 7.49 cd | 60.82 bc | 37.92 cd |
| D3W2 | 32.60 d | 19.94 f | 12.85 abc | 8.84 bc | 9.09 ab | 8.05 bc | 54.54 d | 36.83 d |
| D3W3 | 26.97 e | 21.82 de | 11.85 bc | 8.89 bc | 8.20 b | 6.75 d | 47.02 e | 37.46 d |
| Anova | ||||||||
| D | ** | ** | ns | * | * | ** | ** | ** |
| W | ns | ns | * | ns | ns | ** | ns | ** |
| D × W | * | * | * | ns | ns | ** | ** | ** |
| Treat. | ET (mm) | |||||||
|---|---|---|---|---|---|---|---|---|
| Sep. | Oct. | Nov. | Total | |||||
| 2016 | 2017 | 2016 | 2017 | 2016 | 2017 | 2016 | 2017 | |
| CK | 83.60 a | 62.78 a | 42.01 a | 39.17 a | 31.65 a | 40.97 a | 157.26 a | 142.92 a |
| D1W1 | 81.25 a | 60.43 a | 41.74 a | 38.21 a | 30.31 a | 40.56 a | 153.30 a | 139.20 a |
| D1W2 | 74.38 b | 56.38 ab | 35.27 b | 31.79 bc | 25.25 ab | 36.83 ab | 134.90 c | 125.00 b |
| D1W3 | 71.23 b | 50.12 bc | 30.26 b | 26.73 cd | 18.73 cd | 30.21 bc | 120.22 d | 107.06 d |
| D2W1 | 73.09 b | 57.23 ab | 42.89 a | 38.12 a | 26.74 ab | 39.21 ab | 142.72 b | 134.56 a |
| D2W2 | 63.54 c | 51.23 bc | 32.21 b | 30.29 bc | 23.36 bc | 32.53 bc | 119.11 d | 114.05 c |
| D2W3 | 60.13 c | 47.22 cd | 30.88 b | 24.21 cd | 18.21 cd | 28.29 cd | 109.22 e | 99.72 e |
| D3W1 | 60.41 c | 51.24 bc | 35.26 b | 35.24 ab | 26.71 ab | 38.25 ab | 122.38 d | 124.73 b |
| D3W2 | 55.36 cd | 48.32 cd | 30.27 b | 28.12 bc | 22.21 bc | 34.25 bc | 107.84 e | 110.69 cd |
| D3W3 | 50.28 d | 44.36 d | 22.36 c | 22.23 d | 10.34 d | 25.61 d | 82.98 f | 92.20 f |
| Anova | ||||||||
| D | ** | ** | ns | * | * | * | ** | ** |
| W | * | ns | ns | ns | * | ns | ** | * |
| D × W | * | * | ** | ns | * | * | ** | ** |
| Treat. | Kp | |||||
|---|---|---|---|---|---|---|
| Sep. | Oct. | Nov. | ||||
| 2016 | 2017 | 2016 | 2017 | 2016 | 2017 | |
| CK | 1.01 | 1.01 | 1.73 | 1.10 | 1.61 | 1.06 |
| D1W1 | 0.98 | 0.97 | 1.72 | 1.07 | 1.54 | 1.05 |
| D1W2 | 0.90 | 0.91 | 1.45 | 0.89 | 1.28 | 0.95 |
| D1W3 | 0.86 | 0.81 | 1.25 | 0.75 | 0.95 | 0.78 |
| D2W1 | 0.88 | 0.92 | 1.77 | 1.07 | 1.36 | 1.01 |
| D2W2 | 0.77 | 0.82 | 1.33 | 0.85 | 1.19 | 0.84 |
| D2W3 | 0.73 | 0.76 | 1.27 | 0.68 | 0.92 | 0.73 |
| D3W1 | 0.73 | 0.83 | 1.45 | 0.99 | 1.36 | 0.99 |
| D3W2 | 0.67 | 0.78 | 1.25 | 0.79 | 1.13 | 0.88 |
| D3W3 | 0.61 | 0.71 | 0.92 | 0.62 | 0.52 | 0.66 |
| Treat. | Root Dry Matter (10−2 g) | ||||
|---|---|---|---|---|---|
| 0~20 cm | 20~40 cm | 40~60 cm | 60~80 cm | 80~100 cm | |
| CK | 48.00 d | 2.10 d | 1.59 c | 0.70 a | 0.20 bc |
| D1W1 | 49.03 d | 2.12 d | 1.59 c | 0.72 a | 0.21 bc |
| D1W2 | 67.10 bcd | 3.72 c | 1.55 c | 0.72 a | 1.09 a |
| D1W3 | 61.71 bcd | 6.90 a | 2.25 b | 1.02 a | 0.66 abc |
| D2W1 | 78.13 bc | 3.96 c | 1.24 d | 0.73 a | 0.66 abc |
| D2W2 | 59.01 cd | 3.02 cd | 4.48 a | 0.93 a | 0.33 bc |
| D2W3 | 64.45 bcd | 5.19 b | 1.99 bc | 1.66 a | 0.89 ab |
| D3W1 | 95.02 a | 3.45 c | 1.41 c | 1.47 a | 0.46 abc |
| D3W2 | 86.44 b | 5.86 b | 1.61 c | 1.09 a | 0.15 c |
| D3W3 | 57.03 cd | 6.47 a | 1.51 c | 0.68 a | 0.83 abc |
| Anova | |||||
| D | ** | * | * | ns | ns |
| W | * | * | * | ns | ns |
| D × W | ** | * | * | ns | ns |
| Treat | Yield (t·ha−1) | ET (mm) | WUE (kg·m−3) | Irrigation Amount (mm) | IWUE (kg·m−3) | |||||
|---|---|---|---|---|---|---|---|---|---|---|
| 2016 | 2017 | 2016 | 2017 | 2016 | 2017 | 2016 | 2017 | 2016 | 2017 | |
| CK | 65.70 ab | 60.37 ab | 157.26 a | 142.92 a | 41.78 bc | 42.24 bc | 172.32 | 150.73 | 38.13 | 40.05 |
| D1W1 | 64.31 ab | 59.03 ab | 153.30 a | 139.20 a | 41.95 bc | 42.41 bc | 172.32 | 150.73 | 37.32 | 39.16 |
| D1W2 | 60.25 b | 54.22 b | 134.90 c | 125.00 b | 44.66 bc | 43.38 b | 153.38 | 125.72 | 39.28 | 43.13 |
| D1W3 | 69.21 a | 53.39 bc | 120.22 d | 107.06 d | 57.57 a | 49.87 ab | 134.44 | 107.54 | 51.48 | 49.65 |
| D2W1 | 62.39 b | 64.19 a | 142.72 b | 134.56 a | 43.71 bc | 47.71 ab | 172.32 | 150.73 | 36.21 | 42.59 |
| D2W2 | 70.34 a | 54.61 b | 119.11 d | 114.05 c | 59.05 a | 47.88 ab | 153.38 | 125.72 | 45.86 | 43.44 |
| D2W3 | 63.54 b | 50.73 c | 109.22 e | 99.72 e | 58.18 a | 50.87 a | 134.44 | 107.54 | 47.26 | 47.17 |
| D3W1 | 50.14 c | 49.09 cd | 122.38 d | 124.73 b | 40.97 c | 39.36 c | 172.32 | 150.73 | 29.10 | 32.57 |
| D3W2 | 45.32 cd | 45.59 d | 107.84 e | 110.69 cd | 42.03 cd | 41.19 bc | 153.38 | 125.72 | 29.55 | 36.26 |
| D3W3 | 40.28 d | 36.99 e | 82.98 f | 92.20 f | 48.54 b | 40.12 bc | 134.44 | 107.54 | 29.96 | 34.40 |
| Anova | ||||||||||
| D | ** | ** | ** | ** | * | * | None | None | None | None |
| W | ** | * | ** | * | ** | ** | None | None | None | None |
| D × W | ** | ** | ** | ** | * | * | None | None | None | None |
Disclaimer/Publisher’s Note: The statements, opinions and data contained in all publications are solely those of the individual author(s) and contributor(s) and not of MDPI and/or the editor(s). MDPI and/or the editor(s) disclaim responsibility for any injury to people or property resulting from any ideas, methods, instructions or products referred to in the content. |
© 2023 by the authors. Licensee MDPI, Basel, Switzerland. This article is an open access article distributed under the terms and conditions of the Creative Commons Attribution (CC BY) license (https://creativecommons.org/licenses/by/4.0/).
Share and Cite
Wang, X.; Qin, J.; Jiang, M.; Fan, Y.; Wang, S. Developing a Subsurface Drip Irrigation Scheduling Mode Based on Water Evaporation: Impacts Studies on Cucumbers Planted in a Greenhouse in the North China Plain. Agronomy 2023, 13, 1957. https://doi.org/10.3390/agronomy13081957
Wang X, Qin J, Jiang M, Fan Y, Wang S. Developing a Subsurface Drip Irrigation Scheduling Mode Based on Water Evaporation: Impacts Studies on Cucumbers Planted in a Greenhouse in the North China Plain. Agronomy. 2023; 13(8):1957. https://doi.org/10.3390/agronomy13081957
Chicago/Turabian StyleWang, Xiaosen, Jingtao Qin, Mingliang Jiang, Yixuan Fan, and Sen Wang. 2023. "Developing a Subsurface Drip Irrigation Scheduling Mode Based on Water Evaporation: Impacts Studies on Cucumbers Planted in a Greenhouse in the North China Plain" Agronomy 13, no. 8: 1957. https://doi.org/10.3390/agronomy13081957
APA StyleWang, X., Qin, J., Jiang, M., Fan, Y., & Wang, S. (2023). Developing a Subsurface Drip Irrigation Scheduling Mode Based on Water Evaporation: Impacts Studies on Cucumbers Planted in a Greenhouse in the North China Plain. Agronomy, 13(8), 1957. https://doi.org/10.3390/agronomy13081957

