Next Article in Journal
Polyphasic Characterization of Indigenous Potassium-Solubilizing Bacteria and Its Efficacy Studies on Maize
Next Article in Special Issue
Effect of Phosphorylation Sites Mutations on the Subcellular Localization and Activity of AGPase Bt2 Subunit: Implications for Improved Starch Biosynthesis in Maize
Previous Article in Journal
Research on the Construction of a Finite Element Model and Parameter Calibration for Industrial Hemp Stalks
 
 
Font Type:
Arial Georgia Verdana
Font Size:
Aa Aa Aa
Line Spacing:
Column Width:
Background:
Article

Biostimulants Improve Yield and Quality in Preharvest without Impinging on the Postharvest Quality of Hass Avocado and Mango Fruit: Evaluation under Organic and Traditional Systems

by
Mariana Lucia Rojas-Rodríguez
1,
Joaquín Guillermo Ramírez-Gil
2,
Luis Felipe González-Concha
3 and
Helber Enrique Balaguera-López
1,*
1
Departamento de Agronomía, Facultad de Ciencias Agrarias, Universidad Nacional de Colombia Sede Bogotá, Bogotá 111321, Colombia
2
Laboratorio de Agrocomputación y Análisis Epidemiológico, Center of Excellence in Scientific Computing, Departamento de Agronomía, Facultad de Ciencias Agrarias, Universidad Nacional de Colombia Sede Bogotá, Bogotá 111321, Colombia
3
Independent Researcher, Tuluá 763021, Colombia
*
Author to whom correspondence should be addressed.
Agronomy 2023, 13(7), 1917; https://doi.org/10.3390/agronomy13071917
Submission received: 26 June 2023 / Revised: 12 July 2023 / Accepted: 18 July 2023 / Published: 20 July 2023

Abstract

The fruit agribusiness sector is one of the most dynamic in Colombia. Within this sector, avocado and mango are of great importance, both in terms of area planted and volume exported. Increasing the productivity, quality, and postharvest life of these fruits is a priority, due to the high losses that occur in the preharvest and postharvest stages. One current alternative to achieve this are biostimulants, which have the potential to improve the productivity and quality of fruit. The objective of this work was to evaluate the effect of the preharvest application of two biostimulants on the yield and quality of avocados and mangos. The study was carried out in production systems for cv. Hass avocado (traditional and organic) and cv. Keitt mango (traditional). In each system, two treatments were evaluated: conventional and conventional + biostimulant. Under field conditions, yield and quality variables such as weight, number of fruits, visual appearance, and size were determined. In postharvest, the fruits obtained from preharvest treatments were subjected to two storage conditions (6 and 20 °C) during the ripening process. Postharvest quality variables such as respiration, ethylene rates, weight loss, color index, firmness, total soluble solids, and titratable acidity were evaluated. The results indicated that the use of biostimulants caused a significant increase (p ≤ 0.05) in the yield, number of fruits, and preharvest quality parameters of size and weight, without negatively affecting the postharvest quality of the fruits. The biostimulant increases the total weight of fruits in organic and conventional avocado by ~55 and 25%, respectively, while in mango, this figure increased by ~23%. Hence, biostimulants can be utilized to increase the productivity of fruit trees.

1. Introduction

The fruit agribusiness sector is one of the most dynamic sectors in Colombia, and it has recently seen a high increase in planted areas, production volume, and participation in exportation [1]. Within this sector, the production of avocados and mangos is particularly important. The avocado (Persea americana Mill.) is a perennial plant that belongs to the Lauraceae family, within which the cv. Hass stands out worldwide due to its good flavor, nutritional value, long postharvest life, and other outstanding properties [2,3]. Meanwhile, the mango (Mangifera indica L.), is among the most important tropical fruits in the world [4], playing an important role in the economic development of tropical countries [5].
Traditionally, avocado and mango production systems worldwide have been managed under conventional strategies, which include the use of products of chemical origin (fungicides, fertilizers, biostimulants, etc.), with a view to rational use and ensuring the safety of the fruit [6,7,8]. Nonetheless, other types of systems can be implemented, such as clean and/or organic production. The organic production of avocado is still incipient (<10% of the area planted worldwide), but a market niche is there to be explored, and its implementation offers environmental advantages [6,7]. In view of this, the implementation and validation of management practices aimed at organic production systems is an area of technological demand among producers worldwide.
Currently, the main objective of the production of fruit trees around the world is to increase yields (t ha1) without affecting quality parameters such as flavor, color, size, shape, smell, and postharvest duration. Despite the large volume of mango production, low productivity per unit area remains a problem, which greatly affects its exportation [9]. In addition, avocado production systems present productive and technological limitations, with lower than potential yields, especially under tropical conditions such as in Colombia [10]. One avocado and mango crop management tool geared towards improving quality is the application of energy sources to increase fruit set and quality [11]. This strategy can be carried out through the application of biostimulants. These compounds are an important and sustainable strategy to increase crop yield and quality.
Biostimulants can improve plant growth, nutrient use efficiency, and stress tolerance, all of which can enhance flowering, plant growth, fruit set, crop productivity, and nutrient use efficiency [12,13,14]. Recent reports have indicated that biostimulants can improve crop yields and also significantly reduce the need for fertilizers [12]. Biostimulants are a promising and environmentally friendly innovative new tool for sustainable agriculture [12]. They have the potential to reduce our reliance on chemical fertilizers and pesticides [12]. The possible function of biostimulants in plants may have two mechanisms (i) they can directly interact with plant signaling cascades and (ii) stimulate endophyte microorganisms to produce molecules that are beneficial to the plant [12,13].
Rouphael and Colla [13] reported that plant biostimulants comprise substances of organic and inorganic origin, including microorganisms, whose objective is to improve nutrient use efficiency, tolerance to abiotic stress, and crop quality. There is also evidence that biostimulants trigger physiological and molecular processes, increase crop yield, and improve the physicochemical characteristics of the fruits [14]. There are different types of biostimulants; mainly, they are composed of humic substances, complex organic materials, stimulating chemical elements, inorganic salts, algae and plant extracts, protein hydrolysates, amino acids, chitin and chitosan derivatives, antiperspirants, and other compounds [13].
Recently, it was found that the use of biostimulants in apple trees improves plant growth [15]. Biostimulants with amino acids have been found to increase the production of “Edward” mangos [16], and biostimulants with bioregulators have also increased yield in blueberries [17]. In apricots, carboxylic acids increased production by up to 58% after the second year [18]. It has been reported by many researchers that the application of biostimulants improves the quality of fruits and vegetables [19]. Tarantino et al. [18] found a significantly positive effect on the fruit antioxidant capacity of the apricot cultivar ‘Orange rubis’ of all biostimulant treatments with respect to the control, although no effects on titratable acidity and total soluble solids or maturity ratio were found.
Important advances have been made in the study of the physiological and biochemical mechanisms of biostimulants on plants [13]. Nevertheless, few studies have evaluated the effect of molecules associated with the application of biostimulants in the field and their effect on the yield and pre- and postharvest quality parameters of avocado and mango fruit, especially under organic production systems. Therefore, the objective of this work was to determine the effect of the preharvest application of a biostimulant on the yield and postharvest quality of Hass avocado (traditional and organic) and mango fruit crops destined for both domestic and export markets. The avocado was cultivated under both traditional and organic production systems. This was to confirm whether the biostimulant improves fruit production without negatively affecting postharvest performance since it has been reported that pre-harvest factors and practices can impact the post-harvest quality of the fruits [20,21].

2. Materials and Methods

2.1. Localization, and General Description of Productive Systems

The study was carried out in two avocado production systems (traditional and organic) and one mango production system (traditional). The traditional production system of avocado cv. Hass we evaluated was a six-year-old system grafted on Hass as rootstock under a planting density of 7 × 7 (204 trees ha1). A crop was defined as traditional considering the integrated management strategies based on the use of inputs of chemical, inorganic, organic, and biological origin, according to the specific indications of the technical staff (Supplementary Table S1). The objective of this system is to produce fresh fruit for exportation, especially in the European market. This production system was in the “El Dovio” municipality (lat 4.4488, lon −76.2335), Valle del Cauca department, Colombia. The basic climatic characteristics are reported in Supplementary Table S2. Regarding general agronomic management, 6 edaphic fertilizations were carried out per year, and 12 foliar applications (nutritional and phytosanitary) were performed every 15–20 days. These applications were based on the nutritional requirements of each phenological stage, the nutrient concentration in soil and production estimates of the production system, and the constant monitoring of the presence of pests and diseases.
The organic production system of avocado cv. Hass we evaluated was a three-year-old system grafted on West Indian as rootstock and established under a planting density of 7 × 7 (204 trees ha1). This crop management was defined as non-conventionally managed, given the integrated management strategies based on the use of inputs of organic and biological origin, according to the specific indications of the technical staff (Supplementary Table S3). The system’s objective is to produce fresh and processed fruit for exportation, especially in the North American market. This system was in the municipality of Bolívar (lat 4.3196, lon −76.2721), department of Valle del Cauca, Colombia. The basic climatic characteristics are reported in Supplementary Table S2. Regarding agronomic management, two edaphic applications of biocompost were made (one semester1 application) at a dose of 4 kg tree1, and four drench applications of a nutrient solution were made every 45 days (8 applications year1) at a dose of 4 L tree1. This management was complemented with foliar applications of nutrient solutions consisting of macro and micronutrients plus growth-promoting microorganisms, antagonists, and entomopathogenic fungi every 30 days at a dose of 0.6 L tree1. These applications were planned according to the nutritional requirements of each phenological stage of the production system, and the constant monitoring of the presence of pests and diseases (Supplementary Table S3). This system was certifiably organic, and all activities and management strategies were carried out following a strict protocol; each product used were controlled in a manner that complied with the seal that accredits it. The organization who certified the farm as organic was the company Kiwa BCS, accredited by the National Accreditation Organization ONAC for Colombia, according to Res 0187/2006 and Res 0199/2016.
The mango cv. Keitt production system we evaluated was a twelve-year-old system grafted on “Creole mango” or “Hilacha” as rootstock. The production system was located in the municipality of Pradera (lat 3.454039, lon −76.238257), department of Valle del Cauca, Colombia, and it was established under a planting density of 7 × 8 m (178 trees ha1). The basic climatic characteristics are reported in Supplementary Table S2. Regarding the agronomic management of the crop, 4 soil fertilizations per year and 24 foliar applications (nutritional and phytosanitary) were carried out with an application frequency ranging between 15 and 20 days. These applications were based on the nutritional requirements of each phenological stage of the production system and the constant monitoring of the presence of pests and diseases (Supplementary Table S4).

2.2. Experimental Design and Treatments

In each production system, a randomized complete block experimental design was established, where the blocking factor was determined based on the slope of the land, defining four zones in each study area. The experimental unit consisted of five trees and four repetitions. Two treatments were designed: (i) traditional management (TM) and (ii) traditional management + biostimulant (TM + MC). The biostimulants used were: DOUCE® for the traditional avocado and mango systems and NAT-DOUCE® for the organic avocado system (with organic certified, KIWA organic seal) (AGROTECNNOVA S.A.S., Cartago, Colombia). The NAT-DOUCE product was certified as organic by the company Kiwa BCS Öko (Nuremberg, German), accredited with the code 13-CPR-002 by the National Accreditation Organization ONAC, a certificatory body for organic products. The composition of the biostimulants used in the study is reported in Table 1. As TM treatments, the foliar applications described above for each production system were assumed.
For the organic avocado, the application of NAT-DOUCE was carried out from the beginning of flowering, guaranteeing that 50% of the flowers were in the reproductive bud break, and compound inflorescence separated (stage 513 and 514) based on the BBCH scale [22] until the fruit set and the avocado fruits were initially filled [22,23]. A dose of 1.5 mL L1 in a volume of 0.6 L tree1 with a monthly application frequency was used (six applications during the second half of 2021; application started on June 30 and ended on November 24). The spraying equipment used was a classic Royal Condor® backpack (Producciones generales S.A., Soacha, Colombia) sprayer with a 20 L capacity, and it was used in the working pressure range of 1–13.79 bar. A Royal Condor® curtain polymer nozzle (Producciones generales S.A., Soacha, Colombia) was used at a flow rate of 0.6 L min1. In traditional avocados, the biostimulant DOUCE was applied following the same indications described above with respect to the phenological stage. A dose of 3 mL L1 with 1.5–2 L volume and an application frequency of 15 days was used (10 applications during the second half of 2021; application started on August 11 and ended on 1 December), which ended 60 days before the harvesting of the fruits. The applications were carried out through a FORTE pump (FM-073) with a MITSUBISHI TU 26 engine (Koshin, Kioto, Japan), 26 cc displacement, with a 25 L capacity, working pressure from 40 to 500 psi, and maximum discharge of 8 L min1. An ALBUZ ATR 60° ceramic nozzle (Rue de l’industrie 27025 Evreux cedex, France) was also used, under a pressure of 10 bar and a flow rate of 0.5 L min1.
The treatment of the mangos was carried out during the flowers’ budding stage until the fruit set and the fruits were filled until their final size, according to the cultivar [24]. For the applications, a dose of 3 mL L1 in a volume ranging between 1.8 and 2 L tree1 and with an application frequency of 15 days was used (eight applications during the second semester of 2021), which ended 20 days before it was time to harvest the fruits destined for exportation (application started on September 3 and ended on December 10). The applications were made using a Jacto CONDORITO 400 sprayer (Jacto, Pompeia, SP, Brasil) with a 400 L capacity, a spray pump with a maximum flow rate of 38 L min1, and a maximum pressure of 150 psi and Royal Condor® lances (Producciones generales S.A., Soacha, Colombia) with two outlets with two H5 discs under a pressure of 145 psi and a flow rate per disc of 800 mL min1.
For the three production systems, the doses were calculated according to the age of the crop, the canopy, and the nutritional needs according to the fertility of the soil and the fertilization and integrated management programs based on the technical indications of each plantation. For the control treatment, the application was carried out with water, with the same specifications.

2.3. Preharvest Yield and Quality Variables Evaluated

As a yield component, the total weight and number of fruits per treatment were evaluated. For aspects of fruit quality, 25 fruits were randomly selected for each treatment, in which the weight (g) was taken, and the visual appearances of the fruits (associated with the presence of damage by biotic and abiotic factors) were observed to classify the fruits into two separate groups: “extra” and “first” quality. For the avocados, their classification was performed according to the North American, European, and national markets [11], while for the mango fruits, the classification criteria of the analyzed productive unit were followed.

2.4. Postharvest Treatments and Quality Variables Evaluated

Forty fruits were randomly chosen for each treatment and productive system. Later, these fruits were sent to the Laboratory of “Calidad y poscosecha de productos agrícolas” of the “Universidad Nacional de Colombia, Bogotá”, for postharvest quality tests; the fruits were carefully stored in packaging and shipped quickly to avoid any loss of quality among the fruits. Two postharvest experiments, both with a completely randomized design, were carried out. The treatments were divided into two: refrigeration at 6 °C for two weeks (simulated trip, fruits for international market) with and without the application of the biostimulant in preharvest and storage at room temperature (20 °C) with and without the application of the biostimulant (simulated fruits for national market). The refrigerated fruit had a shelf life of 2 weeks at 20 °C. Under each treatment, fruit quality was monitored using multiple variables, which were measured periodically during storage and shelving.

2.4.1. Respiration Rate

Each fruit was placed in a hermetically sealed container with an approximate headspace of 1700 mL for two hours at the respective storage temperature. Subsequently, the CO2 concentration was measured by taking a 1 cm3 sample of the gas from the chamber using a MOCON CheckPoint 3 residual atmosphere meter. Equation (1) was used to calculate the CO2 production rate (rCO2).
rCO2 (cm3 kg−1 d−1) = (V/W)(YCO2t+1YCO2t−1)/Δt
where rCO2 is respiration rate, V is the free volume of the container, W is the weight of the fruit, YCO2t−1 is the measurement reported by the residual atmosphere meter at the beginning of the time, YCO2t+1 is the measurement recorded two hours later, and Δt is the time elapsed from the first to the second measurement in days [2].

2.4.2. Ethylene Rate

After the 2 h period in which the fruits were in the sealed container, a gas sample was taken with a 1 mL syringe and injected into an Agilent technologies 7890 A gas chromatograph. The calibration of different ethylene mixtures (0 to 500 ppm) was performed prior to this. Using the chromatograph, the area quantifying the ethylene concentration in the sample was determined, and the mole fraction (FM) was calculated from the calibration curve to elucidate the ethylene production rate through the use of Equation (2).
rC2H4 = (V × W) × (YC2H4t+1YC2H4t−1)/Δt
where rC2H4 is ethylene rate, V is the free volume of the container, W is the weight of the fruit, YC2H4t−1 is the ethylene mole fraction determined in the previous measurement than reported at time t, YC2H4t+1 is the ethylene mole fraction determined in the subsequent measurement than reported at time t, respectively, and Δt is the elapsed time from the first to the second measurement in days [2].

2.4.3. Weight Loss

All fruits were weighed on an “Ohasus” precision balance to a precision of 0.01 g and calculated using Equation (3). This variable was not measured for the mango fruits.
%WL = ((W1 − WF)/W1) × 100
where %WL is weight loss, W1 is the initial weight of the fruits, and WF is the final weight of the fruits, which is reported as a percentage [25].

2.4.4. Color Index

This was determined using a CR 410 digital colorimeter (Konica Minolta®, Hong Kong, China) and by measuring the CIELab system parameters (“L*”, “a*” and “b*”). To determine the color, an average of 3 different points on the equatorial zone of the fruit was recorded. For the avocados, the color index was measured in the skin, while for the mango fruits, it was measured in the skin and pulp. Color index (CI) was calculated using Equation (4) according to Gonzalez et al. [25]; in Equation (4), × is used for multiplication.
CI = 1000 × a * L * × b *

2.5. Statistical Analysis

In each production system and for the variables’ total weight, number, and quality of fruits (extra and first), an analysis of variance was carried out using functions from the emmeans library [26]. Three models were tested, and statistical differences between treatments, block, and treatment × block interaction (models i, ii, and iii) were established. The best model was selected based on the Akaike Information Criterion (AIC). Subsequently and in the case of statistical significance (p ≤ 0.05), a comparison of means was made through the Tukey test to verify which models had differences. Given that the applicability of the value of significance to biological systems has been questioned in recent years, three additional elements that allowed for the size of the effect of each factor to be estimated were incorporated: (i) eta square, (ii) the interval of confidence [27] using the effectsize library [28], and (iii) significance through a permutational multivariate analysis of variance (permanova) [29]. All the of analyses were conducted using the free software R [30]. In the same way, an analysis of the residuals was carried out to evaluate compliance with the assumptions of normality, independence, and heteroscedasticity. For postharvest variables, a two-sample rendition of Student’s t-test was performed after the normality test (Shapiro–Wilks test). For all analyses, statistical significance was determined (p ≤ 0.05) using the free RStudio version 3.6.0 and InfoStat (version 2016l). The preharvest and postharvest variables for each production system (mango, organic, and traditional avocado) were analyzed independently, without comparisons between them.
(i)
yij = αj + ϵijyij = αj + ϵij
(ii)
yij = βj + ϵijyij = βj + ϵij
(iii)
yijk = αj + βk + (αβ)jk + ϵijkyijk = αj + βk + (αβ)jk + ϵijk, where
yij: response variable: yield (# of fruits and total weight of fruits), quality (extra and first).
αj: block effect.
βj: Treatment effect.
(αβ)(αβ): interaction affects block × treatment.

3. Results

3.1. Yield and Quality Variables under Preharvest

In the avocados that were managed organically and traditionally, the variables evaluated in the field showed significant statistical differences (p < 0.05), except in the case of the number of fruits. In the organic avocado, the fruits treated with the biostimulant had a higher total weight (21.16 ± 3.27 kg) compared to the control (13.68 ± 2.31 kg). Also, there was a higher percentage of extra-quality (65%) and a lower percentage of first-quality. In the traditional avocado group, the fruits treated with the biostimulant also had a greater total weight (290.50 ± 39.90 kg) compared to the control group (233.10 ± 8.20 kg), and 20% more fruits were classified as extra-quality compared to the control. In the mango fruits, the total weight of the fruits, and the extra quality were significantly higher (p < 0.05) when the biostimulant was applied. ANOVA did not show statistical differences for the number of fruits, but PERMANOVA analysis as the biostimulant generated the greatest response; this was also evidenced in the avocado group (Figure 1).

3.2. Quality Variables under Postharvest Simulation

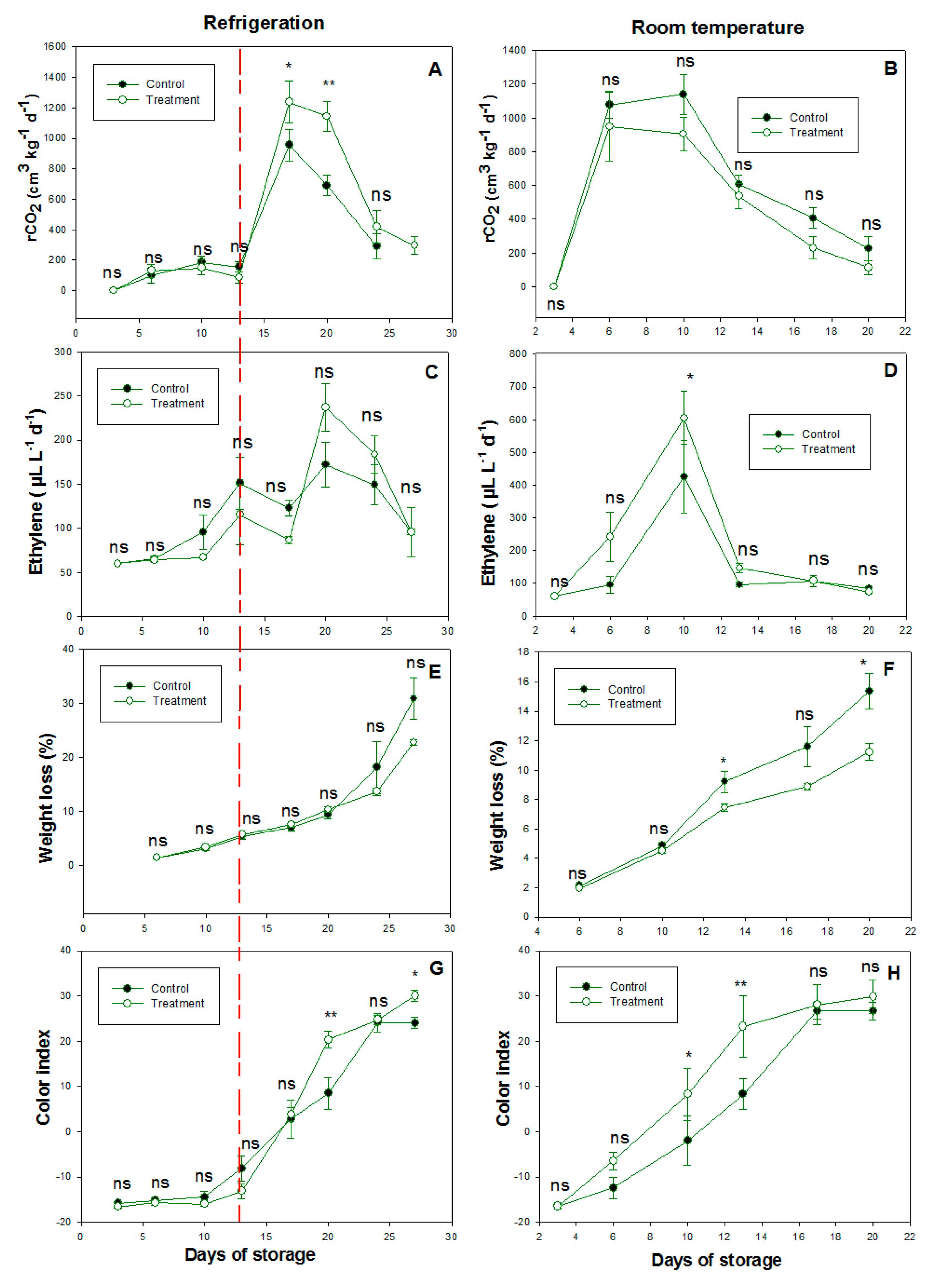
Regarding postharvest, among the organic avocados, refrigerated fruit had a longer postharvest life (27 days) than the fruit stored at room temperature (20 days) and the avocados of the traditional system (Figure 2). Organic avocado fruits showed a constant respiration rate during refrigeration. Once they were shelved and observed, they showed a respiratory peak at 17 days of storage (ds, 1238.71 ± 1.65 cm3 kg −1 d−1), with higher values being observed in the fruit treated with the biostimulant (Figure 2A). On the other hand, fruits at room temperature showed climacteric activity at 10 ds (1139.47 ± 1.57 cm3 kg −1 d−1) and had no significant differences (p > 0.05) with respect to the control group (Figure 2B).
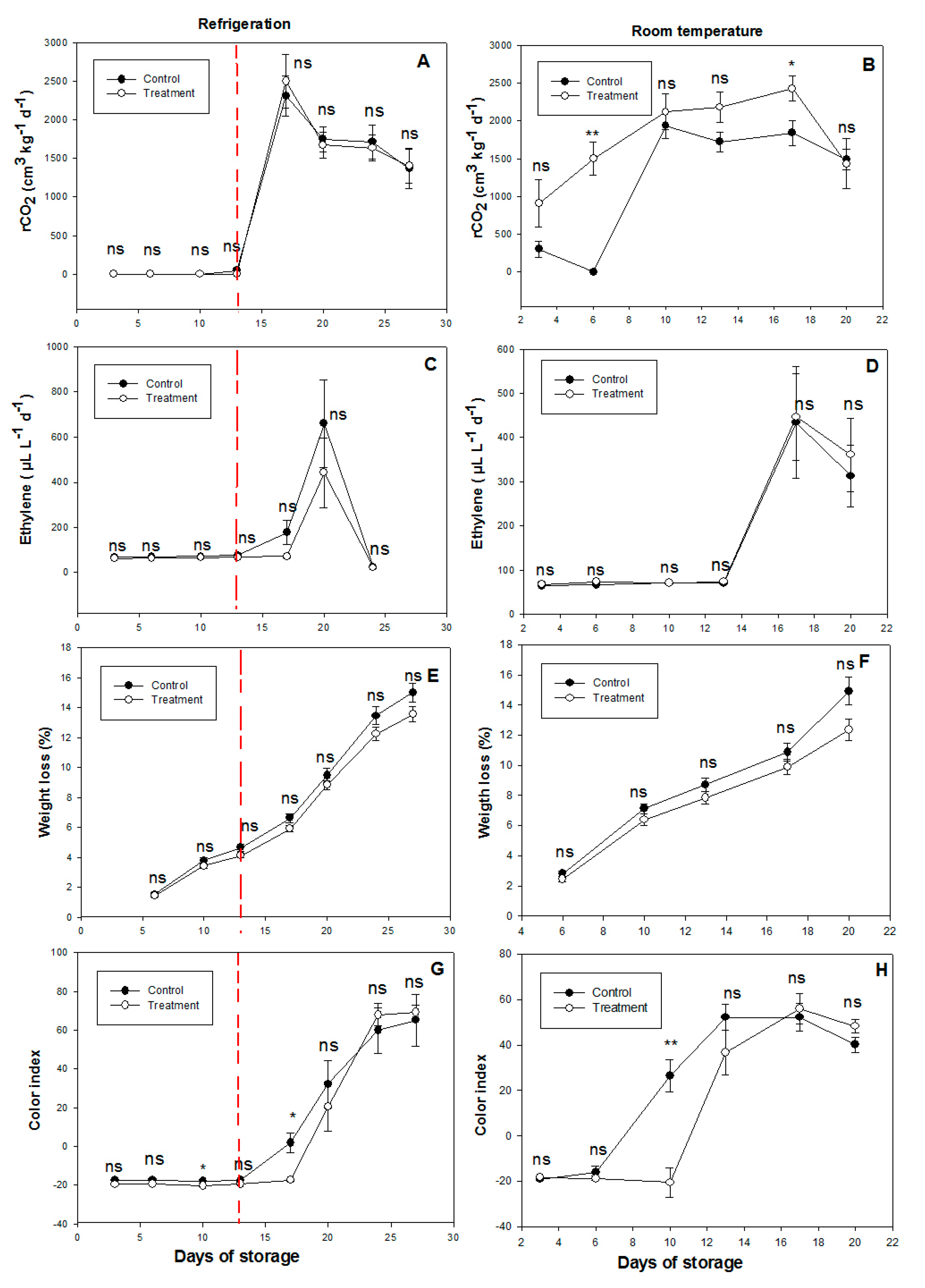
In the traditionally managed avocados, the refrigerated fruits present a climacteric peak at 17 ds and do not have significant differences (p > 0.05) with respect to the control treatment. At room temperature, the fruits showed significant differences at 6 and 17 ds, with higher values compared to those treated with the biostimulant (1498.20 ± 2.60 μL L−1 d−1 and 2427.00 ± 1.6 μL L−1 d−1, respectively) (Figure 3A,B).
Regarding mango fruits, the refrigerated fruit had a longer postharvest life (40 days) than the fruit stored at room temperature (30 days). In the two storage conditions, the fruits did not present statistical differences (p > 0.05) between the control and the biostimulant. It was observed that, in the shelving period, the respiratory rate of the fruits significantly increased until the end of the experiment, while in the fruits stored at room temperature, respiration increased on day 17 of storage before decreasing. The final rate remained stable, indicating that, at that point, the climacteric peak was reached (Figure 4).
The highest value for ethylene production was recorded during shelving (20 ds in avocados from the organic system). In organic avocados, the ethylene values were significantly higher at room temperature (p < 0.05) compared to the control group (605.90 ± 0.20 μL L−1 d−1) (Figure 2D). The highest ethylene production value for traditionally managed avocados was recorded at 20 ds in the refrigerated fruits and at 17 ds in the fruits stored at room temperature; none showed significant differences when compared to the control (p > 0.05) (Figure 3C,D).
In mango fruits, ethylene production did not present statistical differences (p > 0.05) between treatments during refrigerated storage or shelving. However, in the latter period, a representative increase was observed in all fruits. Regarding the fruits at room temperature, there was a continuous increase in ethylene in the two treatments, but with statistical differences only from 14 to 20 days, and with higher ethylene production in the control fruits (Figure 4C,D).
Weight loss increased with storage time for organic avocado fruits. In refrigerated fruit, there were no significant statistical differences (p > 0.05) compared to the control fruits (Figure 2E). On the other hand, at room temperature, the control fruits showed greater weight loss at 13 and 20 ds, reaching a total loss of 15.34% ± 1.20 (Figure 2F). Fruit weight loss in the traditionally managed avocados increased over time and did not present significant differences (p > 0.05) in any of the treatments (Figure 3E,F).
In the organic avocados, the color index showed significant differences (p < 0.05) compared to the control fruits, with 20 ds during shelving (20.28 ± 1.8) and at 10 and 13 ds during room temperature (8.27 ± 5.70 and 23.21 ± 6.70, respectively, Figure 2G,H). The color index was higher the in fruits treated with the biostimulant, coinciding in time with the peaks of ethylene production. In traditionally managed avocados, the color index increased throughout the storage time. In the refrigerated fruits, a higher value was shown in the control fruits compared to the treated ones, with significant differences (1.73 ± 5.20) being observed at 17 ds. In fruits at room temperature, the same behavior was presented at 10 ds, with highly significant differences in control fruits (26.4 ± 6.90) (Figure 3G,H). The appearance and change of color can be observed in Figure 5 and Figure 6.
For the mango fruits, the color index of the pulp increased at the end of refrigerated storage (30 days). At that point, it presented statistical differences and was higher in the control fruits. Then, during shelving, it decreased, but without differences between the two treatments. At room temperature, the color index of the pulp increased in a representative way after 10 days of storage, but there were only differences at 20 days, with a higher value being observed in the control fruits. In the skin color index, depending on storage, there was a similar trend to that observed in the pulp, but there were no statistical differences between the control and the biostimulant-treated fruits (Figure 4E–H).
Fruit firmness decreased during storage in all treatment groups. There were no significant differences (p ≤ 0.05) in the refrigerated avocados. However, there were significant differences (p ≤ 0.05) in fruits treated with the biostimulant at room temperature, with greater firmness at 13 ds in both avocado systems (9.68 ± 1.30 N and 11.50 ± 2.40, traditional and organic, respectively) (Table 2 and Table 3). In mango fruits, there were no statistical differences (p ≤ 0.05) between treatments in the two storage conditions (Table 4).
At room temperature, there are no significant differences (p > 0.05) in TSS or in the percentage of TA in avocados. During refrigeration, significant statistical differences were found (p < 0.05) at 13 ds in the SST variable only in those that were managed organically (Table 2). With traditional management, these variables did not present significant differences in any of the treatments (Table 3).
The TSS in mango fruits was not affected by the biostimulant in either of the two storage conditions (Table 4). Titratable acidity decreased with increasing storage time, and there were no statistical differences in refrigeration; however, when the fruits were at room temperature, the acidity was statistically higher in the control fruits (Table 4).

4. Discussion

4.1. Yield and Quality Variables under Preharvest

According to the composition of the biostimulants (Table 1), the presence of mineral nutrients, organic carbon, and amino acids should be related to the improvement in important processes such as photosynthesis for the formation of carbon skeletons but also in the synthesis of energy in the respiratory process, as previously documented [31,32,33]. Collectively, these effects may improve yield components such as quantity, weight, size, and quality (extra and first quality) in mango and avocado under traditional and organic management systems (Figure 1). In this regard, it is believed that the active ingredients of the biostimulant, mainly potassium, organic carbon, and secondary metabolites, contribute to nutrient assimilation and the production and translocation of photoassimilates to avocado fruits, increasing their growth [6]. However, the variable of the number of fruits depends mainly on the interaction of environmental factors and plant genetics; therefore, it is thought that the biostimulant did not affect the mangos and avocados, as previously reported in grapes [34].
The total root length and surface area in biostimulant-treated melon plants were significantly higher than in control plants [35]. In the case of avocado and mango, it is possible that the biostimulants also increased root growth; this allows for a greater uptake of water and nutrients from the soil, benefitting fruit production. Also, biostimulants stimulate the plants to use mineral nutrients more efficiently; biostimulants applied to plants have shown higher biomass/yield per unit input of nutrients as fertilizer [35].
Similar to our findings under field conditions, biostimulants prepared using algae extract or amino acids seem to be very effective in increasing mango yield [16,36]. In addition, biostimulants based on humic, fulvic, and carboxylic acids have been shown to increase fruit tree yield [18]. In bananas, seaweed extract application has improved bunch weight and yield [37]. However, Tarafdar [35] mentioned that the magnitude of yield increase depends on the type of biostimulants used, the dose, the method of application, and the cultivar type. These increases in productivity and quality are very important because they can improve the sustainability and competitiveness of the productive systems of avocado and mango in Colombia. The importance of biostimulants as tools to improve harvest quality has also been highlighted, based on Ramirez-Gil et al.’s proposals [11].

4.2. Quality Variables under Postharvest Simulation

The temperature, room storage, and refrigeration experiments (simulated trip) were not statistically compared because these storage conditions are specific to each type of market. Room temperature is relevant to national markets, while refrigeration is more relevant to the export market. However, it was observed that, when refrigerated, avocado and mango fruits have longer postharvest durations (Figure 2, Figure 3 and Figure 4). The shelf life of avocado fruit postharvest is 5 to 10 days when the temperature is between 18 and 22 °C [2]. Refrigeration is considered to decrease enzyme activity, respiratory rate [38], and ethylene production, thus increasing postharvest life [25]. In the shelf-life period, both respiration and ethylene increased in both species because of the drastic change in temperature. Low temperatures inhibit the production of ethylene but not of its precursor, 1-aminocyclopropane-1-carboxylic acid (ACC). Therefore, once the product is removed from refrigeration, ethylene will form rapidly [39].
One of the main causes of avocado fruit loss worldwide is its short postharvest shelf life [40]. Reduced shelf life is one of the major constraints affecting the mango trade [4,41], and it is a direct consequence of improper agronomic practices, nutritional imbalances in trees, and/or inadequate storage methods [4,40]. No marked effect of the application of the biostimulant in preharvest on respiration and ethylene was found in either of the two species. This indicates that it does not negatively affect the postharvest behavior of the fruits evaluated under the study conditions. This result is considered very positive, given that biostimulant application significantly benefits yield and harvest quality, as discussed above.
In the organic avocados stored at room temperature, there was a slight increase in ethylene with the application of the biostimulant but only on day 10 (Figure 2D). Ethylene production may be increased because the applied biostimulant contains sulfur (Table 1), a nutrient involved in methionine synthesis that precedes ethylene formation [42]. There were no differences in refrigeration, but ethylene production was slightly higher, which could be related to the significant increase in the respiratory rate between 17 and 20 days of storage in avocados (Figure 2C).
Regarding the mangos stored at room temperature, there was a higher production of ethylene compared with the control. It may be assumed that the silicon and boron present in the biostimulant are transported to the fruit, where they generate a decrease in ethylene synthesis. In this regard, it has been reported that, depending on the biostimulant, there is a possibility of prolonging fruit shelf life [35]
The Hass avocado fruits that lose the greatest percentage of weight are those with the lowest dry mass, as was observed in the field. Treated fruits have a higher total weight (Figure 1), possibly because the biostimulant contains certain nutrients involved in photosynthesis and physiological processes, such as cell division, which increase mass and thus decrease the probability of post-harvest weight loss [43,44]. On the other hand, the color index increased as the fruit ripened from bright green to opaque purple black for avocado fruit (Figure 5 and Figure 6), indicating that it reached eating maturity [11]. The ethylene hormone induces chlorophyll degradation by chlorophyllase proteins and is involved in the expression of gene-encoding proteins that allow for pigment production during maturation [38]. Apparently, these processes occurred slightly faster in the organically managed avocados, where ethylene production was slightly higher (Figure 2C,D). However, in the traditionally managed avocados, the opposite response was found towards the middle of storage, possibly due to a greater effect of silicon and boron in these fruits, which could slightly delay the ripening process.
In the mangos, the biostimulant did not affect the coloration of the epidermis, but in the pulp, there was a slight delay in the color index towards the middle of the storage period (Figure 4E), which can be attributed to a slower carotenoid synthesis process. In citrus fruit, the use of biostimulants also generated an increase in pulp color [45]. In apricots, different biostimulants did not affect the color of the epidermis (measured through the a* and b* coordinates) [18].
Fruit firmness, which is associated with other postharvest parameters, decreased in mangos and avocados during storage. The behavior of this variable coincides with the values found in other studies of the same variety, where the greatest decrease in firmness occurs after the ethylene peak since ethylene is involved in the synthesis of cellulases and polygalacturonases, both of which contribute to the solubilization and depolymerization of pectins in the cell wall [46]. In Hass avocados, it has been reported that the application of biostimulants with calcium in pre-harvest reduces loss of firmness and pathogen attack and preserves the visual appearance [39]. This was also found to be the case in this study on organic systems at room temperature (Table 2) because the components of these increase the stability of the cell walls [39]. Also, in tomatoes, it has been reported that silicon applications prevent fruit softening by affecting the activities of major cell-wall-degrading enzymes such as cellulase, polygalacturonase, and xylanase [47]. The presence of silicon in the biostimulant applied in traditional avocado systems (Table 1) could also be responsible for the higher firmness at room temperature.
The results for the mangos are also related to what was found in respiration, where the biostimulant did not affect firmness either (Table 4). In apricots, Tarantino et al. [18] did not find a significant effect of various biostimulants on fruit firmness. However, it has been reported that biostimulants can not only increase the flexibility of cell walls but also simultaneously extend the shelf life of fruits, facilitating their storage and consumption [35]
The increase in SST is attributed to the conversion of polysaccharides and organic acids (mainly tartaric acid) to simpler sugars such as sucrose, fructose, and glucose, which function as an energy source for ethylene or the production of volatile compounds, as well as other metabolic ripening processes [48]. These biochemical changes occur during the climacteric period, i.e., at the highest respiratory rates, which, in refrigerated fruit, lasts for up to 17 days. Therefore, the combined effect of the biostimulant with refrigeration at 13 ds delayed the increase in respiration and therefore in SST. Biostimulants can increase the total soluble sugar, carotenoid, total polyphenol, and flavonoid contents. As a result, it has been found that the quality of apples and fruit quality of grapevines can be improved by applying biostimulants based on an extract of the alga Ascophyllum nodosum [35]. In grapes, improved soluble solids contents due to the use of biostimulants have also been reported [49].
Regarding the titratable acidity in the two species, the biostimulant did not appear to significantly affect important biochemical processes such as the Krebs cycle and gluconeogenesis, both of which normally involve organic acid metabolism [46]. This is consistent with the low effect that was found on respiration and in soluble solids content, indicating that the biostimulant does not affect the flavor and energy metabolism of the fruit during postharvest. Similar results were found in grapes, where the application of a biostimulant based on A. nodosum had no significant effect on the titratable acidity during ripening [34], while in citrus fruits, the use of biostimulants reduced their acidity [45].
Finally, it is important to mention that the results of this study allow us to recommend the use of biostimulants in mango and avocado production. However, this new tool must be used carefully and included in integrated crop management plans. We also acknowledge the need to try to understand how biostimulants operate, especially with respect to the physiological and biochemical processes that govern their mechanisms of action in plants under field conditions. Improving knowledge in this area will allow us to make specific technical recommendations to ensure that their use is more sustainable. This is considered the most important factor in improving our understanding of biostimulant function, but this process is quite complex to demonstrate given the large number of molecules they contain and the scarce characterization and knowledge about these components [12]. In addition, it has been reported that the responses of plants to biostimulants cannot be explained by our current understanding of plant processes; this is an important challenge that needs to overcome to ensure the implementation of this new tool in agriculture [12,13,32,35].

5. Conclusions

Biostimulant applications in traditional mango and avocado or organic avocado production systems can be recommended because yield and preharvest quality parameters of size and weight increase at harvest. The biostimulant used in this study increased the total weight of the organic avocado fruits by ~55% and also increased the total weight of conventional avocado and mango fruits by ~25% and ~23%, respectively. Regarding the extra quality, the biostimulant increased this metric in organic and conventional avocado fruits by 65–29 and 20–28%, respectively, and in mango fruits, this figure increased by 18 and 25%. In postharvest, in general, the effect of the biostimulant was similar to that of the control group, that is, it did not negatively affect quality during storage both in the avocado and mango fruits. The biostimulant used in this study can be applied in the production systems evaluated to produce fruits destined for sale nationwide or internationally.

Supplementary Materials

The following supporting information can be downloaded at: https://www.mdpi.com/article/10.3390/agronomy13071917/s1. Table S1. List of products used in a productive cycle (one year) of the traditional avocado production system. Table S2. Principal climatic variables of productive systems. Table S3. List of products used in a productive cycle (one year) of the organic avocado production system. Table S4. List of products used in a productive cycle (one year) of the traditional mango production system evaluated under this study.

Author Contributions

Conceptualization, M.L.R.-R., J.G.R.-G., L.F.G.-C. and H.E.B.-L.; methodology, M.L.R.-R., J.G.R.-G., L.F.G.-C. and H.E.B.-L.; formal analysis, M.L.R.-R., J.G.R.-G. and H.E.B.-L.; investigation, M.L.R.-R., J.G.R.-G. and H.E.B.-L.; data curation, M.L.R.-R., J.G.R.-G. and H.E.B.-L.; writing—original draft preparation, M.L.R.-R., J.G.R.-G., L.F.G.-C. and H.E.B.-L.; writing—review and editing, M.L.R.-R., J.G.R.-G. and H.E.B.-L.; visualization, M.L.R.-R., J.G.R.-G. and H.E.B.-L. All authors have read and agreed to the published version of the manuscript.

Funding

This research received no external funding.

Data Availability Statement

Not applicable.

Acknowledgments

The authors thank Sandra Mendoza and Yaneth Alberto Rojas, support staff of the Laboratory of “Calidad y poscosecha de productos agrícolas” of the Universidad Nacional de Colombia, Bogotá. The authors also want to thank the technical team of AGROTECNNOVA S.A.S. for providing the biostimulants used and the information referring to their composition, as well as providing support in field research.

Conflicts of Interest

The authors declare no conflict of interest.

References

  1. FAO FAOSTAT. Available online: http://www.fao.org/faostat/es/#home (accessed on 9 February 2023).
  2. Castellanos, D.; Mendoza, R.; Guevara, R.; Herrera, A. Respiration and ethylene generation modeling of “Hass” avocado and feijoa fruits and application in modified atmosphere packaging. Int. J. Food Prop. 2017, 20, 333–349. [Google Scholar] [CrossRef]
  3. Wolstenholme, B.N. Ecology: Climate and soils. In The Avocado: Botany, Production and Uses; CABI Publishing: Wallingford, UK, 2013; pp. 86–117. [Google Scholar]
  4. Shivran, M.; Sharma, N.; Dubey, A.K.; Singh, S.K.; Sharma, N.; Muthusamy, V.; Jain, M.; Singh, B.P.; Singh, N.; Kumar, N.; et al. Scion/Rootstock Interaction Studies for Quality Traits in Mango (Mangifera indica L.) Varieties. Agronomy 2023, 13, 204. [Google Scholar] [CrossRef]
  5. Lawson, T.; Lycett, G.W.; Ali, A.; Chin, C.F. Characterization of Southeast Asia mangoes (Mangifera indica L.) according to their physicochemical attributes. Sci. Hortic. 2019, 243, 189–196. [Google Scholar] [CrossRef]
  6. Rojas, E. Aplicación de Bioestimulantes Foliares Sobre el Rendimiento y Calidad de Fruto de Palto (Persea Americana Mill), Variedad Fuerte en el Valle de Cieneguillo sur, Piura. Universidad Nacional de Piura. Available online: https://repositorio.unp.edu.pe/bitstream/handle/UNP/1265/AGR-ROJ-GUE-18.pdf?sequence=1&isAllowed=y (accessed on 9 February 2023).
  7. Apaza, W.; Villavicencio, Y.; Moreno, R.; Huallanca, C. Comportamiento de Los Cinco Patrones de Palto Más Utilizados en la Irrigación de Chavimochic a la Pudrición Radicular Ocasionada por Phytophthora cinnamomi. VIII Congreso Mundial de la Palta, Lima—Perú. Available online: https://www.avocadosource.com/WAC8/Section_03/Section_03_Abstracts_Spanish.pdf (accessed on 10 November 2021).
  8. Evans, E.; Ballen, F.H.; Siddiq, M. Mango Production, Global Trade, Consumption Trends, and Postharvest Processing and Nutrition. In Handbook of Mango Fruit; Siddiq, M., Brecht, J.K., Sidhu, J.S., Eds.; John Wiley & Sons Ltd.: Maitland, FL, USA, 2017; pp. 1–16. [Google Scholar] [CrossRef]
  9. APEDA-Agricultural and Processed Food Products Export Development Authority. Products-Fresh Fruits and Vegetable: Mango; Ministry of Commerce and Industry, Government of India: New Delhi, India, 2020. [Google Scholar]
  10. Ramírez-Gil, J.G.; Morales, J.G.; Peterson, A.T. Potential Geography and Productivity of “Hass” Avocado Crops in Colombia Estimated by Ecological Niche Modeling. Sci. Hortic. 2018, 237, 287–295. [Google Scholar] [CrossRef]
  11. Ramírez-Gil, J.G.; Franco, G.; Henao-Rojas, J.C. Review of the concept of quality in Hass avocado and the pre-harvest and harvest factors that determine it under tropical conditions. Rev. Colomb. Cienc. Hortíc. 2019, 13, 359–370. [Google Scholar] [CrossRef]
  12. Brown, P.; Sebastian, S. Biostimulants in agriculture. Front. Plant Sci. 2015, 6, 671. [Google Scholar] [CrossRef]
  13. Rouphael, Y.; Colla, G. Editorial: Biostimulants in Agriculture. Front. Plant Sci. 2020, 11, 40. [Google Scholar] [CrossRef]
  14. Du Jardin, P. Plant biostimulants: Definition, concept, main categories, and regulation. Sci. Hortic. 2015, 196, 3–14. [Google Scholar] [CrossRef]
  15. Koulympoudi, L.; Chatzissavvidis, C.; Giannakoula, A.E. Physiological and Biochemical Responses of Apple (Malus domestica Borkh.) to Biostimulants Application and Substrate Additives under Salinity Stress. Appl. Sci. 2023, 13, 1290. [Google Scholar] [CrossRef]
  16. Morales, J.P. Influence of foliar sprays of an amino acid formulation on fruit yield of “Edward” mango. Acta Hortic. 2015, 1075, 157–160. [Google Scholar] [CrossRef]
  17. Milic, B.; Tarlanovic, J.; Keserovic, Z.; Magazin, N.; Miodragovic, M.; Popara, G. Bioregulations can improve fruit yield, yield and plant growth of northern highbush blueberry (Vaccinium corymbosum L). Sci. Hortic. 2018, 235, 214–220. [Google Scholar] [CrossRef]
  18. Tarantino, A.; Lops, F.; Disciglio, G.; Lopriore, G. Effects of plant biostimulants on fruit set, growth, yield and fruit quality attributes of ‘Orange Rubis’ Apricot (Prunus armeniaca L.) cultivars in two consecutive years. Sci. Hortic. 2018, 239, 26–34. [Google Scholar] [CrossRef]
  19. Rouphael, Y.; Colla, G. Synergistic Biostimulatory Action: Designing the Next Generation of Plant Biostimulants for Sustainable Agriculture. Front. Plant Sci. 2018, 9, 1655. [Google Scholar] [CrossRef] [PubMed]
  20. Siddiqui, M. Preharvest Modulation of Postharvest Fruit and Vegetable Quality; Academic Press: London, UK, 2018; 516p. [Google Scholar]
  21. Fischer, G.; Parra, A.; Balaguera, H.E. Altitude as a determinant of fruit quality with emphasis on the Andean tropics of Colombia. A review. Agron. Colomb. 2022, 40, 212–227. [Google Scholar] [CrossRef]
  22. Alcaraz, M.L.; Thorp, T.G.; Hormaza, J.I. Phenological growth stages of avocado (Persea americana) according to the BBCH scale. Sci. Hortic. 2013, 164, 434–439. [Google Scholar] [CrossRef]
  23. Salazar, S.; Lord, E.; Lovatt, C. Inflorescence and flower development of the “Hass” avocado (Persea americana Mill.) during ‘on’ and ‘off’ crop years. J. Am. Soc. Hortic. Sci. 1998, 123, 537–544. [Google Scholar] [CrossRef]
  24. Hernández, P.M.; Aranguren, M.; Reig, C.; Fernández Galván, D.; Mesejo, C.; Martínez, A.; Galán, V.; Agustí, M. Phenological growth stages of mango (Mangifera indica L.) according to the BBCH scale. Sci. Hortic. 2011, 130, 536–540. [Google Scholar] [CrossRef]
  25. González, A.K.; González, L.F.; Córdoba, L.D.; Rincón, A.; Balaguera, H.E. Regulating the postharvest life of Campomanesia lineatifolia R. & P. fruits through the interaction of ethylene, 1-methylcyclopropene and low temperatures. Rev. Colomb. Cienc. Hortíc. 2021, 15, e12499. [Google Scholar] [CrossRef]
  26. Lenth, R.V.; Buerkner, P.; Herve, M.; Love, J.; Miguez, F.; Riebl, H.; Singmann, H. Emmeans: Estimated Marginal Means, aka Least-Squares Means. Available online: https://cran.r-project.org/web/packages/emmeans/emmeans.pdf (accessed on 14 May 2023).
  27. Nakagawa, S.; Cuthill, I.C. Effect size, confidence interval and statistical significance: A practical guide for biologists. Biol. Rev. Camb. Philos. Soc. 2007, 82, 591–605. [Google Scholar] [CrossRef]
  28. Ben-shachar, M.S.; Lüdecke, D.; Makowski, D. Effectsize: Estimation of Effect Size Indices and Standardized Parameters. J. Open Source Softw. 2020, 5, 1–7. [Google Scholar] [CrossRef]
  29. Anderson, M.J. Permutational Multivariate Analysis of Variance (PERMANOVA). Wiley StatsRef 2017, 1–15. [Google Scholar] [CrossRef]
  30. R Development Core Team. R: The R Project for Statistical Computing [WWW Document]. R Foundation for Statistical Computing, Vienna, Austria. Available online: https://www.r-project.org/ (accessed on 14 May 2023).
  31. Gupta, S.; Kulkarni, M.G.; White, J.F.; Stirk, W.A.; Papenfus, H.B.; DoleŽal, K. Categories of various plant biostimulants-mode of application and shelf-life. In Biostimulants for Crops From Seed Germination to Plant Development—A Practical Approach; Gupta, S., Van Staden, J., Eds.; Elsevier Inc.: Amsterdam, The Netherlands, 2021; pp. 1–60. [Google Scholar] [CrossRef]
  32. Bahuguna, A.; Sharma, S.; Rai, A.; Bhardwaj, R.; Sahoo, S.K.; Pandey, A.; Yadav, B. Chapter 15. Advance technology for biostimulants in agriculture. In New and Future Developments in Microbial Biotechnology and Bioengineering; Singh, H.B., Vaishnav, A., Eds.; Elsevier Inc.: Amsterdam, The Netherlands, 2016; pp. 393–412. [Google Scholar]
  33. Rengel, Z.; Cakmak, I.; White, P.J. (Eds.) Marschner’s Mineral Nutrition of Plants, 4th ed.; Academic Press: London, UK, 2023. [Google Scholar]
  34. Frioni, T.; Sabbatini, P.; Tombesi, S.; Norrie, J.; Poni, S.; Gatti, M.; Palliotti, A. Effect of a biostimulants derived from the brown seaweed Ascophyllum nodosum on ripening dynamics and fruit quality of grapevines. Sci. Hortic. 2018, 232, 97–106. [Google Scholar] [CrossRef]
  35. Tarafdar, J.C. Chapter 17. Biostimulants for sustainable crop production. In New and Future Developments in Microbial Biotechnology and Bioengineering; Singh, H.B., Vaishnav, A., Eds.; Elsevier Inc.: Amsterdam, The Netherlands, 2016; pp. 299–313. [Google Scholar]
  36. Abd El-Motty, E.Z.; Shahin, M.F.M.; El-Shiekh, M.H.; Abd-El-Migeed, M.M.M. Effect of algae extract and yeast application on growth, nutritional status, yield and fruit quality of ‘Keitte’ mango trees. Agric. Biol. 2010, 1, 421–429. [Google Scholar] [CrossRef]
  37. Ravi, I.; Kamaraju, K.; Kumar, N.S. Foliar application of seaweed bio formulation enhances growth and yield of banana cv. Grand Naine (AAA). Indian J. Nat. Sci. 2018, 8, 13482–13488. [Google Scholar]
  38. Pachón, Y.; Balaguera, H.; Flores, N. Postharvest behavior and chilling injury in avocado (Persea americana Mill) fruit cv. Hass treated with 1-methylcyclopropene, ethylene, and intermittent warming. Rev. Fac. Nac. Agron. 2022, 75, 9895–9907. [Google Scholar] [CrossRef]
  39. Barrientos, A.; Vargas, H.; Martinez, T.; Lázaro, M.D. Effect of preharvest calcium spraying on ripening and chilling injury in ‘Hass’ (Persea americana Mill.) avocado. Rev. Chain. Ser. Hortic. 2016, 22, 145–159. [Google Scholar] [CrossRef]
  40. Munhuweyi, K.; Mpai, S.; Sivakumar, D. Extension of Avocado Fruit Postharvest Quality Using Non-Chemical Treatments. Agronomy 2020, 10, 212. [Google Scholar] [CrossRef]
  41. Parvin, N.; Rahman, A.; Roy, J.; Rashid, M.H.; Paul, N.C.; Mahamud, M.A.; Imran, S.; Sakil, M.A.; Uddin, F.M.J.; Molla, M.E.; et al. Chitosan Coating Improves Postharvest Shelf-Life of Mango (Mangifera indica L.). Horticulturae 2023, 9, 64. [Google Scholar] [CrossRef]
  42. Wawrzynska, A.; Moniuzko, G.; Sirko, A. Links between Ethylene and Sulfur Nutrition—A Regulatory Interplay or Just Metabolite Association? Plant Sci. 2016, 6, 1053. [Google Scholar] [CrossRef]
  43. Velázquez, D.; Ruíz, V.; Ibáñez, A.; Torres, C.; Tobar, J.; García, F. Cambios fisicoquímicos poscosecha en frutos de aguacate “Hass” (Persea americana mill) cultivados a diferente altitud. Agroproductividad 2017, 10, 24–28. [Google Scholar]
  44. El-Shaieny, A.-H.A.H.; Abd-Elkarim, N.A.A.; Taha, E.M.; Gebril, S. Bio-Stimulants Extend Shelf Life and Maintain Quality of Okra Pods. Agriculturae 2022, 12, 1699. [Google Scholar] [CrossRef]
  45. Khan, A.S.; Munir, T.M.; Shaheen, T.; Tassawar, M.A.; Rafiq, S.; Ali, R.; Anwar, R.N.U.; Rehman, M.U.; Hasan, A.U. Supplemental foliar applied mixture of amino acids and seaweed extract improved vegetative growth, yield and quality of citrus fruit. Sci. Hortic. 2022, 296, 110903. [Google Scholar] [CrossRef]
  46. Yahia, E.M.; Carrillo, A. Postharvest Physiology and Biochemistry of Fruits and Vegetables, 1st ed.; Elsevier Inc.: Kidlington, UK, 2019. [Google Scholar]
  47. Abidi, W.; Acrimi, R.; Hajlaoui, H.; Rejeb, H.; Gogorcena, Y. Foliar Fertilization of Potassium Silicon Improved Postharvest Fruit Quality of Peach and Nectarine [Prunus persica (L.) Batsch] Cultivars. Agriculture 2023, 13, 195. [Google Scholar] [CrossRef]
  48. Márquez, C.; Yepes, D.; Sanchez, L.; Osorio, J. Cambios Físico-Químicos Del Aguacate (Persea Americana Mill. Cv. “Hass”) En Poscosecha Para Dos Municipios De Antioquia. Temas Agrar. 2014, 19, 32–47. [Google Scholar] [CrossRef]
  49. Boselli, M.; Bahouaoui, M.; Lachhab, N.; Sanzani, S.M.; Ippolito, A. Grapevine: Protein hydrolysates against water stress. Inf. Agrar. 2015, 22, 39.e42. [Google Scholar]
Figure 1. Data associated with productivity and quality of avocado and mango fruits under traditional and biostimulant treatments in field conditions. TM: Traditional management independent of the production system. TM + MC: Traditional management plus biostimulant application. The bars represent the confidence intervals (lower and upper range). Different letters represent significant differences obtained using Tukey’s text (p ≤ 0.05). a,b Significance based on ANOVA and PERMANOVA. Eta2 ≤ 0.30 Significant but weak; 0.31 ≤ 0.60 Moderate; >0.61 Strong. For models ii (block) and iii (block × treatment), there were no significant differences based on ANOVA and PERMANOVA, and Eta2 was weak for each of the variables evaluated.
Figure 1. Data associated with productivity and quality of avocado and mango fruits under traditional and biostimulant treatments in field conditions. TM: Traditional management independent of the production system. TM + MC: Traditional management plus biostimulant application. The bars represent the confidence intervals (lower and upper range). Different letters represent significant differences obtained using Tukey’s text (p ≤ 0.05). a,b Significance based on ANOVA and PERMANOVA. Eta2 ≤ 0.30 Significant but weak; 0.31 ≤ 0.60 Moderate; >0.61 Strong. For models ii (block) and iii (block × treatment), there were no significant differences based on ANOVA and PERMANOVA, and Eta2 was weak for each of the variables evaluated.
Agronomy 13 01917 g001
Figure 2. Effect of both applying biostimulant treatments in the field and organic management on the respiratory rate (A,B), ethylene production (C,D), weight loss (E,F), and color index (G,H) of refrigerated postharvest avocado cv Hass fruits or those stored at room temperature. The red dotted line indicates the beginning of the shelf-life period (18 °C). ns: no statistical differences; **: statistical differences p < 0.01, *: statistical differences p < 0.05, according to Student’s t-test (conducted at each sampling point).
Figure 2. Effect of both applying biostimulant treatments in the field and organic management on the respiratory rate (A,B), ethylene production (C,D), weight loss (E,F), and color index (G,H) of refrigerated postharvest avocado cv Hass fruits or those stored at room temperature. The red dotted line indicates the beginning of the shelf-life period (18 °C). ns: no statistical differences; **: statistical differences p < 0.01, *: statistical differences p < 0.05, according to Student’s t-test (conducted at each sampling point).
Agronomy 13 01917 g002
Figure 3. Effect of both applying biostimulant treatments in the field and traditional management on the respiratory rate (A,B), ethylene production (C,D), weight loss (E,F), and color index (G,H) of refrigerated postharvest avocado cv Hass fruits or those stored at room temperature. The red dotted line indicates the beginning of the shelf-life period (18 °C). ns: no statistical differences; **: statistical differences p < 0.01, *: statistical differences p < 0.05, according to Student’s t-test (conducted at each sampling point).
Figure 3. Effect of both applying biostimulant treatments in the field and traditional management on the respiratory rate (A,B), ethylene production (C,D), weight loss (E,F), and color index (G,H) of refrigerated postharvest avocado cv Hass fruits or those stored at room temperature. The red dotted line indicates the beginning of the shelf-life period (18 °C). ns: no statistical differences; **: statistical differences p < 0.01, *: statistical differences p < 0.05, according to Student’s t-test (conducted at each sampling point).
Agronomy 13 01917 g003
Figure 4. Effect of both applying biostimulant treatments in the field and traditional management on the respiratory rate (A,B), ethylene production (C,D), color index of pulp (E,F), and color index of skin (G,H) in postharvest mango fruits refrigerated or stored at room temperature. The red dotted line indicates the beginning of the shelf-life period (18 °C). ns: no statistical differences; **: statistical differences p < 0.01, *: statistical differences p < 0.05, according to Student’s t-test (conducted at each sampling point).
Figure 4. Effect of both applying biostimulant treatments in the field and traditional management on the respiratory rate (A,B), ethylene production (C,D), color index of pulp (E,F), and color index of skin (G,H) in postharvest mango fruits refrigerated or stored at room temperature. The red dotted line indicates the beginning of the shelf-life period (18 °C). ns: no statistical differences; **: statistical differences p < 0.01, *: statistical differences p < 0.05, according to Student’s t-test (conducted at each sampling point).
Agronomy 13 01917 g004
Figure 5. The appearance of organically managed avocado cv Hass fruits after the application of in-field biostimulant treatments and storage at room temperature (above) or refrigeration (below).
Figure 5. The appearance of organically managed avocado cv Hass fruits after the application of in-field biostimulant treatments and storage at room temperature (above) or refrigeration (below).
Agronomy 13 01917 g005
Figure 6. The appearance of traditionally managed avocado cv Hass fruits after the application of in-field biostimulant treatments and storage at room temperature (above) or refrigeration (below).
Figure 6. The appearance of traditionally managed avocado cv Hass fruits after the application of in-field biostimulant treatments and storage at room temperature (above) or refrigeration (below).
Agronomy 13 01917 g006
Table 1. Composition of biostimulants used in the study.
Table 1. Composition of biostimulants used in the study.
Composition *Douce®Nat-Douce®
Water soluble potassium (K2O; g/L)10050
Water soluble phosphorus (P2O5; g/L)65-
Total calcium (CaO; g/L)-3
Sulfur (S; g/L)-14
Boron (B; g/L)2.50-
Water soluble silicon (SiO2; g/L)20-
Total oxidizable organic carbon (COOT; g/L), from seaweed extracts-41
Phenylalanine (ppm)300-
Methionine (ppm)300-
Free amino acids (ppm): L-aspartic, L-cysteine, L-phenylalanine, trionine, valine, lysine, serine, methionine, glycine, isoleusine, histidine, leusine, arginine, alanine, tyrosine, proline, glutamic acid600-
Secondary metabolites (g/L)5050
* Having obtained the manufacturer’s permission (AGROTECNNOVA. S.A.S.), we are able to disclose this information about the biostimulant products.
Table 2. Effect of both applying biostimulant treatments in the field and organic management on the firmness, total soluble solids (TSS), and titratable acidity of postharvest avocado cv Hass fruits that were either refrigerated or stored at room temperature. Statistical significance was determined according to Student’s t-test (conducted at each sampling point). Different letters in the same column indicate statistically significant differences in measurements over time according to Student’s t-test (p < 0.05).
Table 2. Effect of both applying biostimulant treatments in the field and organic management on the firmness, total soluble solids (TSS), and titratable acidity of postharvest avocado cv Hass fruits that were either refrigerated or stored at room temperature. Statistical significance was determined according to Student’s t-test (conducted at each sampling point). Different letters in the same column indicate statistically significant differences in measurements over time according to Student’s t-test (p < 0.05).
ExperimentFirmness (N)TSS (° Brix)Titratable Acidity (%)
6 d13 d20 d27 d6 d13 d20 d6 d13 d20 d
Refrigeration
Control26.30 ± 6.6 a10.34 ± 0.3 a5.92 ± 1.6 a5.86 ± 0.7 a4.7 ± 0.9 a7.1 ± 0.2 a7.3 ± 0.2 a2.1 ± 0.4 a0.05 ± 0.0 a0.05 ± 0.0 a
Treatment38.83 ± 2.0 a12.87 ± 3.5 a4.65 ± 0.9 a3.44 ± 1.6 a4.6 ± 0.3 a5.4 ± 0.1 b6.9 ± 0.5 a1.9 ± 0.0 a0.18 ± 0.0 a0.06 ± 0.0 a
Significance0.060.400.520.240.920.0030.460.690.070.64
Room temperature
Control21.19 ± 6.0 a6.13 ± 0.7 b3.52 ± 0.2 a 4.7 ± 0.8 a3.6 ± 0.8 a7.6 ± 0.5 a0.08 ± 0.0 a0.05 ± 0.0 a0.06 ± 0.0 a
Treatment16.76 ± 4.1 a11.5 ± 2.4 a5.70 ± 1.0 a 3.3 ± 0.3 a4.8 ± 0.1 a7.7 ± 0.4 a0.41 ± 0.0 a0.06 ± 0.0 a0.05 ± 0.0 a
Significance0.490.040.17 0.50.90.60.180.850.91
Different letters in the same column and each experiment indicate statistically significant differences in measurements over time according to Student’s t-test (p < 0.05).
Table 3. Effect of applying both biostimulant treatments in the field and traditional management on the firmness, total soluble solids (TSS), and titratable acidity of postharvest avocado cv Hass fruits refrigerated or stored at room temperature. Statistical significance was determined according to Student’s t-test (conducted at each sampling point).
Table 3. Effect of applying both biostimulant treatments in the field and traditional management on the firmness, total soluble solids (TSS), and titratable acidity of postharvest avocado cv Hass fruits refrigerated or stored at room temperature. Statistical significance was determined according to Student’s t-test (conducted at each sampling point).
ExperimentFirmness (N)TSS (Brix)Titratable Acidity (%)
6 d13 d20 d27 d 6 d13 d20 d6 d13 d20 d
Refrigeration
Control43.9 ± 0.7 a43.66 ± 0.7 a9.68 ± 2.2 a43.93 ± 0.7 a5.53 ± 0.5 a6.33 ± 0.6 a5.87 ± 0.6 a3.9 ± 0.4 a0.09 ± 0.0 a0.19 ± 0.0 a
Treatment37.9 ± 3.2 a41.97 ± 2.7 a8.51 ± 2.0 a37.99 ± 3.2 a5.37 ± 0.3 a4.87 ± 0.6 a4.43 ± 0.7 a3.8 ± 0.2 a0.11 ± 0.0 a0.12 ± 0.0 a
Significance0.080.530.630.080.820.190.220.820.520.41
Room temperature
Control38.4 ± 0.3 a7.97 ± 0.5 b7.02 ± 0.7 a 4.30 ± 0.3 a5.33 ± 0.0 a4.27 ± 0.6 a3.0 ± 0.2 a0.05 ± 0.0 a0.09 ± 0.0 a
Treatment40.2 ± 1.6 a9.68 ± 1.3 a7.11 ± 0.8 a 4.07 ± 0.3 a3.50 ± 1.0 a3.73 ± 0.6 a2.9 ± 0.4 a0.07 ± 0.0 a0.32 ± 0.1 a
Significance0.240.040.34 0.70.20.60.740.250.30
Different letters in the same column and each experiment indicate statistically significant differences in measurements over time according to Student’s t-test (p < 0.05).
Table 4. Effect of applying both biostimulant treatments in the field and traditional management on the firmness, total soluble solids (TSS), and titratable acidity of postharvest mango fruits refrigerated or stored at room temperature. Statistical significance was determined according to Student’s t-test (conducted at each sampling point).
Table 4. Effect of applying both biostimulant treatments in the field and traditional management on the firmness, total soluble solids (TSS), and titratable acidity of postharvest mango fruits refrigerated or stored at room temperature. Statistical significance was determined according to Student’s t-test (conducted at each sampling point).
ExperimentFirmness (N)TSS (° Brix)Titratable Acidity (%)
10 d20 d30 d40 d (SL)10 d20 d30 d40 d (SL)10 d20 d30 d40 d (SL)
Refrigeration
Control68.5 ± 2.0 a50.7 ± 3.6 a7.7 ± 0.7 a1.8 ± 0.4 a8.48 ± 1.0 a9.86 ± 0.4 a10.2 ± 0.2 a10.5 ± 0.3 a1.32 ± 0.1 a1.0 ± 0.0 a1.1 ± 0.1 a0.4 ± 0.0 a
Treatment68.4 ± 4.4 a45.9 ± 10.3 a6.0 ± 0.5 a3.3 ± 0.9 a8.12 ± 0.2 a9.08 ± 0.5 a8.9 ± 0.6 a9.9 ± 0.3 a1.14 ± 0.1 a1.0 ± 0.0 a1.1 ± 0.1 a0.3 ± 0.0 a
Significance0.980.670.160.090.750.740.080.280.140.700.770.35
Room temperature
Control56.2 ± 5.0 a9.9 ± 0.7 a6.3 ± 1.0 a-10.98 ± 0.7 a10.54 ± 0.3 a10.2 ± 0.7 a-0.98 ± 0.1 b0.3 ± 0.0 b0.2 ± 0.0 a-
Treatment54.4 ± 7.2 a15.7 ± 2.7 a7.4 ± 0.9 a-9.48 ± 0.4 a11.10 ± 0.4 a10.9 ± 0.6 a-1.22 ± 0.1 a0.4 ± 0.1 a0.2 ± 0.0 a-
Significance0.840.100.41-0.110.370.49-0.040.040.27-
Different letters in the same column and each experiment indicate statistically significant differences in measurements over time according to Student’s t-test (p < 0.05).
Disclaimer/Publisher’s Note: The statements, opinions and data contained in all publications are solely those of the individual author(s) and contributor(s) and not of MDPI and/or the editor(s). MDPI and/or the editor(s) disclaim responsibility for any injury to people or property resulting from any ideas, methods, instructions or products referred to in the content.

Share and Cite

MDPI and ACS Style

Rojas-Rodríguez, M.L.; Ramírez-Gil, J.G.; González-Concha, L.F.; Balaguera-López, H.E. Biostimulants Improve Yield and Quality in Preharvest without Impinging on the Postharvest Quality of Hass Avocado and Mango Fruit: Evaluation under Organic and Traditional Systems. Agronomy 2023, 13, 1917. https://doi.org/10.3390/agronomy13071917

AMA Style

Rojas-Rodríguez ML, Ramírez-Gil JG, González-Concha LF, Balaguera-López HE. Biostimulants Improve Yield and Quality in Preharvest without Impinging on the Postharvest Quality of Hass Avocado and Mango Fruit: Evaluation under Organic and Traditional Systems. Agronomy. 2023; 13(7):1917. https://doi.org/10.3390/agronomy13071917

Chicago/Turabian Style

Rojas-Rodríguez, Mariana Lucia, Joaquín Guillermo Ramírez-Gil, Luis Felipe González-Concha, and Helber Enrique Balaguera-López. 2023. "Biostimulants Improve Yield and Quality in Preharvest without Impinging on the Postharvest Quality of Hass Avocado and Mango Fruit: Evaluation under Organic and Traditional Systems" Agronomy 13, no. 7: 1917. https://doi.org/10.3390/agronomy13071917

APA Style

Rojas-Rodríguez, M. L., Ramírez-Gil, J. G., González-Concha, L. F., & Balaguera-López, H. E. (2023). Biostimulants Improve Yield and Quality in Preharvest without Impinging on the Postharvest Quality of Hass Avocado and Mango Fruit: Evaluation under Organic and Traditional Systems. Agronomy, 13(7), 1917. https://doi.org/10.3390/agronomy13071917

Note that from the first issue of 2016, this journal uses article numbers instead of page numbers. See further details here.

Article Metrics

Back to TopTop