Next Article in Journal
Impacts of Multi-Strategy Nitrogen Fertilizer Management on Potato Yield and Economic Gains in Northeast China
Next Article in Special Issue
Effects of Penoxsulam on Photosynthetic Characteristics and Safety Evaluation of Foxtail Millet
Previous Article in Journal
The Agropyron mongolicum bHLH Gene AmbHLH148 Positively Involved in Transgenic Nicotiana benthamiana Adaptive Response to Drought Stress
 
 
Font Type:
Arial Georgia Verdana
Font Size:
Aa Aa Aa
Line Spacing:
Column Width:
Background:
Article

Tolerance of Brazilian Bean Cultivars to S-Metolachlor and Poaceae Weed Control in Two Agricultural Soils

by
Maiara Pinheiro da Silva Borges
1,
Michelangelo Muzell Trezzi
1,
Kassio Ferreira Mendes
2,*,
Eliziane Fuzinatto
1,
Gabriela Pilatti
1 and
Antônio Alberto da Silva
2
1
Department of Agronomy, Federal Technological University of Paraná (UTFPR), Pato Branco 85503-390, Brazil
2
Department of Agronomy, Federal University of Viçosa, Viçosa 36570-900, Brazil
*
Author to whom correspondence should be addressed.
Agronomy 2023, 13(12), 2919; https://doi.org/10.3390/agronomy13122919
Submission received: 23 October 2023 / Revised: 22 November 2023 / Accepted: 26 November 2023 / Published: 27 November 2023
(This article belongs to the Special Issue Herbicide Selectivity to Crops)

Abstract

:
Brazil stands out in the world for being one of the largest producers and consumers of common beans and cowpeas. However, the cultivation of this agricultural species is exposed to competition with weeds for water, light and nutrients. One of the management methods for weed control is the use of pre-emergent herbicides. Although pre-emergence herbicides are beneficial in controlling weeds, it is important to know the dynamics of these products in the soil, especially their residual effect. Two experiments were carried out to assess the tolerance of bean genotypes to the pre-emergent herbicide S-metolachlor in two Brazilian soils. Bean genotypes have differential tolerance to S-metolachlor when grown in soils with different characteristics. The Vigna spp. were the most affected by S-metolachlor, especially the red Adzuki. Plant growth was more sensitive when grown in sandy soil for most species. Total chlorophyll content was not affected for most genotypes in the two soils evaluated. The differential tolerance of the genotypes in both soils confirms the potential of S-metolachlor to cause damage to the bean crop, especially in sandy soil. The S-metolachlor was efficient in controlling sourgrass and selective to the bean cultivars (Pérola and Talismã) in both soils evaluated. Alexandergrass behaved differently in the soils evaluated, showing tolerance to the application of S-metolachlor when in Oxisol and sensitivity in Ultisol.

1. Introduction

Brazil stands out in the world for being one of the largest producers and consumers of common beans (Phaseolus vulgaris L.) and cowpeas (Vigna ungiculata). Bean growth and yield are substantially reduced by weed competition for nutrients, water and light [1]. There are various ways of controlling weeds, including the use of pre-emergence herbicides, which are often combined with post-emergence herbicide treatments.
Pre-emergence herbicide application consists of application after planting and before the emergence of weeds and the crop [2]. The residual effect of herbicides applied in pre-emergence is very efficient in controlling the different germination flows of weeds that are in the seed bank, keeping cultivated plants under less weed pressure for various stages of development. Although pre-emergence herbicides are beneficial in controlling weeds, it is important to know the dynamics of these products in the soil, especially their residual effect (carryover) to avoid damaging crops planted later in the area, causing productivity losses, economic damage and environmental contamination [3].
S-metolachlor (2-chloro-N-(2-ethyl-6-methylphenyl)-N-[(2S)-1-methoxypropan-2-yl] acetamide) is one of the pre-emergence herbicides recommended for bean crops. S-metolachlor is a nonionic compound similar to chloroacetamide herbicides [4], which acts by inhibiting the biosynthesis of long-chain fatty acids [5]. S-metolachlor not only stands out for its proven efficiency, but also for being a product used to manage weed resistance to herbicides [6]. S-metolachlor is used to control annual grasses and broad-leaved weeds such as Digitaria insularis, Urochloa plantaginea, Eleusine indica, Echinochloa crus-galli, Amaranthus viridis, and Amaranthus hybridus [7].
Herbicide recommendations and dosage definitions have been made without any criteria or using only limited information about the cultivar used, the soil’s texture and organic matter content, which can lead to incorrect doses being applied. The existence of different species and commercial classes of beans should be considered when recommending pesticides and this have often been neglected by technicians and companies. Failure to observe this response may result in severe plant phytotoxicity and yield losses for farmers. The objective of this study was therefore to investigate the tolerance of bean cultivars to S-metolachlor and Poaceae weed control in the two agricultural soils.

2. Materials and Methods

Two experiments were conducted in a greenhouse located in the Experimental Area of the Federal Technological University of Paraná-UTFPR, Pato Branco, PR, Brazil (26°10′38″ S and 52°41′22″ W).
The soils used in the studies were collected in the municipalities of Pato Branco, PR, Brazil (26°10′37.1″ S 52°41′24.3″ W) and Paranavaí, PR, Brazil (23°05′47.2″ S 52°26′33.7″ W), in the 0 to 20 cm of depth, in an area without application of S-metolachlor. Soils from Pato Branco and Paranavaí were classified as Oxisol—Latossolo Vermelho (clayey) and Ultisol—Argissolo Vermelho (sandy), respectively, by the Brazilian Soil Classification System [8] (Table 1).

2.1. Tolerance of Bean Cultivars to S-Metolachlor Applied Pre-Emergence

In the first trial, the tolerance of 19 bean cultivars to S-metolachlor applied pre-emergently was assessed. Bean genotypes were used, 14 of which were common beans (Phaseolus vulgaris L.), two cowpea genotypes (Vigna unguiculata (L.) Walp.), two adzuki beans (Vigna angularis (Willd.) Ohwi and Ohashi) and a mung bean (Vigna radiata (L.) Wilczek), described in Table 2. Four replications were used per cultivar, four treated and four untreated with herbicide. A rate of 1200 g a.i. ha−1 of S-metolachlor (commercial product Dual Gold®, Syngenta Crop Protection AG, Basel, Switzerland) was used. The experimental unit consisted of polyethylene pots with a volume of 0.7 dm3 filled with soil, in which the seeds needed to ensure a minimum size of 2–3 plants were sown, according to the germination potential. Irrigation was carried out to keep the soil close to field capacity. S-metolachlor was applied pre-emergently with a costal sprayer at constant CO2 pressure (330 kPa) at an application speed of 3.6 km h−1, on a boom with four XR 110.02 fan tips, totaling an application volume of 200 L ha−1.
The tolerance (T) was determined 14 days after spraying (DAS) for the applied pre-emergence. The tolerance was assessed according to the control and injury scale of Frans et al. [9] in which 100% corresponds to complete tolerance (absence of symptoms) and 0% corresponds to the absence of herbicide tolerance (plant death). Plant height (H) was obtained by measuring the distance between the base of the plant (close to the ground) and its apex (cm). At 21 DAS, the following were measured the total chlorophyll content (TCC) from a leaflet of the last fully expanded trefoil, on one plant per experimental unit, using the CLOROFILOG 1030® (Falker Agricultural Automation, Porto Alegre, RS, Brazil).
The leaf area (LA), root dry matter (RDM) and shoot dry matter (SDM) of the plants of all cultivars were determined at 21 DAS. The leaves were collected and distributed on sheets of A4 paper (21 cm × 29.7 cm), making sure they did not overlap. Photographic records were made, and the images digitally processed using ImageJ software (version 1.8.0_112, National Institute of Health, Bethesda, MD, USA). The plant samples were then packed in paper bags and dried in a forced-air oven at an average temperature of 60 °C until they reached a constant mass. After this stage, the material was weighed on a digital semi-analytical balance (Marte®, model AD500, São Paulo, SP, Brazil) to determine dry matter. The dry matter of the plants was relativized, considering the average of the control without herbicide application as 100%.
All statistical analyses were carried out using RStudio software (version 3.6.1, Team R Core, 2019). Initially, the data were relativized by plant (pl−1) inside each pot. Analyses of the normality of residuals and the homogeneity of variances were carried out using the Shapiro–Wilk and Bartlett tests, respectively. Analysis of variance using the F test (p ≤ 0.05) was carried out using the Exp-Des.pt package [10]. The means of the treatments were grouped using the Scott–Knott test (p ≤ 0.05).

2.2. Response of Bean Cultivars to S-Metolachlor Applied Pre-Emergence

In the second trial, the response of common bean genotypes to different doses of the herbicide S-metolachlor in Oxisol and Ultisol was evaluated. The experiment was conducted in a completely randomized experimental design, with four replications. Two bean genotypes (Pérola and Talismã) were used, with S-metolachlor (Dual Gold®) applied pre-emergence at 0, 0.25, 0.5, 1.0, 1.5, 2.2, 3.3, 5.0 and 7.0 the recommended field dose suggested on the label of the commercial product, corresponding to 0, 300, 600, 1200, 1800, 2700, 4050, 6075 and 9112 g a.i. ha−1.
Ten liter polyethylene pots were used, where the seeds needed to guarantee a stand of 4 bean plants were sown, according to their germination potential. In addition, seeds of two Poaceae weeds were sown in each pot: alexandergrass (Urochloa plantaginea (Link) R.D. Webster) and sourgrass (Digitaria insularis (L.) Mez ex Ekman), with the potential to generate ten plants per pot, in order to assess the response to herbicide doses and the degree of interference with the bean plants, simulating an infestation situation in the field. The S-metolachlor spraying methods used in this experiment were the same as those used in the first experiment. Tolerance, height and TCC were measured at 14 DAS.
Data analysis was carried out using the “drc” package [11], using the RStudio software [12]. Initially, the model selection process was carried out using the corrected Akaike information criterion (AICc) presented in the formula below (Equation (1)) [13].
A I C c = n l o g   R S S n + 2 K   ( K + 1 ) n K 1
where RSS indicates the sum of the squares of the residuals, n is the number of samples, and K is the number of model parameters. The four-parameter (Equation (2)) and three-parameter (Equation (3)) log-logistic models were chosen to describe the data, using the “mselect” function in the “drc” package.
y = c + d c 1 + exp ( b ( l o g ( x ) ) l o g ( e ) )  
y = d 1 + e x p ( b ( l o g ( x ) ) l o g ( e ) )
where y is the dependent variable, x is the dose of S-metolachlor, c and d are the lower and upper limits, respectively, b is the rate of increase and e is the lethal dose of the herbicide that causes a 50% reduction in the response variable (LD50). The lethal doses that provided a 10% reduction in each variable (LD10) were also obtained via the “drc” package, using the “ED” function [14]. The four-parameter log-logistic model is reduced when the c parameter takes on the value 0, resulting in a three-parameter log-logistic model. The quality of the fitted equations was determined by calculating the R2 and the root mean square of the error (RMSE). The dose–response curves were graphically represented using RStudio software, using the “GGplot2” package [15].

3. Results

3.1. Morphophysiological Characteristics of Brazilian Bean Plants Related to Tolerance to S-Metolachlor

The analysis of variance (Table 3) showed that for relative tolerance and all the morphological parameters analyzed, the genotype–soil interaction was significant.
The average T of the genotypes was 84.93% (Oxisol) and 80.46% (Ultisol), indicating that most of the genotypes showed good tolerance to S-metolachlor in the soils evaluated (Table 4, Figure 1). When comparing the genotypes between soils, we can see that the genotypes Adzuki Amarelo, Bico de Ouro, BRS Agreste, BRS Esteio, BRS Pitanga, BRS FC 402, IAC Esperança, IAC Imperador, IPR Uirapuru and IPR Urutau had higher T in Oxisol. However, the genotypes Adzuki Vermelho and IAC Harmonia behaved differently, with higher T in Ultisol.
In the Oxisol, the genotypes Bico de Ouro, BRS Agreste, BRS Esteio, BRS Nova Era, BRS Pitanga, BRSFC 402, IAC Esperança, IAC Imperador, IPR Tangará, IPR Tuiuiú, IPR Uirapuru, Jalo Precoce, Moyashi and Pérola made up the group with the highest TR, at over 85%. The second group was made up of the genotypes BRSMG Talismã, IAC Harmonia and IPR Urutau, with T between 80 and 82.5%. The genotypes with the lowest T in Oxisol were Adzuki Amarelo and Adzuki Vermelho, with T of 75 and 45%, respectively.
In Ultisol, the genotypes BRS Esteio, BRS Nova Era, BRSMG Talismã, IAC Es-perança, IAC Harmonia, IAC Imperador, IPR Tangará, IPR Tuiuiú, IPR Uirapuru, Jalo Precoce, Moyashi and Pérola made up the group with the highest T, above 82%. The second group was made up of the genotypes Bico de Ouro, BRS Agreste, BRS Pitanga and BRS FC 402, with T between 73 and 80%. The intermediate group was formed by IPR Urutau with a T of 70%. The most sensitive were Adzuki Amarelo and Adzuki Vermelho, which had T of 57.5 and 52.5%, respectively.
In relation to H (Table 4), it can be seen that the application of S-metolachlor caused an average reduction in the height of the genotypes of 33% (Oxisol) and 37% (Ultisol). The genotypes Adzuki Vermelho, Bico de Ouro, BRS Esteio, BRS Novaera, BRS Pitanga and IPR Uirapuru showed greater reductions in height in the Ultisol compared to the Oxisol because the cultivation in sandy soil increased the sensitivity of these genotypes, affecting plant growth.
The average relative LA of the genotypes was between 75 and 78% for Oxisol and Ultisol, respectively, indicating that most of the genotypes showed similar behavior when exposed to S-metolachlor (Table 4). When comparing the behavior of the genotypes between soils, it was observed that most did not differ, with the exception of Adzuki Amarelo, BRS Novaera, IAC Esperança and IPR Uirapuru, which had leaf area reductions of 67%, 11%, 30% and 37%, respectively, when grown on Ultisol. In addition, BRS FC 402, BRS MG Talismã, IPR Tangará, IPR Tuiuiú and Moyashi behaved differently to previous genotypes. In Ultisol, it was observed that the LA of these genotypes was higher than in Oxisol, with a reduction in leaf area of 49, 35, 20, 27 and 57%, respectively.
The TCC of the genotypes, assessed at 21 days after emergence, was 95% (Oxisol) and 94% (Ultisol), indicating that most of the genotypes showed similar responses in the two soils assessed after exposure to the herbicide S-metolachlor (Table 5). However, for the Red Adzuki genotype, there was a greater reduction in TCC when grown in Ultisol, with a reduction of 54%. The genotypes that stood out positively were Red Adzuki, Yellow Adzuki, BRS Esteio, BRSFC 402, BRSMG Talismã, IAC Harmonia, IPR Uirapuru, Moyashi and Pérola when grown in Oxisol, as they had no reduction in TCC when exposed to S-metolachlor. As for the genotypes grown in Ultisol, we observed that others stood out positively, such as IAC Esperança, IPR Tuiuiú, IPR Uirapuru, IPR Urutau and Jalo Precoce, which did not lose any TCC values. The IPR Uirapuru genotype was among the genotypes that showed the best results between the two soils, with no losses in terms of TCC.
The average reduction in RDM was 13% (Oxisol) and 17% (Ultisol) and in RDM ~14% in both soils (Table 5). The genotypes BRSFC 402, IPR Tangará, IPR Urutau and Moyashi had similar behavior in terms of SDM and RDM in the two soils, where it was observed that the genotypes were more sensitive to the herbicide when grown in clay soil. In addition, the IAC Harmonia and Pérola genotypes also had their RDM affected in the clay soil, with reductions of 26 and 21%, while in the sandy soil, these genotypes showed no damage. For the genotypes Adzuki Amarelo, BRS Pitanga, IAC Esperança, IAC Imperador, IPR Uirapuru, Jalo Precoce and Pérola, cultivation in Ultisol negatively affected SDM production, with significant reductions compared to cultivation in Oxisol.
The genotypes BRS Agreste, BRS Esteio, IAC Esperança, IAC Imperador, IPR Uira-puru, Jalo Precoce and Pérola, when grown in Oxisol, did not show a significant reduction in SDM. In the most sensitive genotypes, such as Adzuki amarelo, Adzuki vermelho, Bico de Ouro and Moyashi, S-metolachlor caused reductions in SDM between 89 and 38%. The reduction in SDM was most significant in red Adzuki when grown in Ultisol, at 94%, this being the genotype with the greatest sensitivity to the herbicide S-metolachlor among all those evaluated. The most sensitive genotypes in Oxisol for both SDM and RDM were Yellow Adzuki, Red Adzuki and Golden Beak. Red Adzuki reduced SDM by 89% compared to 74% for RDM. Previous studies have shown that the Adzuki bean (Vigna angularis Willd.) is highly sensitive to herbicides.

3.2. Response of Common Bean Genotypes to Different Doses of the Herbicide S-Metolachlor in Two Types of Soil under Competition from Two Weeds

For all the variables evaluated (Figure 2, Figure 3, Figure 4, Figure 5 and Figure 6), the increase in the dose of S-metolachlor resulted in a gradual reduction in the response variables (T, H, LA, alexandergrass control and sourgrass control), which had their behavior adjusted using the four-parameter logistic model, with the exception of the LA variable in the Ultisol, which was best adjusted using the three-parameter logistic model.
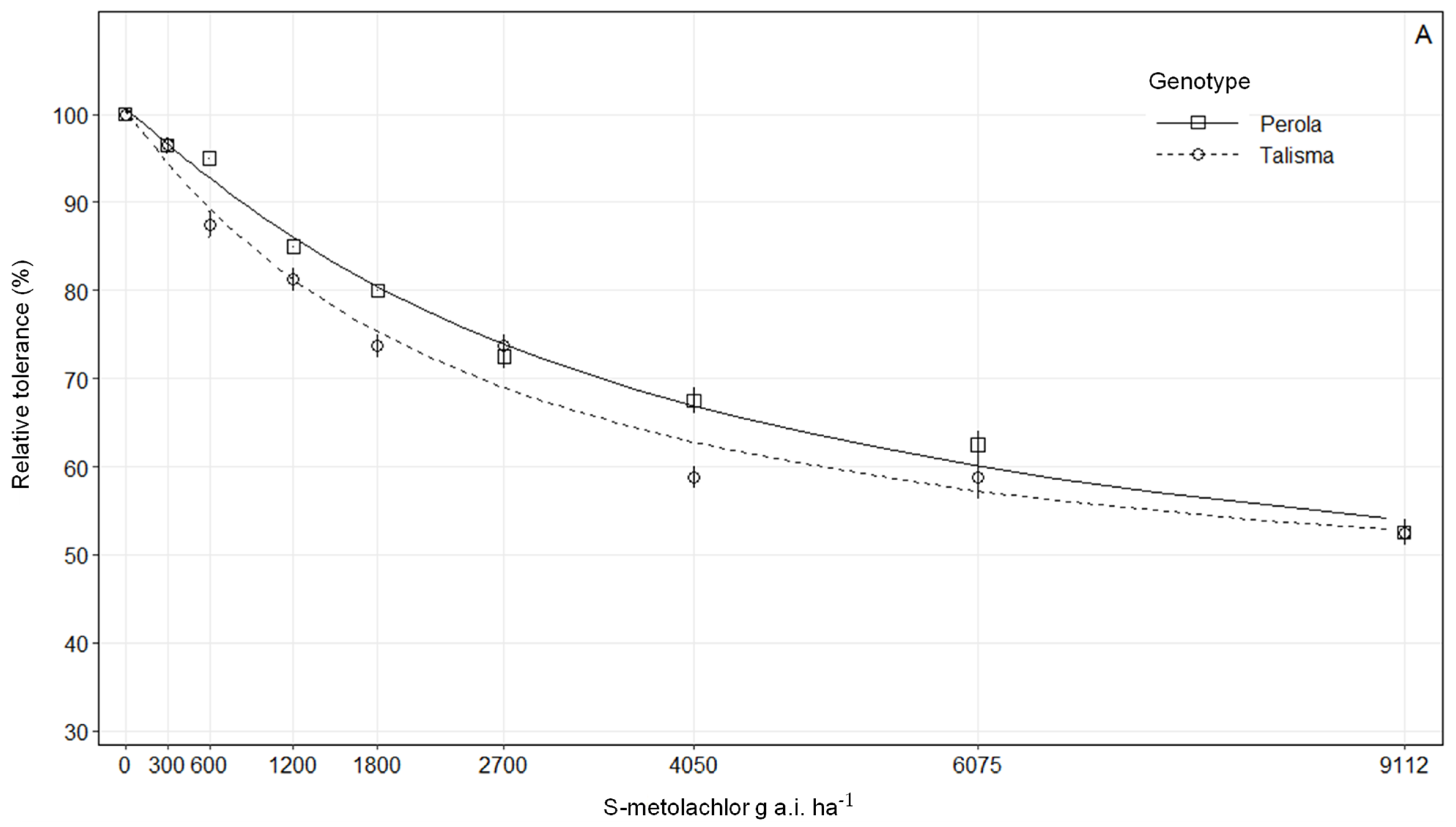
The T of the bean genotypes was more affected by the increasing doses of S-metolachlor in Ultisol (Figure 2B) compared to Oxisol (Figure 2A). In both soils, it was observed that from the dose of 600 g a.i. ha−1 the Talismã cultivar had reductions in T of 12.5 and 13.75%, showing the greatest sensitivity to S-metolachlor. At the highest dose (9112 g a.i. ha−1), the genotypes grown in Oxisol had average T of 52%, and in Ultisol approximately 45%. The average T of the genotypes at 14 DAS in Oxisol and Ultisol was reduced by an average of 9/9%, 17/19%, 23/33%, 36/38% at doses of 600, 1200, 1800, 2700, g a.i. ha−1, respectively.
The parameters and other information of the equations adjusted for the T evaluations (Figure 2) are described in Table 6. The R2 (greater than 0.9) and RMSE (less than 5.41) values indicate that the data fitted the chosen model well. The values required for a 50% reduction in T (LD50) at 14 DAS were between 3636.68 (Pérola) and 2537.93 (Talismã) in Oxisol, and in Ultisol they varied between 2102.97 (Pérola) and 1152.04 (Talismã) (Table 6). This shows that in sandy soil the doses needed to reduce T by 50% were lower, indicating greater plant sensitivity in this condition.
The results indicate that the Talismã cultivar is more sensitive to the herbicide than the Pérola cultivar. The LD50 of the Talismã genotype was 1152 g a.i. ha−1, indicating high sensitivity to S-metolachlor when grown in Ultisol. The cultivar Pérola in Oxisol showed high tolerance to the herbicide. The dose needed to cause a 50% reduction in tolerance was 3636 g a.i. ha−1, which is about three times (1200 g a.i. ha−1) the recommended field dose suggested on the label of the commercial product. The LD10 values for T varied between 509.38 (Pérola) and 314.42 g a.i. ha−1 (Talismã) in Oxisol, and 799.65 (Pérola) and 320 g a.i. ha−1 (Talismã) in Ultisol. In this case, the LD10 for clay soil was lower than the LD10 for sandy soil, which shows that plants grown in Ultisol soil are more able to tolerate the herbicide with very low doses.
Similar to what was observed for the T variable, the height (H) of the bean genotypes was more affected by the application of increasing doses of S-metolachlor at 14 DAS in Ultisol soil than in Oxisol (Figure 3A,B). In Oxisol soil, there was no significant interaction between cultivars and doses of S-metolachlor. The negative impact of the herbicide on the H of the Talismã and Pérola genotypes in Ultisol was more significant at doses of 625 and 1200 g a.i. ha−1, respectively. An average reduction of 27% was observed in the H variable in the Talismã genotype with the use of 600 g a.i. ha−1. It should be noted that in the Pérola cultivar the doses of 300 and 600 g a.i. ha−1 caused greater plant growth compared to the control (Figure 3B).
In general, the Talismã and Pérola genotypes had H less affected by S-metolachlor in Oxisol than in Ultisol (Figure 3). The application of the maximum dose in Ultisol led to a 27 and 52% reduction in H for Pérola and Talismã 14 DAS, respectively. The dose required for LD50 and LD10 of H at 14 DAS in Ultisol (Table 7) indicated the greater sensitivity of the Talismã genotype (LD50 = 495.37 and LD10 = 121.27 g a.i. ha−1) compared to Pérola (LD50 = 2708.55 and LD10 = 757.50 g a.i. ha−1).
Figure 3. Height (cm) of bean genotypes subjected to S-metolachlor application at 14 days after herbicide application on Oxisol (A) and Ultisol (B). The position of the symbols represents the mean for each genotype and the bars correspond to the standard error of the mean. The parameters of the equations are described in Table 7.
Figure 3. Height (cm) of bean genotypes subjected to S-metolachlor application at 14 days after herbicide application on Oxisol (A) and Ultisol (B). The position of the symbols represents the mean for each genotype and the bars correspond to the standard error of the mean. The parameters of the equations are described in Table 7.
Agronomy 13 02919 g003aAgronomy 13 02919 g003b
Figure 4. Response of bean genotypes Pérola (first and third row) and Talismã (second and fourth row) after pre-emergence application of S-metolachlor (0, 300, 600, 1200, 1800, 2700, 4050, 6075 and 9112 g a.i. ha−1) at 14 days after application (DAS) in Oxisol and Ultisol.
Figure 4. Response of bean genotypes Pérola (first and third row) and Talismã (second and fourth row) after pre-emergence application of S-metolachlor (0, 300, 600, 1200, 1800, 2700, 4050, 6075 and 9112 g a.i. ha−1) at 14 days after application (DAS) in Oxisol and Ultisol.
Agronomy 13 02919 g004
In the Pérola cultivar, the dose of 1200 g a.i ha−1 caused a 21% reduction in LA in Oxisol. There was a progressive reduction in LA as the dose of S-metolachlor increased, reaching a 94% reduction at the maximum dose (Figure 4 and Figure 5A). In the same soil, a 29% reduction in LA was observed in the Talismã cultivar at a dose of 600 g a.i ha−1. In Ultisol (Figure 5B), in the Pérola cultivar, the doses of 300 and 600 g a.i. ha−1 caused an increase in LA of 24 and 62% in relation to the 0 dose, the same fact observed in the evaluation of H at 14 DAS. In the case of the Talismã cultivar, the minimum dose of the herbicide caused a 5% reduction in LA, which intensified from the 600 g a.i. ha−1 dose onwards, with a 42% reduction.
Figure 5. Leaf area (cm) of bean genotypes subjected to S-metolachlor application at 14 days after herbicide (DAS) application on Oxisol (A) and Ultisol (B). The position of the symbols represents the mean of each genotype, and the bars correspond to the standard error of the mean. The parameters of the equations are described in Table 8.
Figure 5. Leaf area (cm) of bean genotypes subjected to S-metolachlor application at 14 days after herbicide (DAS) application on Oxisol (A) and Ultisol (B). The position of the symbols represents the mean of each genotype, and the bars correspond to the standard error of the mean. The parameters of the equations are described in Table 8.
Agronomy 13 02919 g005
According to the dose required for LD50 and LD10 of LA, the most sensitive genotype was Talismã in Oxisol (LD50 = 1436.56 and LD10 = 245.38 g a.i ha−1) and in Ultisol (LD50 = 898.21 and LD10 = 238.95 g a.i ha−1), while the least affected was Pérola for both soils.
Figure 6 and Figure 7 show the behavior of the dose–response curves in the species alexandergrass and sourgrass with the application of doses of S-metolachlor. The parameters of the equation are shown in Table 9 for Oxisol and Ultisol. It was found that the R2 values were close to 1, indicating a high level of fit of the equation in relation to the original data collected. In the curves evaluated, it can be seen that the species behave differently to each other and to the doses of S-metolachlor, in addition to the soils having an influence on their control. The sourgrass species showed greater sensitivity to S-metolachlor in both soils evaluated, with control over 90% even at the lowest concentration of 300 g. a.i. ha−1 (Figure 6B and Figure 7B). In the clay soil (Oxisol), there were small differences in the sensitivity of the sourgrass between the two bean cultivars. In the Pérola cultivar, sourgrass had an LD50 value of 144.73, while in the Talismã cultivar, the LD50 was 26.02 (Table 9).
Figure 6. Alexandergrass (A) and sourgrass (B) control in bean genotypes at 35 days after S-metolachlor application in Oxisol. The position of the symbols represents the mean of each genotype, and the bars correspond to the standard error of the mean. The parameters of the equations are described in Table 9.
Figure 6. Alexandergrass (A) and sourgrass (B) control in bean genotypes at 35 days after S-metolachlor application in Oxisol. The position of the symbols represents the mean of each genotype, and the bars correspond to the standard error of the mean. The parameters of the equations are described in Table 9.
Agronomy 13 02919 g006
Overall, it can be seen that the LD50 and LD80 values found for sourgrass in the Talismã cultivar were lower than those observed for the Pérola cultivar, which means that in order to achieve a given level of control, it is necessary to apply less product to Pérola than to Talismã. The values found are within the average control predetermined by Frans et al. [9], which is at least 80% control over a given plant and which does not interfere with the crop of interest. Alexandergrass in Oxisol (Table 9) showed LD50 values > 1092 g a.i. ha−1 in both bean cultivars. In order to achieve 80% control of alexandergrass, doses of 3908 and 4626 g a.i. ha−1 would be required for the cultivars Pérola and Talismã, respectively, which corresponds around three times the recommended doses to beans.
However, when we compare the response of alexandergrass in sandy soil (Ultisol) (Table 9; Figure 7), we see that this behavior is altered, with alexandergrass having higher sensitivity to the application of S-metolachlor compared to the Oxisol, with LD50 of 258.61 and 320.24 g a.i. ha−1 and LD80 of 974.61 and 539.64 g a.i. ha−1, for Pérola and Talismã, respectively.

4. Discussion

4.1. Tolerance of Bean Cultivars to S-Metolachlor Applied in Pre-Emergence

The symptoms of herbicide damage to the bean crop can be influenced by several factors such as: soil type, rainfall, irrigation management, temperature, application method and the cultivar used, as well as the amount of OM present in the soil [16,17]. In the present study, it was observed that the majority of genotypes showed greater selectivity to S-metolachlor in Oxisol soil, which was expected, given that Oxisol has a higher OM content (41.55 g dm−3) than Ultisol (10.94 g dm−3) (Table 1). As S-metolachlor has a high affinity for OM and the Ultisol has a low OM content, the herbicide will be more bioavailable in this soil than in Oxisol and consequently the damage will be more evident (Figure 1). This result corroborates the results obtained by Procópio et al. [18], who analyzed the tolerance of one bean genotype to S-metolachlor in soil with a high OM content (36 g dm−3) and detected little damage in the genotype analyzed.
The probable reduction in herbicide bioavailability in Oxisol soil increased the tolerance levels of the genotypes compared to Ultisol. Leaching losses may also have contributed to the differential response of the cultivars between the soil types, since the plants’ ability to absorb the herbicide depends on the morphological characteristics of the cultivars, interacting with the herbicide absorption zone in the soil. In addition, crop tolerance has been attributed to the ability of plants to rapidly metabolize S-metolachlor through detoxification reactions, preventing accumulation at phytotoxic levels in plant cells. This occurs by cleavage of the methyl ether group followed by conjugation with glucose or conjugation of the chloroacetyl group of the herbicide with glutathione (GSH) or homoglutathione as seen in soybean crops [19].
In this study, the Adzuki Vermelho (Vigna angularis) was the most sensitive to the herbicide S-metolachlor in both soils. The high sensitivity of this genotype to S-metolachlor has already been observed in several studies [20,21,22]. Also noteworthy is the BRS Nova Era genotype, belonging to the Vigna spp. species, which showed high tolerance to S-metolachlor in both soils, showing its tolerance even in sandy soils, which are not recommended for the application of this herbicide. This result is in line with other studies that have evaluated this genotype with other herbicides, showing high tolerance [23,24]. Another fact observed in relation to tolerance between the genotypes is that IPR Tuiuiú, which belongs to the black commercial class, had the highest tolerance for both clay and sandy soils. An important fact is that the high T values of some bean cultivars and groups may be related to their greater ability to detoxify the herbicides, as has been demonstrated in the application of ethoxysulfuron to common beans [23,25].
The application of S-metolachlor caused a reduction in the height of the genotypes in both soils. This reduction may be related to the fact that this herbicide inhibits the meristematic growth of germinating seedlings and the emergence of leaves [26], delaying plant growth compared to the genotype without the herbicide. Qu et al. [27] observed a strong inhibitory effect on the growth of wheat plants (Triticum aestivum L.) after the application of S-metolachlor, and also indicated that this herbicide can influence the abundance of rhizosphere microorganisms. The genotypes Adzuki Vermelho, Bico de Ouro, BRS Esteio, BRS Novaera, BRS Pitanga and IPR Uirapuru showed greater reductions in height in the Ultisol compared to the Oxisol, because the cultivation in sandy soil increased the sensitivity of these genotypes, affecting plant growth.
Previous studies have shown that the Adzuki bean is highly sensitive to herbicides. Pre-emergence application of flumioxazin (142 g a.i. ha−1) caused up to 84% damage, which resulted in more than 50% loss of grain yield. In addition, this genotype also showed sensitivity to the herbicides pyroxasulfone and sulfentrazone [28]. In the Moyashi genotype, RDM was highly affected, especially in the Oxisol soil type. Similar results were found by Deuber and Novo [29], who reported that root development was inhibited by the action of trifluralin, which is an inhibitor of root growth like S-metolachlor, although it belongs to another herbicidal mechanism of action.
S-metolachlor is absorbed by the plant through the roots and shoots, and the tissues of the shoots are generally more absorbent and the site of herbicide activity, causing a reduction in root growth. In addition, the herbicide can cause loss of root cell integrity through its interference in the synthesis of phospholipids, an important component of plant cell membranes [30]. These lesions caused by S-metolachlor to the bean root system can limit the absorption of water and nutrients, which can negatively influence the crop’s productivity. Therefore, residues of S-metolachlor left before the main crops of the previous harvest can affect N cycling by potentially reducing the growth of the roots of this legume [20].
Our results raise important questions about the residual effect of S-metolachlor on bean genotypes. The persistence of a product in the soil, depending on the characteristics of the soil and environmental conditions, can restrict the growth of sensitive crops, causing negative effects on agricultural production. That is why it is important to carry out studies evaluating the behavior of herbicides in soils, giving producers a safety margin to avoid possible losses in their production by correctly carrying out practices that reduce these effects. Poorly planned pre-emergence applications of S-metolachlor are a potential risk that can reduce productivity. We suggest future studies to elucidate in detail the mechanism of tolerance to S-metolachlor of these genotypes when cultivated in different soils and to see the behavior of each genotype, in order to have a better dose of application of the product.

4.2. Response of Common Bean Genotypes to Different Doses of the Herbicide S-Metolachlor in Two Types of Soil under Competition from Two Weeds

The more intense damage caused by S-metolachlor in the Pérola and Talismã genotypes in Ultisol soil was probably due to the high sand content (84%) and low OM content (6.70 g dm−3) in this type of soil, since a large portion of the S-metolachlor herbicide is sorbed in soils with a higher clay content and especially OM [31,32]. The characteristics of the Ultisol soil probably provided greater bioavailability of the herbicide in the solution, increasing the risk of it being leached into the rooting zone.
It is noteworthy that in the Pérola cultivar the doses of 300 and 600 g a.i. ha−1 caused greater plant growth compared to the control (Figure 3B). The greater growth of plants subjected to sub-dose herbicide applications is known as hormesis [33]. The ability of the soil to absorb part of the herbicide applied probably made a sufficiently small amount available to stimulate the growth of this cultivar. Unlike what was observed in this study, Procópio et al. [34] found no reduction in height in the Pérola cultivar with the use of 480, 960, 1440, 1920, 2880 and 3840 g/ha of S-metolachlor at 30 DAS.
According to the dose required for LD50 and LD10 LA, the most sensitive genotype was Talismã (LD50 = 1436.56 and LD10 = 245.38 g. a.i ha−1) in Oxisol and in Ultisol (LD50 = 898.21 and LD10 = 238.95 g a.i ha−1), while the least affected was Pérola for both soils. A similar result was found by Procópio et al. [34], in which the Pérola cultivar was found to be tolerant to S-metolachlor in terms of showing toxicity symptoms. The symptoms of toxicity to S-metolachlor observed in the bean cultivars (Figure 4) were internode reduction, leaf wrinkling and fusion of the leaf margins, similar to the symptoms described by van Rensburg and van Dyk [35] in bean plants.
The difference in the tolerance of cultivars in soils with different characteristics is mainly related in the chemical and physical attributes of the soils. S-metolachlor tends to be more sorbed in soils with a high clay and OM content, as is the case with Oxisol, making it less available to plants and consequently causing less damage to the crop. In addition, soils with a higher OM content often have a greater presence of microorganisms, which are major contributors to the degradation process of this herbicide. One study showed that some microorganisms were able to mineralize S-metolachlor using the herbicide as a carbon source [36]. Microbes, fungi and bacteria have the capacity to degrade S-metolachlor [4]. In conditions where soils have a high sand content (Ultisol), there is a tendency for S-metolachlor to be more available in the soil solution. In addition, as this herbicide has moderate Sw (solubility in water), when it is applied to Ultisol, followed by heavy rainfall, there is a tendency for the herbicide to leach, due to the low OM and clay content. With leaching, the herbicide is displaced from the weed control zone, reducing control efficiency. More studies are needed to assess the behavior of S-metolachlor in soils with different characteristics in order to have greater precision in the recommended dose and effective control of weed species in the area, without causing damage to the crop.
The fact that s-metolachlor presents greater control efficiency of sourgrass than alexandergrass is relevant information for farmers and technicians, because it contributes to weed management. Also because sourgrass presents, in Brazil, biotypes resistant to more than one mechanism of herbicidal action, contributing to be one of the most widespread weed species in soybean crops in this country [37] and, therefore, the use of S-metolachlor will contribute to improving management strategies for this weed.

5. Conclusions

Bean genotypes have differential tolerance to S-metolachlor when grown in soils with different characteristics. The Vigna spp. were the most affected by S-metolachlor, especially the red Adzuki. Plant growth was more sensitive when grown in sandy soil for most species. TCC was not affected for most genotypes in the two soils evaluated. The differential tolerance of the genotypes in both soils confirms the potential of S-metolachlor to cause damage to the bean crop, especially in sandy soil.
The herbicide S-metolachlor was efficient in controlling sourgrass and selective to the bean cultivars (Pérola and Talismã) in both soils evaluated. Alexandergrass behaved differently in the soils evaluated, showing tolerance to the application of S-metolachlor when in Oxisol and sensitivity in Ultisol, which depends on the availability of the herbicide in the soil for there to be effective control of this species in an agricultural area.

Author Contributions

Conceptualization, M.P.d.S.B., A.A.d.S. and M.M.T.; methodology, M.P.d.S.B., E.F. and G.P.; formal analysis M.P.d.S.B.; investigation, M.P.d.S.B., E.F. and G.P.; data curation, M.P.d.S.B.; writing—original draft preparation, M.P.d.S.B.; writing—review and editing, M.P.d.S.B., M.M.T. and K.F.M.; visualization, M.P.d.S.B.; supervision, M.M.T. and K.F.M.; project administration, M.P.d.S.B., M.M.T. and K.F.M.; funding acquisition, M.M.T. and K.F.M. All authors have read and agreed to the published version of the manuscript.

Funding

This study was funded by the National Council for Scientific and Technological Development (CNPq) (project 142526/2020-7).

Data Availability Statement

Data are contained within the article.

Acknowledgments

The authors would like to thank the Federal Technological University of Paraná (UTFPR) and the Federal University of Viçosa (UFV) for their support.

Conflicts of Interest

The authors declare no conflict of interest.

References

  1. Stagnari, F.; Pisante, M. The Critical Period for Weed Competition in French Bean (Phaseolus vulgaris L.) in Mediterranean Areas. Crop Prot. 2011, 30, 179–184. [Google Scholar] [CrossRef]
  2. Somerville, G.J.; Powles, S.B.; Walsh, M.J.; Renton, M. Why Was Resistance to Shorter-Acting Pre-Emergence Herbicides Slower to Evolve? Pest Manag. Sci. 2017, 73, 844–851. [Google Scholar] [CrossRef] [PubMed]
  3. Upchurch, R.P. Behavior of herbicides in soil. In Residue Reviews; Gunther, F.A., Ed.; Springer: New York, NY, USA, 2012; pp. 46–85. ISBN 978-1-4615-8416-2. [Google Scholar]
  4. Zemolin, C.R.; Avila, L.A.; Cassol, G.V.; Massey, J.H.; Camargo, E.R. Environmental Fate of S-Metolachlor: A Review. Planta Daninha 2014, 32, 655–664. [Google Scholar] [CrossRef]
  5. Pannacci, E.; Del Buono, D.; Bartucca, M.L.; Nasini, L.; Proietti, P.; Tei, F. Herbicide Uptake and Regrowth Ability of Tall Fescue and Orchardgrass in S-Metolachlor-Contaminated Leachates from Sand Pot Experiment. Agriculture 2020, 10, 487. [Google Scholar] [CrossRef]
  6. Demailly, F.; Elfeky, I.; Malbezin, L.; Le Guédard, M.; Eon, M.; Bessoule, J.-J.; Feurtet-Mazel, A.; Delmas, F.; Mazzella, N.; Gonzalez, P.; et al. Impact of Diuron and S-Metolachlor on the Freshwater Diatom Gomphonema Gracile: Complementarity between Fatty Acid Profiles and Different Kinds of Ecotoxicological Impact-Endpoints. Sci. Total Environ. 2019, 688, 960–969. [Google Scholar] [CrossRef]
  7. Sistema de Agrotóxicos Fitossanitários—Agrofit—Portal de Dados Abertos do Ministério da Agricultura e Pecuária. Available online: https://dados.agricultura.gov.br/dataset/sistema-de-agrotoxicos-fitossanitarios-agrofit (accessed on 22 October 2023).
  8. Brazilian Soil Classification System.—Portal Embrapa. Available online: https://www.embrapa.br/busca-de-publicacoes/-/publicacao/1094001/brazilian-soil-classification-system (accessed on 4 October 2023).
  9. Frans, R.; Talbert, R.; Marx, D.; Crowley, H. Experimental Design and Techniques for Measuring and Analyzing Plant Responses to Weed Control Practices. In Southern Weed Science Society, Research Methods in Weed Science, 3rd ed.; Camper, N.D., Ed.; WSSA: Champaign, IL, USA, 1986; pp. 29–46. [Google Scholar]
  10. Ferreira, E.B.; Cavalcanti, P.P.; Nogueira, D.A. ExpDes.Pt: Pacote Experimental Designs (Portuguese); R Foundation for Statistical Computing: Vienna, Austria, 2021. [Google Scholar]
  11. Ritz, C.; Baty, F.; Streibig, J.C.; Gerhard, D. Dose-Response Analysis Using R. PLoS ONE 2015, 10, e0146021. [Google Scholar] [CrossRef]
  12. RStudio Team. RStudio: Integrated Development for R; RStudio, PBC: Boston, MA, USA, 2020; Available online: http://www.rstudio.com/ (accessed on 22 October 2023).
  13. Burnham, K.P.; Anderson, D.R.; Huyvaert, K.P. AIC Model Selection and Multimodel Inference in Behavioral Ecology: Some Background, Observations, and Comparisons. Behav. Ecol. Sociobiol. 2011, 65, 23–35. [Google Scholar] [CrossRef]
  14. De Bortoli Pagnoncelli, F., Jr. Resistência ao Glyphosate em Populações de Azevém: Estudo de Aspectos Moleculares e da Dinâmica Populacional Suportando Modelos Preditivos para Controle. Ph.D. Thesis, Universidade Tecnológica Federal do Paraná, Curitiba, Brazil, 2020. [Google Scholar]
  15. Wickham, H. Programming with Ggplot2. In ggplot2: Elegant Graphics for Data Analysis; Wickham, H., Ed.; Use R! Springer International Publishing: Cham, Switzerland, 2016; pp. 241–253. ISBN 978-3-319-24277-4. [Google Scholar]
  16. Da Costa, A.F.; do Vale, L.S.; de Oliveira, A.B.; de Brito Neto, J.F.; Cardoso, G.D. Selectivity of Pre-and Post-Emergent Herbicides for Cowpea (Vigna unguiculata). Afr. J. Agric. Res. 2017, 12, 881–887. [Google Scholar]
  17. Soltani, N.; Shropshire, C.; Cowan, T.; Sikkema, P. Tolerance of Black Beans (Phaseolus vulgaris) to Soil Applications of S-Metolachlor and Imazethapyr. Weed Technol. 2004, 18, 111–118. [Google Scholar] [CrossRef]
  18. Procópio, S.O.; Silva, A.A.; Ferreira, L.R.; Miranda, G.V.; Santos, J.B. Tolerância de cultivares de feijão ao S-metolachlor em diferentes condições de aplicação. Planta Daninha 2001, 19, 263–271. [Google Scholar] [CrossRef]
  19. Senseman, S.A. Herbicide Handbook, 9th ed.; Weed Science Society of America: Lawrence, KS, USA, 2007; ISBN 978-1-891276-56-9. [Google Scholar]
  20. Symington, H.E.; Soltani, N.; Kaastra, A.C.; Hooker, D.C.; Robinson, D.E.; Sikkema, P.H. Tolerance of Four Dry Bean Market Classes to Flufenacet, Acetochlor, and S-Metolachlor Applied Preplant Incorporated. Weed Technol. 2022, 36, 419–425. [Google Scholar] [CrossRef]
  21. Soltani, N.; Brown, L.; Sikkema, P.H. Weed Management in Azuki Bean with Preplant Incorporated Herbicides. Legume Sci. 2021, 3, e66. [Google Scholar] [CrossRef]
  22. Soltani, N.; Shropshire, C.; Robinson, D.E.; Sikkema, P.H. Sensitivity of Adzuki Bean (Vigna angularis) to Preplant-Incorporated Herbicides. Weed Technol. 2005, 19, 897–901. [Google Scholar] [CrossRef]
  23. Viecelli, M.; Trezzi, M.M.; Galon, L.; Brandler, D.; Hatmann, K.C.D.; Pereira, P.B.; Bohn, V.M.D.L.; Pagnoncelli, F.D.B.; Patel, M.; Salomão, H.M. Morphophysiological Characteristics of Brazilian Bean Genotypes Related with Sulfentrazone Tolerance. J. Environ. Sci. Health Part B 2021, 56, 706–721. [Google Scholar] [CrossRef] [PubMed]
  24. Soltani, N.; Nurse, R.E.; Sikkema, P.H. Sensitivity of Adzuki, Kidney, Small Red Mexican, and White Beans to Pethoxamid. Can. J. Plant Sci. 2018, 98, 141–146. [Google Scholar] [CrossRef]
  25. Pagnoncellijr, F.D.B.; Vidal, R.A.; Trezzi, M.M.; Machado, A.; Gallon, M.; Xavier, E.; Oliveira, M.C. Tolerance of common bean plants to ethoxysulfuron herbicide and the mechanism involved in the process. Planta Daninha 2016, 34, 535–543. [Google Scholar] [CrossRef]
  26. Sikkema, P.H.; Shropshire, C.; Soltani, N. Response of Dry Bean to Pre-Plant Incorporated and Pre-Emergence Applications of S-Metolachlor and Fomesafen. Crop Prot. 2009, 28, 744–748. [Google Scholar] [CrossRef]
  27. Qu, Q.; Li, Y.; Zhang, Z.; Cui, H.; Zhao, Q.; Liu, W.; Lu, T.; Qian, H. Effects of S-Metolachlor on Wheat (Triticum aestivum L.) Seedling Root Exudates and the Rhizosphere Microbiome. J. Hazard. Mater. 2021, 411, 125137. [Google Scholar] [CrossRef]
  28. Soltani, N.; Nurse, R.E.; Shropshire, C.; Sikkema, P.H. Tolerance of Adzuki Bean to Pre-Emergence Herbicides. Can. J. Plant Sci. 2015, 95, 959–963. [Google Scholar] [CrossRef]
  29. Deuber, R.; Novo, M.C.S. Nodulation and Growth of Soybean IAC-19 Plants with Application of the Herbicides Diclosulam and Flumetsulam. Rev. Bras. Herbic. 2006, 3, 57–63. [Google Scholar]
  30. Abukari, I.A.; Shankle, M.W.; Reddy, K.R.; Meyers, S.L.; Gao, W. Impacts of S-Metolachlor Application Timing on Sweetpotato Growth and Development. Am. J. Plant Sci. 2019, 10, 780–795. [Google Scholar] [CrossRef]
  31. Sorption of Acetochlor, S-Metolachlor, and Atrazine in Surface and Subsurface Soil Horizons of Argentina—Bedmar—2011—Environmental Toxicology and Chemistry—Wiley Online Library. Available online: https://setac.onlinelibrary.wiley.com/doi/abs/10.1002/etc.602 (accessed on 4 October 2023).
  32. Cañero, A.I.; Cox, L.; Cabrera, A.; Cornejo, J. Different Effects of a By-Product From Olive Oil Extraction on S-Metolachlor and Bentazone Soil Fate. CLEAN–Soil Air Water 2015, 43, 948–957. [Google Scholar] [CrossRef]
  33. Brito, I.P.; Tropaldi, L.; Carbonari, C.A.; Velini, E.D. Hormetic Effects of Glyphosate on Plants. Pest Manag. Sci. 2018, 74, 1064–1070. [Google Scholar] [CrossRef] [PubMed]
  34. Procópio, S.d.O.; da Silva, A.A.; dos Santos, J.B.; Ribeiro, J.I., Jr. Seletividade do S-metolachlor a cultivares de feijão (Phaseolus vulgaris L.). Ciência Agrotecnologia 2003, 27, 150–157. [Google Scholar] [CrossRef]
  35. Van Rensburg, E.; Van Dyk, L.P. The Persistence in Soil and Phytotoxicity on Dry Beans of Alachlor and Metolachlor as Affected by Climatic Factors. S. Afr. J. Plant Soil 1986, 3, 95–98. [Google Scholar] [CrossRef]
  36. Munoz, A.; Koskinen, W.C.; Cox, L.; Sadowsky, M.J. Biodegradation and Mineralization of Metolachlor and Alachlor by Candida Xestobii. J. Agric. Food Chem. 2011, 59, 619–627. [Google Scholar] [CrossRef]
  37. Lucio, F.R.; Kalsing, A.; Adegas, F.S.; Rossi, C.V.S.; Correia, N.M.; Gazziero, D.L.P.; da Silva, A.F. Dispersal and Frequency of Glyphosate-Resistant and Glyphosate-Tolerant Weeds in Soybean-Producing Edaphoclimatic Microregions in Brazil. Weed Technol. 2019, 33, 217–231. [Google Scholar] [CrossRef]
Figure 1. Bean injury level at 14 days after sowing (DAS) exposed to a commercial dose of S-metolachlor. The first two pots of the genotype represent the clay soil (Oxisol—O) and the last two the sandy soil (Ultisol—U), with the control on the left and S-metolachlor on the right.
Figure 1. Bean injury level at 14 days after sowing (DAS) exposed to a commercial dose of S-metolachlor. The first two pots of the genotype represent the clay soil (Oxisol—O) and the last two the sandy soil (Ultisol—U), with the control on the left and S-metolachlor on the right.
Agronomy 13 02919 g001
Figure 2. Relative tolerance (%) of Pérola and Talismã at 14 days after application of the herbicide S-metolachlor in Oxisol (A) and Ultisol (B) soils. The symbols represent the mean of each genotype, and the bars correspond to the standard error of the mean (n = 4).
Figure 2. Relative tolerance (%) of Pérola and Talismã at 14 days after application of the herbicide S-metolachlor in Oxisol (A) and Ultisol (B) soils. The symbols represent the mean of each genotype, and the bars correspond to the standard error of the mean (n = 4).
Agronomy 13 02919 g002aAgronomy 13 02919 g002b
Figure 7. Alexandergrass (A) and sourgrass (B) control in bean genotypes at 35 days after S-metolachlor application in Ultisol. The position of the symbols represents the mean of each genotype, and the bars correspond to the standard error of the mean. The parameters of the equations are described in Table 9.
Figure 7. Alexandergrass (A) and sourgrass (B) control in bean genotypes at 35 days after S-metolachlor application in Ultisol. The position of the symbols represents the mean of each genotype, and the bars correspond to the standard error of the mean. The parameters of the equations are described in Table 9.
Agronomy 13 02919 g007aAgronomy 13 02919 g007b
Table 1. Chemical and physical attributes of the soil samples used in the studies.
Table 1. Chemical and physical attributes of the soil samples used in the studies.
AttributesUnitsOxisolUltisol
pH (water)-5.005.40
OM%4.690.67
TOCg dm−327.213.89
Pmg dm−322.787.53
Kmg dm−3215.0566.47
Ca+2mg dm−3781.56621.24
Mg+2mg dm−3255.2760.78
Al+3mg dm−30.000.00
H + Alcmolc dm−35.762.36
SBcmolc dm−36.553.77
CECcmolc dm−312.586.13
V%53.2150.78
m%0.650.00
Sand%1.4084.10
Silt%10.600.90
Clay%88.0015.00
Hydrogen potential (pH), organic matter (OM), total organic carbon (TOC), phosphorus (P), potassium (K), calcium (Ca2+), magnesium (Mg2+), aluminum (Al3+), potential acidity (H + Al), sum of bases (SB), cation exchange capacity (CEC), base saturation (V), aluminum saturation (m). Source: LABSOLOS/UTFPR, Pato Branco, PR, Brazil.
Table 2. Name and commercial class of bean genotypes.
Table 2. Name and commercial class of bean genotypes.
GenotypeCommercial Class
Adzuki AmareloVigna angularis
Adzuki Vermelho
Bico de OuroVigna unguiculata
RS Nova Era
MoyashiVigna radiate
BRS AgresteSpecial
BRS Pitanga
IAC Esperança
IAC Harmonia
Jalo Precoce
BRS FC 402Carioca
BRS MG Talismã
IAC Imperador
IPR Tangará
Pérola
BRS EsteioBlack
IPR Tuiuiú
IPR Uirapuru
IPR Urutau
Table 3. Analysis of variance of 19 Brazilian bean genotypes submitted to S-metolachlor application in relation to relative tolerance and morphological parameters at 14 DAA, and dry matter data at 21 DAS.
Table 3. Analysis of variance of 19 Brazilian bean genotypes submitted to S-metolachlor application in relation to relative tolerance and morphological parameters at 14 DAA, and dry matter data at 21 DAS.
VariableVariation Factor
Genotype 1SoilGenotype * SoilP > FError
T783.00 *760.5125.11 *3.92 × 10−1020.50
H2343.44 *733 *464.72 *040.25
LA3928.71 *350 *1308.22 *070.59
TCC581.50 *78 *934.55 *0115.19
SDM4481.44 *692 *602.72 *054.20
RDM3889 *0 ns1372.72 *048.75
Degrees of freedom18118 114
1 Mean square of the error. * significant at 5% probability of error using the F test. ns: non-significant. Tolerance (T), plant height (H), leaf area (LA), total chlorophyll content (TCC), shoot dry mass (SDM) and root dry mass (RDM) and ratio between SDM.
Table 4. Tolerance (T), plant height (H) and leaf area (LA) at 14 DAS relativized in relation to the control of 19 Brazilian bean genotypes submitted to S-metolachlor application.
Table 4. Tolerance (T), plant height (H) and leaf area (LA) at 14 DAS relativized in relation to the control of 19 Brazilian bean genotypes submitted to S-metolachlor application.
Genotype 1T (%)H (%)LA (%)
OxisolUltisolOxisolUltisolOxisolUltisol
Adzuki Amarelo75.00 (5) * Ac57.50 (2) Bd6.34 (0) Ae7.27 (0) Af47.57 (6) Ad33.00 (0) Bf
Adzuki Vermelho45.00 (5) Bd52.50 (9) Ad58.24 (2) Ad26.95 (7) Be9.39 (1) Ae5.48 (6) Ag
Bico de Ouro87.50 (2) Aa76.25 (4) Bb665.89 (6) Ac45.85 (4) Bd55.25 (7) Ad46.13 (14) Ae
BRS Agreste88.75 (4) Aa80.00 (9) Bb73.09 (7) Ab66.73 (6) Ac91.27 (4) Ab94.20 (11) Ab
BRS Esteio92.50 (2) Aa82.50 (9) Ba87.27 (9) Aa61.15 (10) Bc80.15 (6) Ac83.35 (10) Ac
BRS Novaera90.00 (4) Aa85.00 (0) Aa67.29 (2) Ac52.73 (11) Bd112.19 (12) Aa89.31 (7) Bb
BRS Pitanga87.50 (2) Aa73.75 (4) Bb74.21 (9) Ab50.50 (3) Bd81.65 (5) Ac76.21 (7) Ac
BRSFC 40290.00 (4) Aa80.00 (4) Bb78.71 (3) Ab70.21 (8) Ac64.73 (6) Bc113.60 (13) Aa
BRSMG Talismã82.50 (2) Ab87.50 (2) Aa73.42 (6) Ab67.35 (5) Ac71.68 (6) Bc106.51 (5) Aa
IAC Esperança92.50 (2) Aa85.00 (5) Ba75.60 (1) Ab77.14 (3) Ab99.43 (4) Ab69.66 (13) Bd
IAC Harmonia80.00 (4) Bb90.00 (0) Aa64.84 (2) Bc89.91 (4) Aa73.69 (4) Ac84.69 (14) Ac
IAC Imperador91.25 (4) Aa83.75 (4) Ba57.34 (7) Ad58.98 (8) Ac96.38 (3) Ab85.06 (13) Ac
IPR Tangará87.50 (2) Aa92.50 (2) Aa68.14 (6) Ac74.56 (3) Ab77.73 (5) Bc97.61 (9) Ab
IPR Tuiuiú87.50 (2) Aa87.50 (2) Aa66.89 (5) Bc79.51 (4) Ab66.92 (1) Bc93.96 (3) Ab
IPR Uirapuru92.50 (2) Aa85.00 (5) Ba86.36 (10) Aa67.10 (2) Bc106.09 (10) Aa62.67 (11) Bd
IPR Urutau82.50 (2) Ab70.00 (0) Bc78.17 (10) Ab82.89 (4) Ab74.59 (3) Ac75.81 (7) Ac
Jalo Precoce90.00 (0) Aa85.00 (5) Aa79.60 (5) Ab80.18 (6) Ab90.53 (8) Ab91.39 (6) Ab
Moyashi85.00 (4) Aa90.00 (4) Aa55.41 (0) Bd72.92 (7) Ac45.95 (3) Bd102.88 (10) Aa
Pérola86.25 (4) Aa85.00 (0) Aa64.96 (6) Ac66.83 (2) Ac74.54 (4) Ac65.89 (7) Ad
Mean84.9380.4667.4663.0974.8877.75
CV (%)5.489.7211.02
1 Percentage of the S-metolachlor treatment in relation to the mean of the control. * Averages followed by the same letter are not statistically different from each other, lower case in the column and upper case in the row, using the Scott–Knott test (p ≤ 0.05). CV = coefficient of variation. Standard deviation in brackets.
Table 5. Total chlorophyll (TCC), shoot dry mass (SDM) and root dry mass (RDM) of 19 Brazilian bean genotypes subjected to S-metolachlor application at 21 DAS.
Table 5. Total chlorophyll (TCC), shoot dry mass (SDM) and root dry mass (RDM) of 19 Brazilian bean genotypes subjected to S-metolachlor application at 21 DAS.
GenotypeTCC (%) 1SDM (%)RDM (%)
OxisolUltisolOxisolUltisolOxisolUltisol
Adzuki Amarelo102.96 (7) * Aa86.01 (3) Bb62.42 (7) Ae49.80 (6) Bd33.99 (1) Bg60.47 (4) Ad
Adzuki Vermelho108.89 (3) Aa45.94 (53) Bc11.01 (1) Af6.30 (7) Ae25.75 (4) Ag25.75 (27) Ae
Bico de Ouro89.09 (1) Ab90.66 (8) Ab64.03 (3) Ae55.99 (6) Ad68.97 (6) Ae59.42 (8) Ad
BRS Agreste94.47 (8) Aa93.56 (6) Ab105.72 (6) Ab98.29 (11) Ab114.73 (1) Ab82.04 (5) Bb
BRS Esteio102.76 (3) Aa87.80 (5) Bb104.79 (4) Ab97.36 (7) Ab92.34 (7) Ad84.24 (2) Ab
BRS Nova Era91.81 (7) Ab93.37 (7) Ab97.22 (8) Ab94.65 (3) Ab115.32 (1) Ab76.38 (3) Bb
BRS Pitanga76.63 (2) Ab91.26 (3) Ab90.86 (2) Ac75.47 (13) Bc99.88 (1) Ac78.97 (10) Bb
BRSFC 402100.68 (3) Aa85.85 (4) Ab83.16 (7) Bd103.93 (12) Aa90.65 (8) Bd110.09 (5.) Aa
BRSMG Talismã107.26 (3) Aa86.96 (16) Bb98.31 (2) Bb110.35 (3) Aa103.22 (5) Ac94.22 (2) Aa
IAC Esperança83.50 (4) Bb102.08 (7) Aa102.10 (7) Ab70.87 (6) Bc84.03 (1) Ad86.07 (3) Ab
IAC Harmonia109.96 (1) Aa98.13 (5) Ab82.86 (3) Ad79.20 (11) Ac74.29 (3) Be101.09 (6) Aa
IAC Imperador96.50 (4) Aa93.62 (3) Ab110.50 (7) Ab91.03 (4) Bb104.49 (6) Ac108.45 (4) Aa
IPR Tangará73.72 (2) Ab82.64 (14) Ab91.62 (1) Bc105.66 (4) Aa68.73 (5) Be107.95 (6) Aa
IPR Tuiuiú90.60 (1) Bb113.01 (2) Aa80.00 (2) Bd99.91 (3) Ab110.33 (4) Ab102.56 (3) Aa
IPR Uirapuru105.61 (3) Aa120.79 (4) Aa101.76 (11) Ab69.18 (5) Bc130.32 (9) Aa70.89 (11) Bc
IPR Urutau85.32 (3) Bb119.81 (13) Aa79.97 (5) Bd92.27 (9) Ab87.24 (5) Bd106.74 (5) Aa
Jalo Precoce89.88 (4) Bb109.18 (10) Aa123.19 (5) Aa105.25 (9) Ba106.58 (4) Ac104.19 (4) Aa
Moyashi98.32 (4) Aa95.61 (4) Ab62.16 (10) Be88.82 (11) Ab43.53 (1) Bf78.92 (3) Ab
Pérola98.43 (4) Aa84.43 (3) Ab102.00 (3) Aa78.11 (7) Bc79.25 (2) Bd101.21 (7) Aa
Mean95.0793.7287.0382.7685.9886.29
CV (%)11.368.678.12
1 Percentage of the S-metolachlor treatment in relation to the mean of the control. * Means followed by the same letter are not statistically different from each other, lower case in the column and upper case in the row, using the Scott–Knott test (p ≤ 0.05). CV = coefficient of variation. Standard deviation in brackets.
Table 6. Equation parameters, dose required to provide 10% reduction in T (LD10), adjusted coefficient of determination (R2) and root mean square error (RMSE) for the relative tolerance variable (%) at 14 after S-metolachlor application in two bean genotypes in Oxisol and Ultisol.
Table 6. Equation parameters, dose required to provide 10% reduction in T (LD10), adjusted coefficient of determination (R2) and root mean square error (RMSE) for the relative tolerance variable (%) at 14 after S-metolachlor application in two bean genotypes in Oxisol and Ultisol.
GenotypeEquation ParametersLD10R2RMSE
bcde (LD50)
Oxisol
Pérola1.09 (0.17) ***37.01 (9.82) ***100.56 (1.35) ***3636.68 (1126.93) **509.38 (81.96)0.982.35
Talismã1.05 (0.14) ***40.76 (5.99) ***100.45 (1.42) ***2537.93 (537.13) ***314.42 (57.52)0.953.56
Ultisol
Pérola2.27 (0.41) ***43.86 (2.94) ***97.83 (1.71) ***2102.97 (166.22) ***799.65 (135.72)0.963.91
Talismã1.71 (0.30) ***46.18 (2.64) ***100.25 (2.19) ***1152.04 (119.27) ***320.10 (73.92)0.925.41
** significant by t-test (p ≤ 0.01) and *** (p ≤ 0.001).
Table 7. Parameters of the equation, dose needed to provide a 10% reduction in H (LD10), adjusted coefficient of determination (R2) and root mean square of the error (RMSE) for the height variable (H) at 14 after the application of S-metolachlor on two bean genotypes in Oxisol and Ultisol.
Table 7. Parameters of the equation, dose needed to provide a 10% reduction in H (LD10), adjusted coefficient of determination (R2) and root mean square of the error (RMSE) for the height variable (H) at 14 after the application of S-metolachlor on two bean genotypes in Oxisol and Ultisol.
GenotypeEquation ParametersLD10R2RMSE
bcde (LD50)
Oxisol
Pérola1.21 (0.59) *5.17 (1.66) **9.72 (0.31) ***2618.89 (1938.37) ns424.17 (195.73)0.620.96
Talismã3.10 (1.52) *4.91 (0.28) ***8.07 (0.25) ***1637.98 (236.08) ***807.84 (297.17)0.8936.23
Ultisol
Pérola1.72 (0.61) **3.67 (0.80) ***7.45 (0.26) ***2708.55 (993.97) **757.50 (266.66)0.630.89
Talismã1.56 (0.71) *5.01 (0.29) ***8.08 (0.37) ***495.37 (156.40) **121.27 (82.06)0.730.58
ns: non-significant, * significant by t-test (p ≤ 0.05), ** (p ≤ 0.01), and *** (p ≤ 0.001).
Table 8. Parameters of the equation. Dose needed to provide 10% reduction in leaf cover (LD10). adjusted coefficient of determination (R2) and root mean square error (RMSE) for LA at 14 after application of S-metolachlor on two bean genotypes in Oxisol and Ultisol.
Table 8. Parameters of the equation. Dose needed to provide 10% reduction in leaf cover (LD10). adjusted coefficient of determination (R2) and root mean square error (RMSE) for LA at 14 after application of S-metolachlor on two bean genotypes in Oxisol and Ultisol.
GenotypeEquation ParametersLD10R2RMSE
bcde (LD50)
Oxisol
Pérola1.93 (0.36) *** 450.88 (20.01) ***3988.92 (404.92) ***1284.82 (361.07)0.8753.56
Talismã1.24 (0.17) *** 452.37 (24.94) ***1436.56 (209.92) ***245.38 (80.18)0.8360.48
Ultisol
Pérola3.44 (1.20) **29.28 (28.50) ns355.78 (23.31) ***2083.75 (284.08) ***1100.650.7576.74
Talismã1.65 (0.65) *25.52 (33.97) ns334.71 (36.32) ***898.21 (280.957) **238.950.6478.24
ns: non-significant, * significant by t-test (p ≤ 0.05), ** (p ≤ 0.01), and *** (p ≤ 0.001).
Table 9. Equation parameters, dose required for 50% (LD50) and 80% (LD80) control, adjusted coefficient of determination (R2) and root mean square error (RMSE) for weed species at 35 days after S-metolachlor application on two bean genotypes in Oxisol and Ultisol.
Table 9. Equation parameters, dose required for 50% (LD50) and 80% (LD80) control, adjusted coefficient of determination (R2) and root mean square error (RMSE) for weed species at 35 days after S-metolachlor application on two bean genotypes in Oxisol and Ultisol.
SoilGenotypeEquation ParametersLD80R2RMSE
bcde (LD50)
OxisolAlexandergrass
Pérola0.96 (0.16) ***−13.94 (8.81) ns98.91 (3.86) ***1092.60 (220) ***4626.5 (1839)0.975.73
Talismã1.09 (0.17) ***−15.29 (6.85) *96.73 (4.17) ***1095.62 (157) ***3908.4 (1127)0.939.05
Sourgrass
Pérola0.82(0.10) ***−5.52 (2.16) *99.92 (1.59) ***144.73 (16.83) ***769.35 (129)0.983.69
Talismã0.60 (0.20) **−3.43 (3.29) ns99.99 (1.59) ***26.02 (17.89) ns256.39 (63)0.992.57
UltisolAlexandergrass
Pérola1.04 (0.16) ***−4.81 (2.94) ns99.81 (2.87) ***258.61 (29.93) ***974.61 (196.74)0.947.57
Talismã2.65 (0.33) ***−0.65 (1.30) ns99.97 (2.86) ***320.24 (15.03) ***539.64 (39.78)0.992.88
Sourgrass
Pérola1.15(0.35) **−0.93 (1.23) ns99.99 (1.62) ***60.93 (30.10) *203.15 (33.68)0.992.44
Talismã3.32 (2.05) ns−0.02 (0.69) ns99.99 (1.62) ***161.18 (61.99) *244.69 (32.77)0.983.90
ns: non-significant, * significant by t-test (p ≤ 0.05), ** (p ≤ 0.01), and *** (p ≤ 0.001).
Disclaimer/Publisher’s Note: The statements, opinions and data contained in all publications are solely those of the individual author(s) and contributor(s) and not of MDPI and/or the editor(s). MDPI and/or the editor(s) disclaim responsibility for any injury to people or property resulting from any ideas, methods, instructions or products referred to in the content.

Share and Cite

MDPI and ACS Style

da Silva Borges, M.P.; Trezzi, M.M.; Mendes, K.F.; Fuzinatto, E.; Pilatti, G.; da Silva, A.A. Tolerance of Brazilian Bean Cultivars to S-Metolachlor and Poaceae Weed Control in Two Agricultural Soils. Agronomy 2023, 13, 2919. https://doi.org/10.3390/agronomy13122919

AMA Style

da Silva Borges MP, Trezzi MM, Mendes KF, Fuzinatto E, Pilatti G, da Silva AA. Tolerance of Brazilian Bean Cultivars to S-Metolachlor and Poaceae Weed Control in Two Agricultural Soils. Agronomy. 2023; 13(12):2919. https://doi.org/10.3390/agronomy13122919

Chicago/Turabian Style

da Silva Borges, Maiara Pinheiro, Michelangelo Muzell Trezzi, Kassio Ferreira Mendes, Eliziane Fuzinatto, Gabriela Pilatti, and Antônio Alberto da Silva. 2023. "Tolerance of Brazilian Bean Cultivars to S-Metolachlor and Poaceae Weed Control in Two Agricultural Soils" Agronomy 13, no. 12: 2919. https://doi.org/10.3390/agronomy13122919

APA Style

da Silva Borges, M. P., Trezzi, M. M., Mendes, K. F., Fuzinatto, E., Pilatti, G., & da Silva, A. A. (2023). Tolerance of Brazilian Bean Cultivars to S-Metolachlor and Poaceae Weed Control in Two Agricultural Soils. Agronomy, 13(12), 2919. https://doi.org/10.3390/agronomy13122919

Note that from the first issue of 2016, this journal uses article numbers instead of page numbers. See further details here.

Article Metrics

Back to TopTop