Effects of Penoxsulam on Photosynthetic Characteristics and Safety Evaluation of Foxtail Millet
Abstract
1. Introduction
2. Materials and Methods
2.1. Test Materials
2.2. Experimental Design
2.3. Determination Indicators and Methods
- (1)
- Observation method
- (2)
- Agronomic traits measuring method
- (3)
- Photosynthetic characteristics measuring method
- (4)
- Efficacy of herbicide
2.4. Data Processing
3. Results
3.1. Observation of Herbicide Damage
3.2. Effects of Spraying Different Doses of Penoxsulam on Agronomic Traits
3.2.1. Effects of Penoxsulam on Height of Foxtail Millet
3.2.2. Effects of Penoxsulam on Leaf Area of Foxtail Millet
3.3. Effects of Spraying Different Doses of Penoxsulam on Photosynthetic Characteristics
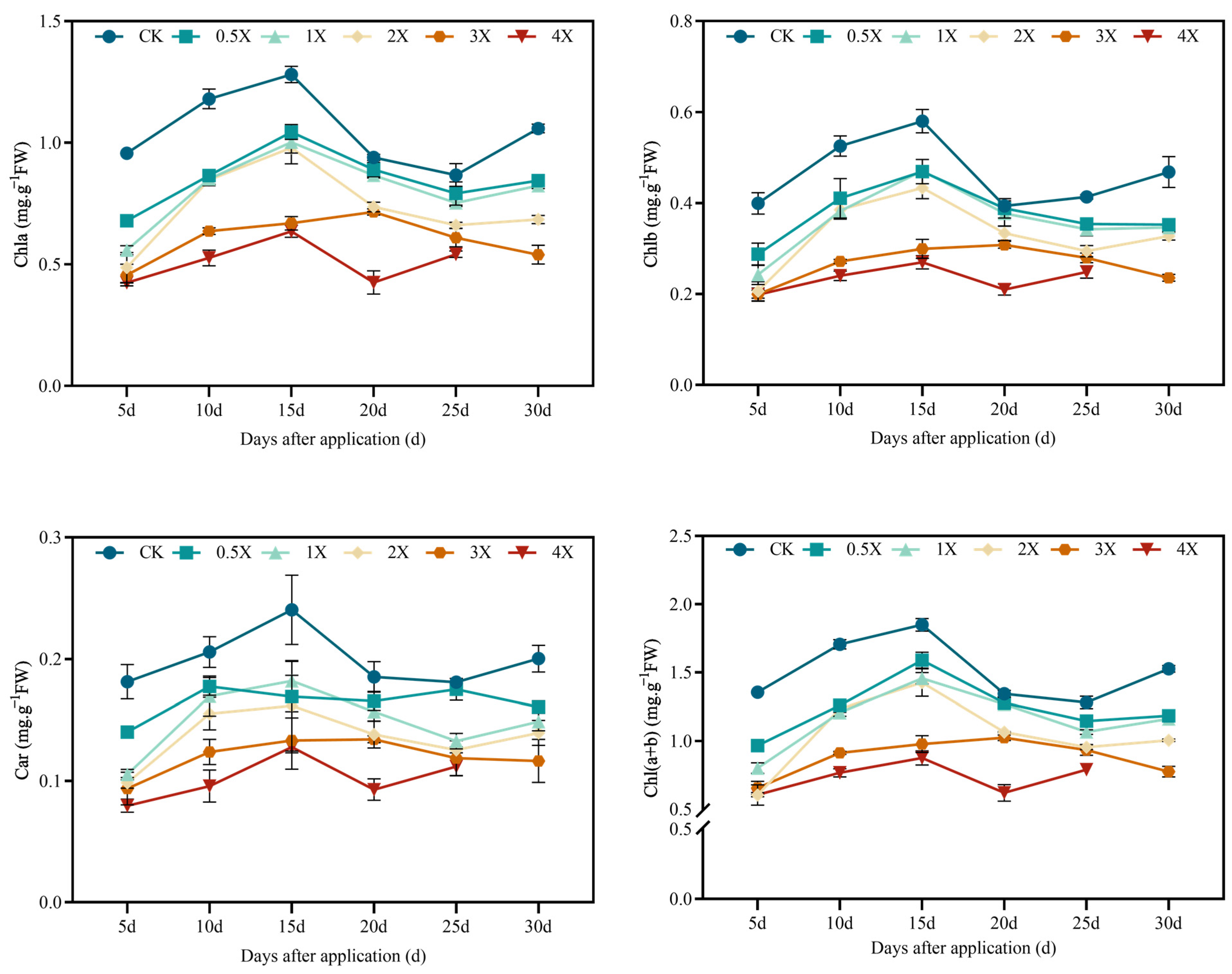
3.3.1. Effects of Penoxsulam on Photosynthetic Pigment Content of Foxtail Millet
3.3.2. Effects of Penoxsulam on Photosynthetic Parameters of Foxtail Millet
3.3.3. Effects of Penoxsulam on Chlorophyll Fluorescence Parameters
3.4. Efficacy of Penoxsulam
4. Discussion
5. Conclusions
Author Contributions
Funding
Data Availability Statement
Acknowledgments
Conflicts of Interest
References
- Yang, X.; Li, P.; Zhang, S.; Sun, B.; Chen, X. Long-term-fertilization effects on soil organic carbon, physical properties, and wheat yield of a loess soil. Plant Nutr. Soil Sci. 2011, 174, 775–784. [Google Scholar] [CrossRef]
- Yang, Y.; Cheng, J.; Han, H.; Sun, R.; Li, Y.; Zhang, Y.; Han, Y.; Zhang, H.; Li, X. Genome-wide identification of the HKT transcription factor family and their response to salt stress in foxtail millet (Setaria italica). Plant Growth Regul. 2023, 99, 113–123. [Google Scholar] [CrossRef]
- Abah, C.; Ishiwu, C.; Obiegbuna, J.; Oladejo, A. Nutritional composition, functional properties and food applications of millet grains. Asian Food Sci. 2020, 14, 9–19. [Google Scholar] [CrossRef]
- Kaur, K.; Jha, A.; Sabikhi, L.; Singh, A. Significance of coarse cereals in health and nutrition: A review. Food Sci. Technol. 2014, 51, 1429–1441. [Google Scholar] [CrossRef] [PubMed]
- Sun, M.; Kang, X.; Wang, T.; Fan, L.; Wang, H.; Pan, H.; Yang, Q.; Liu, H.; Lou, Y.; Zhuge, Y. Genotypic diversity of quality traits in Chinese foxtail millet (Setaria italica L.) and the establishment of a quality evaluation system. Food Chem. 2021, 353, 129421. [Google Scholar] [CrossRef]
- Kalsi, R.; Bhasin, J. Nutritional exploration of foxtail millet (Setaria italica) in addressing food security and its utilization trends in food system. eFood. 2023, 4, e111. [Google Scholar] [CrossRef]
- Yousaf, L.; Hou, D.; Liaqat, H.; Shen, Q. Millet: A review of its nutritional and functional changes during processing. Food Res. Int. 2021, 142, 110197. [Google Scholar] [CrossRef]
- Sravani, P.; Subramanyam, D.; Reddy, M.; Yernaidu, Y.; Sree, Y. Evaluating weed management strategies and the differential effects of herbicides on weed dynamics and crop performance of foxtail millet grown under the irrigated conditions of Rayalaseema. Int. J. Environ. 2023, 13, 399–408. [Google Scholar] [CrossRef]
- Menalled, F.; Gross, K.; Hammond, M. Weed aboveground and seedbank community responses to agricultural management systems. Ecol. Appl. 2001, 11, 1586–1601. [Google Scholar] [CrossRef]
- Paswan, A.K.; Rakesh Kumar, R.K.; Pramod Kumar, P.K.; Singh, R.K. Influence of metsulfuron-methyl and carfentrazone-ethyl either alone or in combination on weed flora, crop growth and yield in wheat (Triticum aestivum). Madras Agric. J. 2012, 99, 560–562. [Google Scholar] [CrossRef]
- Saranraj, T.; Devasenapathy, P.; Lokanadhan, S. Penoxsulam evaluation for weed control efficacy and increased rice yield. Indian J. Weed Sci. 2017, 49, 1–4. [Google Scholar] [CrossRef][Green Version]
- Quareshy, M.; Prusinska, J.; Li, J.; Napier, R. A cheminformatics review of auxins as herbicides. Exp. Bot. 2018, 69, 265–275. [Google Scholar] [CrossRef]
- Rao, A.; Johnson, D.; Sivaprasad, B.; Ladha, J.; Mortimer, A. Weed management in direct-seeded rice. Adv. Agron. 2007, 93, 155–255. [Google Scholar]
- Usui, K. Metabolism and selectivity of rice herbicides in plants. Weed Biol. Manag. 2001, 1, 137–146. [Google Scholar] [CrossRef]
- Zhang, F.; Bai, S.; Wang, H.; Liu, W.; Wang, J. Greenhouse and field evaluation of a novel HPPD-inhibiting herbicide, QYM201, for weed control in wheat. Sci. Rep. 2019, 9, 1625. [Google Scholar] [CrossRef]
- Ganie, Z.; Obrigawitch, T.; Kang, I.; Copeland, D.; Gutteridge, S.; May, J.; Schrage, B.; Albright, R.; Chandi, A. An outlook of FMC’s current and future herbicide-resistance management strategies. Pest Manag. Sci. 2021, 77, 1559–1563. [Google Scholar] [CrossRef]
- Lu, H.; Liu, Y.; Bu, D.; Yang, F.; Zhang, Z.; Qiang, S. A double mutation in the ALS gene confers a high level of resistance to mesosulfuron-methyl in shepherd’s-purse. Plants 2023, 2, 2730. [Google Scholar] [CrossRef]
- Liu, Y.; Li, Y.; Wang, X. Acetohydroxyacid synthases: Evolution, structure, and function. Appl. Microbiol. Biotechnol. 2016, 100, 8633–8649. [Google Scholar] [CrossRef]
- Guan, Y.; Cao, S.; Zou, Y.; Liu, L.; Yang, C.; Ji, M. Enhanced metabolic ability enabled wild panicgrass (Panicum miliaceum L. var. ruderale kit.) resistance to ALS inhibitor herbicide. Pestic. Biochem. Physiol. 2023, 194, 105510. [Google Scholar] [CrossRef]
- Ghazikhanlou, S.; Yousefi, A.; Jamshidi, K.; Shekari, F.; Gonzalez-Andujar, J.; Korres, N. Weed response to ALS-inhibitor herbicide (sulfosulfuron + metsulfuron methyl) under increased temperature and carbon dioxide. Agronomy 2023, 13, 2084. [Google Scholar] [CrossRef]
- Zhou, Q.; Liu, W.; Zhang, Y.; Liu, K. Action mechanisms of acetolactate synthase-inhibiting herbicides. Pestic. Biochem. Phys. 2007, 89, 89–96. [Google Scholar] [CrossRef]
- Torra, J.; Montull, J.; Taberner, A.; Onkokesung, N.; Edwards, R. Target-site and non-target-site resistance mechanisms confers multiple and cross-resistance to ALS and ACCase inhibiting herbicides in lolium rigidum from Spain. Front. Plant Sci. 2021, 12, 625138. [Google Scholar] [CrossRef] [PubMed]
- Dayan, F.; Zaccaro, M. Chlorophyll fluorescence as a marker for herbicide mechanisms of action. Pestic. Biochem. Physiol. 2012, 102, 189–197. [Google Scholar] [CrossRef]
- Yuan, X.; Guo, P.; Qi, X.; Ning, N.; Wang, H.; Wang, H.; Wang, X.; Yang, Y. Safety of herbicide sigma broad on radix isatidis (Isatis indigotica Fort.) seedlings and their photosynthetic physiological responses. Pestic. Biochem. Phys. 2013, 106, 45–50. [Google Scholar] [CrossRef]
- Feng, Y.; Zhong, X.; Yao, Y.; Shi, Z.; Li, F.; Wang, H.; Lv, X.; Du, W.; Zhu, M.; Yang, H.; et al. Photosynthetic and physiological responses to acetochlor in paired near-isogenic lines of waxy maize (Zea mays L.). Environ. Sci. Pollut. Res. 2021, 28, 19298–19309. [Google Scholar] [CrossRef]
- Jabusch, T.; Tjeerdema, R. Partitioning of penoxsulam, a new sulfonamide herbicide. Agr. Food. Chem. 2005, 53, 7179. [Google Scholar] [CrossRef]
- Duggleby, R.; Jennifer, A.; Guddat, L. Structure and mechanism of inhibition of plant acetohydroxyacid synthase. Plant Physiol. Biochem. 2008, 46, 309–324. [Google Scholar] [CrossRef]
- Acar, A.; Singh, D. Monitoring genotoxic, biochemical and morphotoxic potential of penoxsulam and the protective role of European blueberry (Vaccinium myrtillus L.) extract. Sci. Rep. 2023, 13, 6787. [Google Scholar] [CrossRef]
- Sansa, S.; Syriac, K.; Raj, S. Penoxsulam as post-emergence herbicide for weed control in transplanted rice. Indian J. Weed Sci. 2016, 48, 215–216. [Google Scholar] [CrossRef]
- Saranraj, T.; Devasenapathy, P.; Lokanadhan, S. Penoxsulam influence on weed control and rice yield and its residual effect on microorganisms and succeeding greengram. Indian J. Weed Sci. 2018, 50, 37–41. [Google Scholar] [CrossRef]
- Ma, K.; Zhang, W.; Zhang, L.; He, X.; Fan, Y.; Alam, S.; Yuan, X. Effect of Pyrazosulfuron-Methyl on the photosynthetic characteristics and antioxidant systems of foxtail millet. Front. Plant Sci. 2021, 12, 696169. [Google Scholar] [CrossRef]
- Guo, M.; Wang, Y.; Dong, S.; Wen, Y.; Song, X.; Guo, P. Photochemical changes and oxidative damage in four foxtail millet varieties following exposure to sethoxydim. Photosynthetica 2018, 56, 820–831. [Google Scholar] [CrossRef]
- Zhang, J.; Weaver, S.; Hamill, A. Risks and reliability of using herbicides at below-labeled rates1. Weed Technol. 2000, 14, 106–115. [Google Scholar] [CrossRef]
- Rauch, B.; Bellinder, R.; Brainard, D.; Lane, M.; Thies, J. Dissipation of fomesafen in New York state soils and potential to cause carryover injury to sweet corn. Weed Technol. 2007, 21, 206–212. [Google Scholar] [CrossRef]
- Li, X.; Grey, T.; Vencill, W.; Freeman, J.; Price, K.; Cutts, G.; Price, A. Evaluation of cotton responses to fomesafen-based treatments applied preemergence. Weed Technol. 2018, 32, 431–438. [Google Scholar] [CrossRef]
- Fraga, D.; Agostinetto, D.; Langaro, A.; Oliveira, C.; Ulguim, A.; Silva, J. Morphological and metabolic changes in soybean plants cultivated in irrigated rice rotation and as affected by imazapyr and imazapic herbicides carryover. Planta Daninha. 2019, 37, e019165375. [Google Scholar] [CrossRef]
- Abukari, I.A.; Shankle, M.W.; Reddy, K.R. S-metolachlor and rainfall effects on sweetpotato (Ipomoea batatas L. [Lam]) growth and development. Sci. Hortic. 2015, 185, 98–104. [Google Scholar] [CrossRef]
- Boulahia, K.; Ould Said, C.; Abrous-Belbachir, O. Exogenous application of salicylic acid improve growth and some physio-biochemical parameters in herbicide stressed Phaseolus vulgaris L. Gesunde Pflanzen. 2023, 75, 2301–2318. [Google Scholar] [CrossRef]
- Fuerst, E.; Norman, M. Interactions of Herbicides with Photosynthetic Electron Transport. Weed Sci. 1991, 39, 458–464. [Google Scholar] [CrossRef]
- Guan, X.; Song, L.; Wang, T.; Turner, N.; Li, F. Effect of drought on the gas exchange, chlorophyll fluorescence and yield of six different-era spring wheat cultivars. Agron. Crop Sci. 2014, 201, 253–266. [Google Scholar] [CrossRef]
- Maxwell, K.; Johnson, G.N. Chlorophyll fluorescence—A practical guide. J. Exp. Bot. 2000, 51, 659–668. [Google Scholar] [CrossRef]
- Vosnjak, M.; Kastelec, D.; Vodnik, D.; Hudina, M.; Usenik, V. The physiological response of the sweet cherry leaf to non-freezing low temperatures. Hortic. Environ. Biotechnol. 2021, 62, 199–211. [Google Scholar] [CrossRef]
- Orcaray, L.; Igal, M.; Marino, D.; Zabalza, A.; Royuela, M. The possible role of quinate in the mode of action of glyphosate and acetolactate synthase inhibitors. Pest. Manag. Sci. 2010, 66, 262–269. [Google Scholar] [CrossRef] [PubMed]
- Su, W.; Sun, L.; Ge, Y.; Wu, R.; Xu, H.; Lu, C.T. The residual effects of bensulfuron-methyl on growth and photosynthesis of soybean and peanut. Photosynthetica 2018, 56, 670–677. [Google Scholar] [CrossRef]
- Fan, X.; Chang, W.; Feng, F.; Song, F. Responses of photosynthesis-related parameters and chloroplast ultrastructure to atrazine in alfalfa (Medicago sativa L.) inoculated with arbuscular mycorrhizal fungi. Ecotoxicol. Environ. Saf. 2018, 166, 102–108. [Google Scholar] [CrossRef] [PubMed]












| Variety | CK g a.i. ha−1 | 0.5X g a.i. ha−1 | 1X g a.i. ha−1 | 2X g a.i. ha−1 | 3X g a.i. ha−1 | 4X g a.i. ha−1 |
|---|---|---|---|---|---|---|
| Jingu 21 | 0 | 15 | 30 | 60 | 90 | 120 |
| Symptoms | Dwarfism | Deformity | Yellow spot | Yellowing | Leaf rolling |
![]() | ![]() | ![]() | ![]() | ![]() |
| Treatment | Leaf Area (cm2) | |||||
|---|---|---|---|---|---|---|
| 5 d | 10 d | 15 d | 20 d | 25 d | 30 d | |
| CK | 12.98 ± 1.0 a | 17.04 ± 1.0 | 23.26 ± 0.8 a | 25.27 ± 2.2 a | 25.31 ± 0.5 a | 36.06 ± 1.2 a |
| 0.5X | 7.93 ± 1.3 b | 10.38 ± 1.4 | 15.51 ± 0.9 b | 21.5 ± 1.6 ab | 20.39 ± 0.2 b | 31.37 ± 0.8 b |
| 1X | 4.83 ± 0.7 c | — | 9.39 ± 0.9 c | 16.8 ± 1.7 b | 20.1 ± 2.0 b | 20.42 ± 0.9 c |
| 2X | 5.04 ± 0.7 bc | — | — | 8.62 ± 1.0 c | 6.22 ± 0.9 c | 9.77 ± 1.9 d |
| 3X | 3.7 ± 0.9 c | — | — | — | 6.09 ± 0.8 c | 7.01 ± 0.8 d |
| 4X | 4.29 ± 1.2 c | — | — | — | — | — |
| Treatment | Leaf Area (cm2) | |||||
|---|---|---|---|---|---|---|
| 5 d | 10 d | 15 d | 20 d | 25 d | 30 d | |
| CK | 54.63 | 74.49 | 98.60 ± 4.7 a | 117.33 ± 5.0 a | 112.84 ± 8.1 a | 92.22 ± 4.0 a |
| 0.5X | — | — | 56.52 ± 7.4 b | 86.60 ± 7.6 b | 80.87 ± 2.1 b | 89.59 ± 5.5 a |
| 1X | — | — | 46.23 ± 5.6 b | 69.07 ± 5.1 b | 72.32 ± 4.2 b | 89.55 ± 4.2 a |
| 2X | — | — | — | 28.42 ± 1.9 c | 56.16 ± 3.1 c | 74.86 ± 5.6 b |
| 3X | — | — | — | 37.87 ± 6.7 c | 49.34 ± 0.4 c | 45.18 ± 1.3 c |
| 4X | — | — | — | — | 32.74 ± 5.2 d | 37.94 ± 4.1 c |
Disclaimer/Publisher’s Note: The statements, opinions and data contained in all publications are solely those of the individual author(s) and contributor(s) and not of MDPI and/or the editor(s). MDPI and/or the editor(s) disclaim responsibility for any injury to people or property resulting from any ideas, methods, instructions or products referred to in the content. |
© 2024 by the authors. Licensee MDPI, Basel, Switzerland. This article is an open access article distributed under the terms and conditions of the Creative Commons Attribution (CC BY) license (https://creativecommons.org/licenses/by/4.0/).
Share and Cite
Dong, S.; Chen, T.; Xu, Y.; Hou, Y.; Qiao, J.; Zhou, X.; Wen, Y.; Zhou, W.; Hu, C.; Yuan, X. Effects of Penoxsulam on Photosynthetic Characteristics and Safety Evaluation of Foxtail Millet. Agronomy 2024, 14, 641. https://doi.org/10.3390/agronomy14040641
Dong S, Chen T, Xu Y, Hou Y, Qiao J, Zhou X, Wen Y, Zhou W, Hu C, Yuan X. Effects of Penoxsulam on Photosynthetic Characteristics and Safety Evaluation of Foxtail Millet. Agronomy. 2024; 14(4):641. https://doi.org/10.3390/agronomy14040641
Chicago/Turabian StyleDong, Shuqi, Tingting Chen, Yang Xu, Ying Hou, Jiaxin Qiao, Xuena Zhou, Yinyuan Wen, Wenbin Zhou, Chunyan Hu, and Xiangyang Yuan. 2024. "Effects of Penoxsulam on Photosynthetic Characteristics and Safety Evaluation of Foxtail Millet" Agronomy 14, no. 4: 641. https://doi.org/10.3390/agronomy14040641
APA StyleDong, S., Chen, T., Xu, Y., Hou, Y., Qiao, J., Zhou, X., Wen, Y., Zhou, W., Hu, C., & Yuan, X. (2024). Effects of Penoxsulam on Photosynthetic Characteristics and Safety Evaluation of Foxtail Millet. Agronomy, 14(4), 641. https://doi.org/10.3390/agronomy14040641






