Drought-Tolerance Screening of Date Palm Cultivars under Water Stress Conditions in Arid Regions
Abstract
:1. Introduction
2. Materials and Methods
2.1. Experimental Site, Plant Material, and Growth Conditions
2.2. Estimation of Evapotranspiration
2.3. Applied Irrigation Water
2.4. Irrigation System
2.5. Experimental Layout
2.6. Leaf Growth and Plant Dry Biomass
2.7. Potassium Content
2.8. Calcium Content
2.9. Chlorophyll Content
2.10. Leaf Proline Content
2.11. Leaf Relative Water Content
2.12. Net Photosynthesis
2.13. Statistical Analysis
3. Results
3.1. Description of the Meteorological Data
3.2. Evapotranspiration and Applied Irrigation Water
3.3. Leaf Growth
3.4. Net Photosynthesis
3.5. Chlorophyll Content
3.5.1. Chlorophyll a Content
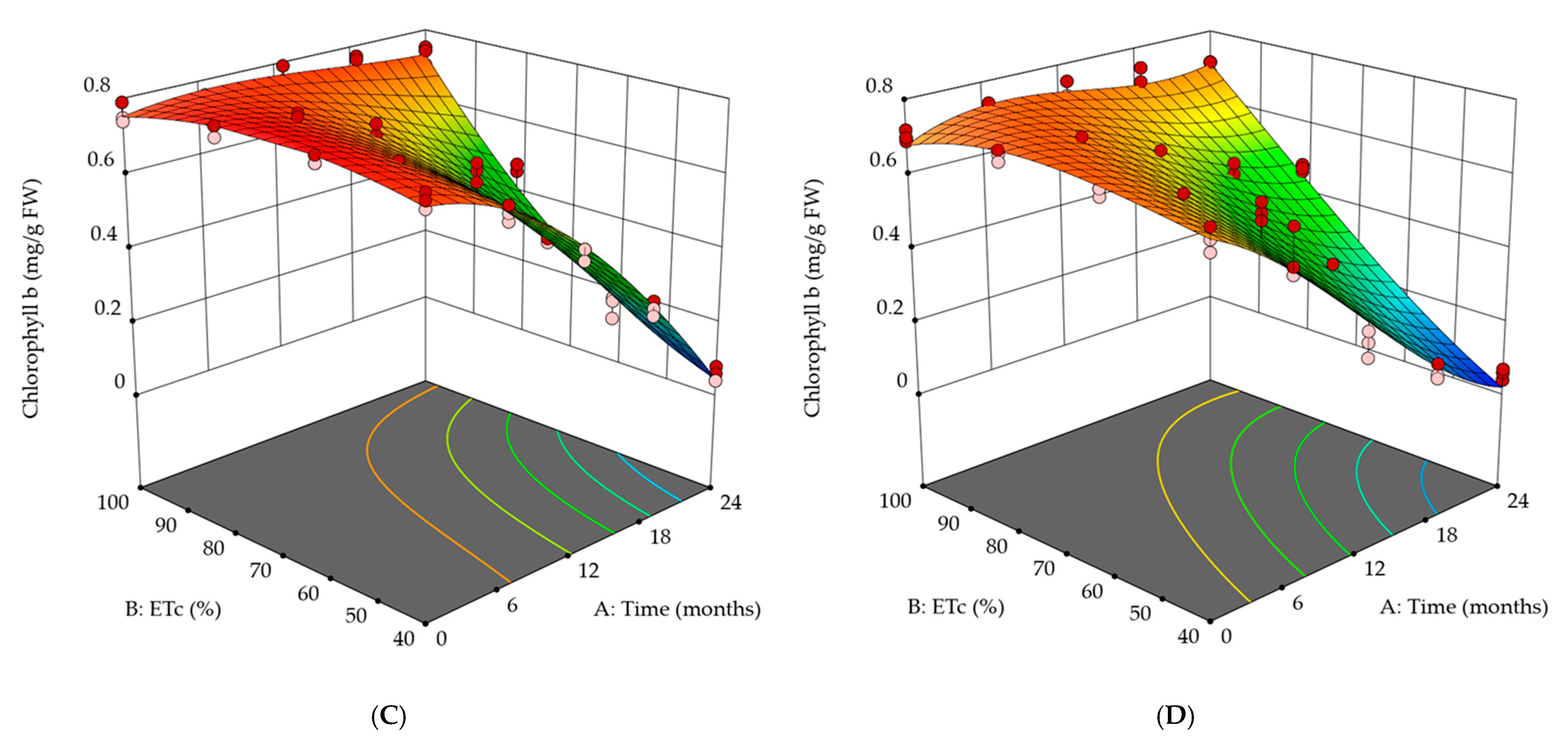
3.5.2. Chlorophyll b Content
3.6. Leaf Relative Water Content
3.7. Dry Weight
3.8. Potassium Content
3.9. Calcium Content
3.10. Leaf Proline Content
4. Discussion
4.1. Leaf Growth
4.2. Net Photosynthesis
4.3. Chlorophyll Content
4.4. Leaf Relative Water Content
4.5. Dry Weight
4.6. Potassium Content
4.7. Calcium Content
4.8. Leaf Proline Content
5. Conclusions
Author Contributions
Funding
Institutional Review Board Statement
Informed Consent Statement
Data Availability Statement
Acknowledgments
Conflicts of Interest
References
- Huber, A.E.; Bauerle, T.L. Long-Distance Plant Signaling Pathways in Response to Multiple Stressors: The Gap in Knowledge. J. Exp. Bot. 2016, 67, 2063–2079. [Google Scholar] [CrossRef] [PubMed]
- Gamble, D.W.; Campbell, D.; Allen, T.L.; Barker, D.; Curtis, S.; McGregor, D.; Popke, J. Climate Change, Drought, and Jamaican Agriculture: Local Knowledge and the Climate Record. Ann. Assoc. Am. Geogr. 2010, 100, 880–893. [Google Scholar] [CrossRef]
- Julius, H. Kotir Climate Change and Variability in Sub-Saharan Africa: A Review of Current and Future Trends and Impacts on Agriculture and Food Security. Environ. Dev. Sustain. 2011, 13, 587–605. [Google Scholar]
- Arora, N.K. Impact of Climate Change on Agriculture Production and Its Sustainable Solutions. Environ. Sustain. 2019, 2, 95–96. [Google Scholar] [CrossRef]
- Rijsberman, F.R. Water Scarcity: Fact or Fiction? Agric. Water Manag. 2006, 80, 5–22. [Google Scholar] [CrossRef]
- Anli, M.; Baslam, M.; Tahiri, A.; Raklami, A.; Symanczik, S.; Boutasknit, A.; Ait-El-Mokhtar, M.; Ben-Laouane, R.; Toubali, S.; Ait Rahou, Y.; et al. Biofertilizers as Strategies to Improve Photosynthetic Apparatus, Growth, and Drought Stress Tolerance in the Date Palm. Front. Plant Sci. 2020, 11, 516818. [Google Scholar] [CrossRef] [PubMed]
- Du, B.; Kruse, J.; Winkler, J.B.; Alfarraj, S.; Albasher, G.; Schnitzler, J.P.; Ache, P.; Hedrich, R.; Rennenberg, H. Metabolic Responses of Date Palm (Phoenix dactylifera L.) Leaves to Drought Differ in Summer and Winter Climate. Tree Physiol. 2021, 41, 1685–1700. [Google Scholar] [CrossRef] [PubMed]
- Suprasanna, P.; Nikalje, G.C.; Rai, A.N. Osmolyte Accumulation and Implications in Plant Abiotic Stress Tolerance. In Osmolytes and Plants Acclimation to Changing Environment: Emerging Omics Technologies; Springer India: New Delhi, India, 2016; pp. 1–12. ISBN 9788132226161. [Google Scholar]
- Abid, M.; Ali, S.; Qi, L.K.; Zahoor, R.; Tian, Z.; Jiang, D.; Snider, J.L.; Dai, T. Physiological and Biochemical Changes during Drought and Recovery Periods at Tillering and Jointing Stages in Wheat (Triticum aestivum L.). Sci. Rep. 2018, 8, 4615. [Google Scholar] [CrossRef]
- Kapoor, D.; Bhardwaj, S.; Landi, M.; Sharma, A.; Ramakrishnan, M.; Sharma, A. The Impact of Drought in Plant Metabolism: How to Exploit Tolerance Mechanisms to Increase Crop Production. Appl. Sci. 2020, 10, 5692. [Google Scholar] [CrossRef]
- Leuschner, C.; Wedde, P.; Lübbe, T. The Relation between Pressure–Volume Curve Traits and Stomatal Regulation of Water Potential in Five Temperate Broadleaf Tree Species. Ann. For. Sci. 2019, 76, 60. [Google Scholar] [CrossRef]
- Lawlor, D.W.; Tezara, W. Causes of Decreased Photosynthetic Rate and Metabolic Capacity in Water-Deficient Leaf Cells: A Critical Evaluation of Mechanisms and Integration of Processes. Ann. Bot. 2009, 103, 561–579. [Google Scholar] [CrossRef] [PubMed]
- Elshibli, S.; Elshibli, E.M.; Korpelainen, H. Growth and Photosynthetic CO2 Responses of Date Palm Plants to Water Availability. Emir. J. Food Agric. 2016, 28, 58–65. [Google Scholar] [CrossRef]
- Peguero-Pina, J.; Mendoza-Herrer, Ó.; Gil-Pelegrín, E.; Sancho-Knapik, D. Cavitation Limits the Recovery of Gas Exchange after Severe Drought Stress in Holm Oak (Quercus ilex L.). Forests 2018, 9, 443. [Google Scholar] [CrossRef]
- Cornic, G.; Massacci, A. Leaf Photosynthesis Under Drought Stress. In Photosynthesis and the Environment; Springer: Berlin/Heidelberg, Germany, 2006; pp. 347–366. [Google Scholar]
- Lawlor, D.W. Limitation to Photosynthesis in Water-Stressed Leaves: Stomata vs. Metabolism and the Role of ATP. Ann. Bot. 2002, 89, 871–885. [Google Scholar] [CrossRef] [PubMed]
- Siddique, Z.; Jan, S.; Imadi, S.R.; Gul, A.; Ahmad, P. Drought Stress and Photosynthesis in Plants. In Water Stress and Crop Plants; Wiley: Hoboken, NJ, USA, 2016; Volume 1–2, pp. 1–11. ISBN 9781119054450. [Google Scholar]
- Rachmilevitch, S.; Lambers, H.; Huang, B. Root Respiratory Characteristics Associated with Plant Adaptation to High Soil Temperature for Geothermal and Turf-Type Agrostis Species. J. Exp. Bot. 2006, 57, 623–631. [Google Scholar] [CrossRef] [PubMed]
- FAOSTAT. Faostat-FAO Food and Agriculture Organization of the United Nations. Available online: https://www.fao.org/faostat/en/#data/QCL (accessed on 20 September 2023).
- Dhaouadi, L.; Besser, H.; Karbout, N.; Al-Omran, A.; Wassar, F.; Wahba, M.S.; Yaohu, K.; Hamed, Y. Irrigation Water Management for Sustainable Cultivation of Date Palm. Appl. Water Sci. 2021, 11, 171. [Google Scholar] [CrossRef]
- Alotaibi, K.D.; Alharbi, H.A.; Yaish, M.W.; Ahmed, I.; Alharbi, S.A.; Alotaibi, F.; Kuzyakov, Y. Date Palm Cultivation: A Review of Soil and Environmental Conditions and Future Challenges. Land Degrad. Dev. 2023, 34, 2431–2444. [Google Scholar] [CrossRef]
- Alnaim, M.A.; Mohamed, M.S.; Mohammed, M.; Munir, M. Effects of Automated Irrigation Systems and Water Regimes on Soil Properties, Water Productivity, Yield and Fruit Quality of Date Palm. Agriculture 2022, 12, 343. [Google Scholar] [CrossRef]
- Mohammed, M.; Sallam, A.; Munir, M.; Ali-Dinar, H. Effects of Deficit Irrigation Scheduling on Water Use, Gas Exchange, Yield, and Fruit Quality of Date Palm. Agronomy 2021, 11, 2256. [Google Scholar] [CrossRef]
- Al-Khayri, J.M.; Ibraheem, Y. In Vitro Selection of Abiotic Stress Tolerant Date Palm (Phoenix dactylifera L.): A Review. Emir. J. Food Agric. 2014, 26, 921–933. [Google Scholar] [CrossRef]
- Hadrami, A.E.; Daayf, F.; Hadrami, I.E. In Vitro Selection for Abiotic Stress in Date Palm. In Date Palm Biotechnology; Springer: Dordrecht, The Netherlands, 2011; pp. 237–252. [Google Scholar]
- Taylor, G.; Donnison, I.S.; Murphy-Bokern, D.; Morgante, M.; Bogeat-Triboulot, M.B.; Bhalerao, R.; Hertzberg, M.; Polle, A.; Harfouche, A.; Alasia, F.; et al. Sustainable Bioenergy for Climate Mitigation: Developing Drought-Tolerant Trees and Grasses. Ann. Bot. 2019, 124, 513–520. [Google Scholar] [CrossRef] [PubMed]
- Ranjith, P.; Srinivasa Rao, M. Breeding for Drought Resistance. In Plant Breeding—Current and Future Views; IntechOpen: London, UK, 2021. [Google Scholar]
- Rosero, A.; Granda, L.; Berdugo-Cely, J.A.; Šamajová, O.; Šamaj, J.; Cerkal, R. A Dual Strategy of Breeding for Drought Tolerance and Introducing Drought-Tolerant, Underutilized Crops into Production Systems to Enhance Their Resilience to Water Deficiency. Plants 2020, 9, 1263. [Google Scholar] [CrossRef]
- Tong, X.; Wu, P.; Liu, X.; Zhang, L.; Zhou, W.; Wang, Z. A Global Meta-Analysis of Fruit Tree Yield and Water Use Efficiency under Deficit Irrigation. Agric. Water Manag. 2022, 260, 107321. [Google Scholar] [CrossRef]
- Gebru, B.M.; Wang, S.W.; Kim, S.J.; Lee, W.-K. Socio-Ecological Niche and Factors Affecting Agroforestry Practice Adoption in Different Agroecologies of Southern Tigray, Ethiopia. Sustainability 2019, 11, 3729. [Google Scholar] [CrossRef]
- Ahmed Mohammed, M.E.; Refdan Alhajhoj, M.; Ali-Dinar, H.M.; Munir, M. Impact of a Novel Water-Saving Subsurface Irrigation System on Water Productivity, Photosynthetic Characteristics, Yield, and Fruit Quality of Date Palm under Arid Conditions. Agronomy 2020, 10, 1265. [Google Scholar] [CrossRef]
- Paulo, J.; Dias, T. Plant Growth Regulators in Horticulture: Practices and Perspectives. Biotecnol. Veg. 2019, 19, 3–14. [Google Scholar]
- Ramzan, F.; Younis, A. Use of Biostimulants in Tolerance of Drought Stress in Agricultural Crops. In Emerging Plant Growth Regulators in Agriculture; Elsevier: Amsterdam, The Netherlands, 2022; pp. 429–446. ISBN 9780323910057. [Google Scholar]
- Sanders, G.J.; Arndt, S.K. Osmotic Adjustment under Drought Conditions. In Plant Responses to Drought Stress: From Morphological to Molecular Features; Springer: Berlin/Heidelberg, Germany, 2012; Volume 9783642326, pp. 199–229. ISBN 9783642326530. [Google Scholar]
- Tariq, A.; Pan, K.; Olatunji, O.A.; Graciano, C.; Li, Z.; Sun, F.; Zhang, L.; Wu, X.; Chen, W.; Song, D.; et al. Phosphorous Fertilization Alleviates Drought Effects on Alnus Cremastogyne by Regulating Its Antioxidant and Osmotic Potential. Sci. Rep. 2018, 8, 5644. [Google Scholar] [CrossRef] [PubMed]
- Cattivelli, L.; Rizza, F.; Badeck, F.W.; Mazzucotelli, E.; Mastrangelo, A.M.; Francia, E.; Marè, C.; Tondelli, A.; Stanca, A.M. Drought Tolerance Improvement in Crop Plants: An Integrated View from Breeding to Genomics. F. Crop. Res. 2008, 105, 1–14. [Google Scholar] [CrossRef]
- Niu, G.; Rodriguez, D.S.; Mackay, W. Growth and Physiological Responses to Drought Stress in Four Oleander Clones. J. Am. Soc. Hortic. Sci. 2008, 133, 188–196. [Google Scholar] [CrossRef]
- Alhammadi, M.S.; Kurup, S.S. Impact of Salinity Stress on Date Palm (Phoenix dactylifera L.)—A Review. Crop Prod. Technol. 2012, 9, 169–173. [Google Scholar]
- Meddich, A.; Ait El Mokhtar, M.; Bourzik, W.; Mitsui, T.; Baslam, M.; Hafidi, M. Optimizing Growth and Tolerance of Date Palm (Phoenix dactylifera L.) to Drought, Salinity, and Vascular Fusarium-Induced Wilt (Fusarium Oxysporum) by Application of Arbuscular Mycorrhizal Fungi (AMF). In Root Biology; Springer: Cham, Switzerland, 2018; pp. 239–258. [Google Scholar]
- Mohammed, M.; Riad, K.; Alqahtani, N. Efficient Iot-Based Control for a Smart Subsurface Irrigation System to Enhance Irrigation Management of Date Palm. Sensors 2021, 21, 3942. [Google Scholar] [CrossRef] [PubMed]
- Clarke, D.; Smith, M.; El-Askari, K. CropWat for Windows, Version 4.2; IHE: Oak Brook, IL, USA, 2001; p. 43.
- Allen, R.G.; Pereira, L.S.; Raes, D.; Smith, M. FAO Irrigation and Drainage Paper No. 56—Crop Evapotranspiration; FAO: Rome, Italy, 1998. [Google Scholar]
- Zaid, A.; de Wet, M.P.F.; Djerb, A.O. Date Palm Cultivation; Food and Agriculture Organization (FAO): Rome, Italy, 1999. [Google Scholar]
- Jadav, J.K.; Umrania, V.V.; Rathod, K.J.; Sodha, K.H.; Gondaliya, R.P.; Anuj, S.A.; Golakiya, B.A. Effects of Induced Potassium Deficiency in Groundnut and Its Estimation by Flame Photometry. AkiNik Publ 2017, 5, 1757–1763. [Google Scholar]
- Prkić, A.; Jurić, A.; Giljanović, J.; Politeo, N.; Sokol, V.; Bošković, P.; Brkljača, M.; Stipišić, A.; Fernandez, C.; Vukušić, T. Monitoring Content of Cadmium, Calcium, Copper, Iron, Lead, Magnesium and Manganese in Tea Leaves by Electrothermal and Flame Atomizer Atomic Absorption Spectrometry. Open Chem. 2017, 15, 200–207. [Google Scholar] [CrossRef]
- Sadasivam, S.; Manickam, A. Biochemical Methods for Agricultural Science, 2nd ed.; Wiley Eastern Ltd.: New Delhi, India, 1992; ISBN 8122403883/9788122403886. [Google Scholar]
- Bates, L.S.; Waldan, R.P.; Teare, L.D. Rapid Determination of Free Proline for Water Stress Studies-Annotated. Plant Soil 1973, 39, 205–207. [Google Scholar] [CrossRef]
- Machado, S.; Paulsen, G.M. Combined Effects of Drought and High Temperature on Water Relations of Wheat and Sorghum. Plant Soil 2001, 233, 179–187. [Google Scholar] [CrossRef]
- Munns, R. Comparative Physiology of Salt and Water Stress. Plant Cell Environ. 2002, 25, 239–250. [Google Scholar] [CrossRef] [PubMed]
- Sharp, R.E. Interaction with Ethylene: Changing Views on the Role of Abscisic Acid in Root and Shoot Growth Responses to Water Stress. Plant Cell Environ. 2002, 25, 211–222. [Google Scholar] [CrossRef]
- Hassine, A.B.; Lutts, S. Differential Responses of Saltbush Atriplex Halimus L. Exposed to Salinity and Water Stress in Relation to Senescing Hormones Abscisic Acid and Ethylene. J. Plant Physiol. 2010, 167, 1448–1456. [Google Scholar] [CrossRef]
- Salazar, C.; Hernandez, C.; Pino, M.T. Plant Water Stress: Associations between Ethylene and Abscisic Acid Response. Chil. J. Agric. Res. 2015, 75, 71–79. [Google Scholar] [CrossRef]
- Pardos, J.; Serrano, L.; Pugnaire, F. Constraints by Water Stress on Plant Growth. In Handbook of Plant and Crop Stress; CRC Press: Boca Raton, FL, USA, 1999; pp. 271–283. [Google Scholar]
- Steudle, E. Water Uptake by Roots: Effects of Water Deficit. J. Exp. Bot. 2000, 51, 1531–1542. [Google Scholar] [CrossRef]
- Hsiao, T.C.; Xu, L.K. Sensitivity of with of Roots versus Leaves to Water Stress: Biophysical Analysis and Relation to Water. J. Exp. Bot. 2000, 51, 1595–1616. [Google Scholar] [CrossRef] [PubMed]
- Escalona, J.M.; Flexas, J.; Medrano, H. Stomatal and Non-Stomatal Limitations of Photosynthesis under Water Stress in Field-Grown Grapevines. Funct. Plant Biol. 2000, 27, 87. [Google Scholar] [CrossRef]
- Liu, W.J.; Yuan, S.; Zhang, N.H.; Lei, T.; Duan, H.G.; Liang, H.G.; Lin, H.H. Effect of Water Stress on Photosystem 2 in Two Wheat Cultivars. Biol. Plant. 2006, 50, 597–602. [Google Scholar] [CrossRef]
- Sharma, A.; Kumar, V.; Shahzad, B.; Ramakrishnan, M.; Singh Sidhu, G.P.; Bali, A.S.; Handa, N.; Kapoor, D.; Yadav, P.; Khanna, K.; et al. Photosynthetic Response of Plants Under Different Abiotic Stresses: A Review. J. Plant Growth Regul. 2020, 39, 509–531. [Google Scholar] [CrossRef]
- Kim, M.R.; Khaleda, L.; Jung, I.J.; Kim, J.Y.; Lee, S.Y.; Cha, J.Y.; Kim, W.Y. Overexpression of Chloroplast-Localized NADPH-Dependent Thioredoxin Reductase C (NTRC) Enhances Tolerance to Photo-Oxidative and Drought Stresses in Arabidopsis Thaliana. J. Plant Biol. 2017, 60, 175–180. [Google Scholar] [CrossRef]
- Becklin, K.M.; Mullinix, G.W.R.; Ward, J.K. Host Plant Physiology and Mycorrhizal Functioning Shift across a Glacial through Future [CO2] Gradient. Plant Physiol. 2016, 172, 789–801. [Google Scholar] [CrossRef] [PubMed]
- Sever, K.; Bogdan, S.; Franjić, J.; Škvorc, Ž. Nondestructive Estimation of Photosynthetic Pigment Concentrations in Pedunculate Oak (Quercus robur L.) Leaves. Sumar. List 2018, 142, 247–257. [Google Scholar] [CrossRef]
- Abd El-Mageed, T.A.; El-Samnoudi, I.M.; Ibrahim, A.E.-A.M.; Abd El Tawwab, A.R. Compost and Mulching Modulates Morphological, Physiological Responses and Water Use Efficiency in Sorghum (Bicolor L. Moench) under Low Moisture Regime. Agric. Water Manag. 2018, 208, 431–439. [Google Scholar] [CrossRef]
- Duo, L.A.; Liu, C.X.; Zhao, S.L. Alleviation of Drought Stress in Turfgrass by the Combined Application of Nano-Compost and Microbes from Compost. Russ. J. Plant Physiol. 2018, 65, 419–426. [Google Scholar] [CrossRef]
- Queiroz, M.I.; Fernandes, A.S.; Deprá, M.C.; Jacob-Lopes, E.; Zepka, L.Q. Introductory Chapter: Chlorophyll Molecules and Their Technological Relevance. In Chlorophyll; Jacob-Lopes, E., Zepka, L.Q., Queiroz, M.I., Eds.; InTech: London, UK, 2017; pp. 1–5. [Google Scholar]
- Czarnocka, W.; Karpiński, S. Friend or Foe? Reactive Oxygen Species Production, Scavenging and Signaling in Plant Response to Environmental Stresses. Free Radic. Biol. Med. 2018, 122, 4–20. [Google Scholar] [CrossRef]
- Rolny, N.; Costa, L.; Carrión, C.; Guiamet, J.J. Is the Electrolyte Leakage Assay an Unequivocal Test of Membrane Deterioration during Leaf Senescence? Plant Physiol. Biochem. 2011, 49, 1220–1227. [Google Scholar] [CrossRef] [PubMed]
- Zhang, J.; Li, H.; Xu, B.; Li, J.; Huang, B. Exogenous Melatonin Suppresses Dark-Induced Leaf Senescence by Activating the Superoxide Dismutase-Catalase Antioxidant Pathway and Down-Regulating Chlorophyll Degradation in Excised Leaves of Perennial Ryegrass (Lolium perenne L.). Front. Plant Sci. 2016, 7, 1500. [Google Scholar] [CrossRef]
- Shareef, H.J.; Abdi, G.; Fahad, S. Change in Photosynthetic Pigments of Date Palm Offshoots under Abiotic Stress Factors. Folia Oecologica 2020, 47, 45–51. [Google Scholar] [CrossRef]
- Mohammed, M.; Hamdoun, H.; Sagheer, A. Toward Sustainable Farming: Implementing Artificial Intelligence to Predict Optimum Water and Energy Requirements for Sensor-Based Micro Irrigation Systems Powered by Solar PV. Agronomy 2023, 13, 1081. [Google Scholar] [CrossRef]
- Pietragalla, J.; Mullan, D. Leaf Relative Water Content. In Physiol. Breed. II A Field Guide to Wheat Genotyping Pask, AJD; Pietragalla, J., Mullan, D.M., Reynolds, M.P., Eds.; CIMMYT: Veracruz, Mexico, 2012; pp. 25–27. ISBN 978-970-648-182-5. [Google Scholar]
- Blokhina, O.; Virolinen, E.; Fagerstedt, K.V. Anti Oxidants, Oxidative Damage and Oxygen Deprivation Stress. Ann. Bot. 2003, 91, 179–194. [Google Scholar] [CrossRef] [PubMed]
- Blackman, S.A.; Obendorf, R.L.; Leopold, A.C. Desiccation Tolerance in Developing Soybean Seeds: The Role of Stress Proteins. Physiol. Plant. 1995, 93, 630–638. [Google Scholar] [CrossRef]
- Al-Khateeb, S.A.; Al-Khateeb, A.A.; El-Beltagi, H.S.; Sattar, M.N. Genotypic Variation for Drought Tolerance in Three Date Palm (Phoenix dactylifera L.) Cultivars. Fresenius Environ. Bull. 2019, 28, 4671–4683. [Google Scholar]
- Alhajhoj, M.R.; Munir, M.; Sudhakar, B.; Ali-Dinar, H.M.; Iqbal, Z. Common and Novel Metabolic Pathways Related ESTs Were Upregulated in Three Date Palm Cultivars to Ameliorate Drought Stress. Sci. Rep. 2022, 12, 15027. [Google Scholar] [CrossRef]
- Baslam, M.; Qaddoury, A.; Goicoechea, N. Role of Native and Exotic Mycorrhizal Symbiosis to Develop Morphological, Physiological and Biochemical Responses Coping with Water Drought of Date Palm, Phoenix dactylifera. Trees-Struct. Funct. 2014, 28, 161–172. [Google Scholar] [CrossRef]
- Rodríguez-Gamir, J.; Primo-Millo, E.; Forner, J.B.; Forner-Giner, M.A. Citrus Rootstock Responses to Water Stress. Sci. Hortic. 2010, 126, 95–102. [Google Scholar] [CrossRef]
- Shao, H.B.; Chu, L.Y.; Jaleel, C.A.; Zhao, C.X. Water-Deficit Stress-Induced Anatomical Changes in Higher Plants. Comptes Rendus-Biol. 2008, 331, 215–225. [Google Scholar] [CrossRef]
- Farooq, M.; Wahid, A.; Kobayashi, N.; Fujita, D.; Basra, S.M.A. Plant Drought Stress: Effects, Mechanisms and Management. Agron. Sustain. Dev. 2009, 29, 185–212. [Google Scholar] [CrossRef]
- Abdul Jaleel, C.; Gopi, R.; Sankar, B.; Manivannan, P.; Kishorekumar, A.; Sridharan, R.; Panneerselvam, R. Studies on Germination, Seedling Vigour, Lipid Peroxidation and Proline Metabolism in Catharanthus Roseus Seedlings under Salt Stress. S. Afr. J. Bot. 2007, 73, 190–195. [Google Scholar] [CrossRef]
- Fageria, N.K.; Moreira, A. The Role of Mineral Nutrition on Root Growth of Crop Plants. Adv. Agron. 2011, 110, 251–331. [Google Scholar]
- Gribaa, A.; Dardelle, F.; Lehner, A.; Rihouey, C.; Burel, C.; Ferchichi, A.; Driouich, A.; Mollet, J.C. Effect of Water Deficit on the Cell Wall of the Date Palm (Phoenix dactylifera “Deglet Nour”, Arecales) Fruit during Development. Plant Cell Environ. 2013, 36, 1056–1070. [Google Scholar] [CrossRef] [PubMed]
- Suleman, P.; Al-Musallam, A.; Menezes, C.A. The Effect of Solute Potential and Water Stress on Black Scorch Caused by Chalara Paradoxa and Chalara Radicicola on Date Palms. Plant Dis. 2001, 85, 80–83. [Google Scholar] [CrossRef] [PubMed]
- Akensous, F.Z.; Anli, M.; Boutasknit, A.; Ben-Laouane, R.; Ait-Rahou, Y.; Ahmed, H.B.; Nasri, N.; Hafidi, M.; Meddich, A. Boosting Date Palm (Phoenix dactylifera L.) Growth under Drought Stress: Effects of Innovative Biostimulants. Gesunde Pflanz. 2022, 74, 961–982. [Google Scholar] [CrossRef]
- Prajapati, K.; Modi, H.A. The Importance of Potassium in Plant Growth—A Review. Indian J. Plant Sci. 2016, 1, 177–186. [Google Scholar]
- Wang, M.; Zheng, Q.; Shen, Q.; Guo, S. The Critical Role of Potassium in Plant Stress Response. Int. J. Mol. Sci. 2013, 14, 7370–7390. [Google Scholar] [CrossRef]
- Pandey, G.K.; Mahiwal, S. Role of Potassium in Plants; Springer: Cham, Switzerland, 2020; Volume 49, ISBN 978-3-030-45952-9. [Google Scholar]
- Sonnenberg, D.M. The Effects of Various Drip Fertigated Water Quantities on Hydroponically Cultivated Cucumis sativa L. Master’s Thesis, Cape Peninsula University of Technology, Cape Girardeau, MO, USA, 2012. [Google Scholar]
- Ehonen, S.; Yarmolinsky, D.; Kollist, H.; Kangasjärvi, J. Reactive Oxygen Species, Photosynthesis, and Environment in the Regulation of Stomata. Antioxid. Redox Signal. 2019, 30, 1220–1237. [Google Scholar] [CrossRef]
- Hu, Y.; Schmidhalter, U. Drought and Salinity: A Comparison of Their Effects on Mineral Nutrition of Plants. J. Plant Nutr. Soil Sci. 2005, 168, 541–549. [Google Scholar] [CrossRef]
- Ge, T.D.; Sun, N.B.; Bai, L.P.; Tong, C.L.; Sui, F.G. Effects of Drought Stress on Phosphorus and Potassium Uptake Dynamics in Summer Maize (Zea mays) throughout the Growth Cycle. Acta Physiol. Plant. 2014, 36, 2179–2186. [Google Scholar] [CrossRef]
- Benhiba, L.; Fouad, M.O.; Essahibi, A.; Ghoulam, C.; Qaddoury, A. Arbuscular Mycorrhizal Symbiosis Enhanced Growth and Antioxidant Metabolism in Date Palm Subjected to Long-Term Drought. Trees-Struct. Funct. 2015, 29, 1725–1733. [Google Scholar] [CrossRef]
- Allen, G.J.; Chu, S.P.; Harrington, C.L.; Schumacher, K.; Hoffmann, T.; Tang, Y.Y.; Grill, E.; Schroeder, J.I. A Defined Range of Guard Cell Calcium Oscillation Parameters Encodes Stomatal Movements. Nature 2001, 411, 1053–1057. [Google Scholar] [CrossRef] [PubMed]
- Pel, Z.M.; Murata, Y.; Benning, G.; Thomine, S.; Klüsener, B.; Allen, G.J.; Grill, E.; Schroeder, J.I. Calcium Channels Activated by Hydrogen Peroxide Mediate Abscisic Acid Signalling in Guard Cells. Nature 2000, 406, 731–734. [Google Scholar] [CrossRef]
- Ward, J.M.; Pei, Z.M.; Schroeder, J.I. Roles of Ion Channels in Initiation of Signal Transduction in Higher Plants. Plant Cell 1995, 7, 833–844. [Google Scholar] [CrossRef] [PubMed]
- Nomura, H.; Komori, T.; Kobori, M.; Nakahira, Y.; Shiina, T. Evidence for Chloroplast Control of External Ca2+-Induced Cytosolic Ca2+ Transients and Stomatal Closure. Plant J. 2008, 53, 988–998. [Google Scholar] [CrossRef]
- Ahmadi, H.; Abbasi, A.; Taleei, A.; Mohammadi, V.; Pueyo, J.J. Antioxidant Response and Calcium-Dependent Protein Kinases Involvement in Canola (Brassica napus L.) Tolerance to Drought. Agronomy 2022, 12, 125. [Google Scholar] [CrossRef]
- Manzoor Alam, S. Nutrient Uptake by Plants Under Stress Conditions. In Handbook of Plant and Crop Stress; Marcel Dekker: New York, NY, USA, 1999; Volume 2, pp. 285–313. [Google Scholar]
- Alikhani-Koupaei, M.; Fatahi, R.; Zamani, Z.; Salimi, S. Effects of Deficit Irrigation on Some Physiological Traits, Production and Fruit Quality of ‘Mazafati’ Date Palm and the Fruit Wilting and Dropping Disorder. Agric. Water Manag. 2018, 209, 219–227. [Google Scholar] [CrossRef]
- Marsal, J.; Lopez, G.; Mata, M.; Girona, J. Postharvest Deficit Irrigation in “Conference” Pear: Effects on Subsequent Yield and Fruit Quality. Agric. Water Manag. 2012, 103, 1–7. [Google Scholar] [CrossRef]
- Kaya, C.; Tuna, L.; Higgs, D. Effect of Silicon on Plant Growth and Mineral Nutrition of Maize Grown under Water-Stress Conditions. J. Plant Nutr. 2006, 29, 1469–1480. [Google Scholar] [CrossRef]
- Li, L.; Xing, J.; Ma, H.; Liu, F.; Wang, Y. In Situ Determination of Guard Cell Ion Flux Underpins the Mechanism of ABA-Mediated Stomatal Closure in Barley Plants Exposed to PEG-Induced Drought Stress. Environ. Exp. Bot. 2021, 187, 104468. [Google Scholar] [CrossRef]
- Cusuman, J.C. Osmoregulation in Plants: Implications for Agriculture. Am. Zool. 2001, 41, 758–769. [Google Scholar] [CrossRef]
- Al-Khayri, J.M.; Al-Bahrany, A.M. Callus Growth and Proline Accumulation in Response to Sorbitol and Sucrose-Induced Osmotic Stress in Rice. Biol. Plant. 2002, 45, 609–611. [Google Scholar] [CrossRef]
- Al-Khayri, J.M.; Al-Bahrany, A.M. Growth, Water Content, and Proline Accumulation in Drought-Stressed Callus of Date Palm. Biol. Plant. 2004, 48, 105–108. [Google Scholar] [CrossRef]
- Al Kharusi, L.; Sunkar, R.; Al-Yahyai, R.; Yaish, M.W. Comparative Water Relations of Two Contrasting Date Palm Genotypes under Salinity. Int. J. Agron. 2019, 2019, 1–16. [Google Scholar] [CrossRef]
- Safronov, O.; Kreuzwieser, J.; Haberer, G.; Alyousif, M.S.; Schulze, W.; Al-Harbi, N.; Arab, L.; Ache, P.; Stempfl, T.; Kruse, J.; et al. Detecting Early Signs of Heat and Drought Stress in Phoenix dactylifera (Date Palm). PLoS ONE 2017, 12, e0177883. [Google Scholar] [CrossRef]
- Yaish, M.W. Proline Accumulation Is a General Response to Abiotic Stress in the Date Palm Tree (Phoenix dactylifera L.). Genet. Mol. Res. 2015, 14, 9943–9950. [Google Scholar] [CrossRef]
- Sané, D.; Kneyta, M.O.; Diouf, D.; Diouf, D.; Badiane, F.A.; Sagna, M.; Borgel, A. Growth and Development of Date Palm (Phoenix dactylifera L.) Seedlings under Drought and Salinity Stresses. Afr. J. Biotechnol. 2005, 4, 968–972. [Google Scholar]











| Dry Weight (g Plant−1) | K+ Content (mMol g−1) | Ca2+ Content (mMol g−1) | Leaf Proline Content (µg g−1 FW) | |||||||
|---|---|---|---|---|---|---|---|---|---|---|
| Leaf | Stem | Root | Leaf | Stem | Root | Leaf | Stem | Root | ||
| Date palm cultivars | ||||||||||
| Khalas | 266.37 A | 113.40 A | 161.89 B | 1.23 A | 1.03 A | 0.58 A | 1.50 A | 1.19 A | 0.94 B | 1014.6 A |
| Barhee | 266.17 A | 110.11 AB | 164.16 AB | 1.11 B | 0.95 A | 0.52 B | 1.42 C | 1.12 B | 0.96 A | 1002.8 AB |
| Hilali | 264.33 AB | 107.60 B | 163.75 AB | 1.08 B | 0.97 A | 0.47 C | 1.40 C | 1.14 B | 0.94 B | 989.1 B |
| Ashrasee | 262.28 B | 102.17 C | 165.64 A | 1.09 B | 0.83 B | 0.59 A | 1.47 B | 1.14 B | 0.91 C | 997.0 B |
| LSD (p < 0.05) | 3.19 * | 4.44 * | 3.11 * | 0.03 * | 0.11 * | 0.02 * | 0.02 * | 0.02 * | 0.01 * | 14.87 * |
| Irrigation levels | ||||||||||
| 100% ETc | 284.35 A | 136.50 A | 196.24 A | 1.34 A | 1.15 A | 0.67 A | 1.66 A | 1.34 A | 1.12 A | 769.7 D |
| 80% ETc | 277.05 B | 121.48 B | 180.37 B | 1.24 B | 1.09 A | 0.60 B | 1.58 B | 1.28 B | 1.06 B | 822.4 C |
| 60% ETc | 259.24 C | 105.12 C | 158.17 C | 1.10 C | 0.86 B | 0.53 C | 1.42 C | 1.13 C | 0.97 C | 1132.2 B |
| 40% ETc | 238.52 D | 70.18 D | 120.66 D | 0.84 D | 0.68 C | 0.37 D | 1.13 D | 0.84 D | 0.59 D | 1279.1 A |
| LSD (p < 0.05) | 3.19 * | 4.44 * | 3.11 * | 0.03 * | 0.11 * | 0.02 * | 0.02 * | 0.02 * | 0.01 * | 14.87 * |
| Interaction (Date palm cultivars × Irrigation levels) | ||||||||||
| Khalas × 100% ETc | 284.83 AB | 137.73 A | 196.53 A | 1.38 A | 1.18 A | 0.71 A | 1.69 A | 1.36 A | 1.13 A | 787.3 FG |
| Barhee × 100% ETc | 287.00 A | 135.97 AB | 196.73 A | 1.34 AB | 1.15 AB | 0.63 D | 1.62 BC | 1.31 BC | 1.12 A | 780.7 GH |
| Hilali × 100% ETc | 283.00 AC | 137.20 A | 193.87 A | 1.33 AB | 1.13 AC | 0.62 D | 1.68 A | 1.35 A | 1.13 A | 757.0 H |
| Ashrasee × 100% ETc | 282.57 AD | 135.10 AB | 197.83 A | 1.32 AB | 1.15 AB | 0.71 AB | 1.66 AB | 1.35 AB | 1.11 A | 753.7 H |
| Khalas × 80% ETc | 278.27 CE | 127.13 BC | 176.63 B | 1.30 B | 1.12 AC | 0.64 CD | 1.63 BC | 1.31 C | 1.07 BC | 797.7 FG |
| Barhee × 80% ETc | 278.77 BE | 119.43 CE | 181.83 B | 1.23 C | 1.08 AC | 0.55 E | 1.56 D | 1.26 D | 1.06 BC | 814.7 EF |
| Hilali × 80% ETc | 276.47 DE | 122.07 CD | 181.40 B | 1.21 C | 1.08 AC | 0.54 EF | 1.55 DE | 1.28 CD | 1.08 B | 833.3 E |
| Ashrasee × 80% ETc | 274.70 E | 117.30 DE | 181.60 B | 1.21 C | 1.07 AC | 0.67 BC | 1.61 C | 1.29 CD | 1.05 C | 844.0 E |
| Khalas × 60% ETc | 262.80 F | 112.73 EF | 157.10 C | 1.21 C | 1.05 AC | 0.58 E | 1.51 EF | 1.18 E | 0.97 E | 1159.0 C |
| Barhee × 60% ETc | 259.50 FG | 105.87 FG | 159.03 C | 1.08 D | 0.92 CE | 0.51 F | 1.41 G | 1.09 F | 0.96 E | 1115.0 D |
| Hilali × 60% ETc | 259.90 FG | 103.53 G | 157.80 C | 1.04 D | 0.95 BD | 0.46 G | 1.29 H | 1.10 F | 1.01 D | 1105.3 D |
| Ashrasee × 60% ETc | 254.77 G | 98.37 G | 158.77 C | 1.07 D | 0.55 G | 0.57 E | 1.49 F | 1.16 E | 0.96 E | 1149.7 C |
| Khalas × 40% ETc | 239.60 H | 76.00 HI | 117.30 E | 1.03 D | 0.77 DF | 0.41 HI | 1.19 I | 0.91 G | 0.59 G | 1314.3 A |
| Barhee × 40% ETc | 239.43 H | 79.17 H | 119.03 DE | 0.79 E | 0.65 FG | 0.38 I | 1.10 J | 0.85 H | 0.69 F | 1300.7 A |
| Hilali × 40% ETc | 237.97 H | 67.60 I | 121.93 DE | 0.76 E | 0.73 EG | 0.26 J | 1.10 J | 0.84 H | 0.54 H | 1260.7 B |
| Ashrasee × 40% ETc | 237.10 H | 57.93 J | 124.37 D | 0.77 E | 0.57 FG | 0.43 GH | 1.12 J | 0.78 I | 0.53 H | 1240.7 B |
| LSD (p < 0.05) | 6.38 * | 8.88 * | 6.22 * | 0.06 * | 0.21 * | 0.04 * | 0.04 * | 0.04 * | 0.03 * | 29.74 * |
Disclaimer/Publisher’s Note: The statements, opinions and data contained in all publications are solely those of the individual author(s) and contributor(s) and not of MDPI and/or the editor(s). MDPI and/or the editor(s) disclaim responsibility for any injury to people or property resulting from any ideas, methods, instructions or products referred to in the content. |
© 2023 by the authors. Licensee MDPI, Basel, Switzerland. This article is an open access article distributed under the terms and conditions of the Creative Commons Attribution (CC BY) license (https://creativecommons.org/licenses/by/4.0/).
Share and Cite
Ali-Dinar, H.; Munir, M.; Mohammed, M. Drought-Tolerance Screening of Date Palm Cultivars under Water Stress Conditions in Arid Regions. Agronomy 2023, 13, 2811. https://doi.org/10.3390/agronomy13112811
Ali-Dinar H, Munir M, Mohammed M. Drought-Tolerance Screening of Date Palm Cultivars under Water Stress Conditions in Arid Regions. Agronomy. 2023; 13(11):2811. https://doi.org/10.3390/agronomy13112811
Chicago/Turabian StyleAli-Dinar, Hassan, Muhammad Munir, and Maged Mohammed. 2023. "Drought-Tolerance Screening of Date Palm Cultivars under Water Stress Conditions in Arid Regions" Agronomy 13, no. 11: 2811. https://doi.org/10.3390/agronomy13112811
APA StyleAli-Dinar, H., Munir, M., & Mohammed, M. (2023). Drought-Tolerance Screening of Date Palm Cultivars under Water Stress Conditions in Arid Regions. Agronomy, 13(11), 2811. https://doi.org/10.3390/agronomy13112811

