CO2 Elevation and Nitrogen Supply Alter the Growth and Physiological Responses of Tomato and Barley Plants to Drought Stress
Abstract
:1. Introduction
2. Materials and Methods
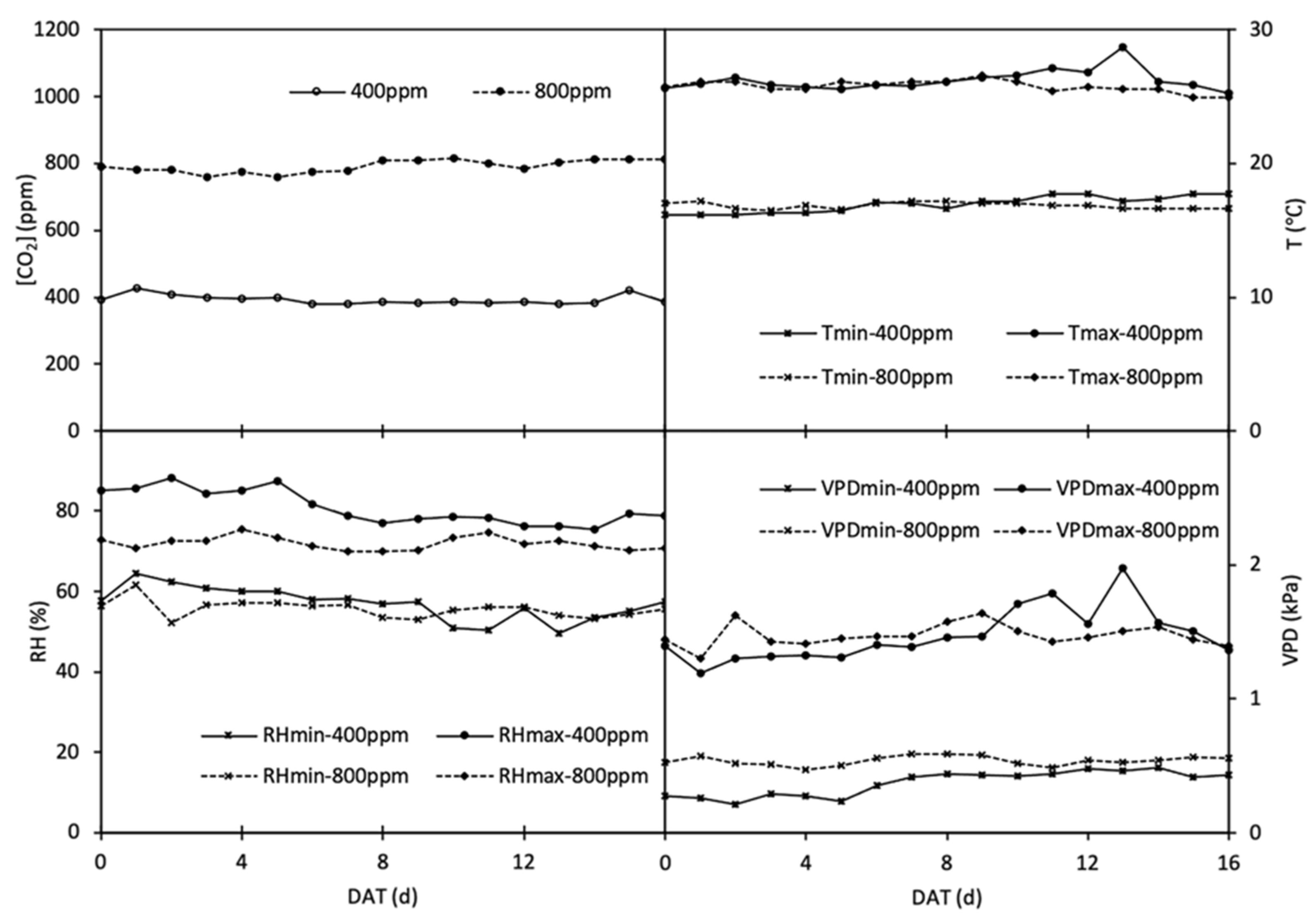
2.1. Experimental Setup
2.2. Measurement
2.2.1. Leaf Gas Exchange Rates
2.2.2. Plant–Water Relation Characteristics
2.2.3. Plant Transpiration, Dry Biomass Accumulation, Leaf Area, and Water Use Efficiency
2.2.4. C and N Concentrations and C:N Ratio in Leaves
2.2.5. Leaf ABA Concentration
2.3. Data Analysis and Statistics
3. Results
3.1. Leaf Gas Exchange and Stomatal Density
3.2. Plant Water Relations
3.3. Plant Water Consumption
3.4. Plant Dry Mass Accumulation and Water Use Efficiency in Plant
3.5. Leaf Area and Specific Leaf Area
3.6. C and N Concentrations in Leaf
3.7. Leaf ABA Concentration and the Relation with gs
4. Discussion
4.1. Responses of Leaf Gas Exchange to e[CO2] and N Treatments
4.2. Variations of Plant–Water Relations under e[CO2] and Different N Treatment
4.3. Responses of Plant Growth to e[CO2] under Different N Treatments
4.4. Responses of Leaf C:N Stoichiometry to e[CO2] and N Treatments
5. Conclusions
Author Contributions
Funding
Institutional Review Board Statement
Informed Consent Statement
Data Availability Statement
Conflicts of Interest
References
- Hansen, J.; Sato, M. Greenhouse gas growth rates. Proc. Natl. Acad. Sci. USA 2004, 101, 16109–16114. [Google Scholar] [CrossRef] [PubMed] [Green Version]
- Cotton, T.E.A.; Fitter, A.H.; Miller, R.M.; Dumbrell, A.J.; Helgason, T. Fungi in the future: Interannual variation and effects of atmospheric change on arbuscular mycorrhizal fungal communities. New Phytol. 2015, 205, 1598–1607. [Google Scholar] [CrossRef] [PubMed] [Green Version]
- Panneerselvam, P.; Kumar, U.; Senapati, A.; Parameswaran, C.; Anandan, A.; Kumar, A.; Jahan, A.; Padhy, S.R.; Nayak, A.K. Influence of elevated CO2 on arbuscular mycorrhizal fungal community elucidated using Illumina MiSeq platform in sub-humid tropical paddy soil. Appl. Soil Ecol. 2020, 145, 103344. [Google Scholar] [CrossRef]
- Kirtman, B.; Power, S.B.; Adedoyin, A.J.; Boer, G.J.; Bojariu, R.; Camilloni, I.; Doblas-Reyes, F.; Fiore, A.M.; Kimoto, M.; Meehl, G.; et al. Near-term Climate Change: Projections and Predictability. In Climate Change 2013: The Physical Science Basis. Contribution of Working Group I to the Fifth Assessment Report of the Intergovernmental Panel on Climate Change; Stocker, T.F., Qin, D., Plattner, G.-K., Tignor, M., Allen, S.K., Boschung, J., Nauels, A., Xia, Y., Bex, V., Midgley, P.M., Eds.; Cambridge University Press: Cambridge, UK; New York, NY, USA, 2013; pp. 953–1028. [Google Scholar]
- Lawlor, D.W. Carbon and nitrogen assimilation in relation to yield: Mechanisms are the key to understanding production systems. J. Exp. Bot. 2002, 53, 773–787. [Google Scholar] [CrossRef] [PubMed]
- Li, X.; Jiang, D.; Liu, F. Dynamics of amino acid carbon and nitrogen and relationship with grain protein in wheat under elevated CO 2 and soil warming. Environ. Exp. Bot. 2016, 132, 121–129. [Google Scholar] [CrossRef]
- Myers, S.S.; Zanobetti, A.; Kloog, I.; Huybers, P.; Leakey, A.D.B.; Bloom, A.J.; Carlisle, E.; Dietterich, L.H.; Fitzgerald, G.; Hasegawa, T.; et al. Increasing CO2 threatens human nutrition. Nature 2014, 510, 139–142. [Google Scholar] [CrossRef] [PubMed]
- Way, D.A.; Oren, R.; Kroner, Y. The space-time continuum: The effects of elevated CO2 and temperature on trees and the importance of scaling. Plant Cell Environ. 2015, 38, 991–1007. [Google Scholar] [CrossRef]
- Fauset, S.; Oliveira, L.; Buckeridge, M.S.; Foyer, C.H.; Galbraith, D.; Tiwari, R.; Gloor, M. Contrasting responses of stomatal conductance and photosynthetic capacity to warming and elevated CO2 in the tropical tree species Alchornea glandulosa under heatwave conditions. Environ. Exp. Bot. 2019, 158, 28–39. [Google Scholar] [CrossRef]
- Wei, Z.; Du, T.; Li, X.; Fang, L.; Liu, F. Interactive effects of CO2 concentration elevation and nitrogen fertilization on water and nitrogen use efficiency of tomato grown under reduced irrigation regimes. Agric. Water Manag. 2018, 202, 174–182. [Google Scholar] [CrossRef]
- Leakey, A.; Ainsworth, E.A.; Bernacchi, C.; Rogers, A.; Long, S.; Ort, D.R. Elevated CO2 effects on plant carbon, nitrogen, and water relations: Six important lessons from FACE. J. Exp. Bot. 2009, 60, 2859–2876. [Google Scholar] [CrossRef]
- Shangguan, Z.; Shao, M.; Dyckmans, J. Nitrogen nutrition and water stress effects on leaf photosynthetic gas exchange and water use efficiency in winter wheat. Environ. Exp. Bot. 2000, 44, 141–149. [Google Scholar] [CrossRef]
- Zhao, D.; Reddy, K.R.; Kakani, V.G.; Reddy, V. Nitrogen deficiency effects on plant growth, leaf photosynthesis, and hyperspectral reflectance properties of sorghum. Eur. J. Agron. 2005, 22, 391–403. [Google Scholar] [CrossRef]
- Dordas, C.A.; Sioulas, C. Safflower yield, chlorophyll content, photosynthesis, and water use efficiency response to nitrogen fertilization under rainfed conditions. Ind. Crop. Prod. 2008, 27, 75–85. [Google Scholar] [CrossRef]
- Ciompi, S.; Gentili, E.; Guidi, L.; Soldatini, G.F. The effect of nitrogen deficiency on leaf gas exchange and chlorophyll fluorescence parameters in sunflower. Plant Sci. 1996, 118, 177–184. [Google Scholar] [CrossRef]
- Wang, C.; Wu, S.; Tankari, M.; Zhang, X.; Li, L.; Gong, D.; Hao, W.; Zhang, Y.; Mei, X.; Wang, Y.; et al. Stomatal aperture rather than nitrogen nutrition determined water use efficiency of tomato plants under nitrogen fertigation. Agric. Water Manag. 2018, 209, 94–101. [Google Scholar] [CrossRef]
- Liu, F.; Andersen, M.N.; Jacobsen, S.-E.; Jensen, C.R. Stomatal control and water use efficiency of soybean (Glycine max L. Merr.) during progressive soil drying. Environ. Exp. Bot. 2005, 54, 33–40. [Google Scholar] [CrossRef]
- Wang, Y.; Liu, F.; Andersen, M.N.; Jensen, C.R. Improved plant nitrogen nutrition contributes to higher water use efficiency in tomatoes under alternate partial root-zone irrigation. Funct. Plant Biol. 2010, 37, 175–182. [Google Scholar] [CrossRef]
- Zhang, F.-P.; Sussmilch, F.; Nichols, D.S.; Cardoso, A.A.; Brodribb, T.J.; McAdam, S.A.M. Leaves, not roots or floral tissue, are the main site of rapid, external pressure-induced ABA biosynthesis in angiosperms. J. Exp. Bot. 2018, 69, 1261–1267. [Google Scholar] [CrossRef] [PubMed]
- Liu, J.; Hu, T.; Fang, L.; Peng, X.; Liu, F. CO2 elevation modulates the response of leaf gas exchange to progressive soil drying in tomato plants. Agric. For. Meteorol. 2019, 268, 181–188. [Google Scholar] [CrossRef]
- Li, S.; Li, X.; Wei, Z.; Liu, F. ABA-mediated modulation of elevated CO2 on stomatal response to drought. Curr. Opin. Plant Biol. 2020, 56, 174–180. [Google Scholar] [CrossRef] [PubMed]
- Engineer, C.B.; Hashimoto-Sugimoto, M.; Negi, J.; Israelsson-Nordström, M.; Azoulay-Shemer, T.; Rappel, W.-J.; Iba, K.; Schroeder, J.I. CO2 Sensing and CO2 Regulation of Stomatal Conductance: Advances and Open Questions. Trends Plant Sci. 2016, 21, 16–30. [Google Scholar] [CrossRef] [PubMed] [Green Version]
- Tausz-Posch, S.; Dempsey, R.W.; Seneweera, S.; Norton, R.M.; Fitzgerald, G.; Tausz, M. Does a freely tillering wheat cultivar benefit more from elevated CO2 than a restricted tillering cultivar in a water-limited environment? Eur. J. Agron. 2015, 64, 21–28. [Google Scholar] [CrossRef]
- Teplova, I.; Veselov, S.; Kudoyarova, G. Changes in ABA and IAA content in the roots and shoots of wheat seedlings under nitrogen deficiency. In Root Demographics and Their Efficiencies in Sustainable Agriculture, Grasslands and Forest Ecosystems; Springer: Dordrecht, The Netherlands, 1998; pp. 599–605. [Google Scholar]
- Wei, Z.; Fang, L.; Li, X.; Liu, J.; Liu, F. Effects of elevated atmospheric CO2 on leaf gas exchange response to progressive drought in barley and tomato plants with different endogenous ABA levels. Plant Soil 2020, 447, 431–446. [Google Scholar] [CrossRef]
- Drake, B.G.; Gonzalez-Meler, M.A.; Long, S.P. More efficient plants: A consequence of rising atmospheric CO2? Annu. Rev. Plant Physiol. Plant Mol. Biol. 1997, 48, 609–639. [Google Scholar] [CrossRef] [PubMed] [Green Version]
- Pazzagli, P.T.; Weiner, J.; Liu, F. Effects of CO2 elevation and irrigation regimes on leaf gas exchange, plant water relations, and water use efficiency of two tomato cultivars. Agric. Water Manag. 2016, 169, 26–33. [Google Scholar] [CrossRef]
- Yang, X.; Zhang, P.; Wei, Z.; Liu, J.; Hu, X.; Liu, F. Effects of elevated CO2 and nitrogen supply on leaf gas exchange, plant water relations and nutrient uptake of tomato plants exposed to progressive soil drying. Sci. Hortic. 2022, 292, 110643. [Google Scholar] [CrossRef]
- Cai, J.; Jiang, D.; Wollenweber, B.; Dai, T.; Cao, W. Effects of nitrogen application rate on dry matter redistribution, grain yield, nitrogen use efficiency and photosynthesis in malting barley. Acta Agric. Scand. Sect. B—Soil Plant Sci. 2012, 62, 410–419. [Google Scholar] [CrossRef]
- Tambussi, E.; Nogues, S.; Ferrio, P.; Voltas, J.; Araus, J. Does higher yield potential improve barley performance in Mediterranean conditions?: A case study. Field Crop. Res. 2005, 91, 149–160. [Google Scholar] [CrossRef]
- Gonzalez-Dugo, V.; Durand, J.L.; Gastal, F. Water deficit and nitrogen nutrition of crops. A review. Agron. Sustain. Dev. 2010, 30, 539–544. [Google Scholar] [CrossRef] [Green Version]
- Jiang, D.; Fan, X.; Dai, T.; Cao, W. Nitrogen fertiliser rate and post-anthesis waterlogging effects on carbohydrate and nitrogen dynamics in wheat. Plant Soil 2008, 304, 301–314. [Google Scholar] [CrossRef]
- Cernusak, L.A.; Winter, K.; Aranda, J.; Turner, B.L.; Marshall, J.D. Transpiration efficiency of a tropical pioneer tree (Ficus insipida) in relation to soil fertility. J. Exp. Bot. 2007, 58, 3549–3566. [Google Scholar] [CrossRef] [PubMed]
- Cabrera-Bosquet, L.; Molero, G.; Nogués, S.; Araus, J.L. Water and nitrogen conditions affect the relationships of Δ13C and Δ18O to gas exchange and growth in durum wheat. J. Exp. Bot. 2009, 60, 1633–1644. [Google Scholar] [CrossRef]
- Warren, C.R.; Dreyer, E. Temperature response of photosynthesis and internal conductance to CO2: Results from two independent approaches. J. Exp. Bot. 2006, 57, 3057–3067. [Google Scholar] [CrossRef] [PubMed] [Green Version]
- Meidner, H.; Mansfield, T.A. Physiology of Stomata; McGraw-Hill: London, UK, 1968. [Google Scholar]
- Yu, G.; Wang, Q. Ecophysiology of Plant Photosynthesis, Transpiration, and Water Use; Science Press: Beijing, China, 2010. [Google Scholar]
- Wang, C.; Sun, Y.; Chen, H.Y.; Ruan, H. Effects of elevated CO2 on the C:N stoichiometry of plants, soils, and microorganisms in terrestrial ecosystems. Catena 2021, 201, 105219. [Google Scholar] [CrossRef]
- Huppe, H.C.; Turpin, D.H. Integration of Carbon and Nitrogen Metabolism in Plant and Algal Cells. Annu. Rev. Plant Biol. 1994, 45, 577–607. [Google Scholar] [CrossRef]
- Cechin, I.; Fumis, T.d.F. Effect of nitrogen supply on growth and photosynthesis of sunflower plants grown in the greenhouse. Plant Sci. 2004, 166, 1379–1385. [Google Scholar] [CrossRef]
- Yang, Y.; Luo, Y.; Lu, M.; Schädel, C.; Han, W. Terrestrial C:N stoichiometry in response to elevated CO2 and N addition: A synthesis of two meta-analyses. Plant Soil 2011, 343, 393–400. [Google Scholar] [CrossRef]
- Yuanshengtaiseeds. Kaideyali 1832. Available online: http://www.ystseeds.com/shop/fqzz/fgfq/120.html (accessed on 6 May 2022).
- Liu, F.; Stützel, H. Leaf water relations of vegetable amaranth (Amaranthus spp.) in response to soil drying. Eur. J. Agron. 2002, 16, 137–150. [Google Scholar] [CrossRef]
- Zhang, P.; Yang, X.; Chen, Y.; Wei, Z.; Liu, F. Dissecting the combined effects of air temperature and relative humidity on water-use efficiency of barley under drought stress. J. Agron. Crop Sci. 2021, 207, 606–617. [Google Scholar] [CrossRef]
- Yang, X.; Shao, M.; Li, T.; Zhang, Q.; Gan, M.; Chen, M.; Bai, X. Distribution of soil nutrients under typical artificial vegetation in the desert–loess transition zone. Catena 2021, 200, 105165. [Google Scholar] [CrossRef]
- Asch, F. Determination of Abscisic Acid by Indirect Enzyme Linked Immuno Sorbent Assay (ELISA); Laboratory for Agro-hydrology and Bioclimatology, Department of Agricultural Sciences, The Royal Veterinary and Agricultural University: Taastrup, Denmark, 2000; pp. 12–56. [Google Scholar]
- Yan, F.; Li, X.; Liu, F. ABA signaling and stomatal control in tomato plants exposure to progressive soil drying under ambient and elevated atmospheric CO2 concentration. Environ. Exp. Bot. 2017, 139, 99–104. [Google Scholar] [CrossRef]
- Slot, M.; Rifai, S.W.; Winter, K. Photosynthetic plasticity of a tropical tree species, Tabebuia rosea, in response to elevated temperature and [CO2]. Plant Cell Environ. 2021, 44, 2347–2364. [Google Scholar] [CrossRef] [PubMed]
- Eamus, D. Responses of field grown trees to CO2 enrichment. Commonw. For. Rev. 1996, 1, 39–47. [Google Scholar]
- Reid, C.D.; Maherali, H.; Johnson, H.B.; Smith, S.D.; Wullschleger, S.D.; Jackson, R.B. On the relationship between stomatal characters and atmospheric CO2. Geophys. Res. Lett. 2003, 30. [Google Scholar] [CrossRef] [Green Version]
- Saxe, H.; Ellsworth, D.S.; Heath, J. Tree and forest functioning in an enriched CO2 atmosphere. New Phytol. 1998, 139, 395–436. [Google Scholar] [CrossRef]
- Field, C.; Mooney, H.A. The photosynthesis-nitrogen relationship in wild plants. In On the Economy of Plant Form and Function; Givnish, T.J., Ed.; Cambridge University Press: Cambridge, UK, 1986; pp. 25–55. [Google Scholar]
- Schulze, E.-D.; Kelliher, F.M.; Körner, C.; Lloyd, J.; Leuning, R. Relationships among maximum stomatal conductance, ecosystem surface conductance, carbon assimilation rate, and plant nitrogen nutrition: A global ecology scaling exercise. Annu. Rev. Ecol. Syst. 1994, 25, 629–662. [Google Scholar] [CrossRef]
- Franks, P.J.; Drake, P.L.; Beerling, D.J. Plasticity in maximum stomatal conductance constrained by negative correlation between stomatal size and density: An analysis using Eucalyptus globulus. Plant Cell Environ. 2009, 32, 1737–1748. [Google Scholar] [CrossRef] [PubMed]
- Ainsworth, E.A.; Rogers, A. The response of photosynthesis and stomatal conductance to rising [CO2]: Mechanisms and en-vironmental interactions. Plant Cell Environ. 2007, 30, 258–270. [Google Scholar] [CrossRef] [PubMed]
- Verslues, P.E. ABA and cytokinins: Challenge and opportunity for plant stress research. Plant Mol. Biol. 2016, 91, 629–640. [Google Scholar] [CrossRef] [PubMed]
- Yong, J.W.H.; Wong, S.C.; Letham, D.S.; Hocart, C.H.; Farquhar, G.D. Effects of Elevated [CO2] and Nitrogen Nutrition on Cytokinins in the Xylem Sap and Leaves of Cotton. Plant Physiol. 2000, 124, 767–780. [Google Scholar] [CrossRef] [PubMed] [Green Version]
- Masle, J. The Effects of Elevated CO2 Concentrations on Cell Division Rates, Growth Patterns, and Blade Anatomy in Young Wheat Plants Are Modulated by Factors Related to Leaf Position, Vernalization, and Genotype. Plant Physiol. 2000, 122, 1399–1416. [Google Scholar] [CrossRef] [Green Version]
- Jackson, M. Are plant hormones involved in root to shoot communication? Adv. Bot. Res. 1993, 19, 103–187. [Google Scholar]
- Chaves, M.M.; Costa, J.M.; Zarrouk, O.; Pinheiro, C.; Lopes, C.M.; Pereira, J.S. Controlling stomatal aperture in semi-arid regions—The dilemma of saving water or being cool? Plant Sci. 2016, 251, 54–64. [Google Scholar] [CrossRef] [PubMed]
- Dodd, I.C.; Theobald, J.C.; Richer, S.K.; Davies, W.J. Partial phenotypic reversion of ABA-deficient flacca tomato (Solanum lycopersicum) scions by a wild-type rootstock: Normalizing shoot ethylene relations promotes leaf area but does not diminish whole plant transpiration rate. J. Exp. Bot. 2009, 60, 4029–4039. [Google Scholar] [CrossRef]
- Bunce, J.A. Long-Term Growth of Alfalfa and Orchard Grass Plots at Elevated Carbon Dioxide. J. Biogeogr. 1995, 22, 341–348. [Google Scholar] [CrossRef]
- Kiba, T.; Kudo, T.; Kojima, M.; Sakakibara, H. Hormonal control of nitrogen acquisition: Roles of auxin, abscisic acid, and cytokinin. J. Exp. Bot. 2011, 62, 1399–1409. [Google Scholar] [CrossRef] [PubMed]
- Wullschleger, S.; Tschaplinski, T.; Norby, R. Plant water relations at elevated CO2–implications for water-limited environments. Plant Cell Environ. 2002, 25, 319–331. [Google Scholar] [CrossRef] [PubMed] [Green Version]
- Tardieu, F.; Simonneau, T. Variability among species of stomatal control under fluctuating soil water status and evaporative demand: Modelling isohydric and anisohydric behaviours. J. Exp. Bot. 1998, 49, 419–432. [Google Scholar] [CrossRef] [Green Version]
- Blackman, C.J.; Brodribb, T.J. Two measures of leaf capacitance: Insights into the water transport pathway and hydraulic conductance in leaves. Funct. Plant Biol. 2011, 38, 118–126. [Google Scholar] [CrossRef] [PubMed] [Green Version]
- Sack, L.; Cowan, P.D.; Jaikumar, N.; Holbrook, N.M. The ‘hydrology’ of leaves: Co-ordination of structure and function in temperate woody species. Plant Cell Environ. 2003, 26, 1343–1356. [Google Scholar] [CrossRef] [Green Version]
- Niinemets, Ü. Research review. Components of leaf dry mass per area–thickness and density–alter leaf photosynthetic capacity in reverse directions in woody plants. New Phytol. 1999, 144, 35–47. [Google Scholar] [CrossRef]
- Qiao, Y.; Zhang, H.; Dong, B.; Shi, C.; Li, Y.; Zhai, H.; Liu, M. Effects of elevated CO2 concentration on growth and water use efficiency of winter wheat under two soil water regimes. Agric. Water Manag. 2010, 97, 1742–1748. [Google Scholar] [CrossRef]
- Derner, J.; Polley, H.; Johnson, H.; Tischler, C. Root system response of C4 grass seedlings to CO2 and soil water. Plant Soil 2001, 231, 97–104. [Google Scholar] [CrossRef]
- Will, R.E.; Wilson, S.M.; Zou, C.B.; Hennessey, T.C. Increased vapor pressure deficit due to higher temperature leads to greater transpiration and faster mortality during drought for tree seedlings common to the forest–grassland ecotone. New Phytol. 2013, 200, 366–374. [Google Scholar] [CrossRef]
- Poorter, H.; Niinemets, Ü.; Poorter, L.; Wright, I.J.; Villar, R. Causes and consequences of variation in leaf mass per area (LMA): A meta-analysis. New Phytol. 2009, 182, 565–588. [Google Scholar] [CrossRef] [PubMed]
- Sims, D.A.; Seemann, J.R.; Luo, Y. Elevated CO2 concentration has independent effects on expansion rates and thickness of soybean leaves across light and nitrogen gradients. J. Exp. Bot. 1998, 49, 583–591. [Google Scholar] [CrossRef]
- Roumet, C.; Laurent, G.; Roy, J. Leaf structure and chemical composition as affected by elevated CO2: Genotypic responses of two perennial grasses. New Phytol. 1999, 143, 73–81. [Google Scholar] [CrossRef]
- Alvarez-Clare, S.; Kitajima, K. Physical defence traits enhance seedling survival of neotropical tree species. Funct. Ecol. 2007, 21, 1044–1054. [Google Scholar] [CrossRef]
- Lebauer, D.S.; Treseder, K.K. Nitrogen limitation of net primary productivity in terrestrial ecosystems is globally distributed. Ecology 2008, 89, 371–379. [Google Scholar] [CrossRef] [Green Version]
- Shields, L.M. Leaf xeromorphy as related to physiological and structural influences. Bot. Rev. 1950, 16, 399–447. [Google Scholar] [CrossRef]
- Mediavilla, S.; Garcia-Ciudad, A.; Garcia-Criado, B.; Escudero, A. Testing the correlations between leaf life span and leaf structural reinforcement in 13 species of European Mediterranean woody plants. Funct. Ecol. 2008, 22, 787–793. [Google Scholar] [CrossRef]
- Reich, P.B.; Ellsworth, D.S.; Walters, M.B. Leaf structure (specific leaf area) modulates photosynthesis-nitrogen relations: Evidence from within and across species and functional groups. Funct. Ecol. 1998, 12, 948–958. [Google Scholar] [CrossRef]
- Sardans, J.; Rivas-Ubach, A.; Peñuelas, J. The C:N:P stoichiometry of organisms and ecosystems in a changing world: A review and perspectives. Perspect. Plant Ecol. Evol. Syst. 2012, 14, 33–47. [Google Scholar] [CrossRef]
- McKenzie, S.W.; Johnson, S.N.; Jones, T.H.; Ostle, N.J.; Hails, R.S.; Vanbergen, A.J. Root herbivores drive changes to plant primary chemistry, but root loss is mitigated under elevated atmospheric CO2. Front. Plant Sci. 2016, 7, 837. [Google Scholar] [CrossRef] [Green Version]
- Deng, Q.; Hui, D.; Luo, Y.; Elser, J.; Wang, Y.P.; Loladze, I.; Zhang, Q.; Dennis, S. Down-regulation of tissue N:P ratios in terrestrial plants by elevated CO2. Ecology 2015, 96, 3354–3362. [Google Scholar] [CrossRef] [PubMed] [Green Version]
- Güsewell, S. N:P ratios in terrestrial plants: Variation and functional significance. New Phytol. 2004, 164, 243–266. [Google Scholar] [CrossRef]
- Gifford, R.M.; Barrett, D.J.; Lutze, J.L. The effects of elevated [CO2] on the C:N and C:P mass ratios of plant tissues. Plant Soil 2000, 224, 1–14. [Google Scholar] [CrossRef]
- He, J.-S.; Fang, J.; Wang, Z.; Guo, D.; Flynn, D.F.B.; Geng, Z. Stoichiometry and large-scale patterns of leaf carbon and nitrogen in the grassland biomes of China. Oecologia 2006, 149, 115–122. [Google Scholar] [CrossRef] [PubMed]
- Reich, P.B.; Oleksyn, J. Global patterns of plant leaf N and P in relation to temperature and latitude. Proc. Natl. Acad. Sci. USA 2004, 101, 11001–11006. [Google Scholar] [CrossRef] [Green Version]
- Elser, J.J.; Fagan, W.F.; Kerkhoff, A.J.; Swenson, N.G.; Enquist, B.J. Biological stoichiometry of plant production: Metabolism, scaling and ecological response to global change. New Phytol. 2010, 186, 593–608. [Google Scholar] [CrossRef] [Green Version]
- Reddy, A.R.; Rasineni, G.K.; Raghavendra, A.S. The impact of global elevated CO2 concentration on photosynthesis and plant productivity. Curr. Sci. 2010, 99, 46–57. [Google Scholar]
- Reich, P.B.; Tilman, D.; Craine, J.; Ellsworth, D.S.; Tjoelker, M.G.; Knops, J.; Wedin, D.; Naeem, S.; Bahauddin, D.; Goth, J. Do species and functional groups differ in acquisition and use of C, N and water under varying atmospheric CO2 and N availa-bility regimes? A field test with 16 grassland species. New Phytol. 2001, 150, 435–448. [Google Scholar] [CrossRef] [Green Version]
- Knops, J.M.H.; Naeem, S.; Reich, P.B. The impact of elevated CO2, increased nitrogen availability and biodiversity on plant tissue quality and decomposition. Glob. Chang. Biol. 2007, 13, 1960–1971. [Google Scholar] [CrossRef]
- Luo, Z.B.; Calfapietra, C.; Liberloo, M.; Scarascia-Mugnozza, G.; Polle, A. Carbon partitioning to mobile and structural frac-tions in poplar wood under elevated CO2 (EUROFACE) and N fertilization. Glob. Chang. Biol. 2006, 12, 272–283. [Google Scholar] [CrossRef]
- Cui, Q.; Lü, X.-T.; Wang, Q.-B.; Han, X.-G. Nitrogen fertilization and fire act independently on foliar stoichiometry in a temperate steppe. Plant Soil 2010, 334, 209–219. [Google Scholar] [CrossRef]








| [CO2] | Water Status | [N] | RWC | Ψ1 | WU | DMleaf | DMstem | ΔDM | WUE | LA | SLA | [C]leaf | [N]leaf | [C:N]leaf | [ABA]leaf |
|---|---|---|---|---|---|---|---|---|---|---|---|---|---|---|---|
| MPa | dm3 plant−1 | g | g | g | kg m−3 | cm2 | cm2 g−1 | mg g−1 | mg g−1 | ng g−1 FW | |||||
| 400 ppm | W | N1 | 0.93 ± 0.02 | −0.68 ± 0.06 | 5.86 ± 0.05 | 7.34 ± 0.29 | 12.61 ± 0.03 | 14.42 ± 0.27 | 2.46 ± 0.04 | 1934.47 ± 117.35 | 263.56 ± 12.65 | 449.20 ± 6.50 | 34.42 ± 0.46 | 13.05 ± 0.10 | 12.85 ± 0.50 |
| N2 | 0.94 ± 0.01 | −0.51 ± 0.11 | 5.90 ± 0.06 | 8.49 ± 0.23 | 12.63 ± 0.34 | 16.21 ± 0.35 | 2.75 ± 0.04 | 2288.88 ± 51.58 | 269.89 ± 3.75 | 468.18 ± 0.93 | 51.76 ± 0.93 | 9.05 ± 0.17 | 12.71 ± 0.67 | ||
| D | N1 | 0.54 ± 0.03 | −2.74 ± 0.17 | 0.99 ± 0.02 | 3.69 ± 0.12 | 3.74 ± 0.23 | 1.89 ± 0.22 | 1.92 ± 0.24 | 630.50 ± 29.15 | 170.93 ± 4.80 | 460.20 ± 4.16 | 45.47 ± 0.71 | 10.13 ± 0.22 | 180.36 ± 7.48 | |
| N2 | 0.58 ± 0.02 | −2.78 ± 0.15 | 0.96 ± 0.01 | 3.92 ± 0.08 | 3.75 ± 0.17 | 2.76 ± 0.24 | 2.87 ± 0.27 | 679.24 ± 18.96 | 173.65 ± 5.73 | 456.41 ± 3.07 | 49.94 ± 0.80 | 9.15 ± 0.19 | 130.77 ± 2.94 | ||
| R | N1 | 0.95 ± 0.01 | −0.52 ± 0.08 | 2.51 ± 0.02 | 5.88 ± 0.29 | 6.39 ± 0.07 | 6.74 ± 0.35 | 2.69 ± 0.12 | 1406.73 ± 82.73 | 238.76 ± 2.42 | 469.28 ± 1.70 | 39.64 ± 0.84 | 11.85 ± 0.24 | 19.41 ± 0.97 | |
| N2 | 0.94 ± 0.01 | −0.47 ± 0.04 | 2.50 ± 0.03 | 6.53 ± 0.20 | 6.77 ± 0.14 | 8.40 ± 0.33 | 3.36 ± 0.13 | 1667.84 ± 54.58 | 255.61 ± 8.40 | 469.48 ± 5.69 | 53.30 ± 0.28 | 8.81 ± 0.11 | 15.13 ± 0.40 | ||
| 800 ppm | W | N1 | 0.92 ± 0.01 | −0.97 ± 0.05 | 4.50 ± 0.34 | 4.35 ± 0.38 | 15.67 ± 0.46 | 14.84 ± 0.72 | 3.33 ± 0.17 | 969.03 ± 87.57 | 222.68 ± 1.40 | 460.76 ± 2.40 | 34.09 ± 1.67 | 13.62 ± 0.70 | 17.32 ± 0.85 |
| N2 | 0.94 ± 0.00 | −0.62 ± 0.08 | 5.58 ± 0.48 | 6.43 ± 0.78 | 18.81 ± 1.18 | 20.64 ± 1.77 | 3.72 ± 0.20 | 1509.75 ± 163.45 | 236.07 ± 9.42 | 473.20 ± 4.28 | 46.19 ± 1.18 | 10.27 ± 0.29 | 13.77 ± 0.43 | ||
| D | N1 | 0.53 ± 0.03 | −3.38 ± 0.18 | 0.97 ± 0.01 | 2.70 ± 0.29 | 5.08 ± 0.30 | 2.60 ± 0.53 | 2.69 ± 0.57 | 430.65 ± 23.00 | 163.62 ± 12.04 | 471.22 ± 3.55 | 36.41 ± 0.61 | 12.95 ± 0.18 | 157.44 ± 6.59 | |
| N2 | 0.66 ± 0.03 | −2.67 ± 0.13 | 0.92 ± 0.01 | 2.96 ± 0.47 | 5.54 ± 0.46 | 3.90 ± 0.89 | 4.27 ± 0.99 | 463.62 ± 28.59 | 164.97 ± 13.84 | 475.40 ± 4.66 | 39.48 ± 0.73 | 12.06 ± 0.24 | 130.45 ± 5.80 | ||
| R | N1 | 0.88 ± 0.03 | −0.66 ± 0.02 | 2.54 ± 0.03 | 4.41 ± 0.22 | 8.49 ± 0.13 | 7.72 ± 0.18 | 3.05 ± 0.04 | 952.18 ± 43.13 | 216.35 ± 3.59 | 473.13 ± 4.58 | 38.12 ± 0.55 | 12.42 ± 0.18 | 11.96 ± 0.50 | |
| N2 | 0.87 ± 0.02 | −0.67 ± 0.07 | 2.62 ± 0.08 | 4.66 ± 0.41 | 8.85 ± 0.44 | 8.92 ± 0.83 | 3.38 ± 0.21 | 1033.72 ± 91.47 | 221.84 ± 5.28 | 463.69 ± 1.41 | 49.81 ± 0.12 | 9.31 ± 0.03 | 12.35 ± 0.47 | ||
| Output of three-way ANOVA | |||||||||||||||
| [CO2] | ns | * | * | *** | *** | ** | * | *** | *** | * | *** | *** | ns | ||
| [N] | ns | * | ns | ** | * | *** | * | *** | ns | ns | *** | *** | *** | ||
| [Water] | *** | *** | *** | *** | *** | *** | ns | *** | *** | ns | *** | ** | *** | ||
| [CO2] × [N] | ns | ns | ns | ns | ns | ns | ns | ns | ns | ns | * | ns | ns | ||
| [CO2] × [Water] | * | ns | ** | * | *** | ns | ns | *** | ns | ns | *** | *** | ns | ||
| [N] × [Water] | * | ns | ns | ns | ns | ns | ns | ** | ns | * | *** | *** | *** | ||
| [CO2] × [N] × [Water] | ns | ns | ns | ns | ns | ns | ns | ns | ns | ns | ns | ns | ns | ||
| [CO2] | Water Status | [N] | RWC | Ψ1 | WU | DMleaf | DMstem | ΔDM | WUE | LA | SLA | [C]leaf | [N]leaf | [C:N]leaf | [ABA]leaf |
|---|---|---|---|---|---|---|---|---|---|---|---|---|---|---|---|
| MPa | dm³ plant−¹ | g | g | g | kg m−³ | cm² | cm² g−¹ | mg g−¹ | mg g−¹ | ng g−¹ FW | |||||
| 400 ppm | W | N1 | 0.94 ± 0.01 | −0.47 ± 0.02 | 3.93 ± 0.19 | 18.18 ± 0.38 | 7.94 ± 0.24 | 21.42 ± 0.49 | 5.38 ± 0.40 | 2247.90 ± 41.51 | 123.85 ± 3.24 | 469.60 ± 3.95 | 20.72 ± 0.53 | 22.73 ± 0.66 | 90.25 ± 2.80 |
| N2 | 0.92 ± 0.01 | −0.50 ± 0.03 | 4.64 ± 0.16 | 21.36 ± 0.72 | 7.33 ± 0.59 | 24.18 ± 1.22 | 5.23 ± 0.31 | 3098.93 ± 55.33 | 145.83 ± 6.20 | 485.54 ± 2.39 | 33.07 ± 1.53 | 14.80 ± 0.65 | 111.34 ± 3.38 | ||
| D | N1 | 0.69 ± 0.00 | −1.74 ± 0.05 | 0.99 ± 0.01 | 5.57 ± 0.25 | 2.31 ± 0.17 | 3.19 ± 0.35 | 3.22 ± 0.38 | 708.23 ± 65.09 | 141.78 ± 7.95 | 487.01 ± 3.75 | 51.15 ± 2.36 | 9.61 ± 0.48 | 171.53 ± 4.24 | |
| N2 | 0.77 ± 0.01 | −1.71 ± 0.04 | 0.96 ± 0.01 | 5.94 ± 0.26 | 2.15 ± 0.22 | 3.51 ± 0.47 | 3.65 ± 0.47 | 881.51 ± 49.11 | 148.21 ± 2.19 | 489.97 ± 2.89 | 57.82 ± 2.93 | 8.56 ± 0.42 | 186.46 ± 8.18 | ||
| R | N1 | 0.91 ± 0.01 | −0.49 ± 0.03 | 2.16 ± 0.05 | 10.81 ± 0.18 | 4.38 ± 0.27 | 11.66 ± 0.18 | 5.40 ± 0.08 | 1771.79 ± 12.50 | 164.02 ± 2.69 | 469.20 ± 2.70 | 31.75 ± 0.62 | 14.79 ± 0.22 | 76.94 ± 3.26 | |
| N2 | 0.93 ± 0.01 | −0.46 ± 0.03 | 2.34 ± 0.11 | 11.63 ± 0.34 | 3.88 ± 0.12 | 11.86 ± 0.58 | 5.08 ± 0.16 | 2024.40 ± 101.62 | 173.91 ± 5.26 | 484.93 ± 2.74 | 43.08 ± 1.57 | 11.32 ± 0.43 | 78.82 ± 3.16 | ||
| 800 ppm | W | N1 | 0.94 ± 0.01 | −0.43 ± 0.02 | 3.73 ± 0.25 | 19.50 ± 0.87 | 9.75 ± 0.56 | 25.70 ± 0.97 | 6.96 ± 0.34 | 2148.63 ± 90.52 | 110.27 ± 1.15 | 469.10 ± 3.15 | 16.76 ± 0.33 | 28.04 ± 0.61 | 110.32 ± 3.74 |
| N2 | 0.94 ± 0.00 | −0.47 ± 0.04 | 4.78 ± 0.29 | 23.03 ± 0.56 | 8.73 ± 0.31 | 29.21 ± 0.81 | 6.18 ± 0.35 | 2971.95 ± 89.28 | 129.01 ± 1.17 | 474.71 ± 4.09 | 26.10 ± 0.40 | 18.21 ± 0.35 | 107.91 ± 5.77 | ||
| D | N1 | 0.80 ± 0.02 | −1.19 ± 0.15 | 0.94 ± 0.01 | 8.12 ± 0.29 | 3.88 ± 0.16 | 6.80 ± 0.44 | 7.22 ± 0.46 | 1120.96 ± 19.63 | 138.42 ± 2.69 | 467.93 ± 3.13 | 31.80 ± 0.69 | 14.75 ± 0.41 | 217.55 ± 9.11 | |
| N2 | 0.77 ± 0.03 | −1.53 ± 0.10 | 0.96 ± 0.00 | 6.96 ± 0.29 | 2.95 ± 0.12 | 5.06 ± 0.22 | 5.29 ± 0.24 | 1018.41 ± 70.82 | 146.70 ± 9.69 | 489.39 ± 2.31 | 44.44 ± 2.42 | 11.15 ± 0.65 | 173.50 ± 5.21 | ||
| R | N1 | 0.92 ± 0.00 | −0.48 ± 0.02 | 1.89 ± 0.02 | 12.43 ± 0.28 | 5.91 ± 0.17 | 13.36 ± 0.26 | 7.08 ± 0.21 | 1629.58 ± 46.03 | 131.11 ± 1.49 | 468.18 ± 2.00 | 27.20 ± 0.75 | 17.26 ± 0.45 | 128.31 ± 5.39 | |
| N2 | 0.90 ± 0.01 | −0.56 ± 0.03 | 2.34 ± 0.13 | 13.25 ± 0.25 | 4.77 ± 0.21 | 14.24 ± 0.16 | 6.16 ± 0.39 | 2086.50 ± 77.38 | 157.91 ± 7.89 | 479.93 ± 3.32 | 42.25 ± 1.45 | 11.41 ± 0.40 | 105.98 ± 3.42 | ||
| Output of three-way ANOVA | |||||||||||||||
| [CO2] | * | ** | ns | *** | *** | *** | *** | ns | *** | ** | *** | *** | *** | ||
| [N] | ns | ns | *** | *** | *** | * | ** | *** | *** | *** | *** | *** | ns | ||
| [Water] | *** | *** | *** | *** | *** | *** | *** | *** | *** | ** | *** | *** | *** | ||
| [CO2] × [N] | ** | ns | ns | ns | ns | ns | * | ns | ns | ns | ns | *** | *** | ||
| [CO2] × [Water] | ** | *** | ns | ns | ns | * | * | ** | * | ns | *** | *** | ** | ||
| [N] × [Water] | ns | ns | ** | *** | ns | *** | ns | *** | ns | ns | ns | *** | * | ||
| [CO2] × [N] × [Water] | * | ns | ns | ns | ns | ns | ns | ns | ns | * | ns | ns | ns | ||
| Barley | Tomato | ||||||
|---|---|---|---|---|---|---|---|
| S | C | Tplant max | S | C | Tplant max | ||
| 400 ppm | N1 | 0.41 (0.38–0.45) | 0.49 (0.46–0.53) | 0.23 (0.22–0.24) | 0.42 (0.38–0.46) | 0.46 (0.42–0.50) | 0.21 (0.21–0.22) |
| N2 | 0.35 (0.30–0.40) | 0.55 (0.48–0.61) | 0.22 (0.21–0.23) | 0.34 (0.29–0.39) | 0.52 (0.46–0.60) | 0.20 (0.19–0.21) | |
| 800 ppm | N1 | 0.38 (0.31–0.45) | 0.39 (0.33–0.44) | 0.17 (0.16–0.18) | 0.30 (0.26–0.35) | 0.63 (0.55–0.71) | 0.21 (0.20–0.22) |
| N2 | 0.35 (0.29–0.41) | 0.48 (0.41–0.55) | 0.18 (0.17–0.20) | 0.40 (0.36–0.44) | 0.52 (0.47–0.57) | 0.21 (0.20–0.23) | |
Publisher’s Note: MDPI stays neutral with regard to jurisdictional claims in published maps and institutional affiliations. |
© 2022 by the authors. Licensee MDPI, Basel, Switzerland. This article is an open access article distributed under the terms and conditions of the Creative Commons Attribution (CC BY) license (https://creativecommons.org/licenses/by/4.0/).
Share and Cite
Chen, Y.; Wei, Z.; Wan, H.; Zhang, J.; Liu, J.; Liu, F. CO2 Elevation and Nitrogen Supply Alter the Growth and Physiological Responses of Tomato and Barley Plants to Drought Stress. Agronomy 2022, 12, 1821. https://doi.org/10.3390/agronomy12081821
Chen Y, Wei Z, Wan H, Zhang J, Liu J, Liu F. CO2 Elevation and Nitrogen Supply Alter the Growth and Physiological Responses of Tomato and Barley Plants to Drought Stress. Agronomy. 2022; 12(8):1821. https://doi.org/10.3390/agronomy12081821
Chicago/Turabian StyleChen, Yiting, Zhenhua Wei, Heng Wan, Jiarui Zhang, Jie Liu, and Fulai Liu. 2022. "CO2 Elevation and Nitrogen Supply Alter the Growth and Physiological Responses of Tomato and Barley Plants to Drought Stress" Agronomy 12, no. 8: 1821. https://doi.org/10.3390/agronomy12081821
APA StyleChen, Y., Wei, Z., Wan, H., Zhang, J., Liu, J., & Liu, F. (2022). CO2 Elevation and Nitrogen Supply Alter the Growth and Physiological Responses of Tomato and Barley Plants to Drought Stress. Agronomy, 12(8), 1821. https://doi.org/10.3390/agronomy12081821

