Prediction of Strawberries’ Quality Parameters Using Artificial Neural Networks
Abstract
1. Introduction
2. Materials and Methods
2.1. Plant Material and Experimental Design
2.2. Chemical Analyses
2.3. Analytical Methods
2.4. Statistical Analysis
2.5. Multiple Linear Regression Modeling
2.6. Artificial Neural Network Modeling
3. Results and Discussion
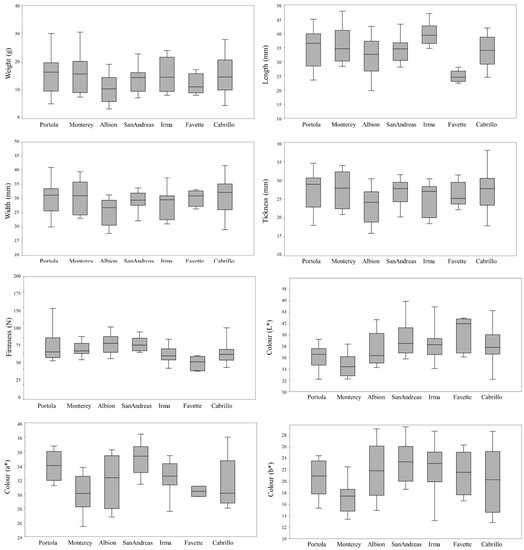
3.1. Exploratory Analysis by Cultivars
3.2. Exploratory Analysis by Harvest Time
3.3. Prediction of Strawberries Quality Attributes
4. Conclusions
Author Contributions
Funding
Institutional Review Board Statement
Informed Consent Statement
Data Availability Statement
Acknowledgments
Conflicts of Interest
References
- Barbey, C.; Hogshead, M.; Schwartz, A.E.; Mourad, N.; Verma, S.; Lee, S.; Whitaker, V.M.; Folta, K.M. The genetics of differential gene expression related to fruit traits in strawberry (Fragaria × ananassa). Front. Genet. 2020, 10, 1317. [Google Scholar] [CrossRef]
- Kim, A.N.; Lee, K.Y.; Jeong, E.J.; Cha, S.W.; Kim, B.G.; Kerr, W.L.; Choi, S.G. Effect of vacuum-grinding on the stability of anthocyanins, ascorbic acid, and oxidative enzyme activity of strawberry. LWT-Food Sci. Technol. 2020, 136, 110304. [Google Scholar] [CrossRef]
- Hannun, S.M. Potential impact of strawberries on human health: A review of the science. Crit. Rev. Food Sci. Nutr. 2004, 44, 1–17. [Google Scholar] [CrossRef]
- Alvarez-Suarez, J.M.; Giampieri, F.; Tulipani, S.; Casoli, T.; Di Stefano, G.; González-Paramás, A.M.; Santos Buelga, C.; Busco, F.; Quiles, J.L.; Cordero, M.D.; et al. One-month strawberry-rich anthocyanin supplementation ameliorates cardiovascular risk, oxidative stress markers and platelet activation in humans. J. Nutr. Biochem. 2014, 25, 289–294. [Google Scholar] [CrossRef]
- Alarcón, M.; Fuentes, E.; Olate, N.; Navarrete, S.; Carrasco, G.; Palomo, I. Strawberry extract presents antiplatelet activity by inhibition of inflammatory mediator of atherosclerosis (sP-selectin, sCD40L, RANTES, and IL-1β) and thrombus formation. Platelets 2015, 26, 224–229. [Google Scholar] [CrossRef]
- Hakkinen, S.H.; Torronen, A.R. Content of flavonols and selected phenolic acids in strawberries and Vaccinium species: Influence of cultivar, cultivation site and technique. Food Res. Int. 2000, 33, 517–524. [Google Scholar] [CrossRef]
- Fan, Z.; Hasing, T.; Johnson, T.S.; Garner, D.M.; Schwieterman, M.L.; Barbey, C.R.; Colquhoun, T.A.; Sims, C.A.; Resende, M.F.R.; Whitaker, V.M. Strawberry sweetness and consumer preference are enhanced by specific volatile compounds. Hortic. Res. 2021, 8, 66. [Google Scholar] [CrossRef]
- Lee, S.G.; Kim, S.K.; Lee, H.J.; Lee, H.S.; Lee, J.H. Impact of moderate and extreme climate change scenarios on growth, morphological features, photosynthesis, and fruit production of hot pepper. Ecol. Evol. 2017, 8, 197–206. [Google Scholar] [CrossRef]
- Cockerton, H.M.; Karlstrom, A.; Johnson, A.W.; Li, B.; Stavridou, E.; Hopson, K.J.; Whitehouse, A.B.; Harrison, R.J. Genomic informed breeding strategies for strawberry yield and fruit quality traits. Front. Plant Sci. 2021, 12, 724847. [Google Scholar] [CrossRef]
- Prescott, J. Multisensory processes in flavour perception and their influence on food choice. Curr. Opin. Food Sci. 2015, 3, 47–52. [Google Scholar] [CrossRef]
- Yan, J.W.; Ban, Z.J.; Lu, H.Y.; Li, D.; Poverenov, E.; Luo, Z.S.; Li, L. The aroma volatile repertoire in strawberry fruit: A review. J. Sci. Food Agric. 2018, 98, 4395–4402. [Google Scholar] [CrossRef]
- Mitcham, B. Quality assurance for strawberries: A case study. Perish. Handl. Newsl. 1996, 85, 6–9. [Google Scholar]
- Ikegaya, A.; Toyoizumi, T.; Ohba, S.; Nakajima, T.; Kawata, T.; Ito, S.; Arai, E. Effects of distribution of sugars and organic acids on the taste of strawberries. Food Sci. Nutr. 2019, 7, 2419–2426. [Google Scholar] [CrossRef]
- Mezzetti, B.; Giampieri, F.; Zhang, Y.T.; Zhong, C.F. Status of strawberry breeding programs and cultivation systems in Europe and the rest of the world. J. Berry Res. 2018, 8, 205–221. [Google Scholar] [CrossRef]
- Lu, R.; Ariana, D. A near-infrared sensing technique for measuring internal quality of apple fruit. Appl. Eng. Agric. 2002, 18, 585–590. [Google Scholar]
- Annunziata, A.; Vecchio, R. Functional foods development in the European market: A consumer perspective. J. Funct. Foods 2011, 3, 223–228. [Google Scholar] [CrossRef]
- Amoriello, T.; Ciccoritti, R.; Carbone, K. Vibrational spectroscopy as a green technology for predicting nutraceutical properties and antiradical potential of early-to-late apricot genotypes. Postharvest Biol. Technol. 2019, 155, 156–166. [Google Scholar] [CrossRef]
- Abbott, J.A. Quality measurement of fruit and vegetables. Postharvest Biol. Technol. 1999, 15, 207–225. [Google Scholar] [CrossRef]
- Li, B.; Lecourt, J.; Bishop, G. Advances in non-destructive early assessment of fruit ripeness towards defining optimal time of harvest and yield prediction a review. Plants 2018, 7, 3. [Google Scholar] [CrossRef]
- Amoriello, T.; Ciccoritti, R.; Paliotta, M.; Carbone, K. Classification and prediction of early-to-late ripening apricot quality using spectroscopic techniques combined with chemometric tools. Sci. Hortic. 2018, 240, 310–317. [Google Scholar] [CrossRef]
- Di Scala, K.; Meschino, G.; Vega-Galvez, A.; Lemus-Mondaca, R.; Roura, S.; Mascheroni, R. An artificial neural network for prediction of quality characteristics of apples during convective dehydration. Food Sci. Technol. 2013, 33, 411–416. [Google Scholar] [CrossRef]
- Ehret, D.L.; Hill, B.D.; Raworth, D.A.; Estergaard, B. Artificial neural network modelling to predict cuticle cracking in greenhouse peppers and tomatoes. Comput. Electron. Agric. 2008, 61, 108–116. [Google Scholar] [CrossRef]
- Gholipoor, M.; Nadali, F. Fruit yield prediction of pepper using artificial neural network. Sci. Hortic. 2019, 250, 249–253. [Google Scholar] [CrossRef]
- Huang, X.; Wang, H.; Qu, S.; Luo, W.; Gao, Z. Using artificial neural network in predicting the key fruit quality of loquat. Food Sci. Nutr. 2021, 9, 1780–1791. [Google Scholar] [CrossRef]
- Torkashvand, A.M.; Ahmadi, A.; Nikravesh, N.L. Prediction of kiwifruit firmness using fruit mineral nutrient concentration by artificial neural network (ANN) and multiple linear regressions (MLR). J. Integr. Agric. 2017, 16, 1634–1644. [Google Scholar] [CrossRef]
- Zarifneshat, S.; Rohani, A.; Ghassemzadeh, H.R.; Sadeghi, M.; Ahmadi, E.; Zarifneshat, M. Prediction of bruise volume propagation of pear during the storage using soft computing methods. Food Sci. Nutr. 2020, 8, 884–893. [Google Scholar]
- Goyal, S. Artificial Neural Networks in Fruits: A Comprehensive Review. Int. J. Image Graph. Signal Process. 2014, 5, 53–63. [Google Scholar] [CrossRef]
- Naroui Rad, M.R.; Koohkan, S.; Fanaei, H.R.; Pahlavan Rad, M.R. Application of Artificial Neural Networks to predict the final fruit weight and random forest to select important variables in native population of melon (Cucumis melo L.). Sci. Hortic. 2015, 181, 108–112. [Google Scholar] [CrossRef]
- Choi, J.Y.; Seo, K.; Cho, J.S.; Moon, K.D. Applying convolutional neural networks to assess the external quality of strawberries. J. Food Compos. Anal. 2021, 102, 104071. [Google Scholar] [CrossRef]
- Bohr, A.; Memarzadeh, K. The rice of artificial intelligence in healthcare applications. Artif. Intell. Healthc. 2020, 2, 25–60. [Google Scholar]
- Buch, V.H.; Ahmed, I.; Maruthappu, M. Artificial intelligence in medicine: Current trends and future possibilities. Br. J. Gen. Pract. 2018, 68, 143–144. [Google Scholar] [CrossRef] [PubMed]
- Zhang, J.; Arine, J.; Chang, Q.; Gao, R. Artificial intelligence in advanced manufacturing: Current status and future outlook. J. Manuf. Sci. Eng. 2020, 142, 110804. [Google Scholar]
- Azarmdel, H.; Jahanbakhshi, A.; Mohtasebi, S.S.; Muñoz, A.R. Evaluation of image processing technique as an expert system in mulberry fruit grading based on ripeness level using artificial neural networks (ANNs) and support vector machine (SVM). Postharvest Biol. Technol. 2020, 166, 111201. [Google Scholar] [CrossRef]
- Lan, H.; Wang, Z.; Niu, H.; Zhang, H.; Zhang, Y.; Tang, Y.; Liu, Y. A non-destructive testing method for soluble solid content in Korla fragrant pears based on electrical properties and artificial neural network. Food Sci. Nutr. 2020, 8, 5172–5181. [Google Scholar] [CrossRef] [PubMed]
- Ceccarelli, D.; Antonucci, F.; Costa, C.; Talento, C.; Ciccoritti, R. An artificial class modelling approach to identify the most largely diffused cultivars of sweet cherry (Prunus avium L.) in Italy. Food Chem. 2020, 333, 127515. [Google Scholar] [CrossRef] [PubMed]
- Hammer, D.A.; Harper, P.D. Ryan PAST: Paleontological statistics software package for education and data analysis. Palaeontol. Electronica 2001, 4, 9. [Google Scholar]
- Saridas, M.A.; Simsek, O.; Donmez, D.; Kacar, Y.A.; Kargi, S.P. Genetic diversity and fruit characteristics of new superior hybrid strawberry (Fragaria × ananassa Duchesne ex Rozier) genotypes. Genet. Resour. Crop Evol. 2021, 68, 741–758. [Google Scholar] [CrossRef]
- Faedi, W.; Baruzzi, G.; Lucchi, P.; Magnani, S.; Sbrighi, P.; Turci, P.; Ambrosio, M.; Ballini, L.; Baroni, G.; Baudino, M.; et al. Monografia Fragola Volume Terzo; Imageline: Faenza, Italy, 2015. [Google Scholar]
- Cecatto, A.P.; Calvete, E.O.; Nienow, A.A.; Costa, R.C.D.; Mendonça, H.F.C.; Pazzinato, A.C. Culture systems in the production and quality of strawberry cultivars. Acta Sci. Agron. 2013, 35, 471–478. [Google Scholar] [CrossRef]
- Faedi, W.; Baruzzi, G.; Lucchi, P.; Sbrighi, P.; Aliosi, R.; Ballini, L.; Baroni, G.; Baudino, M.; Capriolo, G.; Caracciolo, G.; et al. Monografia Fragola Volume Secondo; Imageline: Faenza, Italy, 2009. [Google Scholar]
- Cocco, C.; Magnani, S.; Maltoni, M.L.; Quacquarelli, I.; Cacchi, M.; Antunes, L.E.C.; Baruzzi, G. Effects of site and genotype on strawberry fruits quality traits and bioactive compounds. J. Berry Res. 2015, 5, 145–155. [Google Scholar] [CrossRef]
- Crisosto, C.H.; Crisosto, G.M.; Metheney, P. Consumer acceptance of ‘Brooks’ and ‘Bing’ cherries is mainly dependent on fruit SSC and visual skin color. Postharvest Biol. Technol. 2003, 28, 159–167. [Google Scholar] [CrossRef]
- Hayaloglu, A.A.; Demir, N. Phenolic compounds, volatiles, and sensory characteristics of twelve sweet cherry (Prunus avium L.) cultivars grown in Turkey. J. Food Sci. 2016, 81, C7–C18. [Google Scholar] [CrossRef] [PubMed]
- Nunes, G.; Teixeira, F.; Schwarz, K.; Camargo, C.K.; Resende, J.T.V.D.; Santos, E.F.D.; Novello, D. Influence of genetic variability on the quality of strawberry cultivars: Sensorial, physical-chemical and nutritional characterization. Acta Scientiarum. Agron. 2020, 43, e46862. [Google Scholar] [CrossRef]
- Lal, S.; Ahmed, N.; Singh, S.R.; Singh, D.B.; Sharma, O.C.; Kumar, R. Variability of health and bioactive compounds in strawberry (Fragaria × ananassa Duch.) cultivars grown under an Indian temperate ecosystem. Fruits 2013, 68, 423–434. [Google Scholar] [CrossRef]
- Singh, A.; Singh, B.K.; Deka, B.C.; Sanwal, S.K.; Patel, R.K.; Verma, M.R. The genetic variability, inheritance and inter-relationships of ascorbic acid, β-carotene, phenol and anthocyanin content in strawberry (Fragaria × ananassa Duch.). Sci. Hortic. 2011, 129, 86–90. [Google Scholar] [CrossRef]
- Tulipani, S.; Mezzetti, B.; Capocasa, F.; Bompadre, S.; Beekwilder, J.; De Vos, C.R.; Battino, M. Antioxidants, phenolic compounds, and nutritional quality of different strawberry genotypes. J. Agric. Food Chem. 2008, 56, 696–704. [Google Scholar] [CrossRef] [PubMed]
- Pluta, S.; Madry, W.; Sieczko, L. Phenotypic diversity for agronomic traits in a collection of lackcurrant (Ribes nigrum L.) cultivars evaluated in Poland. Sci. Hortic. 2012, 145, 136–144. [Google Scholar] [CrossRef]
- Mądry, W.; Pluta, S.; Sieczko, L.; Studnicki, M. Phenotypic diversity in a sample of blackcurrant (Ribes nigrum L.) cultivars maintained in the Fruit Breeding Department at the Research Institute of Pomology and Floriculture in Skierniewice, Poland. J. Fruit Ornam. Plant Res. 2010, 18, 23–37. [Google Scholar]
- Krüger, E.; Josuttis, M.; Nestby, R.; Toldam-Andersen, T.B.; Carlen, C.; Mezzetti, B. Influence of growing conditions at different latitudes of Europe on strawberry growth performance, yield and quality. J. Berry Res. 2012, 2, 143–157. [Google Scholar] [CrossRef]
- Zitouni, H.; Hssaini, L.; Messaoudi, Z.; Ourradi, H.; Viuda-Martos, M.; Hernández, F.; Ercisli, S.; Hanine, H. Phytochemical components and bioactivity assessment among twelve strawberry (Arbutus unedo L.) genotypes growing in Morocco using chemometrics. Foods 2020, 9, 1345. [Google Scholar] [CrossRef]
- Intrigliolo, D.S.; Castel, J.R. Response of plum trees to deficit irrigation under two crop levels: Tree growth, yield and fruit quality. Irrig. Sci. 2010, 28, 525–534. [Google Scholar] [CrossRef]
- Maatallah, S.; Guizani, M.; Hjlaoui, H.; Boughattas, N.E.H.; Lopez-Lauri, F.; Ennajeh, M. Improvement of fruit quality by moderate water deficit in three plum cultivars (Prunus salicina L.) cultivated in a semi-arid region. Fruits 2015, 70, 325–332. [Google Scholar] [CrossRef][Green Version]
- Sahamishirazi, S.; Moehring, J.; Claupein, W.; Graeff-Hoenninger, S. Quality assessment of 178 cultivars of plum regarding phenolic, anthocyanin and sugar content. Food Chem. 2017, 214, 694–701. [Google Scholar] [CrossRef] [PubMed]
- Solovchenko, A.; Schmitz-Eiberger, M. Significance of skin flavonoids for UV-B-protection in apple fruits. J. Exp. Bot. 2003, 54, 1977–1984. [Google Scholar] [CrossRef] [PubMed]
- Bartolini, S.; Leccese, A.; Viti, R. Quality and antioxidant properties of apricot fruits at ready-to-eat: Influence of the weather conditions under Mediterranean coastal area. J. Food Process Technol. 2015, 7, 1–6. [Google Scholar]
- Hernanz, D.; Recamales, Á.F.; Meléndez-Martínez, A.J.; González-Miret, M.L.; Heredia, F.J. Multivariate Statistical Analysis of the Color—Anthocyanin Relationships in Different Soilless-Grown Strawberry Genotypes. J. Agric. Food Chem. 2008, 56, 2735–2741. [Google Scholar] [CrossRef]
- Kaveh, M.; Chayan, R.A. Prediction of some physical and drying properties of terebinth fruit (Pistacia atlantica L.) using Artificial Neural Networks. Acta Sci. Pol. Technol. Aliment. 2014, 13, 65–78. [Google Scholar] [CrossRef]
- Fernández-Lara, R.; Gordillo, B.; Rodríguez-Pulido, F.J.; González-Miret, M.L.; del Villar-Martínez, A.A.; Dávila-Ortiz, G.; Heredia, F.J. Assessment of the differences in the phenolic composition and color characteristics of new strawberry (Fragaria × ananassa Duch.) cultivars by HPLC–MS and Imaging Tristimulus Colorimetry. Food Res. Int. 2015, 76, 645–653. [Google Scholar] [CrossRef]
- Yoshioka, Y.; Nakayama, M.; Noguchi, Y.; Horie, H. Use of image analysis to estimate anthocyanin and UV-excited fluorescent phenolic compound levels in strawberry fruit. Breed. Sci. 2013, 63, 211–217. [Google Scholar] [CrossRef]
- Rajković, D.; Marjanović Jeromela, A.; Pezo, L.; Lončar, B.; Zanetti, F.; Monti, A.; Kondić Špika, A. Yield and Quality Prediction of Winter Rapeseed—Artificial Neural Network and Random Forest Models. Agronomy 2022, 12, 58. [Google Scholar] [CrossRef]
- Llerena, W.; Samaniego, I.; Angós, I.; Brito, B.; Ortiz, B.; Carrillo, W. Biocompounds Content Prediction in Ecuadorian Fruits Using a Mathematical Model. Foods 2019, 8, 284. [Google Scholar] [CrossRef]
- Kalt, W.; McRae, K.B.; Hamilton, L.C. Relationship between surface color and other maturity indices in wild lowbush blueberries. Can. J. Plant Sci. 1995, 75, 485–490. [Google Scholar] [CrossRef]
- Acosta-Montoya, Ó.; Vaillant, F.; Cozzano, S.; Mertz, C.; Pérez, A.M.; Castro, M.V. Phenolic content and antioxidant capacity of tropical highland blackberry (Rubus adenotrichus Schltdl.) during three edible maturity stages. Food Chem. 2010, 119, 1497–1501. [Google Scholar] [CrossRef]
- Almeida, J.; Asís, R.; Molineri, V.N.; Sestari, I.; Lira, B.S.; Carrari, F.; Rossi, M. Fruits from ripening impaired, chlorophyll degraded and jasmonate insensitive tomato mutants have altered tocopherol content and composition. Phytochemistry 2015, 111, 72–83. [Google Scholar] [CrossRef] [PubMed]
- Alwosheel, A.; van Cranenburgh, S.; Chorus, C.G. Is your dataset big enough? Sample size requirements when using artificial neural networks for discrete choice analysis. J. Choice Model. 2018, 28, 167–182. [Google Scholar] [CrossRef]








| Cultivars | Pedigree | Skin Color | Pulp Color | Fruit Dimension | Harvest Time |
|---|---|---|---|---|---|
| Albion | Diamante × Cal 94.16-1 | Dark red | Light red | Medium–large | From spring to fall |
| Cabrillo | Cal 3.149-8 × Cal 5.206-5 | Red | Light red | Medium–large | From spring to fall |
| Favette | Unknown | Bright red | Bright red | Medium–small | Spring |
| Irma | Don × 89.33.1 ((Addie × Earliglow) × Marmolada) | Red | Light red | Large | From spring to fall |
| Monterey | Albion × Cal 97.85-6 | Dark red | Light red | Medium–large | From spring to fall |
| Portola | Cal 97.93-7 × Cal 97.209-1 | Red | Light red | Medium–large | From spring to fall |
| San Andreas | Albion × Cal 97.86-1 | Red | Orange red | Medium–large | From spring to fall |
| Harvest Time | Mean ± SD | Min | Max | Q1 | Q2 | Q3 | |
|---|---|---|---|---|---|---|---|
| L* | May | 36.73 ± 2.81 a | 32.19 | 42.96 | 35.08 | 36.55 | 37.83 |
| July | 38.11 ± 3.99 a | 32.16 | 45.91 | 35.24 | 36.75 | 41.43 | |
| September | 38.28 ± 1.96 a | 34.11 | 42.68 | 38.28 | 38.28 | 39.26 | |
| a* | May | 30.27 ± 2.74 b | 25.43 | 36.06 | 28.05 | 30.21 | 31.52 |
| July | 31.86 ± 2.02 ab | 28.31 | 36.07 | 30.61 | 31.91 | 33.27 | |
| September | 35.53 ± 1.63 a | 32.47 | 38.41 | 34.30 | 35.38 | 36.33 | |
| b* | May | 17.77 ± 3.56 b | 12.92 | 26.48 | 14.77 | 16.77 | 20.34 |
| July | 22.22 ± 4.59 ab | 12.85 | 29.68 | 18.71 | 21.11 | 25.92 | |
| September | 24.01 ± 2.76 b | 16.96 | 29.32 | 22.46 | 24.27 | 25.43 | |
| FF | May | 73 ± 14 a | 46 | 110 | 66 | 73 | 79 |
| July | 86 ± 16 a | 52 | 117 | 74 | 86 | 100 | |
| September | 86 ± 18 a | 59 | 148 | 72 | 82 | 97 | |
| TSS | May | 7.0 ± 0.9 b | 5.4 | 9.2 | 6.3 | 6.8 | 7.4 |
| July | 10.6 ± 1.4 a | 7.6 | 13.5 | 9.8 | 10.7 | 11.2 | |
| September | 10.9 ± 1.8 a | 7.1 | 13.8 | 9.6 | 11.0 | 12.1 | |
| TA | May | 9.6 ± 1.5 a | 6.6 | 12.9 | 8.2 | 9.8 | 10.6 |
| July | 8.1 ± 1.1 a | 5.9 | 10.1 | 7.2 | 7.9 | 9.0 | |
| September | 9.8 ± 2.3 a | 1.7 | 14.7 | 8.8 | 9.5 | 10.5 | |
| DM | May | 9.2 ± 1.4 a | 6.2 | 11.5 | 8.5 | 9.2 | 10.2 |
| July | 4.1 ± 0.2 b | 3.4 | 4.7 | 4.3 | 4.5 | 4.5 | |
| September | 3.7 ± 0.2 b | 3.0 | 4.1 | 3.6 | 3.7 | 3.9 | |
| TPC | May | 301 ± 59 a | 201 | 420 | 252 | 299 | 346 |
| July | 430 ± 98 a | 210 | 579 | 341 | 434 | 510 | |
| September | 335 ± 98 a | 183 | 589 | 271 | 315 | 404 | |
| AA | May | 2.78 ± 0.11 b | 2.24 | 3.37 | 2.43 | 2.80 | 3.03 |
| July | 3.41 ± 0.25 a | 2.70 | 3.71 | 3.27 | 3.43 | 3.63 | |
| September | 3.43 ± 0.27 a | 2.8 | 3.94 | 3.22 | 3.42 | 3.64 | |
| TMA | May | 33 ± 11 a | 15 | 57 | 25 | 31 | 43 |
| July | 21 ± 11 a | 5 | 38 | 9 | 23 | 26 | |
| September | 22 ± 8 a | 12 | 41 | 16 | 20 | 27 |
| PC1 | PC2 | PC3 | |
|---|---|---|---|
| FF | 0.692 | 0.251 | −0.056 |
| TSS | 0.804 | −0.208 | −0.043 |
| TA | 0.027 | 0.847 | −0.413 |
| DM | −0.805 | 0.397 | 0.093 |
| TPC | 0.643 | 0.377 | 0.568 |
| AA | 0.892 | 0.162 | 0.166 |
| TMA | −0.666 | 0.144 | 0.531 |
| Prop. explained variance (%) | 48.97 | 16.71 | 11.66 |
| Neural Network Topologies | Activation Function | Training Set | Test Set | ||||||||
|---|---|---|---|---|---|---|---|---|---|---|---|
| Hidden Neurons | Output Neurons | R2 | RMSE | MAE | RSE | R2 | RMSE | MAE | RSE | ||
| FF | MLP(3–5–1) | Logistic | Identity | 0.739 | 8.857 | 0.609 | 10.0 | 0.755 | 8.027 | 1.263 | 11.2 |
| TSS | MLP(3–7–1) | Tanh | Logistic | 0.821 | 0.967 | 0.031 | 10.3 | 0.749 | 1.176 | 0.046 | 13.3 |
| TA | MLP(3–9–1) | Logistic | Exp | 0.791 | 0.756 | 0.042 | 8.2 | 0.852 | 0.720 | 0.069 | 7.6 |
| TPC | MLP(3–8–1) | Logistic | Logistic | 0.842 | 39.054 | 4.161 | 11.4 | 0.885 | 37.870 | 14.033 | 9.6 |
| AA | MLP(3–9–1) | Logistic | Tanh | 0.925 | 0.118 | 0.011 | 3.7 | 0.906 | 0.147 | 0.058 | 4.6 |
| TMA | MLP(3–4–1) | Tanh | Exp | 0.805 | 4.883 | 0.471 | 19.5 | 0.943 | 3.575 | 1.269 | 13.0 |
| Input Variable | FF | TSS | TA | TPC | AA | TMA |
|---|---|---|---|---|---|---|
| L* | 33.8 | 33.0 | 32.0 | 36.7 | 30.5 | 32.6 |
| a* | 29.6 | 36.3 | 30.3 | 34.8 | 39.1 | 37.2 |
| b* | 36.6 | 30.7 | 37.7 | 28.5 | 30.3 | 30.1 |
Publisher’s Note: MDPI stays neutral with regard to jurisdictional claims in published maps and institutional affiliations. |
© 2022 by the authors. Licensee MDPI, Basel, Switzerland. This article is an open access article distributed under the terms and conditions of the Creative Commons Attribution (CC BY) license (https://creativecommons.org/licenses/by/4.0/).
Share and Cite
Amoriello, T.; Ciccoritti, R.; Ferrante, P. Prediction of Strawberries’ Quality Parameters Using Artificial Neural Networks. Agronomy 2022, 12, 963. https://doi.org/10.3390/agronomy12040963
Amoriello T, Ciccoritti R, Ferrante P. Prediction of Strawberries’ Quality Parameters Using Artificial Neural Networks. Agronomy. 2022; 12(4):963. https://doi.org/10.3390/agronomy12040963
Chicago/Turabian StyleAmoriello, Tiziana, Roberto Ciccoritti, and Patrizia Ferrante. 2022. "Prediction of Strawberries’ Quality Parameters Using Artificial Neural Networks" Agronomy 12, no. 4: 963. https://doi.org/10.3390/agronomy12040963
APA StyleAmoriello, T., Ciccoritti, R., & Ferrante, P. (2022). Prediction of Strawberries’ Quality Parameters Using Artificial Neural Networks. Agronomy, 12(4), 963. https://doi.org/10.3390/agronomy12040963
