Environmental Factors Effects on Winter Wheat Competition with Herbicide-Resistant or Susceptible Silky Bentgrass (Apera spica-venti L.) in Poland
Abstract
1. Introduction
2. Materials and Methods
2.1. Weather Conditions
2.2. Statistical Analysis
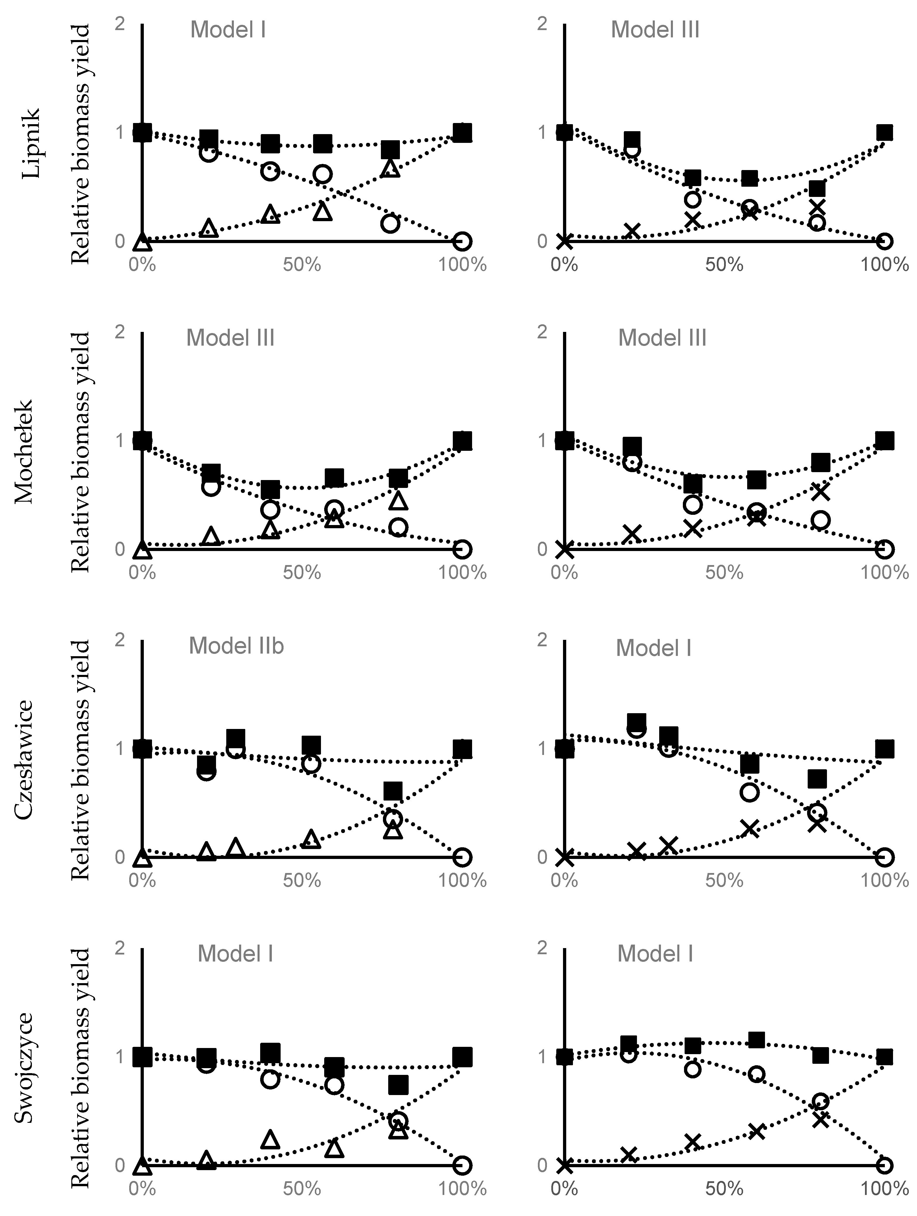
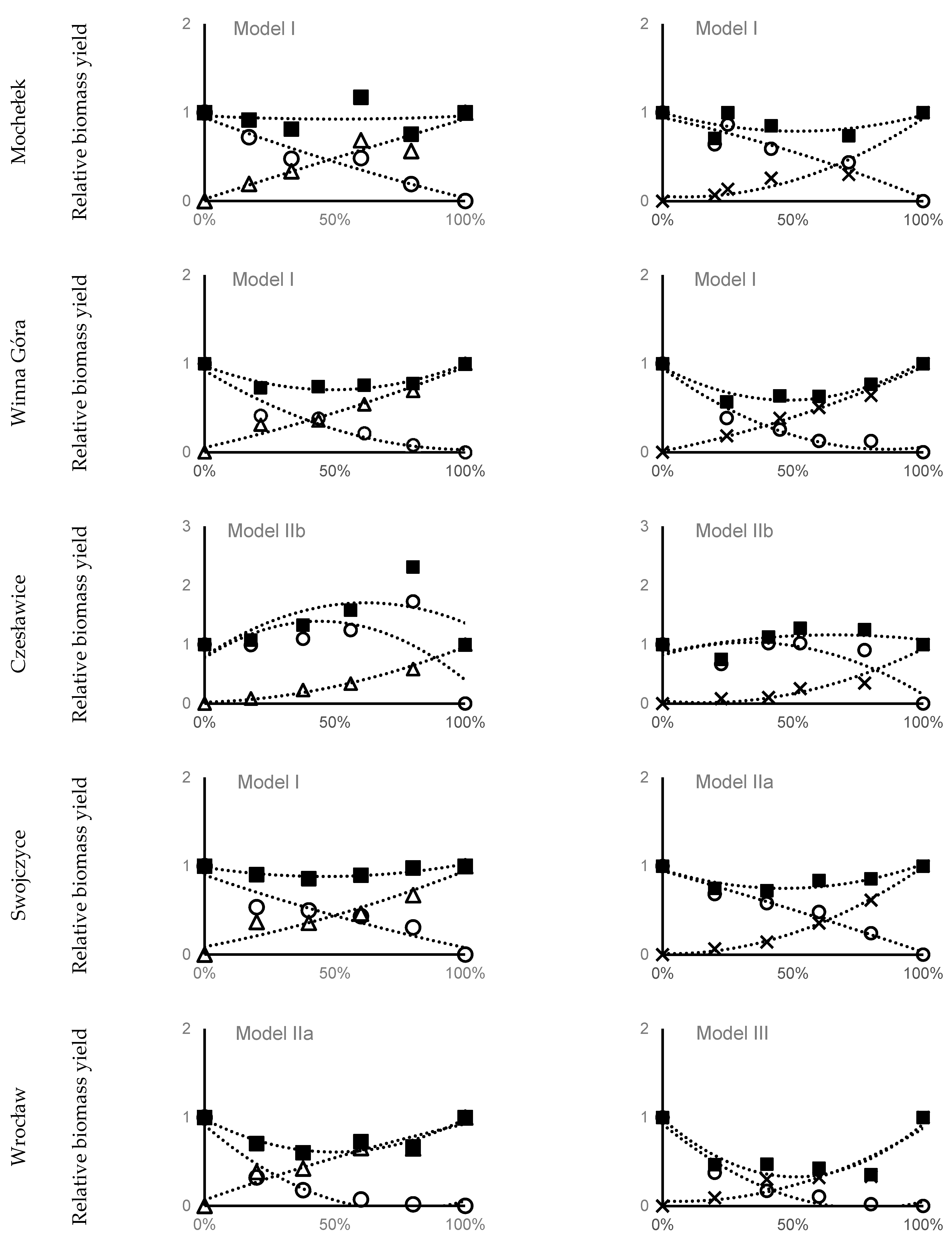
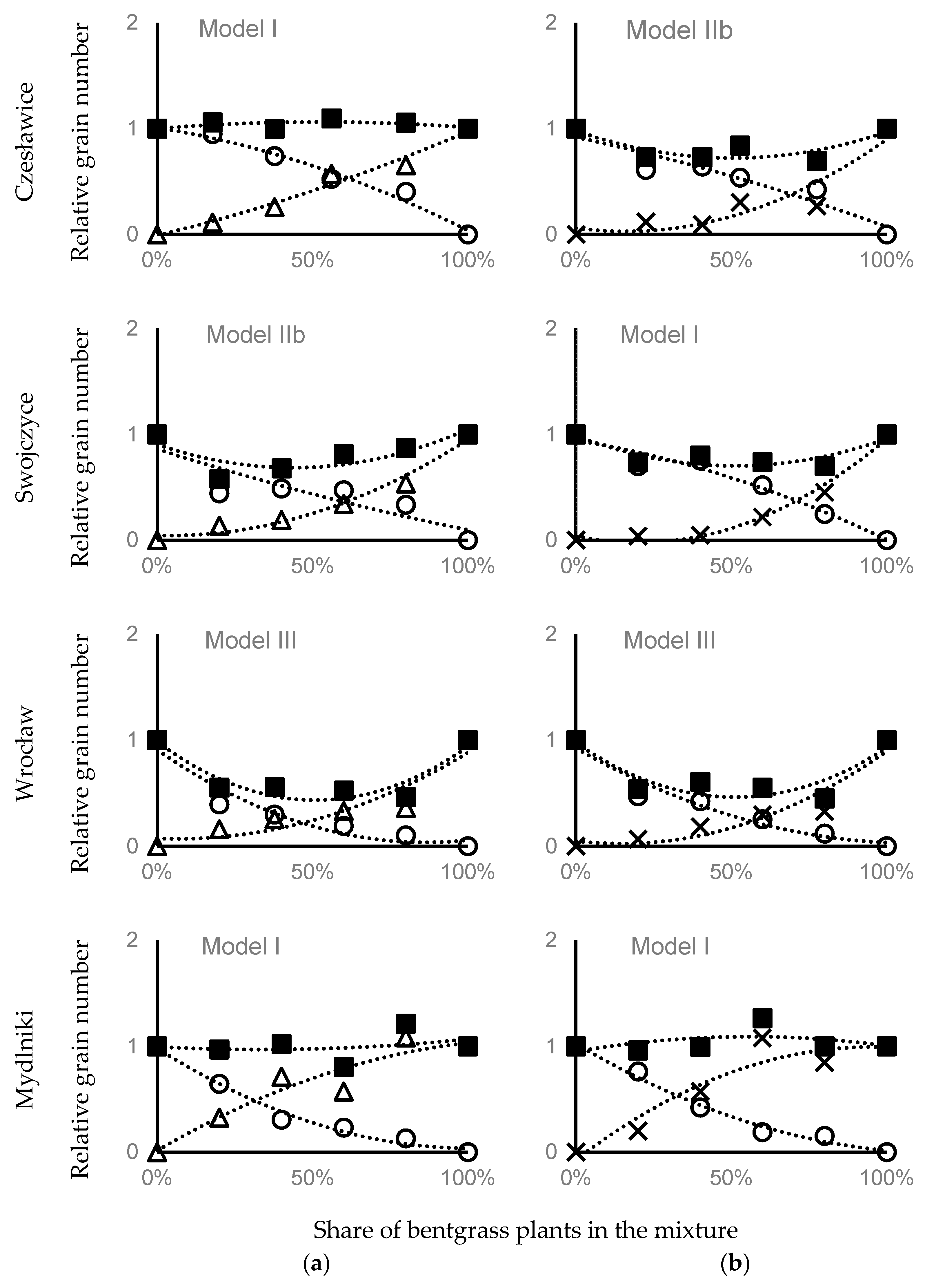
3. Results
4. Discussion
Supplementary Materials
Author Contributions
Funding
Institutional Review Board Statement
Informed Consent Statement
Data Availability Statement
Conflicts of Interest
References
- Scavo, A.; Mauromicale, G. Integrated Weed Management in Herbaceous Field Crops. Agronomy 2020, 10, 466. [Google Scholar] [CrossRef]
- van der Meulen, A.; Chauhan, B.S. A review of weed management in wheat using crop competition. Crop Prot. 2017, 95, 38–44. [Google Scholar] [CrossRef]
- Ierna, A.; Sortino, O.; Mauromicale, G. Biomass, seed and energy yield of Cynara cardunculus L. as affected by environment and season. Agronomy 2020, 10, 1548. [Google Scholar] [CrossRef]
- Li, P.; Shi, K.; Wang, Y.; Kong, D.; Liu, T.; Jiao, J.; Hu, F. Soil quality assessment of wheat-maize cropping system with different productivities in China: Establishing a minimum data set. Soil Tillage Res. 2019, 190, 31–40. [Google Scholar] [CrossRef]
- Van Heemst, H.D.J. The influence of weed competition on crop yield. Agric. Syst. 1985, 18, 81–93. [Google Scholar] [CrossRef]
- Kieloch, R.; Golebiowska, H. Influence of environmental conditions and crop competition on morphological and biological diversity of Avena fatua L. and Solanum nigrum L. Acta Agrobot. 2018, 71, 1740. [Google Scholar] [CrossRef]
- Lemerle, D.; Verbeek, B.; Orchard, B. Ranking the ability of wheat varieties to compete with Lolium rigidum. Weed Res. 2001, 41, 197–209. [Google Scholar] [CrossRef]
- Wilson, B.J.; Wright, K.J.; Brain, P.; Clements, M.; Stephens, E. Predicting the competitive effects of weed and crop density on weed biomass, weed seed production and crop yield in wheat. Weed Res. 1995, 35, 265–278. [Google Scholar] [CrossRef]
- Kraehmer, H.; Bell, C. Dominance of Grasses as Weeds. In Grasses: Crops, Competitors, and Ornamentals; Kraehmer, H., Ed.; Wiley: Hoboken, NJ, USA, 2019; pp. 497–502. [Google Scholar]
- Törresen, K.S.; Salonen, J.; Fogelfors, H.; Håkansson, S.; Melander, B. Weed problems in various tillage systems in the Nordic countries. In Extended Abstracts; Nordic Association of Agricultural Scientists: Odense, Denmark, 2006; pp. 54–60. [Google Scholar]
- Auškalnienė, O.; Kadžienė, G.; Stefanovičienė, R.; Jomantaitė, B. Development of herbicides resistance in Apera spica-venti in Lithuania. Zemdirb. Agric. 2020, 107, 99–104. [Google Scholar] [CrossRef]
- Dąbkowska, T.; Łabza, T. Species from Poaceae family in cereals in selected habitats of southern Poland over the last 25 years (1981–2006). Fragm. Agron. 2010, 27, 47–59. [Google Scholar]
- Auškalnienė, O.; Zadorozhnyi, V. Apera spica-venti (L.) P.Beauv. resistance to herbicides in Lithuania and Ukraine. Quarant. Plant Prot. 2020, 2–3, 50–52. [Google Scholar]
- Schulz, A.; Pallurt, B.; Gerowitt, B. Effects of crop rotation and reduced nitrogen fertilisation on Apera spica-venti populations in a long-term experiment. Comm. Agric. Appl. Biol. Sci. 2011, 76, 479–483. [Google Scholar]
- Domaradzki, K.; Rola, H.; Jezierska-Domaradzka, A. Changes in floristic composition of segetal weed community in the long-term winter wheat monoculture. Pam. Pul. 2006, 143, 59–66. [Google Scholar]
- Rola, H. Some agrotechnical factors and competitive effect of bentgrass (Apera spica-venti) on winter wheat and winter rye. Zesz. Probl. Postep. Nauk. Rol. 1988, 349, 89–98. [Google Scholar]
- Babineau, M.; Mahmood, K.; Mathiassen, S.K.; Kudsk, P.; Kristensen, M. De novo transcriptome assembly analysis of weed Apera spica-venti from seven tissues and growth stages. BMC Genom. 2017, 18, 128. [Google Scholar] [CrossRef]
- Babineau, M.; Mathiassen, S.K.; Kristensen, M.; Kudsk, P. Fitness of ALS-inhibitors herbicide resistant population of loose silky bentgrass (Apera spica-venti). Front. Plant Sci. 2017, 8, 1660. [Google Scholar] [CrossRef] [PubMed]
- Hamouzová, K.; Soukup, J.; Jursik, M.; Hamouz, P.; Venclová, V.; TůMová, P. Cross-resistance to three frequently used sulfonylurea herbicides in populations of Apera spica-venti from the Czech Republic. Weed Res. 2011, 51, 113–122. [Google Scholar] [CrossRef]
- Massa, D.; Kaiser, Y.I.; Andújar-Sánchez, D.; Carmona-Alférez, R.; Mehrtens, J.; Gerhards, R. Development of a Geo-Referenced Database for Weed Mapping and Analysis of Agronomic Factors Affecting Herbicide Resistance in Apera spica-venti L. Beauv. (Silky Windgrass). Agronomy 2013, 3, 13–27. [Google Scholar] [CrossRef]
- Heap, I. The International Survey of Herbicide Resistant Weeds. Thursday. Available online: www.weedscience.com (accessed on 11 February 2021).
- Massa, D.; Gerhards, R. Investigations on herbicide resistance in European silky bent grass (Apera spica-venti) populations. J. Plant Dis. Prot. 2011, 118, 31–39. [Google Scholar] [CrossRef]
- Hamouzová, K.; Salava, J.; Soukup, J.; Chodová, D.; Košnarová, P. Weed resistance to herbicides in the Czech Republic: History, occurrence, detection and management. In Herbicides-Mechanisms and Mode of Action; Hasaneen, M.N., Ed.; IntechOpen Ltd.: London, UK, 2011; pp. 83–102. [Google Scholar]
- Krysiak, M.; Gawroński, S.; Adamczewski, K.; Kierzek, R. ALS gene mutations in Apera spica-venti confer broad-range resistance to herbicides. J. Plant Prot. Res. 2011, 51, 261–267. [Google Scholar] [CrossRef]
- Stankiewicz-Kosyl, M.; Wrochna, M.; Salas, M.; Gawronski, S.W. A strategy of chemical control of Apera spica-venti L. resistant to sulfonylureas traced on the molecular level. J. Plant Prot. Res. 2017, 57, 113–119. [Google Scholar] [CrossRef]
- Adamczewski, K.; Kaczmarek, S.; Kierzek, R.; Matysiak, K. Significant increase of weed resistance to herbicides in Poland. J. Plant Prot. Res. 2019, 59, 139–150. [Google Scholar]
- Melander, B.; Holst, N.; Jensen, P.K.; Hansen, E.M.; Olesen, J.E. Apera spica-venti population dynamics and impact on crop yield as affected by tillage, crop rotation, site and herbicide programmes. Weed Res. 2008, 48, 48–57. [Google Scholar] [CrossRef]
- Radosevich, S.R. Methods to study interactions among crops and weeds. Weed Technol. 1987, 1, 190–198. [Google Scholar] [CrossRef]
- Cousens, R. Aspects of the design and interpretation of competition (interference) experiments. Weed Technol. 1991, 5, 664–673. [Google Scholar] [CrossRef]
- Swanton, C.J.; Nkoa, R.; Blackshaw, R.E. Experimental methods for crop–weed competition studies. Weed Sci. 2015, 63, 2–11. [Google Scholar] [CrossRef]
- WRB—World Reference for Soil Resouces. 2006. Available online: http://www.fao.org/soils-portal/soil-survey/soil-classification/world-reference-base/en/ (accessed on 28 April 2021).
- Dacko, M.; Zając, T.; Synowiec, A.; Oleksy, A.; Klimek-Kopyra, A.; Kulig, B. New approach to determine biological and environmental factors influencing mass of a single pea (Pisum sativum L.) seed in Silesia region in Poland using a CART model. Eur. J. Agron. 2016, 74, 29–37. [Google Scholar] [CrossRef]
- Ziernicka-Wojtaszek, A. Pluviothermal Regionalization of Poland in Light of Present-Day Climate Change. Pol. J. Environ. Stud. 2020, 29, 989–996. [Google Scholar] [CrossRef]
- Hoffman, M.L.; Buhler, D.D. Utilizing Sorghum as a functional model of crop-weed competition. I. Establishing a competitive hierarchy. Weed Sci. 2002, 50, 466–472. [Google Scholar] [CrossRef]
- Rencher, A.C. Interpretation of canonical discriminant functions, canonical variates, and principal components. Am. Stat. 1992, 46, 217–225. [Google Scholar]
- Bocianowski, J.; Majchrzak, L. Analysis of effects of cover crop and tillage method combinations on the phenotypic traits of spring wheat (Triticum aestivum L.) using multivariate methods. Appl. Ecol. Environ. Res. 2019, 17, 15267–15276. [Google Scholar] [CrossRef]
- Keshtkar, E.; Mathiassen, S.K.; Kudsk, P. No vegetative and fecundity fitness cost associated with acetyl-coenzyme a carboxylase non-target-site resistance in a black-grass (Alopecurus myosuroides Huds) population. Front. Plant Sci. 2017, 8, 2011. [Google Scholar] [CrossRef]
- Costa, L.O.D.; Rizzardi, M.A. Competitive ability of wheat in association with biotypes of Raphanus raphanistrum L. resistant and susceptible to ALS-inhibitor herbicides. Ciênc. Agrotec. 2015, 39, 121–130. [Google Scholar] [CrossRef]
- Fahad, S.; Hussain, S.; Chauhan, B.S.; Saud, S.; Wu, C.; Hassan, S.; Tanveer, M.; Jan, A.; Huang, J. Weed growth and crop yield loss in wheat as influenced by row spacing and weed emergence times. Crop Prot. 2015, 71, 101–108. [Google Scholar] [CrossRef]
- Chhokar, R.S.; Sharma, R.K.; Sharma, I. Weed management strategies in wheat—A review. J. Wheat Res. 2012, 4, 1–21. [Google Scholar]
- Borger, C.P.; Hashem, A.; Gill, G.S. Comparison of growth, survivorship, seed production and shedding of eight weed species in a wheat crop in Western Australia. Weed Res. 2020, 60, 415–424. [Google Scholar] [CrossRef]
- Razzaq, A.; Ali, Q.; Qayyum, A.; Mahmood, I.; Ahmad, M.; Rasheed, M. Physiological responses and drought resistance index of nine wheat (Triticum aestivum L.) cultivars under different moisture conditions. Pak. J. Bot. 2013, 45, 151–155. [Google Scholar]
- Paul, K.; Pauk, J.; Deák, Z.; Sass, L.; Vass, I. Contrasting response of biomass and grain yield wheat cultivars to severe drought in Cappelle Desprez and Plainsman, V. PeerJ 2016, 4, e1708. [Google Scholar] [CrossRef][Green Version]
- Mathew, I.; Shimelis, H.; Shayanowako, A.I.T.; Laing, M.; Chaplot, V. Genome-wide association study of drought tolerance and biomass allocation in wheat. PLoS ONE 2019, 14, e0225383. [Google Scholar] [CrossRef] [PubMed]














| Site | Latitude | Longitude | Particles (%) | Texture [31] | N 1 | P | K | OM | pH | ||
|---|---|---|---|---|---|---|---|---|---|---|---|
| Sand | Silt | Clay | |||||||||
| Lipnik | 53°34′ N | 14°95′ E | 85.4 | 14.0 | 0.6 | Loamy sand | 0.11 | 232 | 301 | 2.2 | 6.4 |
| Mochełek | 53°20′ N | 17°86′ E | 84.7 | 14.3 | 1.1 | Loamy sand | 0.17 | 238 | 296 | 2.6 | 6.6 |
| Winna Góra- | 52°12′ N | 17°26′ E | 70.4 | 26.3 | 3.4 | Sandy loam | -- | 137 | 162 | 1.1 | 5.5 |
| Czesławice | 51°18′ N | 22°16’ E | 15.8 | 72.6 | 11.6 | Silt loam | 0.12 | 158 | 196 | 1.5 | 6.4 |
| Swojczyce | 51°06′ N | 17°08′ E | 66.0 | 26.0 | 8.0 | Sandy loam | 0.51 | 128 | 125 | 1.23 | 6.5 |
| Wrocław | 51°04′ N | 17°02′ E | 56.0 | 23.0 | 21.0 | Sandy clay loam | 1.7 | 182 | 197 | 1.19 | 6.2 |
| Mydlniki | 50°07′ N | 19°84′ E | 39.0 | 52.0 | 9.0 | Silt loam | 0.07 | 173 | 196 | 1.14 | 6.3 |
| Biotype | Herbicide (HRAC 1 Group) | |||
|---|---|---|---|---|
| Fenoxaprop-P (HRAC A) | Pinoxaden (HRAC A) | Piroksulam (HRAC B) | Iodosulfuron (HRAC B) | |
| RS | S 2 | S | RRR 3 (86) | S |
| RM | RRR (>2650) | RRR (201) | RRR (>288) | RRR (>320) |
| S | S (13.2) | S (2.8) | S (<0.56) | S (2.41) |
| Site | 2017–2018 Season | 2018–2019 Season | ||
|---|---|---|---|---|
| Sowing Date | Harvest Date | Sowing Date | Harvest Date | |
| Lipnik | 20 October 2017 | 16 July 2018 | 17 October 2018 | 10 July 2019 |
| Mochełek | 9 October 2017 | 10 July 2018 | 17 October 2018 | 3 July 2019 |
| Winna Góra | -- | -- | 8 October 2018 | 11 July 2019 |
| Czesławice | 12 October 2017 | 13 July 2018 | 10 October 2018 | 23 July 2019 |
| Swojczyce | 18 October 2017 | 16 July 2018 | 13 October 2018 | 17 July 2019 |
| Wrocław | 27 October 2017 | 24 July 2018 | 25 October 2018 | 18 July 2019 |
| Mydlniki | -- | -- | 4 October 2018 | 4 July 2019 |
| Site | 2017–2018 | Classification | 2018–2019 | Classification |
|---|---|---|---|---|
| Lipnik | 2.1 | Humid | 0.9 | Dry |
| Mochełek | 2.2 | Humid | 0.5 | Dry |
| Winna Góra | -- | -- | 0.8 | Dry |
| Czesławice | 2.6 | Humid | 1.2 | Relatively dry |
| Swojczyce | 1.5 | Optimal | 1.2 | Relatively dry |
| Wrocław | 1.2 | Relatively dry | 0.9 | Dry |
| Mydlniki | -- | -- | 2.6 | Humid |
| Site | 2017 | 2018 | ||||
|---|---|---|---|---|---|---|
| WW 1 | Days to WW Emergence | B 2 | WW | Days to WW Emergence | B | |
| Lp | 28 October 2017 | 8 | 30 October 2017 | 25 October 2018 | 8 | 29 October 2018 |
| Mch | 24 October 2017 | 15 | 26 October 2017 | 2 November 2018 | 16 | 2 November 2018 |
| WG | -- | -- | -- | 30 October 2018 | 22 | 23 October 2018 |
| Cz | 27 October 2017 | 15 | 28 October 2017 | 22 October 2018 | 12 | 22 October 2018 |
| Sw | 26 October 2017 | 8 | 29 October 2017 | 23 October 2018 | 10 | 30 October 2018 |
| Wr | 7 October 2017 | 11 | Nov. 10 XI 2017 | 5 November 2018 | 20 | 8 November 2018 |
| Md | -- | -- | -- | 9 October 2018 | 5 | 12 October 2018 |
Publisher’s Note: MDPI stays neutral with regard to jurisdictional claims in published maps and institutional affiliations. |
© 2021 by the authors. Licensee MDPI, Basel, Switzerland. This article is an open access article distributed under the terms and conditions of the Creative Commons Attribution (CC BY) license (https://creativecommons.org/licenses/by/4.0/).
Share and Cite
Synowiec, A.; Jop, B.; Domaradzki, K.; Podsiadło, C.; Gawęda, D.; Wacławowicz, R.; Wenda-Piesik, A.; Nowakowski, M.M.; Bocianowski, J.; Marcinkowska, K.; et al. Environmental Factors Effects on Winter Wheat Competition with Herbicide-Resistant or Susceptible Silky Bentgrass (Apera spica-venti L.) in Poland. Agronomy 2021, 11, 871. https://doi.org/10.3390/agronomy11050871
Synowiec A, Jop B, Domaradzki K, Podsiadło C, Gawęda D, Wacławowicz R, Wenda-Piesik A, Nowakowski MM, Bocianowski J, Marcinkowska K, et al. Environmental Factors Effects on Winter Wheat Competition with Herbicide-Resistant or Susceptible Silky Bentgrass (Apera spica-venti L.) in Poland. Agronomy. 2021; 11(5):871. https://doi.org/10.3390/agronomy11050871
Chicago/Turabian StyleSynowiec, Agnieszka, Beata Jop, Krzysztof Domaradzki, Cezary Podsiadło, Dorota Gawęda, Roman Wacławowicz, Anna Wenda-Piesik, Mateusz M. Nowakowski, Jan Bocianowski, Katarzyna Marcinkowska, and et al. 2021. "Environmental Factors Effects on Winter Wheat Competition with Herbicide-Resistant or Susceptible Silky Bentgrass (Apera spica-venti L.) in Poland" Agronomy 11, no. 5: 871. https://doi.org/10.3390/agronomy11050871
APA StyleSynowiec, A., Jop, B., Domaradzki, K., Podsiadło, C., Gawęda, D., Wacławowicz, R., Wenda-Piesik, A., Nowakowski, M. M., Bocianowski, J., Marcinkowska, K., & Praczyk, T. (2021). Environmental Factors Effects on Winter Wheat Competition with Herbicide-Resistant or Susceptible Silky Bentgrass (Apera spica-venti L.) in Poland. Agronomy, 11(5), 871. https://doi.org/10.3390/agronomy11050871

