Effect of Sowing Date on Bioactive Compounds and Grain Morphology of Three Pigmented Cereal Species
Abstract
1. Introduction
2. Materials and Methods
2.1. Plant Material and Growth Conditions
2.2. Determination of Agronomical Traits and Seed Morphological Parameters
2.3. Determination of Total Anthocyanin and Carotenoid Contents
2.4. Determination of Macro- and Microelements
2.5. Statistical Analysis
3. Results
3.1. Evaluated Traits among Species
3.2. Evaluated Traits among the Genotypes within Each Species
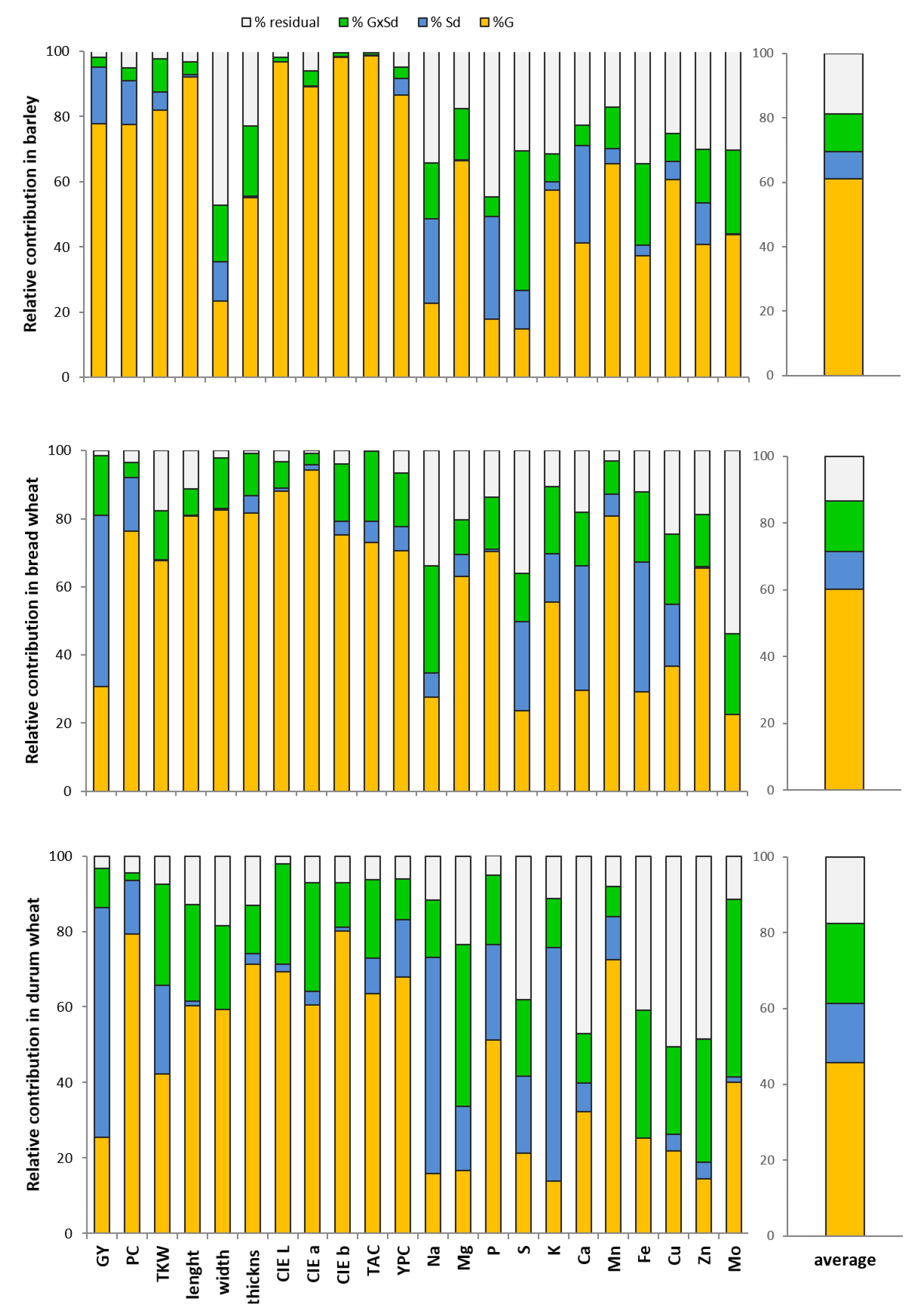
3.3. Analysis of Variance
3.4. Relationships between Yield and All Parameters Evaluated
4. Discussion
5. Conclusions
Supplementary Materials
Author Contributions
Funding
Institutional Review Board Statement
Informed Consent Statement
Conflicts of Interest
References
- Newton, A.C.; Flavell, A.J.; George, T.S.; Leat, P.; Mullholland, B.; Ramsay, L.; Revoredo-Giha, C.; Russell, J.; Steffenson, B.J.; Swanston, J.S.; et al. Crops that feed the world 4. Barley: A resilient crop? Strengths and weaknesses in the context of food security. Food Secur. 2011, 3, 141–178. [Google Scholar] [CrossRef]
- De Vita, P.; Taranto, F. Durum Wheat (Triticum turgidum ssp. durum) Breeding to Meet the Challenge of Climate Change. In Advances in Plant Breeding Strategies: Cereals; Springer International Publishing: New York, NY, USA, 2019; pp. 471–524. [Google Scholar]
- Derakhshani, Z.; Malherbe, F.; Panozzo, J.F.; Bhave, M. Evaluation of Diverse Barley Cultivars and Landraces for Contents of Four Multifunctional Biomolecules with Nutraceutical Potential. Curr. Res. Nutr. Food Sci. J. 2020, 8, 380–390. [Google Scholar] [CrossRef]
- Shah, W.A.; Bakht, J.; Ullah, T.; Khan, A.W.; Zubair, M.; Khakwani, A.A. Effects of sowing dates on the Yield and Yield components of different wheat varieties. J. Agron. 2006, 5, 106–110. [Google Scholar] [CrossRef]
- Ali, M.A.; Ali, S.M.; Sattar, M.; Ali, L. Sowing date effect on yield of different wheat varieties. J. Agric. Res. 2010, 48, 157–162. [Google Scholar]
- Fayed, T.B.; El-Sarag, E.I.; Hassanein, M.K.; Magdy, A. Evaluation and prediction of some wheat cultivars productivity in relation to different sowing dates under North Sinai region conditions. Ann. Agric. Sci. 2015, 60, 11–20. [Google Scholar] [CrossRef]
- Shaaban, A.S.A.; Wahbi, A.; Sinclair, T.R. Sowing date and mulch to improve water use and yield of wheat and barley in the Middle East environment. Agric. Syst. 2018, 165, 26–32. [Google Scholar] [CrossRef]
- Wyzińska, M.; Grabiński, J. The influence of autumn sowing date on the productivity of spring wheat (Triticum aestivum L.). In Research for Rural Development 2018, Proceeding of the 24th Annual International Scientific Conference Research for Rural Development; Latvia University of Life Sciences and Technologies: Jelgava, Latvia, 2018; Volume 2, pp. 35–41. [Google Scholar] [CrossRef]
- Gani, A.; Wani, S.M.; Masoodi, F.A.; Gousia, H. Whole-grain cereal bioactive compounds and their health benefits: A review. J. Food Process. Technol. 2012, 3, 146–155. [Google Scholar] [CrossRef]
- Kim, M.J.; Hyun, J.N.; Kim, J.A.E.; Park, J.C.; Kim, M.Y.; Kim, J.G.; Lee, S.J.; Chun, S.C.; Chung, I.M. Relationship between Phenolic Compounds, Anthocyanins Content and Antioxidant Activity in Colored Barley Germplasm. J. Agric. Food Chem. 2007, 55, 4802–4809. [Google Scholar] [CrossRef]
- Eticha, F.; Grausgrever, H.; Berghoffer, E. Multivariate analysis of agronomic and quality traits of hull-less spring barley (Hordeum vulgare L.). J. Plant. Breed. Crop. Sci. 2010, 2, 81–95. [Google Scholar]
- Žofajová, A.; Pšenáková, I.; Havrlentová, M.; Piliarová, M. Accumulation of Total Anthocyanins in Wheat Grain. Agriculture 2012, 58, 50–56. [Google Scholar] [CrossRef]
- Ficco, D.B.M.; De Simone, V.; Colecchia, S.A.; Pecorella, I.; Platani, C.; Nigro, F.; Finocchiaro, F.; Papa, R.; De Vita, P. Genetic Variability in Anthocyanin Composition and Nutritional Properties of Blue, Purple, and Red Bread (Triticum aestivum L.) and Durum (Triticum turgidum L. ssp.turgidumconvar.durum) Wheats. J. Agric. Food Chem. 2014, 62, 8686–8695. [Google Scholar] [CrossRef]
- Ficco, D.B.M.; Mastrangelo, A.M.; Trono, D.; Borrelli, G.M.; De Vita, P.; Fares, C.; Beleggia, R.; Platani, C.; Papa, R. The colours of durum wheat: A review. Crop. Pasture Sci. 2014, 65, 1–15. [Google Scholar] [CrossRef]
- De Leonardis, A.M.; Fragasso, M.; Beleggia, R.; Ficco, D.B.M.; De Vita, P.; Mastrangelo, A.M. Effects of Heat Stress on Metabolite Accumulation and Composition, and Nutritional Properties of Durum Wheat Grain. Int. J. Mol. Sci. 2015, 16, 30382–30404. [Google Scholar] [CrossRef]
- Abdel-Aal, E.S.M.; Young, J.C.; Rabalski, I. Anthocyanin Composition in Black, Blue, Pink, Purple, and Red Cereal Grains. J. Agric. Food Chem. 2006, 54, 4696–4704. [Google Scholar] [CrossRef]
- Treutter, D. Significance of flavonoids in plant resistance: A review. Environ. Chem. Lett. 2006, 4, 147–157. [Google Scholar] [CrossRef]
- Khlestkina, E.; Antonova, E.; Pershina, L.; Soloviev, A.; Badaeva, E.; Börner, A.; Salina, E. Variability ofRc(red coleoptile) alleles in wheat and wheat-alien genetic stock collections. Cereal Res. Commun. 2011, 39, 465–474. [Google Scholar] [CrossRef]
- Shoeva, O.; Khlestkina, E. Anthocyanins participate in the protection of wheat seedlings against cadmium stress. Cereal Res. Commun. 2018, 46, 242–252. [Google Scholar] [CrossRef]
- Kong, J.M.; Chia, L.S.; Goh, N.K.; Chia, T.F.; Brouillard, R. Analysis and biological activities of anthocyanins. Phytochemistry 2003, 64, 923–933. [Google Scholar] [CrossRef]
- Abdel-Aal, E.S.M.; Abou-Arab, A.A.; Gamel, T.H.; Hucl, P.; Young, J.C.; Rabalski, I. Fractionation of Blue Wheat Anthocyanin Compounds and Their Contribution to Antioxidant Properties. J. Agric. Food Chem. 2008, 56, 11171–11177. [Google Scholar] [CrossRef] [PubMed]
- Ryan, K.G.; E Swinny, E.; Winefield, C.; Markham, K.R. Flavonoids and UV Photoprotection in Arabidopsis Mutants. J. Nat. Res. 2001, 56, 745–754. [Google Scholar] [CrossRef] [PubMed]
- Bowen-Forbes, C.S.; Zhang, Y.; Nair, M.G. Anthocyanin content, antioxidant, anti-inflammatory and anticancer properties of blackberry and raspberry fruits. J. Food Compos. Anal. 2010, 23, 554–560. [Google Scholar] [CrossRef]
- Wang, L.S.; Stoner, G.D. Anthocyanins and their role in cancer prevention. Cancer Lett. 2008, 269, 281–290. [Google Scholar] [CrossRef]
- Mazza, G. Anthocyanins and heart health. Ann. Ist. Super. Sanità 2007, 43, 369–374. [Google Scholar] [PubMed]
- Baublis, A.J.; Clydesdale, E.M.; Decker, E.A. Antioxidants in wheat-based breakfast cereals. Cereal Foods World 2000, 45, 71–74. [Google Scholar]
- De Pascual-Teresa, S.; Moreno, D.A.; García-Viguera, C. Flavanols and Anthocyanins in Cardiovascular Health: A Review of Current Evidence. Int. J. Mol. Sci. 2010, 11, 1679–1703. [Google Scholar] [CrossRef] [PubMed]
- Yeum, K.J.; Russell, R.M. Carotenoid bioavailability and bioconversion. Annu. Rev. Nutr. 2002, 22, 483–504. [Google Scholar] [CrossRef] [PubMed]
- Mueller, L.; Boehm, V. Antioxidant Activity of β-Carotene Compounds in Different in Vitro Assays. Molecules 2011, 16, 1055–1069. [Google Scholar] [CrossRef] [PubMed]
- Landrum, J.T.; Bone, R.A. Dietary lutein & zeaxanthin: Reducing the risk for macular degeneration. Agron. Food Ind. Hitech. 2004, 15, 22–25. [Google Scholar]
- Nishino, H.; Murakoshi, M.; Tokuda, H.; Satomi, Y. Cancer prevention by carotenoids. Arch. Biochem. Biophys. 2009, 483, 165–168. [Google Scholar] [CrossRef] [PubMed]
- Jing, P.; Noriega, V.; Schwartz, S.J.; Giusti, M.M. Effects of Growing Conditions on Purple Corncob (Zea mays L.) Anthocyanins. J. Agric. Food Chem. 2007, 55, 8625–8629. [Google Scholar] [CrossRef]
- Rao, S.; Schwarz, L.J.; Santhakumar, A.B.; Chinkwo, K.A.; Blanchard, C.L. Cereal phenolic contents as affected by variety and environment. Cereal Chem. J. 2018, 95, 589–602. [Google Scholar] [CrossRef]
- Knievel, D.C.; Abdel-Aal, E.S.M.; Rabalski, I.; Nakamura, T.; Hucl, P.J. Grain colour development and the inheritance of high anthocyanin blue aleurone and purple pericarp in spring wheat (Triticum aestivum L.). J. Cereal Sci. 2009, 50, 113–120. [Google Scholar] [CrossRef]
- Digesù, A.; Platani, C.; Cattivelli, L.; Mangini, G.; Blanco, A. Genetic variability in yellow pigment components in cultivated and wild tetraploid wheats. J. Cereal Sci. 2009, 50, 210–218. [Google Scholar] [CrossRef]
- Paznocht, L.; Kotíková, Z.; Šulc, M.; Lachman, J.; Orsák, M.; Eliášová, M.; Martinek, P. Free and esterified carotenoids in pigmented wheat, tritordeum and barley grains. Food Chem. 2018, 240, 670–678. [Google Scholar] [CrossRef] [PubMed]
- Zrckova, M.; Capouchova, I.; Eliášová, M.; Paznocht, L.; Pazderů, K.; Dvořák, P.; Konvalina, P.; Orsák, M.; Štěrba, Z.; Monika, Z.; et al. The effect of genotype, weather conditions and cropping system on antioxidant activity and content of selected antioxidant compounds in wheat with coloured grain. Plant Soil Environ. 2018, 64, 530–538. [Google Scholar] [CrossRef]
- Slavin, J. Whole grains and human health. Nutr. Res. Rev. 2004, 17, 99–110. [Google Scholar] [CrossRef]
- Ficco, D.; Riefolo, C.; Nicastro, G.; De Simone, V.; Di Gesù, A.; Beleggia, R.; Platani, C.; Cattivelli, L.; De Vita, P. Phytate and mineral elements concentration in a collection of Italian durum wheat cultivars. Field Crop. Res. 2009, 111, 235–242. [Google Scholar] [CrossRef]
- Garcia-Oliveira, A.L.; Chander, S.; Ortiz, R.; Menkir, A.; Gedil, M. Genetic Basis and Breeding Perspectives of Grain Iron and Zinc Enrichment in Cereals. Front. Plant Sci. 2018, 9, 937. [Google Scholar] [CrossRef] [PubMed]
- Beleggia, R.; Fragasso, M.; Miglietta, F.; Cattivelli, L.; Menga, V.; Nigro, F.; Pecchioni, N.; Fares, C. Mineral composition of durum wheat grain and pasta under increasing atmospheric CO2 concentrations. Food Chem. 2018, 242, 53–61. [Google Scholar] [CrossRef] [PubMed]
- Balk, J.; Connorton, J.M.; Wan, Y.; Lovegrove, A.; Moore, K.L.; Uauy, C.; Sharp, P.A.; Shewry, P.R. Improving wheat as a source of iron and zinc for global nutrition. Nutr. Bull. 2019, 44, 53–59. [Google Scholar] [CrossRef] [PubMed]
- Kenzhebayeva, S.; Abekova, A.; Atabayeva, S.; Yernazarova, G.; Omirbekova, N.; Zhang, G.; Turasheva, S.; Asrandina, S.; Sarsu, F.; Wang, Y. Mutant Lines of Spring Wheat with Increased Iron, Zinc, and Micronutrients in Grains and Enhanced Bioavailability for Human Health. BioMed. Res. Int. 2019, 2019, 1–10. [Google Scholar] [CrossRef] [PubMed]
- Ficco, D.B.; Beleggia, R.; Pecorella, I.; Giovanniello, V.; Frenda, A.S.; De Vita, P. Relationship between Seed Morphological Traits and Ash and Mineral Distribution along the Kernel Using Debranning in Durum Wheats from Different Geographic Sites. Foods 2020, 9, 1523. [Google Scholar] [CrossRef] [PubMed]
- Gupta, R.K.; Gangoliya, S.S.; Singh, G.S. Reduction of phytic acid and enhancement of bioavailable micronutrients in food grains. J. Food Sci. Technol. 2015, 52, 676–684. [Google Scholar] [CrossRef] [PubMed]
- Rengel, Z.; Graham, R.D. Importance of seed zinc content for wheat growth on Zn-deficient soil. Plant Soil 1995, 173, 259–266. [Google Scholar] [CrossRef]
- Oury, F.-X.; Leenhardt, F.; Rémésy, C.; Chanliaud, E.; Duperrier, B.; Balfourier, F.; Charmet, G. Genetic variability and stability of grain magnesium, zinc and iron concentrations in bread wheat. Eur. J. Agron. 2006, 25, 177–185. [Google Scholar] [CrossRef]
- Elouafi, I.; Nachit, M.M.; Martin, L.M. Identification of a microsatellite on chromosome 7B showing a strong linkage with yellow pigment in durum wheat (Triticum turgidum L. var. durum). Hereditas 2004, 135, 255–261. [Google Scholar] [CrossRef]
- Fratianni, A.; Giuzio, L.; Di Criscio, T.; Zina, F.; Panfili, G. Response of Carotenoids and Tocols of Durum Wheat in Relation to Water Stress and Sulfur Fertilization. J. Agric. Food Chem. 2013, 61, 2583–2590. [Google Scholar] [CrossRef]
- Fernandez-Orozco, R.; Li, L.; Harflett, C.; Shewry, P.R.; Ward, J.L. Effects of Environment and Genotype on Phenolic Acids in Wheat in the HEALTHGRAIN Diversity Screen. J. Agric. Food Chem. 2010, 58, 9341–9352. [Google Scholar] [CrossRef]
- Martini, D.; Taddei, F.; Ciccoritti, R.; Pasquini, M.; Nicoletti, I.; Corradini, D.; D’Egidio, M.G. Variation of total antioxidant activity and of phenolic acid, total phenolics and yellow coloured pigments in durum wheat (Triticum turgidum L. var. durum) as a function of genotype, crop year and growing area. J. Cereal Sci. 2015, 65, 175–185. [Google Scholar] [CrossRef]
- Rao, S.; Santhakumar, A.B.; Chinkwo, K.A.; Blanchard, C.L. Investigation of phenolic compounds with antioxidant activity in barley and oats affected by variation in growing location. Cereal Chem. J. 2020, 97, 772–782. [Google Scholar] [CrossRef]
- Yang, X.J.; Dang, B.; Fan, M.T. Free and Bound Phenolic Compound Content and Antioxidant Activity of Different Cultivated Blue Highland Barley Varieties from the Qinghai-Tibet Plateau. Molecules 2018, 23, 879. [Google Scholar] [CrossRef]
- Abdel-Aal, E.S.M.; Choo, T.M. Differences in compositional properties of a hulless barley cultivar grown in 23 environments in eastern Canada. Can. J. Plant. Sci. 2014, 94, 807–815. [Google Scholar] [CrossRef]
- Magallanes-López, A.M.; Hernandez-Espinosa, N.; Velu, G.; Posadas-Romano, G.; Ordoñez-Villegas, V.M.G.; Crossa, J.; Ammar, K.; Guzmán, C. Variability in iron, zinc and phytic acid content in a worldwide collection of commercial durum wheat cultivars and the effect of reduced irrigation on these traits. Food Chem. 2017, 237, 499–505. [Google Scholar] [CrossRef]
- Singh, S.; Gupta, A.K.; Kaur, N. Influence of Drought and Sowing Time on Protein Composition, Antinutrients, and Mineral Contents of Wheat. Sci. World J. 2012, 2012, 1–9. [Google Scholar] [CrossRef] [PubMed]
- AOAC International. AOAC official method 990.03, protein (crude) in animal feed, combustion method. In AOAC Official Methods of Analysis, 17th ed.; Association of Official Analytical Chemists: Arlington, VA, USA, 2000; Volume 1. [Google Scholar]
- Beleggia, R.; Platani, C.; Nigro, F.; Cattivelli, L. A micro-method for the determination of Yellow Pigment Content in durum wheat. J. Cereal Sci. 2010, 52, 106–110. [Google Scholar] [CrossRef]
- Tahir, M.; Ali, A.; Nadeem, M.A.; Hussain, A.; Khalid, F. Effect of different sowing dates on growth and yield of wheat (Triticum aestivum L.) varieties in district Jhang, Pakistan. Pak. J. Life Soc. Sci. 2009, 7, 66–69. [Google Scholar]
- Forster, S.M.; Ransom, J.K.; Manthey, F.A.; Rickertsen, J.R.; Mehring, G.H. Planting Date, Seeding Rate, and Cultivar Impact Agronomic Traits and Semolina of Durum Wheat. Am. J. Plant Sci. 2017, 8, 2040–2055. [Google Scholar] [CrossRef]
- Bassu, S.; Asseng, S.; Motzo, R.; Giunta, F. Optimising sowing date of durum wheat in a variable Mediterranean environment. Field Crop. Res. 2009, 111, 109–118. [Google Scholar] [CrossRef]
- Pal, P.; Reddy, M.D.; Pandey, G.; Kumar, A. Effect of different dates of sowing on barley (Hordeum Valgare L.) varieties under limited irrigation. J. Pharm. Phytochem. 2018, SP2, 88–91. [Google Scholar]
- Ram, H.; Singh, B.; Sharma, A. Effect of time of sowing on the field performance of barley (Hordeum vulgare L.). Punjab Agric. Univ. Agric. Res. J. 2010, 47, 132–135. [Google Scholar]
- Eticha, F.; Grausgruber, H.; Siebenhandl-Ehn, S.; Berghofer, E. Some agronomic and chemical traits of blue aleurone and purple pericarp wheat (Triticum L.). J. Agric. Sci. Technol. 2001, B1, 48–58. [Google Scholar]
- Ahmed, M.; Hassan, F.U. Response of Spring Wheat (Triticum aestivum L.) Quality Traits and Yield to Sowing Date. PLoS ONE 2015, 10, e0126097. [Google Scholar] [CrossRef] [PubMed]
- Motzo, R.; Fois, S.; Giunta, F. Protein content and gluten quality of durum wheat (Triticum turgidum subsp.durum) as affected by sowing date. J. Sci. Food Agric. 2007, 87, 1480–1488. [Google Scholar] [CrossRef]
- Rascio, A.; Codianni, P.; Colecchia, S.; Miullo, V.; Rinaldi, M.; De Santis, G. Caratterizzazione e valorizzazione di una collezione di frumenti pigmentati. Dal Seme 2014, 14, 62–65. [Google Scholar]
- Shahzad, K.; Bakht, J.; Shah, W.A.; Shafi, M.; Jabeen, N. Yield and yield components of various wheat cultivars as affected by different sowing dates. Asian J. Plant Sci. 2002, 1, 522–525. [Google Scholar] [CrossRef][Green Version]
- Ozturk, A.; Caglar, O.; Bulut, S. Growth and Yield Response of Facultative Wheat to Winter Sowing, Freezing Sowing and Spring Sowing at Different Seeding Rates. J. Agron. Crop. Sci. 2006, 192, 10–16. [Google Scholar] [CrossRef]
- Ficco, D.B.M.; De Simone, V.; De Leonardis, A.M.; Giovanniello, V.; Del Nobile, M.A.; Padalino, L.; Lecce, L.; Borrelli, G.M.; De Vita, P. Use of purple durum wheat to produce naturally functional fresh and dry pasta. Food Chem. 2016, 205, 187–195. [Google Scholar] [CrossRef] [PubMed]
- Escribano-Bailón, M.T.; Santos-Buelga, C.; Rivas-Gonzalo, J.C. Anthocyanins in cereals. J. Chromatogr. A 2004, 1054, 129–141. [Google Scholar] [CrossRef] [PubMed]
- Jaafar, S.N.S.; Baron, J.; Siebenhandl-Ehn, S.; Rosenau, T.; Böhmdorfer, S.; Grausgruber, H. Increased anthocyanin content in purple pericarp × blue aleurone wheat crosses. Plant Breed. 2013, 132, 546–552. [Google Scholar] [CrossRef]
- Zhu, F. Anthocyanins in cereals: Composition and health effects. Food Res. Int. 2018, 109, 232–249. [Google Scholar] [CrossRef] [PubMed]
- Suriano, S.; Iannucci, A.; Codianni, P.; Fares, C.; Menga, V.; Russo, M.; Marciello, U.; Troccoli, A. Carotenoids and tocols content in genotypes of colored barley. J. Cereal Sci. 2020, 96, 103110. [Google Scholar] [CrossRef]
- Trono, D. Carotenoids in Cereal Food Crops: Composition and Retention throughout Grain Storage and Food Processing. Plants 2019, 8, 551. [Google Scholar] [CrossRef]
- Colasuonno, P.; Marcotuli, I.; Blanco, A.; Maccaferri, M.; Condorelli, G.E.; Tuberosa, R.; Parada, R.; De Camargo, A.C.; Schwember, A.R.; Gadaleta, A. Carotenoid Pigment Content in Durum Wheat (Triticum turgidum L. var durum): An Overview of Quantitative Trait Loci and Candidate Genes. Front. Plant Sci. 2019, 10, 1347. [Google Scholar] [CrossRef] [PubMed]
- Abdel-Aal, E.S.M.; Hucl, P. A Rapid Method for Quantifying Total Anthocyanins in Blue Aleurone and Purple Pericarp Wheats. Cereal Chem. J. 1999, 76, 350–354. [Google Scholar] [CrossRef]
- Blanco, A.; Colasuonno, P.; Gadaleta, A.; Mangini, G.; Schiavulli, A.; Simeone, R.; Digesù, A.M.; De Vita, P.; Mastrangelo, A.M.; Cattivelli, L. Quantitative trait loci for yellow pigment concentration and individual carotenoid compounds in durum wheat. J. Cereal Sci. 2011, 54, 255–264. [Google Scholar] [CrossRef]
- Groth, S.; Wittmann, R.; Longin, C.F.H.; Böhm, V. Infuence of variety and growing location on carotenoid and vitamin E contents of 184 different durum wheat varieties (Triticum turgidum ssp. durum) in Germany. Eur. Food Res. Technol. 2020, 246, 2079–2092. [Google Scholar] [CrossRef]
- Ku, K.M.; Kim, H.S.; Kang, Y.H. Correlation Analysis Between Antioxidant Activity and Phytochemicals in Korean Colored Corns Using Principal Component Analysis. J. Agric. Sci. 2014, 6, 1. [Google Scholar] [CrossRef]
- Sharma, S.; Chunduri, V.; Kumar, A.; Kumar, R.; Khare, P.; Kondepudi, K.K.; Bishnoi, M.; Garg, M. Anthocyanin bio-fortified colored wheat: Nutritional and functional characterization. PLoS ONE 2018, 13, e0194367. [Google Scholar] [CrossRef] [PubMed]
- Djanaguiraman, M.; Prasad, P.V.; Seppanen, M. Selenium protects sorghum leaves from oxidative damage under high tem-perature stress by enhancing antioxidant defense system. Plant. Physiol. Biochem. 2010, 48, 999–1007. [Google Scholar] [CrossRef] [PubMed]
- Sehgal, A.; Sita, K.; Siddique, K.H.M.; Kumar, R.; Bhogireddy, S.; Varshney, R.K.; Hanumantharao, B.; Nair, R.M.; Prasad, P.V.V.; Nayyar, H. Drought or/and Heat-Stress Effects on Seed Filling in Food Crops: Impacts on Functional Biochemistry, Seed Yields, and Nutritional Quality. Front. Plant Sci. 2018, 9, 1705. [Google Scholar] [CrossRef]
- Ashraf, M. Stress-Induced Changes in Wheat Grain Composition and Quality. Crit. Rev. Food Sci. Nutr. 2014, 54, 1576–1583. [Google Scholar] [CrossRef] [PubMed]
- Chaturvedi, A.K.; Bahuguna, R.N.; Pal, M.; Shah, D.; Maurya, S.; Jagadish, K.S. Elevated CO2 and heat stress interactions affect grain yield, quality and mineral nutrient composition in rice under field conditions. Field Crop. Res. 2017, 206, 149–157. [Google Scholar] [CrossRef]


| Species | N° | Genotype | Origin | Kernel and Pericarp Characteristics |
|---|---|---|---|---|
| Barley | 1 | CLHO1312 | USA, California s | Naked, Six-row, Purple |
| 2 | CLHO14016 | Ethiopia | Naked, Six-row, Purple | |
| 3 | CLHO14726 | USA, Idaho | Naked, Six-row, Purple | |
| 4 | PI234851 | Ethiopia | Naked, Six-row, Purple | |
| 5 | PI566040 | China | Naked, Six-row, Purple | |
| 6 | PI573629 | Ethiopia | Naked, Two-row, Purple | |
| 7 | Dasio * | Italy | Hulled, Two-row, Yellow | |
| 8 | Diomede * | Italy | Hulled, Six-row, Yellow | |
| Bread Wheat | 9 | PI 634538 | USA, Oregon | Blue |
| 10 | PI 634539 | USA, Oregon | Blue | |
| 11 | PI 634540 | USA, Oregon | Blue | |
| 12 | CLTR14952 | USA, North Dakota | Purple | |
| 13 | CLTR14953 | USA, North Dakota | Purple | |
| 14 | PI542453 | New Zealand | Purple | |
| 15 | Mieti * | Italy | White | |
| 16 | Violet * | Italy | White | |
| Durum Wheat | 17 | CLTR 14435 | Ethiopia, Shewa | Purple |
| 18 | PI 352445 | Ethiopia | Purple | |
| 19 | CLTR 14097 | Ethiopia | Purple | |
| 20 | CLTR 17240 | Ethiopia | Purple | |
| 21 | PI 352395 | Ethiopia | Purple | |
| 22 | CLTR 17346 | USA, California | Purple | |
| 23 | PR22D89 * | Italy | Yellow | |
| 24 | Preco * | Italy | Yellow |
| All Species | Barley | Bread Wheat | Durum Wheat | |||||
|---|---|---|---|---|---|---|---|---|
| Winter | Spring | Winter | Spring | Winter | Spring | Winter | Spring | |
| GY (t/ha) | 2.63 ± 0.19 a | 0.97 ± 0.10 b | 2.32 ± 0.55 a | 1.15 ± 0.38 b | 2.69 ± 0.43 a | 0.80 ± 0.18 b | 2.87 ± 0.35 a | 0.96 ± 0.11 b |
| PC (%) | 13.78 ± 0.25 b | 15.14 ± 0.26 a | 13.19 ± 0.56 b | 14.45 ± 0.61 a | 14.28 ± 0.67 b | 15.95 ± 0.67 a | 13.86 ± 0.49 b | 15.01 ± 0.48 a |
| TKW (g) | 35.27 ± 1.00 b | 37.97 ± 0.83 a | 36.66 ± 3.45 b | 40.42 ± 2.28 a | 33.05 ± 1.66 | 33.37 ± 1.46 | 36.10 ± 1.44 b | 40.13 ± 0.95 a |
| length (mm) | 6.97 ± 0.13 | 7.09 ± 0.16 | 7.65 ± 0.38 b | 7.88 ± 0.51 a | 6.16 ± 0.12 | 6.19 ± 0.15 | 7.10 ± 0.14 | 7.20 ± 0.14 |
| width (mm) | 2.97 ± 0.04 | 2.94 ± 0.03 | 3.10 ± 0.03 | 3.00 ± 0.04 | 2.86 ± 0.12 | 2.90 ± 0.06 | 2.93 ± 0.07 | 2.93 ± 0.06 |
| thickness (mm) | 2.72 ± 0.04 | 2.80 ± 0.03 | 2.73 ± 0.11 | 2.77 ± 0.07 | 2.67 ± 0.12 b | 2.81 ± 0.07 a | 2.75 ± 0.06 | 2.82 ± 0.07 |
| CIE L | 46.02 ± 1.34 | 45.82 ± 1.38 | 45.20 ± 4.67 | 44.95 ± 5.20 | 46.21 ± 2.60 b | 47.58 ±2.20 a | 46.67 ± 2.23 a | 44.94 ±2.03 b |
| CIE a | 5.44 ± 0.36 | 5.86 ± 0.36 | 4.60 ± 0.64 | 4.45 ± 0.53 | 5.30 ± 1.14 b | 6.13 ± 1.14 a | 6.40 ± 0.60 b | 7.01 ± 0.45 a |
| CIE b | 12.96 ± 0.81 | 12.94 ± 0.84 | 13.68 ± 2.85 a | 13.04 ± 2.98 b | 11.45 ± 1.23 b | 12.97 ± 1.31 a | 13.76 ± 1.54 | 12.81 ± 1.54 |
| TAC | 38.91 ± 8.88 | 32.34 ± 5.79 | 40.56 ± 23.71 | 42.45 ± 22.32 | 65.70 ± 26.31 a | 36.46 ± 9.44 b | 10.48 ± 2.89 b | 18.11 ± 4.92 a |
| YPC | 5.09 ± 0.20 b | 6.08 ± 0.27 a | 5.32 ± 0.58 b | 6.09 ± 0.66 a | 4.76 ± 0.30 b | 5.51 ± 0.58 a | 5.20 ± 0.50 b | 6.65 ± 0.66 a |
| Na (×103) | 77.73 ± 5.92 | 72.05 ± 3.34 | 0.12 ± 0.01 a | 0.09 ± 0.01 b | 0.06 ± 0.00 | 0.05 ± 0.00 | 0.04 ± 0.00 b | 0.07 ± 0.00 a |
| Mg (×103) | 1.33 ± 0.037 b | 1.41 ± 0.027 a | 1.54 ± 0.08 | 1.53 ± 0.06 | 1.29 ± 0.06 b | 1.38 ± 0.05 a | 1.16 ± 0.05 b | 1.31 ± 0.05 a |
| P (×103) | 3.35 ± 0.13 b | 3.99 ± 0.088 a | 2.78 ± 0.04 b | 3.96 ± 0.13 a | 3.83 ± 0.24 | 3.95 ± 0.22 | 3.45 ± 0.18 b | 4.08 ± 0.19 a |
| S (×103) | 5.03 ± 0.10 b | 4.44 ± 0.16 a | 4.96 ± 0.14 b | 5.31 ± 0.15 a | 5.13 ± 0.21 a | 3.94 ± 0.29 b | 5.00 ± 0.16 a | 4.08 ± 0.28 b |
| K (×103) | 5.27 ± 0.13 b | 5.84 ± 0.10 a | 6.15 ± 0.23 | 5.93 ± 0.19 | 4.84 ± 0.20 b | 5.39 ± 0.24 a | 4.81 ± 0.20 b | 6.21 ± 0.11 a |
| Ca (×103) | 0.61± 0.04 a | 0.38 ± 0.02 b | 0.74 ± 0.08 a | 0.48 ± 0.042 b | 0.65 ± 0.08 a | 0.29 ± 0.05 b | 0.44 ± 0.03 | 0.37 ± 0.02 |
| Mn | 42.68 ± 2.07 | 46.29 ± 2.41 | 28.85 ± 2.07 | 26.39 ± 1.73 | 52.50 ± 3.77 b | 57.65 ± 3.17 a | 46.78 ± 4.04 b | 54.83 ± 3.55 a |
| Fe | 71.90 ± 3.77 | 77.39 ± 1.88 | 84.45 ± 9.70 | 75.89 ± 2.49 | 55.40 ± 6.64 b | 80.49 ± 2.62 a | 75.81 ± 3.26 | 75.80 ± 4.78 |
| Cu | 9.85 ± 2.57 | 6.03 ± 0.26 | 8.67 ± 0.71 | 7.76 ± 0.49 | 6.69 ± 0.55 a | 5.16 ± 0.40 b | 14.21 ± 7.26 | 5.18 ± 0.37 |
| Zn | 33.37 ± 3.32 | 30.30 ± 1.45 | 44.30 ± 8.66 a | 27.51 ± 3.80 b | 30.27 ± 4.49 | 31.87 ± 3.30 | 25.56 ± 4.06 | 31.53 ± 2.70 |
| Mo | 1.40 ± 0.13 | 1.35 ± 0.06 | 1.70 ± 0.13 | 1.67 ± 0.12 | 1.30 ± 0.32 | 1.29 ± 0.12 | 1.20 ± 0.20 | 1.09 ± 0.09 |
| Barley | CLHO1312 | CLHO14016 | CLHO14726 | PI234851 | PI566040 | PI573629 | Dasio | Diomede |
| GY (t/ha) | 1.70 ± 0.42 b | 0.89 ± 0.20 cd | 0.79 ± 0.33 cd | 0.65 ± 0.23 d | 0.86 ± 0.25 cd | 1.41 ± 0.28 bc | 4.03 ± 0.54 a | 3.55 ± 0.60 a |
| PC (%) | 14.65 ± 0.84 b | 13.29 ± 0.35 cd | 14.63 ± 0.44 b | 16.69 ± 0.38 a | 13.29 ± 0.36 cd | 13.59 ± 0.40 bc | 10.97 ± 0.17 d | 13.48 ± 0.53 bc |
| TKW (g) | 36.01 ± 1.16 cd | 30.22 ± 2.68 e | 34.41 ± 1.71 de | 34.58 ± 3.66 d | 42.87 ± 1.58 b | 55.59 ± 0.67 a | 35.70 ±1.54 cd | 38.93 ± 1.05 bc |
| length (mm) | 7.19 ± 0.14 cd | 7.64 ± 0.17 cd | 6.16 ± 0.11 e | 6.98 ± 0.15 d | 7.13 ± 0.20 d | 7.90 ± 0.02 c | 9.04 ± 0.29 b | 10.07 ± 0.32 a |
| width (mm) | 3.11 ± 0.07 | 2.95 ± 0.04 | 3.19 ± 0.08 | 2.99 ± 0.09 | 3.00 ± 0.03 | 3.09 ± 0.02 | 3.04 ± 0.08 | 3.03 ± 0.14 |
| thickness (mm) | 2.95 ± 0.04 a | 2.47 ± 0.07 b | 2.95 ± 0.14 a | 2.43 ± 0.23 b | 3.02 ± 0.01 a | 2.78 ± 0.02 ab | 2.67 ± 0.03 ab | 2.74 ± 0.12 ab |
| CIE L | 56.48 ± 1.09 b | 29.78 ± 0.74 d | 44.93 ± 1.58 c | 31.48 ± 0.43 d | 44.70 ± 0.19 c | 29.79 ± 0.14 d | 59.43 ± 3.02 ab | 64.03 ± 1.07 a |
| CIE a | 4.05 ± 0.09 b | 3.53 ± 0.09 b | 6.58 ± 0.40 a | 3.60 ± 0.12 b | 7.60 ± 0.30 a | 3.79 ± 0.02 b | 3.85 ± 0.58 b | 3.20 ± 0.35 b |
| CIE b | 17.38 ± 0.29 c | 4.95 ± 0.03 e | 14.18 ± 1.22 d | 4.98 ± 0.41 e | 13.05 ± 0.66 d | 4.28 ± 0.11 e | 25.28 ± 0.80 a | 22.80 ± 0.12 b |
| TAC | 12.91 ± 0.77 de | 196.32 ± 6.43 a | 28.35 ± 8.37 c | 18.79 ± 0.64 cd | 53.37 ± 3.65 b | 22.29 ± 1.55 cd | 0.00 ± 0.00 e | 0.00 ± 0.00 e |
| YPC | 3.13 ± 0.40 f | 6.85 ± 0.04 bc | 5.13 ± 0.40 de | 8.38 ± 0.68 a | 5.87 ± 0.41 cd | 7.19 ± 0.29 ab | 4.20 ± 0.12 ef | 4.92 ± 0.12 de |
| Na (×103) | 0.12 ± 0.02 | 0.09 ± 0.02 | 0.08 ± 0.01 | 0.11 ± 0.01 | 0.12 ± 0.02 | 0.09 ± 0.00 | 0.11 ± 0.02 | 0.13 ± 0.02 |
| Mg (×103) | 1.38 ± 0.13 b | 1.49 ± 0.02 ab | 1.33 ± 0.10 b | 1.77 ± 0.06 a | 1.53 ± 0.35 ab | 1.67 ± 0.01 a | 1.37 ± 0.02 b | 1.75 ± 0.06 a |
| P (×103) | 2.79 ± 0.69 | 3.42 ± 0.29 | 2.96 ± 0.42 | 3.50 ± 0.36 | 3.81 ± 0.43 | 3.14 ± 0.57 | 3.10 ± 0.75 | 4.23 ± 0.69 |
| S (×103) | 4.80 ± 0.28 | 4.90 ± 0.16 | 5.45 ± 0.50 | 5.33 ± 0.15 | 5.14 ± 0.29 | 5.16 ± 0.13 | 5.16 ± 0.29 | 5.14 ± 0.16 |
| K (×103) | 5.46 ± 0.44 ab | 6.14 ± 0.09 ab | 6.34 ± 0.46 ab | 6.35 ± 0.24 ab | 6.78 ± 0.14 a | 6.32 ± 0.10 ab | 5.03 ± 0.08 b | 5.87 ± 0.19 ab |
| Ca (×103) | 0.53 ± 0.11 ab | 0.83 ± 0.14 a | 0.66 ± 0.10 ab | 0.81 ± 0.10 a | 0.64 ± 0.09 ab | 0.62 ± 0.08 ab | 0.38 ± 0.10 b | 0.41 ± 0.12 b |
| Mn | 31.82 ± 1.95 a | 30.28 ± 1.40 ab | 28.42 ± 4.35 ab | 32.09 ± 2.09 a | 30.13 ± 0.35 ab | 27.24 ± 0.65 ab | 17.58 ± 0.10 c | 23.39 ± 0.66 bc |
| Fe | 89.44 ± 9.45 | 85.97 ± 2.31 | 112.06 ± 25.53 | 77.14 ± 8.47 | 71.23 ± 7.19 | 68.95 ± 3.98 | 63.54 ± 5.91 | 73.02 ± 4.33 |
| Cu | 6.41 ± 0.16 bc | 9.11 ± 0.19 ab | 8.51 ± 1.09 abc | 8.88 ± 0.70 abc | 5.65 ± 0.33 c | 10.41 ± 1.27 a | 7.30 ±0.36 abc | 9.42 ±0.60 ab |
| Zn | 32.00 ± 2.87 ab | 62.78 ± 27.66 a | 44.99 ± 4.65 ab | 46.99 ± 4.19 ab | 32.57 ± 2.30 ab | 36.65 ± 4.89 ab | 13.66 ± 2.37 b | 17.57 ±4.24 b |
| Mo | 1.63 ± 0.25 ab | 1.61 ±0.19 ab | 1.82 ± 0.30 ab | 2.30 ± 0.13 a | 1.61 ± 0.10 ab | 1.55 ± 0.07 b | 1.43 ±0.07 ab | 1.51 ±0.07 b |
| Bread Wheat | PI 634538 | PI 634539 | PI 634540 | CLTR14952 | CLTR14953 | PI542453 | Mieti | Vaiolet |
| GY (t/ha) | 1.02 ± 0.42 d | 0.88 ± 0.36 d | 1.39 ± 0.12 cd | 1.89 ± 0.53 c | 1.41 ± 0.43 cd | 2.60 ± 0.52 b | 1.62 ± 0.54 c | 3.18 ± 1.06 a |
| PC (%) | 15.10 ± 0.76 c | 15.49 ± 0.66 bc | 12.71 ± 0.53 d | 15.34 ± 0.42 bc | 16.64 ± 0.18 b | 18.62 ± 0.34 a | 12.68 ± 0.31d | 14.33 ± 0.62 c |
| TKW (g) | 30.32 ± 1.07 b | 31.70 ± 2.03 b | 40.02 ± 2.43 a | 30.81 ± 0.99 b | 32.46 ± 0.61 b | 39.90 ± 1.25 a | 28.98 ± 0.84 b | 31.48 ± 0.72 b |
| length (mm) | 6.58 ± 0.08 a | 6.50 ± 0.15 a | 6.56 ± 0.07 a | 5.86 ± 0.05 b | 5.74 ± 0.05 b | 6.55 ± 0.08 a | 5.69 ± 0.04 b | 5.95 ± 0.13 b |
| width (mm) | 2.70 ± 0.05 d | 2.72 ± 0.11 d | 2.40 ± 0.07 e | 3.07 ± 0.02 b | 3.00 ± 0.04 bc | 3.24 ± 0.06 a | 2.89 ± 0.01 c | 3.05 ± 0.05 b |
| thickness (mm) | 2.50 ± 0.05 d | 2.56 ± 0.12 d | 2.25 ± 0.09 e | 2.96 ± 0.01 b | 2.90 ± 0.02 b | 3.09 ± 0.01 a | 2.75 ± 0.03 c | 2.92 ± 0.05 b |
| CIE L | 47.23 ± 0.70 b | 48.10 ± 1.35 b | 48.15 ± 1.02 b | 44.70 ± 1.88 b | 36.95 ± 0.72 c | 38.38 ± 1.14 c | 56.88 ± 0.79 a | 54.78 ± 1.50 a |
| CIE a | 2.75 ± 0.26 de | 2.91 ± 0.45 d | 1.78 ± 0.11 e | 10.25 ± 0.75 a | 8.90 ± 0.21 b | 9.65 ± 0.22 ab | 4.63 ± 0.22 c | 4.88 ± 0.47 c |
| CIE b | 11.68 ± 1.34 b | 11.65 ± 1.75 b | 9.80 ± 0.56 b | 9.73 ± 0.80 b | 9.35 ± 0.44 b | 10.13 ± 0.78 b | 17.93 ± 0.27 a | 17.43 ± 0.54 a |
| TAC | 82.61 ± 10.51c | 147.25 ± 36.85 a | 96.39 ± 17.95 b | 13.31 ± 3.44 e | 29.72 ± 0.41 d | 39.35 ± 3.08 d | 0.00 ± 0.00 f | 0.00 ± 0.00 f |
| YPC | 6.05 ± 0.51 b | 7.33 ± 0.79 a | 4.44 ± 0.2cd | 4.46 ± 0.07 cd | 5.28 ± 0.42 bc | 5.98 ± 0.06 b | 3.97 ± 0.07 d | 3.56 ± 0.12 d |
| Na (×103) | 0.05 ± 0.00 | 0.07 ± 0.00 | 0.06 ± 0.00 | 60.74 ± 6.90 | 0.06 ± 0.00 | 0.07 ± 0.02 | 0.04 ± 0.00 | 0.05 ± 0.01 |
| Mg (×103) | 1.35 ± 0.05 abcd | 1.43± 0.04 abc | 1.19 ± 0.04 cd | 1.39 ± 0.08 abc | 1.52 ± 0.08 a | 1.49 ± 0.02 ab | 1.10 ± 0.02 d | 1.23 ± 0.04 bcd |
| P (×103) | 3.80 ± 0.17 abc | 4.15 ± 0.22 ab | 3.17 ± 0.09 c | 4.27 ± 0.31 ab | 4.68 ± 0.14 a | 4.55 ± 0.16 a | 2.94 ± 0.05 c | 3.56 ± 0.25 bc |
| S (×103) | 4.77 ± 0.54 | 5.57 ± 0.19 | 4.23 ± 0.55 | 3.53 ± 0.38 | 4.26 ± 0.41 | 4.59 ± 0.58 | 5.03 ± 0.46 | 4.31 ± 0.76 |
| K (×103) | 5.07 ± 0.28 bc | 5.86 ± 0.25 ab | 4.15 ± 0.12 d | 5.19 ± 0.30 abc | 5.95 ± 0.20 a | 5.04 ± 0.05 bc | 4.79 ± 0.11 cd | 4.89 ± 0.41 cd |
| Ca (×103) | 0.52 ± 0.07 ab | 0.75 ± 0.06 a | 0.39 ± 0.13 ab | 0.39 ± 0.14 ab | 0.59 ± 0.18 ab | 0.58 ± 0.20 ab | 0.28 ± 0.04 b | 0.25 ± 0.03 b |
| Mn | 46.03 ± 1.55 e | 58.45 ± 0.72 bc | 44.90 ± 1.28 e | 58.61 ± 4.12 b | 75.79 ± 0.65 a | 55.90 ± 1.71 bc | 48.21 ± 0.69 de | 52.32 ± 4.00 cd |
| Fe | 65.98 ± 3.48 b | 90.67 ± 4.68 a | 52.46 ± 9.01 b | 64.70 ± 13.14 b | 56.37 ± 11.64 b | 67.82 ± 11.56 ab | 74.09 ± 3.05 ab | 71.59 ± 3.95 ab |
| Cu | 5.17 ± 0.57 ab | 7.07 ± 0.51 a | 3.95 ± 0.56 b | 5.66 ± 0.74 ab | 5.83 ± 0.88 ab | 7.73 ± 1.24 a | 6.40 ± 0.47 ab | 5.57 ± 0.34 ab |
| Zn | 33.78 ± 5.25 abc | 31.57 ± 2.26 abc | 20.08 ± 0.74 c | 39.66 ± 3.19 ab | 42.03 ± 3.99 a | 43.75 ± 5.95 a | 15.50 ± 2.10 c | 22.19 ± 2.63 bc |
| Durum Wheat | CLTR14435 | PI352445 | CLTR14097 | CLTR17240 | PI352395 | CLTR17346 | PR22D89 | Preco |
| GY (t/ha) | 1.17 ± 0.43 c | 1.96 ± 0.69 b | 2.04 ± 0.41 b | 1.67 ± 0.47 bc | 1.19 ± 0.33 c | 1.79 ± 0.47 bc | 3.26 ± 1.02 a | 2.23 ± 0.76 b |
| PC (%) | 15.75 ± 0.15 ab | 14.86 ± 0.35 b | 15.67 ± 0.49 ab | 12.97 ± 0.34 c | 16.58 ± 0.46 a | 12.97± 0.32 c | 13.17 ± 0.48 c | 13.52 ± 0.50 c |
| TKW (g) | 38.14 ± 2.53 bc | 36.13 ± 1.47 bc | 43.99 ± 0.80 a | 38.66 ± 1.06 bc | 35.00 ± 1.77 c | 37.62 ± 3.61 bc | 39.88 ± 0.22 b | 35.54 ± 0.21 c |
| length (mm) | 7.25 ± 0.14 ab | 7.56 ± 0.10 a | 7.45 ± 0.27 a | 6.83 ± 0.17 bc | 7.28 ± 0.02 ab | 6.45 ± 0.17 c | 7.13 ± 0.12 ab | 7.25 ± 0.13 ab |
| width (mm) | 2.91 ± 0.07 abc | 2.78 ± 0.10bc | 3.06 ± 0.04 ab | 3.02 ± 0.08 ab | 2.78 ± 0.03 bc | 2.74 ± 0.11 c | 3.17 ± 0.05 a | 3.00 ± 0.01 abc |
| thickness (mm) | 2.81 ± 0.04 abc | 2.62 ± 0.09 cd | 2.86 ± 0.02 abc | 2.92 ± 0.01 ab | 2.46 ± 0.03 d | 2.72 ± 0.12 bc | 3.03 ± 0.06 a | 2.88 ± 0.01 ab |
| CIE L | 45.11 ± 1.04 b | 43.70 ± 0.52 b | 46.73 ± 2.39 b | 44.56 ± 4.08 b | 39.40 ± 0.33 c | 39.60 ± 2.58 c | 54.33 ± 0.61 a | 53.00 ± 0.43 a |
| CIE a | 7.08 ± 0.39 ab | 7.63 ± 0.13 ab | 6.51 ± 0.82 bc | 6.76 ± 1.12 abc | 8.13 ± 0.21 a | 7.89 ± 0.56 ab | 5.35 ± 0.24 cd | 4.30 ± 0.37 d |
| CIE b | 10.48 ± 0.15 bc | 12.05 ± 0.59 bc | 13.74 ± 1.99 b | 14.20 ± 1.10 b | 8.03 ± 0.06 c | 9.01 ± 0.53 c | 20.20 ± 1.39 a | 18.56 ± 1.80 a |
| TAC | 17.61 ± 4.59 a | 17.74 ± 2.73 a | 6.61 ± 1.66 b | 24.01 ± 2.05 a | 25.48 ± 10.37 a | 22.92 ± 2.70 a | 0.00 ± 0.00 c | 0.00 ± 00 c |
| YPC | 4.95 ± 0.56 c | 6.86 ± 0.43 b | 5.25 ± 0.39 c | 4.91 ± 0.23 c | 4.10 ± 0.82 c | 4.94 ± 0.19 c | 7.58 ± 0.70 ab | 8.84 ± 1.04 a |
| Na (×103) | 0.062 ± 0.00 ab | 0.06 ± 0.00 ab | 0.05 ± 0.00 ab | 0.05 ± 0.00 ab | 0.05 ± 0.00 ab | 0.04 ± 0.00 b | 0.06 ± 0.01 ab | 0.07 ± 0.01 a |
| Mg (×103) | 1.37 ± 0.06 | 1.28 ± 0.02 | 1.29 ± 0.07 | 1.14 ± 0.10 | 1.19 ± 0.10 | 1.13 ± 0.04 | 1.28 ± 0.21 | 1.20 ± 0.04 |
| P (×103) | 4.25 ± 0.16 a | 4.21 ± 0.09 a | 4.27 ± 0.23 a | 3.18 ± 0.33 b | 4.07 ± 0.37 a | 3.25 ± 0.15 b | 3.34 ± 0.13 b | 3.55 ± 0.37 b |
| S (×103) | 4.40 ± 0.71 | 5.11 ± 0.15 | 4.22 ± 0.65 | 3.86 ± 0.61 | 4.19 ± 0.62 | 5.39 ± 0.13 | 4.56 ± 0.63 | 4.58 ± 0.24 |
| K (×103) | 5.12 ± 0.34 cd | 5.73 ± 0.07 bc | 5.27 ± 0.39 bcd | 5.50 ± 0.44 abcd | 4.99 ± 0.03 d | 5.95 ± 0.26 a | 5.68 ± 0.38 abc | 5.87 ± 0.50 ab |
| Ca (×103) | 0.43 ± 0.05 | 0.47 ± 0.05 | 0.31 ± 0.03 | 0.40 ± 0.04 | 0.45 ± 0.10 | 0.49 ± 0.09 | 0.27 ± 0.04 | 0.38 ± 0.03 |
| Mn | 65.80 ± 3.71 a | 55.49 ± 0.99 abc | 61.43 ± 3.98 ab | 53.10 ± 1.69 bcd | 45.55 ± 7.39 cd | 51.63 ± 2.26 bcd | 32.09 ± 2.02 e | 41.36 ± 2.78 de |
| Fe | 84.26 ± 7.40 | 68.70 ± 3.03 | 90.98 ± 16.23 | 70.36 ± 1.17 | 75.67 ± 7.23 | 68.60 ± 1.72 | 76.78± 7.86 | 71.08 ± 2.27 |
| Cu | 6.74 ± 0.38 | 5.40 ± 0.48 | 7.45 ± 0.42 | 4.68 ± 0.42 | 5.62 ± 0.70 | 6.46 ± 1.09 | 4.83 ± 0.45 | 36.39 ± 31.16 |
| Zn | 32.49 ± 4.76 | 25.83 ± 1.70 | 33.29 ± 6.49 | 19.51 ± 2.81 | 30.00 ± 3.07 | 23.55 ± 4.05 | 26.48 ±8.30 | 37.22 ± 17.04 |
| Mo | 1.27 ± 0.06 abc | 1.09 ± 0.09 bc | 1.06 ± 0.13 bc | 1.32 ± 0.11 ab | 0.79 ± 0.22 bc | 1.13 ± 0.08 bc | 1.73 ± 0.46 a | 0.76 ± 0.16 c |
| All Species | Barley | Bread Wheat | Durum Wheat | |||||||||
|---|---|---|---|---|---|---|---|---|---|---|---|---|
| (S) | Sd | S × Sd | G | Sd | G × Sd | G | Sd | G × Sd | G | Sd | G × Sd | |
| GY | n.s. | *** | n.s. | *** | *** | * | *** | *** | *** | *** | *** | *** |
| PC | * | *** | n.s. | *** | *** | n.s. | *** | *** | * | *** | *** | *** |
| TKW | * | ** | n.s. | *** | *** | *** | *** | n.s. | n.s. | *** | *** | *** |
| length | *** | n.s. | n.s. | *** | * | * | *** | n.s. | n.s. | *** | n.s. | ** |
| width | ** | n.s. | n.s. | n.s. | n.s. | n.s. | *** | n.s. | *** | *** | n.s. | * |
| thickness | n.s. | n.s. | n.s. | ** | n.s. | n.s. | *** | *** | *** | *** | n.s. | n.s. |
| CIE L | n.s. | n.s. | n.s. | *** | n.s. | n.s. | *** | * | ** | *** | ** | *** |
| CIE a | ** | n.s. | n.s. | *** | n.s. | n.s. | *** | *** | *** | *** | * | *** |
| CIE b | n.s. | n.s. | n.s. | *** | * | ** | *** | ** | *** | *** | n.s. | * |
| TAC | * | n.s. | n.s. | *** | n.s. | ** | *** | *** | *** | *** | *** | *** |
| YPC | n.s. | ** | n.s. | *** | *** | n.s. | *** | *** | ** | *** | *** | ** |
| Na | *** | n.s. | *** | n.s. | ** | n.s. | n.s. | n.s. | n.s. | * | *** | * |
| Mg | *** | * | n.s. | *** | n.s. | n.s. | *** | * | n.s. | n.s. | ** | ** |
| P | * | *** | * | n.s. | ** | n.s. | *** | n.s. | n.s. | *** | *** | *** |
| S | ** | ** | ** | n.s. | * | * | n.s. | ** | n.s. | n.s. | ** | n.s. |
| K | *** | *** | *** | ** | n.s. | n.s. | *** | *** | ** | * | *** | n.s. |
| Ca | *** | *** | * | ** | ** | n.s. | * | *** | n.s. | n.s. | n.s. | n.s. |
| Mn | *** | n.s. | n.s. | *** | n.s. | n.s. | *** | *** | *** | *** | *** | * |
| Fe | * | n.s. | ** | n.s. | n.s. | n.s. | ** | *** | * | n.s. | n.s. | n.s. |
| Cu | n.s. | n.s. | n.s. | ** | n.s. | n.s. | * | ** | n.s. | n.s. | n.s. | n.s. |
| Zn | n.s. | n.s. | * | * | * | n.s. | *** | n.s. | n.s. | n.s. | n.s. | n.s. |
| Mo | ** | n.s. | n.s. | * | n.s. | n.s. | n.s. | n.s. | n.s. | *** | n.s. | *** |
| Variable | Barley | Bread Wheat | Durum Wheat | |||
|---|---|---|---|---|---|---|
| ρ | Prob > |ρ| | ρ | Prob > |ρ| | ρ | Prob > |ρ| | |
| PC | −0.689 | < 0.0001 | −0.226 | n.s. | −0.502 | 0.0034 |
| TKW | −0.075 | n.s. | 0.058 | n.s. | −0.280 | n.s. |
| length | 0.650 | <.0001 | −0.041 | n.s. | −0.090 | n.s. |
| width | 0.185 | n.s. | 0.390 | 0.0273 | 0.268 | n.s. |
| thicknesss | −0.101 | n.s. | 0.292 | n.s. | 0.039 | n.s. |
| CIE L | 0.616 | 0.0002 | −0.099 | n.s. | 0.347 | n.s. |
| CIE a | −0.201 | n.s. | 0.132 | n.s. | −0.330 | n.s. |
| CIE b | 0.642 | < 0.0001 | −0.055 | n.s. | 0.361 | 0.0423 |
| TAC | −0.701 | < 0.0001 | −0.218 | n.s. | −0.465 | 0.0073 |
| YPC | −0.548 | 0.0012 | −0.435 | 0.0129 | −0.062 | n.s. |
| Na | 0.476 | 0.0059 | 0.070 | n.s. | −0.720 | < 0.0001 |
| Mg | −0.116 | n.s. | −0.333 | 0.0621 | −0.388 | 0.0283 |
| P | −0.273 | n.s. | −0.050 | n.s. | −0.532 | 0.0017 |
| S | −0.255 | n.s. | 0.259 | n.s. | 0.481 | 0.0053 |
| K | −0.378 | 0.0331 | −0.536 | 0.0016 | −0.630 | 0.0001 |
| Ca | −0.081 | n.s. | 0.232 | n.s. | 0.356 | 0.0453 |
| Mn | −0.449 | 0.01 | −0.304 | n.s. | −0.430 | 0.014 |
| Fe | −0.218 | n.s. | −0.567 | 0.0007 | 0.137 | n.s. |
| Cu | 0.096 | n.s. | 0.331 | n.s. | 0.504 | 0.0033 |
| Zn | −0.444 | 0.0109 | −0.1087 | n.s. | −0.3644 | 0.0403 |
| Mo | −0.296 | n.s. | −0.464 | 0.0074 | −0.056 | n.s. |
Publisher’s Note: MDPI stays neutral with regard to jurisdictional claims in published maps and institutional affiliations. |
© 2021 by the authors. Licensee MDPI, Basel, Switzerland. This article is an open access article distributed under the terms and conditions of the Creative Commons Attribution (CC BY) license (http://creativecommons.org/licenses/by/4.0/).
Share and Cite
Beleggia, R.; Ficco, D.B.M.; Nigro, F.M.; Giovanniello, V.; Colecchia, S.A.; Pecorella, I.; De Vita, P. Effect of Sowing Date on Bioactive Compounds and Grain Morphology of Three Pigmented Cereal Species. Agronomy 2021, 11, 591. https://doi.org/10.3390/agronomy11030591
Beleggia R, Ficco DBM, Nigro FM, Giovanniello V, Colecchia SA, Pecorella I, De Vita P. Effect of Sowing Date on Bioactive Compounds and Grain Morphology of Three Pigmented Cereal Species. Agronomy. 2021; 11(3):591. https://doi.org/10.3390/agronomy11030591
Chicago/Turabian StyleBeleggia, Romina, Donatella B. M. Ficco, Franca M. Nigro, Valentina Giovanniello, Salvatore A. Colecchia, Ivano Pecorella, and Pasquale De Vita. 2021. "Effect of Sowing Date on Bioactive Compounds and Grain Morphology of Three Pigmented Cereal Species" Agronomy 11, no. 3: 591. https://doi.org/10.3390/agronomy11030591
APA StyleBeleggia, R., Ficco, D. B. M., Nigro, F. M., Giovanniello, V., Colecchia, S. A., Pecorella, I., & De Vita, P. (2021). Effect of Sowing Date on Bioactive Compounds and Grain Morphology of Three Pigmented Cereal Species. Agronomy, 11(3), 591. https://doi.org/10.3390/agronomy11030591

